Signatures of the Carrier Envelope Phase in Nonlinear Thomson Scattering
Abstract
1. Introduction
2. Thomson Scattering
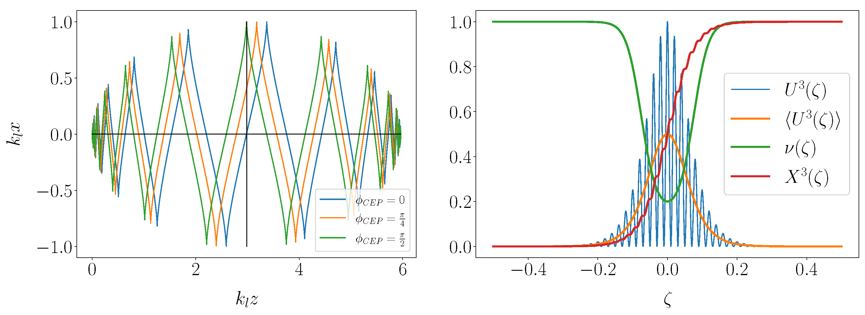
2.1. Single Electron—Plane Wave Dynamics
2.2. Electron Bunch—Plane Wave Laser Pulse
2.3. Electron Bunch—Beamed Laser Pulse
3. Discussion
4. Conclusions
Author Contributions
Funding
Institutional Review Board Statement
Informed Consent Statement
Data Availability Statement
Conflicts of Interest
References
- Brabec, T.; Krausz, F. Intense few-cycle laser fields: Frontiers of nonlinear optics. Rev. Mod. Phys. 2000, 72, 545–591. [Google Scholar] [CrossRef]
- Kryukov, P.G. Ultrashort-pulse lasers. Quantum Electron. 2001, 31, 95–119. [Google Scholar] [CrossRef]
- Krausz, F.; Ivanov, M. Attosecond physics. Rev. Mod. Phys. 2009, 81, 163–234. [Google Scholar] [CrossRef]
- Paulus, G.G.; Lindner, F.; Walther, H.; Baltuška, A.; Goulielmakis, E.; Lezius, M.; Krausz, F. Measurement of the Phase of Few-Cycle Laser Pulses. Phys. Rev. Lett. 2003, 91, 253004. [Google Scholar] [CrossRef] [PubMed]
- Fukahori, S.; Ando, T.; Miura, S.; Kanya, R.; Yamanouchi, K.; Rathje, T.; Paulus, G.G. Determination of the absolute carrier-envelope phase by angle-resolved photoelectron spectra of Ar by intense circularly polarized few-cycle pulses. Phys. Rev. A 2017, 95, 053410. [Google Scholar] [CrossRef]
- Orfanos, I.; Makos, I.; Liontos, I.; Skantzakis, E.; Förg, B.; Charalambidis, D.; Tzallas, P. Attosecond pulse metrology. APL Photonics 2019, 4, 080901. [Google Scholar] [CrossRef]
- Liu, Q.; Seiffert, L.; Süßmann, F.; Zherebtsov, S.; Passig, J.; Kessel, A.; Trushin, S.A.; Kling, N.G.; Ben-Itzhak, I.; Mondes, V.; et al. Ionization-Induced Subcycle Metallization of Nanoparticles in Few-Cycle Pulses. ACS Photonics 2020, 7, 3207–3215. [Google Scholar] [CrossRef]
- Heinzl, T.; Seipt, D.; Kämpfer, B. Beam-shape effects in nonlinear Compton and Thomson scattering. Phys. Rev. A 2010, 81, 022125. [Google Scholar] [CrossRef]
- Ghebregziabher, I.; Shadwick, B.A.; Umstadter, D. Spectral bandwidth reduction of Thomson scattered light by pulse chirping. Phys. Rev. ST Accel. Beams 2013, 16, 030705. [Google Scholar] [CrossRef]
- Rykovanov, S.G.; Geddes, C.G.R.; Schroeder, C.B.; Esarey, E.; Leemans, W.P. Reply to “Comment on ‘Controlling the spectral shape of nonlinear Thomson scattering with proper laser chirping’”. Phys. Rev. Accel. Beams 2016, 19, 098002. [Google Scholar] [CrossRef]
- Kharin, V.Y.; Seipt, D.; Rykovanov, S.G. Temporal laser-pulse-shape effects in nonlinear Thomson scattering. Phys. Rev. A 2016, 93, 063801. [Google Scholar] [CrossRef]
- Terzić, B.; Brown, A.; Drebot, I.; Hagerman, T.; Johnson, E.; Krafft, G.; Maroli, C.; Petrillo, V.; Ruijter, M. Improving performance of inverse Compton sources through laser chirping. EPL Europhys. Lett. 2019, 126, 12003. [Google Scholar] [CrossRef]
- Curatolo, C.; Drebot, I.; Petrillo, V.; Serafini, L. Analytical description of photon beam phase spaces in inverse Compton scattering sources. Phys. Rev. Accel. Beams 2017, 20, 080701. [Google Scholar] [CrossRef]
- Ranjan, N.; Terzić, B.; Krafft, G.A.; Petrillo, V.; Drebot, I.; Serafini, L. Simulation of inverse Compton scattering and its implications on the scattered linewidth. Phys. Rev. Accel. Beams 2018, 21, 030701. [Google Scholar] [CrossRef]
- Ruijter, M.; Petrillo, V.; Zepf, M. Decreasing the bandwidth of linear and nonlinear Thomson scattering radiation for electron bunches with a finite energy spread. Phys. Rev. Accel. Beams 2021, 24, 020702. [Google Scholar] [CrossRef]
- Hack, S.; Varró, S.; Czirják, A. Carrier-envelope phase controlled isolated attosecond pulses in the nm wavelength range, based on coherent nonlinear Thomson-backscattering. New J. Phys. 2018, 20, 073043. [Google Scholar] [CrossRef]
- Mackenroth, F.; Di Piazza, A.; Keitel, C.H. Determining the Carrier-Envelope Phase of Intense Few-Cycle Laser Pulses. Phys. Rev. Lett. 2010, 105, 063903. [Google Scholar] [CrossRef]
- Jackson, J.D. Classical Electrodynamics, 3rd ed.; John Wiley & Sons Inc.: New York, NY, USA, 1999. [Google Scholar]
- McDonald, K.T. A Relativistic Electron Can’t Extract Net Energy from a Long Laser Pulse. 1997. Available online: http://puhep1.princeton.edu/~mcdonald/examples/gaussian2.pdf (accessed on 15 March 2021).
- Ripperda, B.; Bacchini, F.; Teunissen, J.; Xia, C.; Porth, O.; Sironi, L.; Lapenta, G.; Keppens, R. A Comprehensive Comparison of Relativistic Particle Integrators. Astrophys. J. Suppl. Ser. 2018, 235, 21. [Google Scholar] [CrossRef]
- Ruijter, M.; Kharin, V.Y.; Rykovanov, S.G. Analytical solutions for nonlinear Thomson scattering including radiation reaction. J. Phys. B At. Mol. Opt. Phys. 2018, 51, 225701. [Google Scholar] [CrossRef]
- Seipt, D.; Kämpfer, B. Nonlinear Compton scattering of ultrashort intense laser pulses. Phys. Rev. A 2011, 83, 022101. [Google Scholar] [CrossRef]
- Geddes, C.G.R.; Nakamura, K.; Plateau, G.R.; Toth, C.; Cormier-Michel, E.; Esarey, E.; Schroeder, C.B.; Cary, J.R.; Leemans, W.P. Plasma-Density-Gradient Injection of Low Absolute-Momentum-Spread Electron Bunches. Phys. Rev. Lett. 2008, 100, 215004. [Google Scholar] [CrossRef] [PubMed]
- Chen, S.; Powers, N.D.; Ghebregziabher, I.; Maharjan, C.M.; Liu, C.; Golovin, G.; Banerjee, S.; Zhang, J.; Cunningham, N.; Moorti, A.; et al. MeV-Energy X Rays from Inverse Compton Scattering with Laser-Wakefield Accelerated Electrons. Phys. Rev. Lett. 2013, 110, 155003. [Google Scholar] [CrossRef] [PubMed]
- Akagi, T.; Kosuge, A.; Araki, S.; Hajima, R.; Honda, Y.; Miyajima, T.; Mori, M.; Nagai, R.; Nakamura, N.; Shimada, M.; et al. Narrow-band photon beam via laser Compton scattering in an energy recovery linac. Phys. Rev. Accel. Beams 2016, 19, 114701. [Google Scholar] [CrossRef]






Publisher’s Note: MDPI stays neutral with regard to jurisdictional claims in published maps and institutional affiliations. |
© 2021 by the authors. Licensee MDPI, Basel, Switzerland. This article is an open access article distributed under the terms and conditions of the Creative Commons Attribution (CC BY) license (https://creativecommons.org/licenses/by/4.0/).
Share and Cite
Ruijter, M.; Petrillo, V.; Teter, T.C.; Valialshchikov, M.; Rykovanov, S. Signatures of the Carrier Envelope Phase in Nonlinear Thomson Scattering. Crystals 2021, 11, 528. https://doi.org/10.3390/cryst11050528
Ruijter M, Petrillo V, Teter TC, Valialshchikov M, Rykovanov S. Signatures of the Carrier Envelope Phase in Nonlinear Thomson Scattering. Crystals. 2021; 11(5):528. https://doi.org/10.3390/cryst11050528
Chicago/Turabian StyleRuijter, Marcel, Vittoria Petrillo, Thomas C. Teter, Maksim Valialshchikov, and Sergey Rykovanov. 2021. "Signatures of the Carrier Envelope Phase in Nonlinear Thomson Scattering" Crystals 11, no. 5: 528. https://doi.org/10.3390/cryst11050528
APA StyleRuijter, M., Petrillo, V., Teter, T. C., Valialshchikov, M., & Rykovanov, S. (2021). Signatures of the Carrier Envelope Phase in Nonlinear Thomson Scattering. Crystals, 11(5), 528. https://doi.org/10.3390/cryst11050528

