On Novel Copper Based Alloys Development via Friction Stir Alloying
Abstract
1. Introduction
2. Materials and Methods
3. Results and Discussion
3.1. Macrostructure
3.2. Microstructure
3.3. Property Evolution across Different Zones
4. Conclusions
- FSA has been successfully used to fabricate alloys containing elements with a wide range of melting temperatures. The alloying elements (Ni, Mg, and Zn) are uniformly distributed in the stirred base metal (Cu) during FSA, but slight elemental heterogeneity is preserved across minute domains in the fabricated alloy.
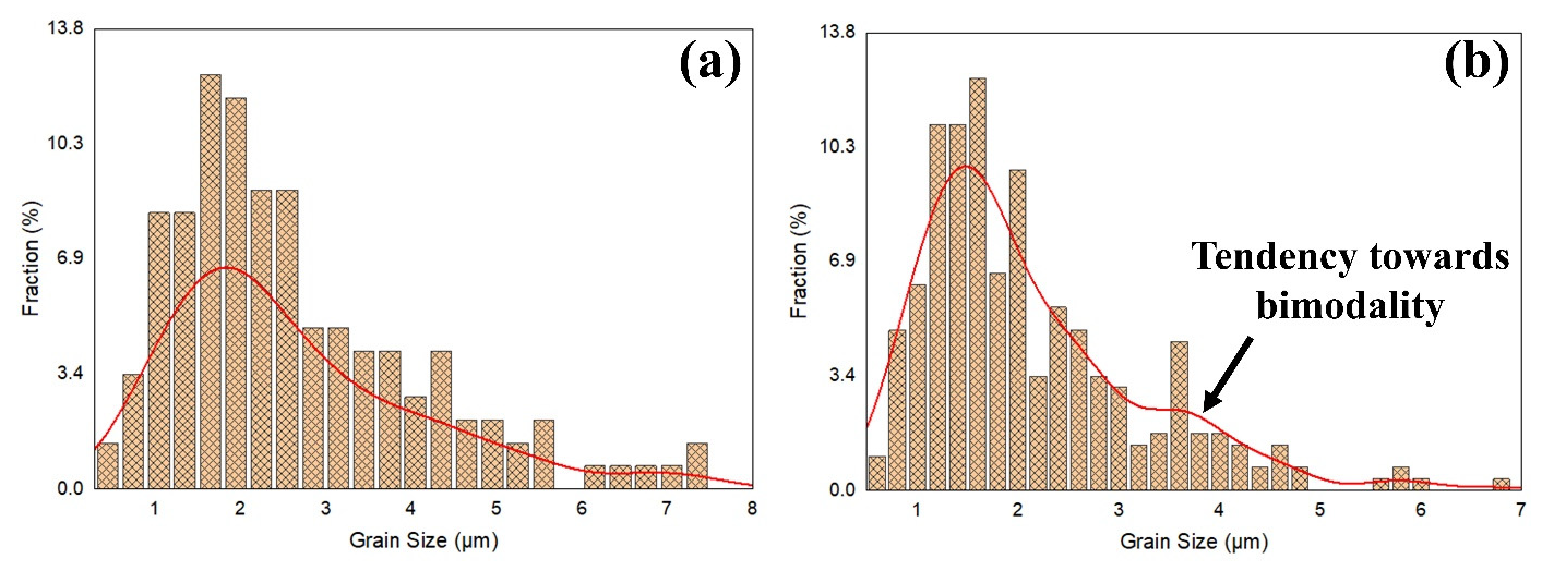
- The surface alloys manufactured through FSA show bimodal grain size distribution along with the ultra-grain refinement of the base metal. In the present study, the grain size of the fabricated alloy has reduced tremendously, ranging from 0.44 μm to 7.5 μm.
- Owing to the disparity in grain size accompanied by the heterogeneous introduction of alloying elements, the average hardness of friction stir alloyed Cu is 6% higher than the base metal. FSA results in a peak hardness enhancement of 18.4 %, with the maximum hardness, obtained being 130.2 HV.
- Strengthening of the fabricated alloy in the stir zone due to reduction in grain size and alloying results in a morphological discontinuity across the TMAZ/HAZ interface. If the whole substrate is subjected to tensile stress, the tensile failure occurs at this interface. However, the obtained UTS of 240 MPa in the current scenario is slightly greater than that of the base metal (236 MPa).
Author Contributions
Funding
Data Availability Statement
Acknowledgments
Conflicts of Interest
References
- Butterworth, G.J.; Forty, C.B.A. A Survey of the Properties of Copper Alloys for Use as Fusion Reactor Materials. J. Nuc. Mater. 1992, 189, 237–276. [Google Scholar] [CrossRef]
- Wiffen, F.W.; Reuther, T.C.; Gold, R.E. Copper and Copper Alloys for Fusion Reactor Applications: Summary Report of a DOE-OFE Workshop. J. Nuc. Mater. 1984, 122, 799–801. [Google Scholar] [CrossRef][Green Version]
- Kalinin, G.; Matera, R. Comparative Analysis of Copper Alloys for the Heat Sink of Plasma Facing Components in ITER. J. Nuc. Mater 1998, 258–263, 345–350. [Google Scholar] [CrossRef]
- Zhou, E.; Qiao, D.; Yang, Y.; Xu, D.; Lu, Y.; Wang, J.; Smith, J.A.; Li, H.; Zhao, H.; Liaw, P.K.; et al. A Novel Cu-Bearing High-Entropy Alloy with Significant Antibacterial Behavior against Corrosive Marine Biofilms. J. Mater. Sci. Technol. 2020, 46, 201–210. [Google Scholar] [CrossRef]
- Wang, Y.; Chen, M.; Zhou, F.; Ma, E. High Tensile Ductility in a Nanostructured Metal. Nature 2002, 419, 912–915. [Google Scholar] [CrossRef] [PubMed]
- Vu Quoc, T.; Duong, L.T.; Quoc, V.D.; Tran Quoc, T.; Nguyen Trong, D.; Talu, S. Effect of doped H, Br, Cu, Kr, Ge, As and Fe on structural features and bandgap of poly C13H8OS-X: A DFT calculation. Des Monomers Polym. 2021, 24, 53–62. [Google Scholar] [CrossRef] [PubMed]
- Tuan, T.Q.; Dung, N.T. Effect of heating rate, impurity concentration of Cu, atomic number, temperatures, time annealing temperature on the structure, crystallization temperature and crystallization process of Ni 1− x Cu x bulk; x= 0.1, 0.3, 0.5, 0.7. Int. J. Mod. Phys. B 2018, 32, 1830009. [Google Scholar] [CrossRef]
- Shiri, S.G.; Sarani, A.; Hosseini, S.R.E.; Roudini, G. Diffusion in FSW Joints by Inserting the Metallic Foils. J. Mater. Sci. Tech. 2013, 29, 1091–1095. [Google Scholar] [CrossRef]
- Shukla, S.; Wang, T.; Frank, M.; Agrawal, P.; Sinha, S.; Mirshams, R.A.; Mishra, R.S. Friction Stir Gradient Alloying: A Novel Solid-State High Throughput Screening Technique for High Entropy Alloys. Mater. Tod. Commun. 2020, 23, 100869. [Google Scholar] [CrossRef]
- Karthik, G.M.; Ram, G.D.J.; Kottada, R.S. Friction Stir Selective Alloying. Mater. Sci. Eng. A 2017, 684, 186–190. [Google Scholar] [CrossRef]
- Agrawal, P.; Shukla, S.; Gupta, S.; Agrawal, P.; Mishra, R.S. Friction Stir Gradient Alloying: A High-Throughput Method to Explore the Influence of V in Enabling HCP to BCC Transformation in a γ-FCC Dominated High Entropy Alloy. App. Mater. Tod. 2020, 21, 100853. [Google Scholar] [CrossRef]
- Sahu, P.K.; Das, J.; Chen, G.; Liu, Q.; Pal, S.; Zeng, S.; Shi, Q. Friction Stir Selective Alloying of Different Al% Particulate Reinforced to AZ31 Mg for Enhanced Mechanical and Metallurgical Properties. Mater. Sci. Eng. A 2020, 774, 138889. [Google Scholar] [CrossRef]
- Ke, L.; Huang, C.; Xing, L.; Huang, K. Al–Ni Intermetallic Composites Produced in Situ by Friction Stir Processing. J. Alloy. Compd. 2010, 503, 494–499. [Google Scholar] [CrossRef]
- Chuang, C.H.; Huang, J.C.; Hsieh, P.J. Using Friction Stir Processing to Fabricate MgAlZn Intermetallic Alloys. Scrip. Mater. 2005, 53, 1455–1460. [Google Scholar] [CrossRef]
- Wang, T.; Shukla, S.; Gwalani, B.; Sinha, S.; Thapliyal, S.; Frank, M.; Mishra, R.S. Co-Introduction of Precipitate Hardening and TRIP in a TWIP High-Entropy Alloy Using Friction Stir Alloying. Sci. Rep. 2021, 11, 1579. [Google Scholar] [CrossRef]
- Li, J.; Huang, Y.; Wang, F.; Meng, X.; Wan, L.; Dong, Z. Enhanced Strength and Ductility of Friction-Stir-Processed Mg–6Zn Alloys via Y and Zr Co-Alloying. Mater. Sci. Eng. A 2020, 773, 138877. [Google Scholar] [CrossRef]
- Farghadani, M.; Karimzadeh, F.; Enayati, M.H.; Naghshehkesh, N.; Moghaddam, A.O. Fabrication of AZ91D/Cu/Mg2Cu and AZ91D/Mg2Cu/MgCu2/MgO in-Situ Hybrid Surface Nanocomposites via Friction Stir Processing. Surf. Topogr. Metrol. Prop. 2020, 8, 045002. [Google Scholar] [CrossRef]
- Kumar, H.; Khan, M.Z.; Vashista, M. Microstructure, Mechanical and Electrical Characterization of Zirconia Reinforced Copper Based Surface Composite by Friction Stir Processing. Mater. Res. Exp. 2018, 5, 086505. [Google Scholar] [CrossRef]
- Zykova, A.P.; Tarasov, S.Y.; Chumaevskiy, A.V.; Kolubaev, E.A. A Review of Friction Stir Processing of Structural Metallic Materials: Process, Properties, and Methods. Metals 2020, 10, 772. [Google Scholar] [CrossRef]
- Luo, P.; McDonald, D.T.; Xu, W.; Palanisamy, S.; Dargusch, M.S.; Xia, K. A Modified Hall–Petch Relationship in Ultrafine-Grained Titanium Recycled from Chips by Equal Channel Angular Pressing. Scrip. Mater. 2012, 66, 785–788. [Google Scholar] [CrossRef]
- Naik, R.B.; Reddy, K.V.; Reddy, G.M.; Kumar, R.A. Development of High-Strength and High-Electrical Conductivity Cu–Zr Alloy Through Friction Stir Processing. Trans. Indian. Inst. Met. 2019, 72, 1431–1435. [Google Scholar] [CrossRef]
- Patel, V.; Li, W.; Vairis, A.; Badheka, V. Recent Development in Friction Stir Processing as a Solid-State Grain Refinement Technique: Microstructural Evolution and Property Enhancement. Crit. Rev. Soild State Mater. Sci. 2019, 44, 378–426. [Google Scholar] [CrossRef]
- Ma, Z.Y.; Mishra, R.S.; Mahoney, M.W. In Friction stir welding and processing II, K.V. In Friction Stir Processing for Microstructural Modification of an Aluminum Casting; Jata, K.V., Mahoney, M.W., Mishra, R.S., Semiatin, S.L., Lienert, T., Eds.; TMS (The Minerals, Metals & Materials Society): Warrendale, PA, USA, 2003; pp. 221–230. [Google Scholar]
- Hsu, C.J.; Kao, P.W.; Ho, N.J. Ultrafine-Grained Al–Al2Cu Composite Produced in Situ by Friction Stir Processing. Scrip. Mater. 2005, 53, 341–345. [Google Scholar] [CrossRef]
- Khodabakhshi, F.; Arab, S.M.; Švec, P.; Gerlich, A.P. Fabrication of a New Al-Mg/Graphene Nanocomposite by Multi-Pass Friction-Stir Processing: Dispersion, Microstructure, Stability, and Strengthening. Mater. Charact. 2017, 132, 92–107. [Google Scholar] [CrossRef]
- Mukherjee, S.; Ghosh, A.K. Friction Stir Processing of Direct Metal Deposited Copper–Nickel 70/30. Mater. Sci. Eng. A 2011, 528, 3289–3294. [Google Scholar] [CrossRef]
- Xie, S.; Li, R.; Yuan, T.; Chen, C.; Zhou, K.; Song, B.; Shi, Y. Laser Cladding Assisted by Friction Stir Processing for Preparation of Deformed Crack-Free Ni-Cr-Fe Coating with Nanostructure. Opt. Laser. Technol. 2018, 99, 374–381. [Google Scholar] [CrossRef]
- Sabbaghian, M.; Shamanian, M.; Akramifard, H.R.; Esmailzadeh, M. Effect of Friction Stir Processing on the Microstructure and Mechanical Properties of Cu–TiC Composite. Ceram. Int. 2014, 40, 12969–12976. [Google Scholar] [CrossRef]
- Priyadharshini, G.S.; Kumar, T.S.; Anbuchezhian, N.; Vignesh, R.V.; Subramanian, R.; Velmurugan, T.; Basha, K.K. Influence of Tool Traverse Speed on Microstructure and Mechanical Properties of CuNi/B4C Surface Composites. Trans. IMF 2021, 99, 38–45. [Google Scholar] [CrossRef]
- Sahandi Zangabad, P.; Khodabakhshi, F.; Simchi, A.; Kokabi, A.H. Fatigue Fracture of Friction-Stir Processed Al–Al3Ti–MgO Hybrid Nanocomposites. Int. J. Fatigue 2016, 87, 266–278. [Google Scholar] [CrossRef]
- Mehdi, H.; Mishra, R.S. Effect of Friction Stir Processing on Mechanical Properties and Heat Transfer of TIG Welded Joint of AA6061 and AA7075. Def. Technol. 2020. [CrossRef]
- Ţălu, Ş. Micro and Nanoscale Characterization of Three Dimensional Surfaces: Basics and Applications, 2015 ed.; Napoca Star Publishing House: Cluj-Napoca, Romania, 2015; ISBN 978-606-690-349-3. [Google Scholar]









| Element | Cu | Sn | Fe | P | Zn | Pb | S |
|---|---|---|---|---|---|---|---|
| Content (wt%) | >99.92 | 0.04 | 0.001 | 0.02 | 0.012 | 0.003 | 0.002 |
| Related Study | Objective | Base Material | Mechanical Property Change | Effect on Microstructure |
|---|---|---|---|---|
| Current study | Friction stir alloying of Cu with Ni, Zn, and Mg | Commercially pure Cu | Increased hardness of the fabricated alloy | Ultrafine grained alloy fabricated having a uniform distribution of alloying elements without the formation of hard intermetallic compounds |
| Shiri et al. [8] | To study diffusion phenomenon in FSW joints by inserting foils of Cu, Zn, brass, and Cu-Zn-Ni alloy | Pure Al | Increase in joint strength | Diffusion of foil material in Al to form solid solution suggests successful alloying |
| Shukla et al. [9] | To study the effect of gradient Cu addition on phases and mechanical properties | Fe40Mn20Co20Cr15Si5 (at.%) HEA | Young’s modulus increased from ∼153 GPa to ∼224 GPa | Formation and stabilization of γ-fcc phase occurs due to the addition of Cu |
| Karthik et al. [10] | Selective alloying of Al with Cu via FSP | Pure Al | Higher strength of stir zone | Al-Cu alloyed stir zone responds well to aging/ heat treatment |
| Sahu et al. [12] | Friction stir selective alloying of AZ31 Mg alloy with Al | Rolled AZ31 Mg alloy | Enhancement of ductility | Hard intermetallic compounds formed in SZ |
| S. No. | Specimen | UTS (MPa) | Elongation (%) | Failure Location |
|---|---|---|---|---|
| 1 | Cu base metal | 236 | 22 | --------------- |
| 2 | Processed Cu | 240 | 18 | TMAZ/HAZ Interface |
Publisher’s Note: MDPI stays neutral with regard to jurisdictional claims in published maps and institutional affiliations. |
© 2021 by the authors. Licensee MDPI, Basel, Switzerland. This article is an open access article distributed under the terms and conditions of the Creative Commons Attribution (CC BY) license (https://creativecommons.org/licenses/by/4.0/).
Share and Cite
Moiduddin, K.; Siddiquee, A.N.; Abidi, M.H.; Mian, S.H.; Mohammed, M.K. On Novel Copper Based Alloys Development via Friction Stir Alloying. Crystals 2021, 11, 498. https://doi.org/10.3390/cryst11050498
Moiduddin K, Siddiquee AN, Abidi MH, Mian SH, Mohammed MK. On Novel Copper Based Alloys Development via Friction Stir Alloying. Crystals. 2021; 11(5):498. https://doi.org/10.3390/cryst11050498
Chicago/Turabian StyleMoiduddin, Khaja, Arshad Noor Siddiquee, Mustufa Haider Abidi, Syed Hammad Mian, and Muneer Khan Mohammed. 2021. "On Novel Copper Based Alloys Development via Friction Stir Alloying" Crystals 11, no. 5: 498. https://doi.org/10.3390/cryst11050498
APA StyleMoiduddin, K., Siddiquee, A. N., Abidi, M. H., Mian, S. H., & Mohammed, M. K. (2021). On Novel Copper Based Alloys Development via Friction Stir Alloying. Crystals, 11(5), 498. https://doi.org/10.3390/cryst11050498

