Abstract
The reaction of organic molecules mediated by a metal center (template synthesis) can result in a final connectivity that may differ from the one obtained in the absence of the metal. The condensation of carbonyl fragments with primary amines form C=N iminic bonds, the so-called Schiff bases, which can act as ligands for the templating metal center by means of the lone pair on the nitrogen atom. This review focuses on the template methods for the reaction between a carbonyl compound (mainly salicylaldehyde) and a primary aliphatic diamine able to prevent the double condensation on both amine groups and obtain tridentate N2O ligands. These adducts, still having one free amino group, can further react, yielding tetradentate salen-type Schiff base ligands. A screening over the transition metals able to show such a template effect will be presented, with particular attention to copper(II), together with their peculiar reactivity and the available crystal structure of the metal complexes and related coordination geometries.
1. Introduction
The term template synthesis can be referred to ligand-based reactions that occur between two or more organic molecules coordinated to a metal center. This emphasizes the pre-organization of the organic derivatives, now called ligands, given by the coordination sphere of the metal ion, so that, in its absence, the same organic reaction might produce different products. The template effect induced by the metal center plays an important role in coordination chemistry and it can be divided in two main ones: first, a metal ion is able to hold the reactive functional groups in a position so that the reaction between them may occur (kinetic template effect), and second, once the reaction has occurred, a thermodynamic more stable product, stabilized by chelation to the metal ion, is present as a ligand (thermodynamic template effect) []. The modification of the electronic properties (acidity, flexibility, conjugation, etc.) of the ligands upon coordination is also the reason that explains the variability of the observed reactivity. Crown ethers [] are among the most famous examples of organic molecules obtained through a template synthesis; it involves the alkylation of alcohols in the presence of alkali metals or other cations with variable ionic radii to preferentially obtain cyclic poly-ethers with modulated sizes [,]. The alkali metal ion employed during the syntheses of crown ethers can then be easily expelled from the cavity, liberating the crown ether for its subsequent use. It has also to be noted that some reactions can proceed similarly in the absence of the templating ion, even if usually with lower yields and selectivity.
The condensation of a carbonyl moiety RR’C=O (R, R’ = alkyl or aryl groups for ketones, R’ = H for aldehydes) with a primary amine R’’NH2 (R’’ = alkyl or aryl group) forms an iminic RR’C=NR’’ bond, which is referred to as azomethine or secondary aldimmine when R’ = H []. The term Schiff base is now commonly applied to these compounds since the first report by Hugo Schiff more than one and a half century ago [], and the lone pair of the iminic nitrogen atom makes Schiff bases popular as ligands for metal centers []. Among the innumerable known Schiff bases, the most used, studied, and applied are the polydentate ones, in which other coordinative sites are combined with the iminic nitrogen atom within the organic ligand skeleton. In fact, metal complexes with macrocyclic [,,,,,,,,,,] and acyclic [,,,,,,] polydentate Schiff base ligands show enhanced thermodynamic stability due to the chelating effect []. The most famous acyclic Schiff base is the tetradentate N2O2 N,N’-bis(salicylidene)ethylenediamine, H2salen (Figure 1), which is obtained by the condensation of two moles of salicylaldehyde, H-salH, and one mole of ethylenediamine, en, which has been now known for almost one century []. By modification of the diamine derivative, the analogues H2salophen, H2saltn, H2salchxn, and the shorter H2salmen, H2salben [,,,,] (Figure 1), have been described. The choice of a different carbonyl moiety is also reported, as shown for structures H2acacen and H2hapen (Figure 1). These Schiff bases have been probably used for coordinating almost all the metals of the Periodic Table [,] due to the hosting tetradentate pocket, and applied in catalysis [], biomimetic systems [] and materials for their optical, electronic, and magnetic features [,,].

Figure 1.
Molecular structures of tetradentate N2O2 salen-type Schiff bases.
All the structures reported in Figure 1 are symmetric with respect to the carbonyl moieties condensed on the diamine. If unsymmetrical diimine is required, two sequential reaction steps are necessary, each of them able to introduce a different carbonyl portion. However, especially with aldehydes and aliphatic diamines, due to their higher reactivity compared to ketones [] and aromatic diamines, it is usually very difficult to obtain mono-condensation of only one amine group with one aldehyde moiety, yielding the so-called tridentate N2O half units, HL (for example, N-salicylideneethylenediamine from salH and en). To the best of our knowledge, the reaction of equimolar amounts of en or 1,3-diaminopropane (tn) with G-salH (G = variable substituents) gives invariably the doubly-condensed symmetric product H2salen or H2saltn even when a 4-fold excess of the diamine is used [,,]. Nevertheless, there are examples in which diamines such as 1,2-diaminocyclohexane (chxn) [,,,,,] and 1,2-phenylenediamine (1,2-phen) [,,,,] can react with G-salH (G = H, 5-tBu, 3,5-tBu2, 3-COOH, etc.) under strictly controlled conditions to give the mono-condensation product, which is ready to subsequently condense with a second different carbonyl derivative yielding unsymmetrically substituted tetradentate derivatives ready for metal complexation [,,,]. In addition, diaminomaleonitrile (dmn) efficiently reacts with only one molecule of H-salH, leading to the tridentate ligand [,], which subsequently forms complexes for example with copper(II) [] and nickel(II) []. Less reactive ketones (acetophenone, acetylacetone, etc.) instead of G-salH make the isolation of the tridentate HL Schiff bases possible [,,], and then the subsequent second condensation to the unsymmetrically substituted tetradentate ligands and their metal complexes [,,,].
A powerful strategy to gain control on the condensation between aliphatic diamines (such as en and tn) and different carbonyl compounds can rely on the template effect. The method exploits the presence of a metal center able to properly direct the reacting species through coordination. Indeed, the condensation reaction can also occur when the two organic reagents are already coordinated to the metal ion, leading directly to a metal complex with the imine. The templating center can be in some cases removed from the Schiff base, as in the case of crown ethers, by applying competing complexation reactions, such as with nickel(II) and dimethylglioxime (Hdmg) [], or replaced by metal scrambling []. By the way, this is feasible for mononuclear complexes or isolated monometallic coordination environments, while it may become complicated or even not achievable when polynuclear species with bridging coordinating atoms are formed upon condensation of the surrounding Schiff base ligands.
Due to the vastness of studies on Schiff bases, which have been known and applied by chemists since the early stages of coordination chemistry, during the last century and far from being exhaustive, this review focuses on the essential template effect given by transition metal ions, with particular attention to copper(II), in obtaining tridentate N2O half units and tetradentate salen-type Schiff base ligands derived from G-salH and primary aliphatic diamines, not accessible without the presence of the metal center, and their complexes.
2. Template Effect of Copper(II)
2.1. Tridentate N2O Schiff Bases and Their Omplexes
Copper (II) has revealed to be a very versatile and efficient templating metal ion for obtaining tridentate N2O half units, and several approaches have been described for the last four decades. The first method here described employs an auxiliary monodentate ligand L’ in the reaction process to isolate the mononuclear complexes of general formula [Cu(GL)(L’)](X) (X– = anion) [,,,,,,,,,,]. The reaction occurs at room temperature in methanol, and the sequence of addition of the reagents in the reaction mixture is fundamental, usually entailing copper(II) salt, G-salH, and L’ first in a 1:1:3 ratio, and then the aliphatic diamine. This ensures first the coordination of G-sal– as a bidentate ligand and two molecules of L’ to copper(II) yielding the intermediate [Cu(G-sal)(L’)2]+, Equation (1a): then, it can undergo condensation to one among the two primary amino functions once the diamine is added, yielding the N2O tridentate Schiff base ligand GL– and concomitant replacement of one molecule of L’ by the remaining free amino group, Equation (1b) [].
G-salH + CuX2 + 3 L’ → [Cu(G-sal)(L’)2](X) + HL’X (X– = NO3–, ClO4–; L’ = py, imH, pip)
[Cu(G-sal)(L’)2](X) + diamine → [Cu(GL)(L’)](X) + L’ + H2O (diamine = en, tn, pn, chxn, dpen)
The auxiliary ligands L’ usually employed are pyridine (py) [,,,,,,,,], imidazole (imH) [,], and piperidine (pip) [,], while the copper(II) salts are nitrate [,] or perchlorate [,,,,,,,,]. The py/ClO4– combination is among the most applied since it probably ensures the highest purity and yield of the isolated products. This method revealed to be very versatile in terms of the variability of the substituent on the G-salH and its position on the aromatic ring. Unsubstituted H-salH has been mainly employed [,,,], but the presence of electron withdrawing (5-NO2 [,,]) or releasing (3-OMe [,,], 5-OMe []) groups is also well tolerated by this synthetic path. The aliphatic diamine can also vary from en [,,,] to tn [], 2-methyl-1,2-diaminopropane (pn) [,], 2,2,-dimethyl-1,3-diaminopropane [,], and the chiral chxn and diphenylethylendiamine (dpen) [,,,].
The efficacy of this method, which takes advantage of the thermodynamic template effect [], relies on two features: (i) copper prefers a square planar geometry, and (ii) the ancillary ligand L’ can saturate the coordination sites in the intermediate [Cu(G-sal)(L’)2]+ in solution and in the final product [Cu(GL)(L’)](X) in the solid state to ensure such a coordination environment (Figure 2). Indeed, the crystal structure of several derivatives has been obtained during the years [,,,,,], and all of them show the copper(II) ion surrounded by the N2O ligand GL– and a molecule of auxiliary ligand L’ in the equatorial plane. The Cu-O bond distances usually settle around 1.90 Å, while the Cu-N ones are usually longer and depend on the nitrogen atom involved. The iminic nitrogen atom is usually more strongly coordinated to copper(II) with shorter distances (around 1.95 Å) than the ones involving the amino group and the ancillary ligand L’ (around 2.00 Å), and this can be ascribed by its central position in the chelating tridentate N2O ligand and its contemporary involvement in two metallacycles. It is worthy to compare the two derivatives [Cu(HL)(L’)](ClO4) with L’ = imH [] and py [] and both with HL− derived from en. The Cu-N distance with imH is markedly shorter (1.968(2) Å) than the one with py (2.037(5) and 2.016(4) Å for the two independent molecules in the asymmetric unit), while all the other coordination bonds are practically coincident, suggesting a stronger interaction of imH compared to py. The departure from the ideal square planar geometry is usually given by slight tetrahedral distortions, being higher in the case of tn derivatives compared to en ones.

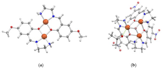
Figure 2.
Molecular structures of two mononuclear copper(II) complexes with tridentate N2O Schiff base ligands: (a) [Cu(HL)(py)](ClO4) (HL– from H-salH and tn, dimeric assembly of two cationic species through short Cu⋅⋅⋅O interactions, dashed green lines), CSD/CCDC VOGTOB/684254 [], and (b) [Cu(HL)(imH)](ClO4) (HL– from H-salH and en, N–H⋅⋅⋅O intermolecular hydrogen bond between two cations in dashed green line), CSD/CCDC SIFZOW/1258852 []. Reproduction of the structures with Mercury® 4.3.1 software [], color code: Cu = orange, O = red, N = blue, C = gray, H = white, perchlorate anions omitted for clarity.
Additional interactions usually occur in the copper(II) apical position with the surrounding anions, especially perchlorate showing Cu⋅⋅⋅OClO3 distances ranging from 2.50 to 3.00 Å [,,], with solvent molecules such as water, as in the case of [Cu(OMeL)(pip)](ClO4)⋅H2O (OMeL− from 3-OMe-salH and chxn) with Cu⋅⋅⋅OH2 = 2.582(10) Å [], or with an adjacent mononuclear unit, forming dimeric assembly through Cu⋅⋅⋅O(phenoxido) interactions, which can be as short as 2.4008(9) Å in the complex [Cu(HL)(py)](ClO4) (HL– from H-salH and tn) (Figure 2a) []. Then, the metal center is usually referred to as pentacoordinate in a square pyramidal geometry with a long apical distance. The NH free moiety of imH in [Cu(HL)(imH)](ClO4) (HL− from H-salH and en) forms a hydrogen bond (H-bond) with the phenoxido oxygen atom of an adjacent unit (Figure 2b), giving rise to a zig-zag chain in the solid state; this acidic proton can be further deprotonated by the addition of an excess of triethylamine yielding the dinuclear complex [Cu2(μ-im)(HL)2](ClO4) with a bridging im– anion [].
Differently from mononuclear complexes derived from en and tn, which are usually employed as synthetic precursors (see the following discussion), the mononuclear derivatives [Cu(GL)(py)](ClO4) from meso-dpen (G = H, 3-OMe) were screened for their in vitro cytotoxic activity against cancer cell lines [], while [Cu(GL)(py)](ClO4) from (1R,2R)-(+)-dpen or (1S,2S)-(+)-chxn (G = 5-NO2), thanks to their non-centrosymmetric crystal packing in the solid state, were synthesized and analyzed for their solid-state nonlinear optical (NLO) properties [].
The second method that employs copper(II) as template center to obtain mono- condensation of G-salH with aliphatic diamines, especially en or tn, does not use any ancillary ligand but relies on the high-dilution of the reactants. The synthetic procedure consists of the addition of a concentrated solution of Cu(ClO4)2·6H2O and diamine (≈ 0.4 mol L−1) in a MeOH:H2O 1:1 solvent mixture to a boiling diluted methanolic solution of the sodium salt of the G-salH (≈ 0.01 mol L−1), Equation (2). Then, the reaction mixture is refluxed for 2–3 h, and the product, as a dinuclear species of general formula [Cu2(μ-GL)2](ClO4)2, can be recovered as solid upon concentration of the mother liquor [,,,,].
2 G-salNa + 2 Cu(ClO4)2 + 2 diamine → [Cu2(μ-GL)2](ClO4)2 + 2 NaClO4 + 2 H2O (diamine = en, tn)
This method is less common than the one previously described, probably because of the higher amount of employed solvent and the refluxing conditions, but it has also proved good versatility with respect to the substituents on the aromatic ring (G = H [,,], 5-Me [], 5-OMe [], 5-R with R = C5H11O, C6H13O, C7H15O, and C9H19 []), and the aliphatic diamine, en [,,,] or tn [,,]. From a structural point of view, two [Cu(GL)]+ moieties are linked together by bridging phenoxido oxygen atoms, which act as fourth ligand to complete the square planar coordination of copper(II) [,] (Figure 3a). These complexes are characterized by a pair of ‘long’ Cu–O bonds, ranging from 1.95 to 2.00 Å, which keep together the two mononuclear half units, as distinguished from the other pair of ‘short’ Cu-O coordination bonds, falling in the typical range 1.90–1.95 Å.

Figure 3.
Molecular structures of (a) the dinuclear [Cu2(μ-OMeL)2](ClO4)2 (OMeL– from 5-OMe-salH and en), CSD/CCDC VOGVET/684257 [], and (b) the trinuclear [Cu3(μ3-OH)(NO2L)3](ClO4)2 ⋅acetone (NO2L– from 5-NO2-salH and en, Cu⋅⋅⋅O(acetone) interaction as dashed green line) CSD/CCDC VOGVUJ/684260 []. Reproduction of the structures with Mercury® 4.3.1 software [], color code: Cu = orange, O = red, N = blue, C = gray, H = white, perchlorate anions omitted for clarity.
Further interactions with the perchlorate anions or additional solvent molecules occur in the fifth apical position of one or both copper(II) ions, as observed for the mononuclear derivatives. With this regard, the comparison between [Cu2(μ-HL)2](ClO4)2 [] and [Cu2(μ-HL)2(μ-MeOH)](ClO4)2 [,], both derived from H-salH and tn, can reveal some details on the electronic needs of copper(II). The absence of bridging solvent led to multiple short interactions with the perchlorate anions ranging from 2.511(2) to 2.854(2) Å on both sides of the coordination square plane, resulting in a zig-zag arrangement of dinuclear species in the solid state []. On the other side, the presence of the bridging methanol gives rise to short interactions with both copper(II) ions (Cu1⋅⋅⋅O1(MeOH) = 2.650(3) and Cu2⋅⋅⋅O1(MeOH) = 2.480(3) Å []) pushing the perchlorate anions farther, which only interact with the copper(II) that shows the longest distance with methanol with a weaker interaction than before (Cu1⋅⋅⋅O1ClO3) = 2.948(11) Å) on the other side of the square plane.
The high-dilution template method under the same reaction conditions of boiling methanol affords trinuclear species of general formula [Cu3(μ3-OH)(GL)3](ClO4)2 when operating in a basic medium, Equation (3) [,,,,,,]. Of sure interest is the combined effect of the electronic features of the substituent on the G-salH on the reaction product: the electron donor methoxy group (G = 5-OMe) leads invariably to the dinuclear species even in excess of NaOH as source of the bridging OH group, while the electron withdrawing nitro group (G = 5-NO2) yields only to the trinuclear compounds also in defect of base []. Furthermore, the electronic effect exerted by the substituent G in position 5 (Me, H, Br, NO2) is able to efficiently modulate the Cu⋅⋅⋅Cu magnetic super-exchange in these spin-frustrated systems [].
3 G-salNa + 3 Cu(ClO4)2 + 3 diamine + NaOH → [Cu3(μ3-OH)(GL)3](ClO4)2 + 4 NaClO4 + 3 H2O (diamine = en, tn)
A triply-bridging hydroxido ligand occupies the fourth coordination site of each of the three copper(II) ions with a bond distance slightly varying around 2.00 Å and giving rise to a global propeller-like structure formed by the three [Cu(GL)]+ blades. Additional elongated Cu⋅⋅⋅O apical positions (2.30–2.50 Å) are occupied by the oxygen atom of the adjacent blade, thus increasing the coordination toward square pyramidal and with a partial cubane Cu3O4 core (Figure 3b) []. Further additional apical interactions of the copper(II) ions with perchlorate anions and/or solvent molecules are also active in practically all the known derivatives [,,,].
The addition of a base (excess of Et3N or stoichiometric NaOH) to a suspension of the mononuclear [Cu(GL)(L’)](ClO4) or dinuclear [Cu2(μ-GL)2](ClO4)2 derivatives in methanol leads to their conversion into the trinuclear species [Cu3(μ3-OH)(GL)3](ClO4)2 as a result of the increasing concentration of OH− ions into the basic medium [,,,]. This conversion method is particularly convenient for obtaining the trinuclear derivatives since it avoids the use of harsh reaction conditions and high amounts of methanol. It is of sure interest to highlight the effect of the position of the substituent G and its steric requirements, since the treatment of [Cu(GL)(py)](ClO4) with a 3:1 molar excess of Et3N gave invariably the dinuclear species of general formula [Cu2(μ-OH)(GL)2](ClO4) when G = 3-OMe, while it gave the trinuclear complexes when G = H, independently of the diamine used (en, chxn, or 2-methyl-1,2-diaminopropane) [].
Indeed, mono-, di-, and tri-nuclear compounds have been suggested to be in equilibrium in solution with their mononuclear solvated species [Cu(GL)(solv)]+ (solv = H2O, MeOH), which can readily interconvert depending on the concentration, pH, and temperature [,,,,]. Structural evidences of the existence of such solvated species can be found in the isolation in the solid state of the complex [Cu(NO2L)(H2O)](ClO4)⋅2H2O (NO2L− from 5-NO2-salH and en) from the reaction mixture for the synthesis of [Cu3(μ3-OH)(NO2L)3](ClO4)2 [] (Figure 4a), and of the complex [Cu(HL)(dmf)](ClO4) (dmf = coordinated dimethylformamide, HL− from H-salH and tn) by the recrystallization of a DMF solution of [Cu(HL)(py)](ClO4) with diisopropyl ether [] (Figure 4b). In addition, electron paramagnetic resonance (EPR) spectroscopy allowed to observing the formation in solution of the solvated species [Cu(HL)(MeOH)]+ (HL− from H-salH and tn) upon dissolution of the dinuclear complexes [Cu2(μ-N−N)(HL)2](ClO4)2 (N−N = 4,4′-bipyridine and piperazine), in turn obtained from the mononuclear [Cu(HL)(py)](ClO4) [].

Figure 4.
Molecular structures of the solvated species (a) [Cu(NO2L)(H2O)](ClO4)⋅2H2O (NO2L– from 5-NO2-salH and en, apical Cu⋅⋅⋅O interaction with the perchlorate anion and hydrogen bonds with the co-crystallized water molecules as dashed green lines), CSD/CCDC VOGTUH/684255 [], and (b) [Cu(HL)(dmf)](ClO4) (HL– from H-salH and tn, dimeric assembly of two cationic species through short Cu⋅⋅⋅O(phenoxido) interactions as dashed green lines), CSD/CCDC ZAWZEE/827358; only one of the two independent molecules is depicted []. Reproduction of the structures with Mercury® 4.3.1 software [], color code: Cu = orange, O = red, N = blue, C = gray, H = white, perchlorate anions omitted for clarity in (b).
Alternatively, in the presence of a stronger coordinating anion compared to ClO4–, such as Cl–, N3–, NCO–, NCS–, etc., the dinuclear species [Cu2(μ-X)2(GL)2] are obtained and stabilized in the solid state. There are examples where they can be obtained directly by the reaction of CuX2:diamine:G-salH in a 1:1:1 ratio, which is followed by the addition of an excess of sodium salt of the anion X− if different from the one of the copper(II) salt (G = H [], 3-OMe [], naphtalaldehyde [], 5-Cl []), Equation (4), but they can be more conveniently prepared by the conversion of suitable precursors, such as [Cu(GL)(py)](ClO4) [,] and [Cu2(μ-GL)2](ClO4)2 [,], by the addition of an excess of NaX. In these complexes, the anion X− occupies the fourth coordination site of copper(II) within the square plane with a short bond length, and it acts as bridging ligand toward a second [Cu(GL)]+ unit with a longer distance and occupying a fifth apical position. Then, each of the two metal centers can be considered pentacoordinate in a square pyramidal geometry with a long apical distance [,,,,]. This coordination situation gives rise to a ladder-like structure where the two square-planar coordination environments are not coplanar, implying peculiar Cu⋅⋅⋅Cu magnetic super-exchange interactions [,,].
2 H-salH + 2 CuCl2 + 2 en → [Cu2(μ-Cl)2(HL)2] + 2 HCl + 2 H2O
2 3-OMe-salH + 2 Cu(ClO4)2 + 2 en + 2 NaN3 → [Cu2(μ-N3)2(OMeL)2] + 2 HClO4 + 2 NaClO4 + 2 H2O
Indeed, taking advantage of the lability of py in [Cu(GL)(py)](ClO4) (GL− from en, G = 5-NO2, H) or the possibility to disrupt the dinuclear units in [Cu2(μ-GL)2](ClO4)2 (GL− from en, G = 5-OMe, H) upon the addition of lithium chloride together with HCl for py-containing starting complexes, the electronically modulated complexes with molecular formula [Cu(GL)(Cl)] have been recently reported and studied for their in vitro cytotoxic activity against different cancer cell lines []. Notably, while the derivatives with OMe and H show the dinuclear units [Cu2(μ-Cl)2(GL)2] in the solid state through two bridging chloride ions as previously observed [], a 1D polymeric chain assembly [Cu(μ-Cl)(NO2L)]n with only one bridging chloride ion with shorter Cu⋅⋅⋅Cl interactions compared to the dinuclear species is the most stable structure when the electron withdrawing nitro group impoverishes the copper center [].
2.2. Unsymmetrically Substituted Salen-Type Copper(II) Complexes
Reaction of the mono-, di- and tri-nuclear copper(II) complexes with N2O tridentate Schiff base ligands described above, and in particular the mononuclear ones, with a differently substituted G’-salH or another carbonyl derivative allows obtaining the unsymmetrically substituted N2O2 and N3O salen-type copper(II) complexes [,,,,,,,,,]. Reaction conditions usually involve the suspension or dissolution of the half-unit complex in methanol and addition of the second G’-salH or carbonyl derivative together with a deprotonating base (Et3N or NaOH). Upon heating under reflux, the condensation reaction occurs, and the final product precipitates from the reaction medium due to the low solubility of these neutral derivatives in a polar solvent such as methanol, Equation (5).
[Cu(GL)(L’)](X) + G’-salH + NaOH → [Cu(G-G’-salen)] + L’ + NaX + H2O
It is noteworthy that the reaction of mononuclear [Cu(OMeL)(py)](ClO4) (OMeL– from 3-OMe-salH and chxn) with pyrrole-2-carboxaldehyde (p-2-c) without the addition of base and at room temperature leads first to the coordination of the carbonyl group as a fifth apical ligand and isolation as single crystals suitable for X-ray diffraction of the species [Cu(OMeL)(py)(p-2-c)](ClO4), which highlights the role of the kinetic template effect []. The pyridyl ligand strongly deviates from the square coordination plane of copper(II) to accommodate the upcoming aldehyde group with a short Cu-O bond of 2.402(4) Å []. The presence of NaOH as a base to deprotonate the pyrrolic ring and refluxing conditions for 20 min allowed the condensation between the coordinated primary amino group of the tridentate ligand and the carbonyl moiety, leading to the final tetradentate N3O Schiff base ligand with the concomitant expulsion of py (thermodynamic template effect) [].
It is not easy to generalize, since the unsymmetrical substitution can be obtained with several derivatives, which drive the best conditions for this second template reaction. There are applications of this synthetic method in several fields, from obtaining [Cu(5-G-5′-G’-salen)] liquid crystal compounds with modulated melting points (G and G’ are long-chain alkyl or alkoxy groups) [] to push–pull [Cu(5-A-5′-D-salen/saltn)] derivatives for the study of their NLO properties (A = NO2, H; D = H, Me, OMe, NMe2) []. The use of the chiral diamines dpen and chxn leads to complexes that have been studied for example for their NLO properties [,] as well as for their in vitro anticancer activity []. The OMe as substituent in position 3 of the sal moieties is instead beneficial for obtaining hetero-oligo-nuclear clusters with 4f elements such as gadolinium [], but also terbium and dysprosium [,], which are interesting for their magnetic properties and the presence of strong ferromagnetic interaction between the paramagnetic centers []. The formation of such derivatives occurs thanks to the second coordination pocket suitable for lanthanides given by the oxygen atoms of the OMe groups in combination with the phenoxido atoms already involved in the coordination of copper(II) acting as bridges.
Molecules of [Cu(5-A-5′-D-salen/saltn)] tend to couple in head-to-tail dimers in the solid state due to dipole–dipole alignment from the charge asymmetry caused by the different substitution, together with a fifth Cu⋅⋅⋅O(phenoxido) apical interaction [] (Figure 5a). Bulky substituents on the ligand, such as in dpen [] or in 2-methyl-1,2-diaminopropane [] derivatives, reduce this tendency as they allow only weaker interactions (Figure 5b). The presence of a (CH2)3 bridge linking the iminic nitrogen atoms also confers high flexibility to the tetradentate ligands, which can lead to a variable tetrahedral distortion of the copper(II) coordination environment [,]. For example, this deviation from square planar geometry can be quantified by the angle θ between the CuON planes of the two sal moieties (θ = 0 and 90° for pure square planar and pure tetrahedral geometries, respectively); this angle reaches the value of 28.8° in [Cu(3-OMe-3′-OMe-5′-COOMe-sal-2,2-Me2-tn)] [].

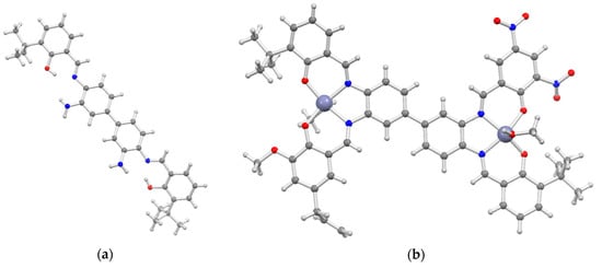
Figure 5.
Molecular structures of the unsymmetrically substituted copper(II) complexes (a) [Cu(5-NO2-5′-NMe2-saltn] (shown as head-to-tail dimer with short Cu⋅⋅⋅O(phenoxido) apical contacts as dashed green lines), CSD/CCDC NEXGED/608124 [], and (b) [Cu(3-OMe-sal(1S,2R)dpen], CSD/CCDC ADIMEI/1041832 []. Reproduction of the structures with Mercury® 4.3.1 software [], color code: Cu = orange, O = red, N = blue, C = gray, H = white.
3. Nickel (II) and Unsymmetrically Substituted Saltn Ligands
In addition to the previous methods with copper(II) [,], the mono-condensation of G-salH and tn to obtain the half unit HGL can be easily achieved by the template effect of nickel(II), as shown by Elder a few years ago []. Thanks to the preferred octahedral coordination environment of nickel(II) and the (CH2)3 bridge between the two amine groups in tn, the mononuclear complexes [Ni(GL)2] can be isolated from the reaction of G-salH, tn, and Ni(AcO)2 in a 2:2.5:1 ratio (the diamine is sometimes used in a higher excess) [,,,,,] in refluxing ethanol, Equation (6a). In these derivatives, the nickel(II) ion is hexacoordinate by two tridentate N2O Schiff base ligands GL– with an octahedral N4O2 coordination environment (Figure 6a) []. There are examples of this synthesis for similar complexes also with different carbonyl derivatives [,] or diamines, such as N-substituted tn [,]. Differently from what was reported for copper (II), this synthetic methodology cannot be used with en due to the shorter bridge of only two carbon atoms between the two amine groups, which probably does not confer enough flexibility for hosting two tridentate ligands on the same nickel(II) ion. In this case, the symmetric [Ni(salen)] is inevitably the most stable product formed []. Several G groups are tolerated by this synthetic method, ranging from H [,,,,] to electron withdrawing (5-NO2 [], 3,5-diNO2 [], 3,5-Cl2 [], 5-Br [,,]), electron releasing (5-Me [], 3-OMe [], 5-OMe []), and fused-ring 2-hydroxynaphthaldehyde [,]. The diamines 2-methyl-1,3-diaminopropane [] and 1,3-diaminopentane [] can also be applied, which is a synonym of the versatility of such a template synthesis.

Figure 6.
Molecular structures of (a) [Ni(NO2L)2] (NO2L– from 3,5-diNO2-salH and tn), CSD/CCDC TIPXUL/128426 [], and (b) [Ni(3,5-Cl2-thiosaltn)] (N2OS ligand derived from 3,5-Cl2-salH, H-thiosalH and tn, which are shown as head-to-tail dimeric assembly), CSD/CCDC LOBLET/145689 []. Reproduction of the structures with Mercury® 4.3.1 software [], color code: Ni = aquamarine, Cl = green, S = yellow, O = red, N = blue, C = gray, H = white.
At this stage, it is possible to proceed with the sequestration of nickel(II) from [Ni(GL)2] as [Ni(dmg)2] obtaining HGL as free ligand [,,,,,,,,], Equation (6b), and this differentiates the method from the ones reported above, where no attempts to remove copper(II) from the ‘half unit’ derivatives are reported. Once the N2O Schiff base is liberated, the primary amino group can easily react with a second carbonyl derivative yielding unsymmetrically substituted tetradentate salen-type ligands, which can undergo complexation with metals such as copper(II) [,,,,] and nickel(II) [,], Equation (6c).
2 G-salH + 2 tn + Ni(AcO)2 → [Ni(GL)2] + 2 AcOH + 2 H2O
[Ni(GL)2] + 2 Hdmg → [Ni(dmg)2] + 2 HGL
HGL + G’-salH—(−H2O)→ G-G’-H2saltn—(MII)→ [M(G-G’-saltn)]
Alternatively, the reaction of [Ni(GL)2] complexes with [Ni(G’-sal)2(H2O)2] ones (G’ ≠ G) leads to ligand scrambling and condensation to the unsymmetrically substituted [Ni(G-G’-saltn)] derivatives [,,], Equation (7). This reactivity revealed to be selective with no traces of symmetric complexes detected, and it takes advantage of the kinetic template effect, which stabilizes the dinuclear species [Ni2(μ-L)2(G’-sal)2] as intermediates of the ligand exchange mechanism [,], followed by the thermodynamic product [].
[Ni(GL)2] + [Ni(G’sal)2] → 2 [Ni(G-G’-saltn)] + 2 H2O
Unsymmetrically substituted [Ni(5-A-5′-D-saltn)] complexes, where G is an electron withdrawing group (A) and G’ is an electron donor group (D), have been studied for their linear and nonlinear optical features from both the experimental and the theoretical points of view as efficient push–pull systems []. Few nickel(II) derivatives have been also structurally characterized and, as observed for copper(II), molecules tend to couple in head-to-tail dimers in the solid state due to dipole–dipole alignment [,] (Figure 6b). In these cases, the tetrahedral distortion from square planar geometry reaches its highest value of 24.5° in [Ni(3,5-Cl2-thiosaltn)], where nickel(II) has an N2OS coordination set, and the high difference between the Ni-O (1.851(5) Å) and Ni-S (2.166(2) Å) bond distances is the responsible for such a distortion [].
4. Template Effect of Other Metals
4.1. Iron(III), Chromium(III), and Cobalt(III)
Other metal ions that favor an octahedral coordination, such as iron(III) [,,,], chromium(III) [,,,,,,], and cobalt(III) [,,,,,,,,,,,,], are known to show a reactivity for obtaining [M(GL)2](X) species with various X− anions, similarly to nickel(II). Differently from before, these metals allow to obtaining N2O tridentate Schiff base ligands with diamines bearing two carbon atoms connecting the amine groups (en, pn, etc.), which is probably due to their smaller ionic radius (0.55, 0.62, and 0.55 Å for low spin iron(III), chromium(III), and low spin cobalt(III), respectively) compared to nickel(II) (0.69 Å) [], and this enables the use of shorter diamines.
The examples reported for iron(III) are peculiar and show both the template effect of this metal ion and also its preferential stabilization in a low spin state [,] with two tridentate GL− ligands embracing the metal ion in an octahedral environment. The direct reaction in refluxing methanol of an iron(II) or iron(III) salt with a mixture of G-salH and aliphatic diamine in a 2:1 ratio, thus suitable for salen ligands, gave invariantly Fe(GL)2](X) derivatives with mono-condensed tridentate ligands. This has been observed for different aldehydes (H-salH [], 2-hydroxy-1-naphthalaldehyde [], and 2-mercaptobenzaldehyde []), diamines with two or three methylene units (en [,] and 2,2-dimethyl-1,3-diaminopropane []), and variable iron sources (FeCl3 [], hydrated Fe(ClO4)3 [], FeCl2 with concomitant oxidation to iron(III) []). It is noteworthy that the reaction of [Fe(salen)(Cl)] with en in ethanol leads to its conversion to [Fe(HL)2](Cl) [] where the initial kinetic template effect brings en within the coordination sphere of iron(III), and then the thermodynamic template effect allows the formation of the most stable product. The anion X− in the final product can be the same as in the iron source (Cl− [,]) or different for the addition of a different anion (SCN− [,]) (Figure 7a). It is also important to highlight a peculiar structural difference: meridional coordination of GL− is preferred when short en is employed [,,] while facial coordination is present in the compound with the long 2,2-dimethyl-1,3-diaminopropane [].

Figure 7.
Molecular structures of (a) [Fe(HL)2](NCS), CSD/CCDC KETVEL/603305 [], and (b) [Co(HL)2](I)⋅H2O (dimer), CSD/CCDC COSALI/1129940 [], (L– from H-salH and en in both cases, hydrogen bonds in dashed green lines). Reproduction of the structures with Mercury® 4.3.1 software [], color code: I = purple, Co = dark violet, Fe = dark green, S = yellow, O = red, N = blue, C = gray, H omitted for clarity.
The template effect of chromium(III) has been exploited with two different approaches, one by reacting the precursor [Cr(H-sal)3] with en or pn, similarly to nickel(II) [], and addition of the sodium salt with anions such as I−, Br−, ClO4−, and NO3− [,], Equation (8a), and the second by hydrolytic conversion of H2salen in the presence of [Cr(urea)6](Cl)3⋅2H2O [], Equation (8b). The crystal structures of several [Cr(HL)2](X) compounds are reported from en [,,] or pn [,] and different anion X− (I− [,], ClO4− [,], Cl− []). All of them show the meridional coordination of the tridentate ligands by virtue of the short en and pn diamines, as shown by iron(III), and exist as couple of enantiomers, which could be resolved by the chirality induction of the enantiomerically pure (R)-pn [,] or by anion exchange with the hydrogen (R,R)-O,O’-dibenzoyltartrate []. The derivative [Cr(HL)2](Cl)⋅H2O (HL– from en) was studied for its possible interactions with DNA strands, showing how the amine protons in the ligand favor their hydrogen bonding to DNA and thus stabilize the metal–DNA adduct [].
[Cr(H-sal)3] + 2 diamine + NaX → [Cr(HL)2](X) + Na(sal) + 2 H2O (diamine = en, pn)
[Cr(urea)6](Cl)3 + 2 H2salen → [Cr(HL)2](Cl) + 2 H-salH + 6 urea + 2 HCl
[CoIII(GL)2](X) complexes are always obtained from cobalt(II), which undergoes oxidation in the reaction mixture, and this is necessary due to the kinetics inertness of cobalt(III), which prevents its reactivity []. The general procedure involves the reaction of G-salH, diamine, cobalt(II) salt (usually acetate, chloride, perchlorate, and tetrafluoroborate) and the sodium salt of the desired final X− (N3−, ClO4−, NCS−, I−) in refluxing methanol or ethanol, Equation (9). Several G groups are tolerated (H [,,,], 5-NO2 and 3,5-diNO2 [], 5-Cl [], 4-COOH [], 6-diazonaphthalene-1,3-disulfonic acid disodium salt [], 3-OMe []), as well as different diamines (en [,,], pn [,,], chxn and dpen [], tn [,,]). Not all reported cases are template synthesis, and previous isolation of the half units are also reported, even if sometimes in mixture with the salen-type ligands and used without further purification [,,]. This procedure takes advantage of the reported marked hydrolytic behavior of cobalt, with several examples of formation of [Co(GL)2](X) derivatives starting from salen-type ligands [,,,,] as well as ligands derived from ketones [].
2 G-salH + 2 diamine + CoX’2 + NaX → [Co(GL)2](X) + NaX’ + HX’ + 2 H2O
(diamine = en, pn, chxn, dpen, tn)
(diamine = en, pn, chxn, dpen, tn)
Structural data for cobalt(III) complexes show the coordination of GL− ligands in a meridional fashion for en, pn, and chxn derivatives [,,,,,,,,], while the facial arrangement is preferred with the longer tn [,]. Further interactions with anions or co-crystallized solvent molecules are also present (Figure 7b). [Co(GL)2](X) complexes have been deeply studied for their catalytic performances in C-C coupling reactions [,], asymmetric epoxidation of chalcones [], and electrocatalytic hydrogen generation [,] with relevant results, but they have been also investigated as DNA binding and cleavage agents []. The possibility to either liberate the tridentate Schiff base or react the [M(GL)2]+ complexes with a second carbonyl derivative to obtain unsymmetrically substituted tetradentate Schiff base ligands coordinated to M is not reported for M = iron(III), chromium(III), and cobalt(III).
4.2. Vanadium(V), Molibdenum(IV), and Tungsten(IV)
Vanadium(V) expresses a template effect comparable to copper(II), and this allows the isolation of dinuclear dioxovanadium(V) complexes [VO2(GL)]2 with coordinated N2O half units derived from G-salH (G = H, 5-Br, 3,5-Cl2, 3-OMe) and en or pn []. In this case, the addition of the reagents is different from that reported for copper(II), following the order VO(OEt)3 and en (or pn) first, yielding an intractable off-white intermediate, and then G-salH, leading to the precipitation of the final complexes. The two vanadium(V) ions possess an octahedral coordination environment and are bridged by two oxo ligands, one from each metal, as confirmed by the X-ray crystal structure of the complex from H-salH and pn (Figure 8a). There are no reports, until now, about the possibility to react [VO2(GL)]2 with a different carbonyl moiety to obtain unsymmetrically substituted tetradentate ligands coordinated to vanadium(V).

Figure 8.
Molecular structures of (a) dinuclear [VO2(HL)]2 (HL− from H-salH and pn), CSD/CCDC HAKROA/1171813 [], and (b) [PPh4]2[Mo(CN)3O(HL)]⋅5.5H2O (HL− from H-salH and en), CSD/CCDC HEZZUH/113815 []. Reproduction of the structures with Mercury® 4.3.1 software [], color code: Mo = turquoise, V = light green, O = red, N = blue, C = gray, H = white or omitted, PPh4+ cations and water molecules omitted for clarity.
Molybdenum(IV) and tungsten(IV) were also reported to support the mono-condensation and isolation of coordinated tridentate ligands []. Reaction of K3Na[M(CN)4O2]⋅6H2O (M = Mo or W) with H-salH and en (or tn) in methanol leads first to the precipitation of yellow needles of H2salen (or H2saltn) as a by-product. The precipitation of the final complexes [PPh4]2[M(CN)3O(HL)]⋅5.5H2O with the N2O tridentate ligands is achieved by addition of the bulky cation PPh4+. The molecular structure of the molybdenum derivative with en reveals that HL− acts as a bidentate ligand through the phenoxido and imino atoms, while the primary amino group does not coordinate the metal ion (Figure 8b), and this missing coordination can be the reason for the formation of H2salen.
4.3. An Example of Template Method with Zinc(II) and Salophen Derivatives
We have already reported that 1,2-phen can undergo mono-condensation of H-salH also in the absence of the template effect of metal centers [], and that unsymmetrically substituted derivatives can be formed []. Nevertheless, after the examination of aliphatic diamines en, tn, pn, etc., it is worthy to report a different but interesting example of template synthesis involving this aromatic diamine and zinc(II). The reaction of [1,1′-biphenyl]-3,3′,4,4′-tetraamine (bis-1,2-phen) with G-salH (G = H, 3-tBu) allows the isolation of derivatives A with mono-condensation on the two sides (Figure 9a) [,]. The subsequent reaction with a second G-salH can lead to two equal unsymmetrically substituted H2salophen pockets, which can coordinate different metal ions []. Condensation on only one side of A can be alternatively obtained under diluted conditions and by using stoichiometric amounts of both 3,5-diNO2-salH and Zn(OAc)2·2H2O, and mono-metalated complexes in one complete salophen pocket are readily isolated in good yield. On the other side, mixtures of components, such as unreacted diimine and mono- or bi-metalated structures, are obtained if either higher concentrations or other reaction stoichiometries are applied. This mono-metalated derivative can now react with a third 3-X-5-Y-salH (X = OMe, tBu, Me, H, allyl, Br, Cl, NO2; Y = H, allyl, Br, Cl) to obtain two unequal salophen compartments and fully unsymmetrically substituted complexes B (Figure 9b) [].

Figure 9.
X-ray molecular structures of (a) the diamine derivative A from bis-1,2-phen and 3-tBu-salH, CSD/CCDC JIPZUE/665961 [], and (b) fully unsymmetrically substituted zinc(II) complex B (X = OMe, Y = allyl) with two additional axially-coordinated methanol molecules, CSD/CCDC AHO/FUZ724953 []. Reproduction of the structures with Mercury® 4.3.1 software [], color code: Zn = violet, O = red, N = blue, C = gray, H = white.
Two additional points regarding the previous example are the possibility to undergo the complete transmetalation of zinc(II) with nickel(II) and selective demetalation of the X/Y pocket when X = tBu and Y = H [] by employing imidazole in acetonitrile []. This last selectivity can be driven by the steric hindrance of the two tBu groups in position 3, which may confer lower complex stability [] and prevent stabilizing dimeric interactions through Zn⋅⋅⋅O short contacts [,,], which instead block the diNO2 pocket from being demetalated.
5. Conclusions
The template syntheses here described and necessarily applied to obtain tridentate N2O and tetradentate salen-type Schiff base ligands derived from G-salH and primary diamines (especially aliphatic en, tn, pn, chxn and dpen) have clearly highlighted several critical but fundamental points, which can be summarized as follow:
(i) Employment of aromatic vs. aliphatic primary diamines: the first ones, due to their lower nucleofilicity, permit mono-condensation with G-salH yielding tridentate N2O ligands also in the absence of metal templating centers, and further transformation into unsymmetrically substituted tetradentate derivatives, which are ready to coordinate different metal ions. Aliphatic diamines such as en and tn need instead the template support to undergo mono-condensation to tridentate GL– half units, followed by unsymmetrically substituted salen-type complexes.
(ii) Nature of the templating metal: due to different charge, ionic radius, and also electronic configuration, each metal ion prefers a certain coordination environment, ranging from square planar for copper(II) to octahedral for nickel(II), iron(III), cobalt(III), and chromium(III). This certainly leads to strongly influencing the reaction conditions, the use of auxiliary ligands to block the double symmetric condensation, and also selection between en and tn when obtaining N2O tridentate derivatives, as observed for nickel(II) vs. iron(III), cobalt(III), and chromium(III).
(iii) Reactant concentration: the use of diluted conditions revealed to be of fundamental importance to obtain both dinuclear [Cu2(GL)2](ClO4)2 and trinuclear [Cu3(μ3-OH)(GL)3](ClO4)2 copper(II) species with tridentate N2O ligands (GL– from both en or tn) and in the synthesis of differentiated salophen pockets with zinc(II).
(iv) Possibility to remove the templating metal center to release the Schiff base: this was illustrated in the case of nickel(II) derivatives [Ni(GL)2] (GL– from tn) by the competing coordination ability of Hdmg toward Ni2+ by formation of the very stable and insoluble strawberry-pink [Ni(dmg)2] []. Salophen derivatives show the ability to be demetalated, but they can also undergo efficient transmetallation.
Regardless of the method, all the template syntheses have seen a continuous and fruitful evolution over time since their first reports, and applications of the complexes obtained thanks to the template effect of several metal ions are as diverse as catalysis, linear and nonlinear optics, magnetism, and also biological purposes. Thus, future employments of template strategies are for sure envisaged in the field of Schiff base compounds, together with the development of new methods.
Author Contributions
Conceptualization, L.R.; investigation, R.M, F.R. and L.R.; writing—original draft preparation, R.M. and L.R.; writing—review and editing, R.M., F.R. and L.R.; visualization, R.M., F.R. and L.R.; supervision, L.R.; project administration, L.R.; funding acquisition, L.R. All authors have read and agreed to the published version of the manuscript.
Funding
This research has been founded by the Università degli Studi di Modena e Reggio Emilia through the Fondo di Ateneo per la Ricerca (FAR2019) Dipartimentale.
Acknowledgments
L.R. would like to thank Alessandro Pasini (Università degli Studi di Milano, Milano, Italy), his mentor during PhD studies and at the beginning of his academic career; he introduced L.R. to Schiff base chemistry. L.R. would also like to acknowledge Alessandra Forni (Consiglio Nazionale delle Ricerche, Istituto di Scienze e Tecnologie Molecolari, Milano, Italy) for her constant support and help during their scientific collaboration and friendship, and Gianluca Malavasi and Erika Ferrari (Dipartimento di Scienze Chimiche e Geologiche, Università degli Studi di Modena e Reggio Emilia, Modena, Italy) for their support in starting his research career in Unimore.
Conflicts of Interest
The authors declare no conflict of interest. The funders had no role in the design of the study; in the collection, analyses, or interpretation of data; in the writing of the manuscript, or in the decision to publish the results.
References
- Lindoy, L.F.; Busch, D.H. Metal Ion Controlled Syntheses of Novel Five-Coordinate Zinc and Cadmium Complexes Containing a Helical Coordination Geometry and Their Template Reaction to Form Complexes of a Pentadentate Macrocyclic Ligand. Inorg. Chem. 1974, 13, 2494–2498. [Google Scholar] [CrossRef]
- Pedersen, C.J. The Discovery of Crown Ethers. Nobel Lecture. Angew. Chem. Int. Ed. Engl. 1987, 27, 1021–1027. [Google Scholar] [CrossRef]
- Field, K.W.; Glover, A.D.; Moroz, J.S.; Collander, D.J.; Kolb, K.E. “Crown Ether” Synthesis: An Organic Laboratory Experiment. J. Chem. Educ. 1979, 56, 269. [Google Scholar] [CrossRef]
- Glueck, D.S.; Brough, A.R.; Mountford, P.; Green, M.L.H. Synthesis and Properties of Crown Ether-Alkali Metal Cation Intercalation Compounds of Transition Metal Phosphorus Sulfides, MPS3 (M = Manganese, Cadmium, Zinc). Inorg. Chem. 1993, 32, 1893–1902. [Google Scholar] [CrossRef]
- Carey, F.A.; Sundberg, R.J. Advanced Organic Chemistry, 5th ed.; Springer: New York, NY, USA, 2007; ISBN 978-0-387-44897-8. [Google Scholar]
- Schiff, H. Mittheilungen aus dem Universitätslaboratorium in Pisa: Eine neue Reihe organischer Basen. Ann. Chem. Pharm. 1864, 131, 118–119. [Google Scholar] [CrossRef]
- Qin, W.; Long, S.; Panunzio, M.; Biondi, S. Schiff Bases: A Short Survey on an Evergreen Chemistry Tool. Molecules 2013, 18, 12264–12289. [Google Scholar] [CrossRef]
- Vigato, P.; Tamburini, S.; Bertolo, L. The Development of Compartmental Macrocyclic Schiff Bases and Related Polyamine Derivatives. Coord. Chem. Rev. 2007, 251, 1311–1492. [Google Scholar] [CrossRef]
- Frischmann, P.D.; MacLachlan, M.J. Schiff Base Macrocycles: Reliable Templates for Multinuclear Metallocavitands. Comments Inorg. Chem. 2008, 29, 26–45. [Google Scholar] [CrossRef]
- Vigato, P.A.; Peruzzo, V.; Tamburini, S. Acyclic and Cyclic Compartmental Ligands: Recent Results and Perspectives. Coord. Chem. Rev. 2012, 256, 953–1114. [Google Scholar] [CrossRef]
- Rezaeivala, M.; Keypour, H. Schiff Base and Non-Schiff Base Macrocyclic Ligands and Complexes Incorporating the Pyridine Moiety—The First 50 Years. Coord. Chem. Rev. 2014, 280, 203–253. [Google Scholar] [CrossRef]
- Gavey, E.L.; Pilkington, M. Coordination Complexes of 15-Membered Pentadentate Aza, Oxoaza and Thiaaza Schiff Base Macrocycles “Old Complexes Offer New Attractions”. Coord. Chem. Rev. 2015, 296, 125–152. [Google Scholar] [CrossRef]
- Akine, S. Metal Complexes with Oligo(Salen)-Type Ligands. In PATAI’S Chemistry of Functional Groups; Rappoport, Z., Ed.; John Wiley & Sons, Ltd.: Chichester, UK, 2016; pp. 1–42. ISBN 978-0-470-68253-1. [Google Scholar]
- Radecka-Paryzek, W.; Patroniak, V.; Lisowski, J. Metal Complexes of Polyaza and Polyoxaaza Schiff Base Macrocycles. Coord. Chem. Rev. 2005, 249, 2156–2175. [Google Scholar] [CrossRef]
- Riley, D.P.; Busch, D.H.; Fenton, D.E.; Lintvedt, R.L. Macrocyclic Tetraazatetraenato Ligands and their Metal Complexes. In Inorganic Syntheses; Douglas, B.E., Ed.; John Wiley & Sons, Inc.: Hoboken, NJ, USA, 2007; pp. 36–44. ISBN 978-0-470-13249-4. [Google Scholar]
- Golbedaghi, R.; Tabanez, A.M.; Esmaeili, S.; Fausto, R. Biological Applications of Macrocyclic Schiff Base Ligands and Their Metal Complexes: A Survey of the Literature (2005–2019). Appl. Organomet. Chem. 2020, 34, e5884. [Google Scholar] [CrossRef]
- Vigato, P.A.; Tamburini, S. The Challenge of Cyclic and Acyclic Schiff Bases and Related Derivatives. Coord. Chem. Rev. 2004, 248, 1717–2128. [Google Scholar] [CrossRef]
- Liu, X.; Hamon, J.-R. Recent Developments in Penta-, Hexa- and Heptadentate Schiff Base Ligands and Their Metal Complexes. Coord. Chem. Rev. 2019, 389, 94–118. [Google Scholar] [CrossRef]
- Akine, S.; Nabeshima, T. Cyclic and Acyclic Oligo(N2O2) Ligands for Cooperative Multi-Metal Complexation. Dalton Trans. 2009, 10395. [Google Scholar] [CrossRef] [PubMed]
- Yang, X.; Jones, R.A.; Huang, S. Luminescent 4f and d-4f Polynuclear Complexes and Coordination Polymers with Flexible Salen-Type Ligands. Coord. Chem. Rev. 2014, 273–274, 63–75. [Google Scholar] [CrossRef]
- Uddin, M.N.; Ahmed, S.S.; Alam, S.M.R. REVIEW: Biomedical Applications of Schiff Base Metal Complexes. J. Coord. Chem. 2020, 73, 3109–3149. [Google Scholar] [CrossRef]
- Cotton, F.A. Advanced Inorganic Chemistry; Wiley: New Delhi, India, 2008; ISBN 978-81-265-1338-3. [Google Scholar]
- Pfeiffer, P.; Breith, E.; Lübbe, E.; Tsumaki, T. Tricyclische orthokondensierte Nebenvalenzringe. Justus Liebig’s Ann. Chem. 1933, 503, 84–130. [Google Scholar] [CrossRef]
- Pasini, A.; Demartin, F.; Piovesana, O.; Chiari, B.; Cinti, A.; Crispu, O. Novel Copper(II) Complexes of “Short” Salen Homologues. Structure and Magnetic Properties of the Tetranuclear Complex [Cu2(L2)2]2 [H2L2 = Phenyl-N,N′-Bis(Salicylidene)Methanediamine]. J. Chem. Soc. Dalton Trans. 2000, 3467–3472. [Google Scholar] [CrossRef]
- Chiari, B.; Cinti, A.; Crispu, O.; Demartin, F.; Pasini, A.; Piovesana, O. Binuclear Co(II)Co(II), Co(II)Co(III) and Co(III)Co(III) Complexes of “Short” Salen Homologues Derived from the Condensation of Salicylaldehyde and Methanediamine or Phenylmethanediamines. Synthesis, Structures and Magnetism. J. Chem. Soc. Dalton Trans. 2001, 3611–3616. [Google Scholar] [CrossRef]
- Chiari, B.; Cinti, A.; Crispu, O.; Demartin, F.; Pasini, A.; Piovesana, O. New Pentanuclear Mixed Valence Co(ii)–Co(iii) Complexes of “Short” Salen Homologues. J. Chem. Soc., Dalton Trans. 2002, 4672–4677. [Google Scholar] [CrossRef]
- Novitchi, G.; Shova, S.; Cascaval, A.; Gulea, A. Synthesis, Structure and Complex Formation of N,N’-Disalicylidenemethylendiamine (Salmen). Revue Roumanie de Chimie 2002, 47, 1027–1035. [Google Scholar]
- Rigamonti, L.; Zardi, P.; Carlino, S.; Demartin, F.; Castellano, C.; Pigani, L.; Ponti, A.; Ferretti, A.M.; Pasini, A. Selective Formation, Reactivity, Redox and Magnetic Properties of MnIII and FeIII Dinuclear Complexes with Shortened Salen-Type Schiff Base Ligands. Int. J. Mol. Sci. 2020, 21, 7882. [Google Scholar] [CrossRef] [PubMed]
- Nabeshima, T.; Yamamura, M. Cooperative Formation and Functions of Multimetal Supramolecular Systems. Pure Appl. Chem. 2013, 85, 763–776. [Google Scholar] [CrossRef]
- Hobday, M.D.; Smith, T.D. N,N’-Ethylenebis(Salicylideneiminato) Transition Metal Ion Chelates. Coord. Chem. Rev. 1973, 9, 311–337. [Google Scholar] [CrossRef]
- Yoon, T.P. Privileged Chiral Catalysts. Science 2003, 299, 1691–1693. [Google Scholar] [CrossRef]
- Erxleben, A. Transition Metal Salen Complexes in Bioinorganic and Medicinal Chemistry. Inorg. Chim. Acta 2018, 472, 40–57. [Google Scholar] [CrossRef]
- Weber, B.; Jäger, E.-G. Structure and Magnetic Properties of Iron(II/III) Complexes with N2O22- Coordinating Schiff Base Like Ligands. Eur. J. Inorg. Chem. 2009, 2009, 465–477. [Google Scholar] [CrossRef]
- Kleij, A.W. New Templating Strategies with Salen Scaffolds (Salen = N,N′-Bis(Salicylidene)Ethylenediamine Dianion). Chem. Eur. J. 2008, 14, 10520–10529. [Google Scholar] [CrossRef] [PubMed]
- Clarke, R.M.; Herasymchuk, K.; Storr, T. Electronic Structure Elucidation in Oxidized Metal–Salen Complexes. Coord. Chem. Rev. 2017, 352, 67–82. [Google Scholar] [CrossRef]
- Wei, F.Y.; Wen, P.H. Synthesis, Structures, and Antibacterial Activities of Two Iron(III) Complexes with Schiff Bases. Russ. J. Coord. Chem. 2014, 40, 289–296. [Google Scholar] [CrossRef]
- Elder, R.C. Tridentate and Unsymmetrical Tetradentate Schiff Base Ligands from Salicylaldehydes and Diamines: Their Monomeric and Dimeric Nickel(II) Complexes. Aus. J. Chem. 1978, 31, 35–45. [Google Scholar] [CrossRef]
- Gomes, L.; Pereira, E.; de Castro, B. Nickel(II) Complexes with N2OS and N2S2 Coordination Spheres: Reduction and Spectroscopic Study of the Corresponding Ni(I) Complexes. J. Chem. Soc. Dalton Trans. 2000, 1373–1379. [Google Scholar] [CrossRef]
- Rigamonti, L.; Cinti, A.; Forni, A.; Pasini, A.; Piovesana, O. Copper(II) Complexes of Tridentate Schiff Bases of 5-Substituted Salicylaldehydes and Diamines—The Role of the Substituent and the Diamine in the Formation of Mono-, Di- and Trinuclear Species—Crystal Structures and Magnetic Properties. Eur. J. Inorg. Chem. 2008, 2008, 3633–3647. [Google Scholar] [CrossRef]
- Kleij, A.W. Nonsymmetrical Salen Ligands and Their Complexes: Synthesis and Applications. Eur. J. Inorg. Chem. 2009, 2009, 193–205. [Google Scholar] [CrossRef]
- Lopez, J.; Liang, S.; Bu, X.R. Unsymmetric Chiral Salen Schiff Bases: A New Chiral Ligand Pool from Bis-Schiff Bases Containing Two Different Salicylaldehyde Units. Tetrahedron Lett. 1998, 39, 4199–4202. [Google Scholar] [CrossRef]
- Lopez, J.; Mintz, E.A.; Hsu, F.-L.; Bu, X.R. Novel Unsymmetric Chiral Schiff Bases Possessing Two Different Donor Moieties: Unique Tetradentate Ligands from Combination of Salicylaldehyde and Acetylacetone Units. Tetrahedron Asymm. 1998, 9, 3741–3744. [Google Scholar] [CrossRef]
- Renehan, M.F.; Schanz, H.-J.; McGarrigle, E.M.; Dalton, C.T.; Daly, A.M.; Gilheany, D.G. Unsymmetrical Chiral Salen Schiff Base Ligands. J. Mol. Cat. A Chem. 2005, 231, 205–220. [Google Scholar] [CrossRef]
- Belokon, Y.N.; Maleev, V.I.; North, M.; Larionov, V.A.; Savel’yeva, T.F.; Nijland, A.; Nelyubina, Y.V. Chiral Octahedral Complexes of CoIII As a Family of Asymmetric Catalysts Operating under Phase Transfer Conditions. ACS Catal. 2013, 3, 1951–1955. [Google Scholar] [CrossRef]
- Lalehzari, A.; Desper, J.; Levy, C.J. Double-Stranded Monohelical Complexes from an Unsymmetrical Chiral Schiff-Base Ligand. Inorg. Chem. 2008, 47, 1120–1126. [Google Scholar] [CrossRef]
- Muñoz-Hernández, M.-A.; Keizer, T.S.; Parkin, S.; Patrick, B.; Atwood, D.A. Group 13 Cation Formation with a Potentially Tridentate Ligand. Organometallics 2000, 19, 4416–4421. [Google Scholar] [CrossRef]
- Kleij, A.W.; Tooke, D.M.; Spek, A.L.; Reek, J.N.H. A Convenient Synthetic Route for the Preparation of Nonsymmetric Metallo-Salphen Complexes. Eur. J. Inorg. Chem. 2005, 2005, 4626–4634. [Google Scholar] [CrossRef]
- Boghaei, D.M.; Mohebi, S. Non-Symmetrical Tetradentate Vanadyl Schiff Base Complexes Derived from 1,2-Phenylene Diamine and 1,3-Naphthalene Diamine as Catalysts for the Oxidation of Cyclohexene. Tetrahedron 2002, 58, 5357–5366. [Google Scholar] [CrossRef]
- Johnson, M.S.; Horton, C.L.; Gonawala, S.; Verani, C.N.; Metzger, R.M. Observation of Current Rectification by a New Asymmetric Iron(iii) Surfactant in a Eutectic GaIn|LB Monolayer|Au Sandwich. Dalton Trans. 2018, 47, 6344–6350. [Google Scholar] [CrossRef] [PubMed]
- MacLachlan, M.J.; Park, M.K.; Thompson, L.K. Coordination Compounds of Schiff-Base Ligands Derived from Diaminomaleonitrile (DMN): Mononuclear, Dinuclear, and Macrocyclic Derivatives. Inorg. Chem. 1996, 35, 5492–5499. [Google Scholar] [CrossRef] [PubMed]
- Varsha, G.; Arun, V.; Sebastian, M.; Leeju, P.; Varghese, D.; Yusuff, K.K.M. (Z)-2-Amino-3-[(E)-Benzylideneamino]- but-2-Enedinitrile. Acta Crystallogr. E 2009, 65, o919. [Google Scholar] [CrossRef] [PubMed]
- Costes, J.P.; Lamère, J.F.; Lepetit, C.; Lacroix, P.G.; Dahan, F.; Nakatani, K. Synthesis, Crystal Structures, and Nonlinear Optical (NLO) Properties of New Schiff-Base Nickel(II) Complexes. Toward a New Type of Molecular Switch? Inorg. Chem. 2005, 44, 1973–1982. [Google Scholar] [CrossRef]
- Costes, J.-P.; Dahan, F.; Dupuis, A.; Laurent, J.-P. Bridging Ability of a Novel Polydentate Ligand (H2L) Comprising an Oxime Function. Structures of a Mononuclear Precursor [NiL] and a Dinuclear CuII2 Complex. Magnetic Properties of Mononuclear (NiII and CuII), Dinuclear (CuII2, NiII2, NiIICuII and CuIICrIII) and Trinuclear (CuII3, CuIIMnIICuII and CuIIZnIICuII) Complexes. J. Chem. Soc. Dalton Trans. 1998, 1307–1314. [Google Scholar] [CrossRef]
- Costes, J.-P.; Cros, G.; Darbieu, M.-H.; Laurent, J.-P. The Non-Template Synthesis of Novel Non-Symmetrical, Tetradentate Schiff Bases. Their Nickel(II) and Cobalt(III) Complexes. Inorg. Chim. Acta 1982, 60, 111–114. [Google Scholar] [CrossRef]
- Kwiatkowski, M.; Kwiatkowski, E.; Olechnowicz, A.; Ho, D.M.; Deutsch, E. A Convenient Synthetic Route to the Monocondensation Products of Pentane-2,4-Dione and Aliphatic α,ω-Diamines. Synthesis, X-Ray Structure and Magnetic Properties of a Trinuclear Copper(II) Complex with 8-Amino-5-Aza-4-Methyl-3-Octene-2-One. Inorg. Chim. Acta 1988, 150, 65–73. [Google Scholar] [CrossRef]
- Trujillo, A.; Fuentealba, M.; Carrillo, D.; Manzur, C.; Hamon, J.-R. Synthesis, Characterization and X-Ray Crystal Structure of an Allyloxo Functionalized Nonsymmetric Nickel Coordination Complex Based on N2O2 Chelating Ferrocenyl Ligand. J. Organomet. Chem. 2009, 694, 1435–1440. [Google Scholar] [CrossRef]
- Trujillo, A.; Fuentealba, M.; Carrillo, D.; Manzur, C.; Ledoux-Rak, I.; Hamon, J.-R.; Saillard, J.-Y. Synthesis, Spectral, Structural, Second-Order Nonlinear Optical Properties and Theoretical Studies On New Organometallic Donor−Acceptor Substituted Nickel(II) and Copper(II) Unsymmetrical Schiff-Base Complexes. Inorg. Chem. 2010, 49, 2750–2764. [Google Scholar] [CrossRef]
- Chattopadhyay, S.; Ray, M.S.; Chaudhuri, S.; Mukhopadhyay, G.; Bocelli, G.; Cantoni, A.; Ghosh, A. Nickel(II) and Copper(II) Complexes of Tetradentate Unsymmetrical Schiff Base Ligands: First Evidence of Positional Isomerism in Such System. Inorg. Chim. Acta 2006, 359, 1367–1375. [Google Scholar] [CrossRef]
- Bhowmik, P.; Drew, M.G.B.; Chattopadhyay, S. Synthesis and Characterization of Nickel(II) and Copper(II) Complexes with Tetradentate Schiff Base Ligands. Inorg. Chim. Acta 2011, 366, 62–67. [Google Scholar] [CrossRef]
- Matsumoto, N.; Yamashita, S.; Ohyoshi, A.; Kohata, S.; Ōkawa, H. Synthesis and X-Ray Crystal Structures of an Imidazolate-Bridged Polynuclear Copper(II) Complex Exhibiting a Unique Helicoid Structure and Its Precursor Mononuclear Complex. J. Chem. Soc. Dalton Trans. 1988, 1943–1948. [Google Scholar] [CrossRef]
- Escudero-Adán, E.C.; Benet-Buchholz, J.; Kleij, A.W. Expedient Method for the Transmetalation of Zn(II)-Centered Salphen Complexes. Inorg. Chem. 2007, 46, 7265–7267. [Google Scholar] [CrossRef] [PubMed]
- Costes, J.-P. Complexes Du Cuivre(II) Avec l’(Hydroxy-2-Phényl)-4-Aza-Butene-3-Amine-1 et Molécules Dérivées. Bull. Chem. Soc. France 1986, 1, 78–82. [Google Scholar]
- Rigamonti, L.; Demartin, F.; Forni, A.; Righetto, S.; Pasini, A. Copper(II) Complexes of Salen Analogues with Two Differently Substituted (Push−Pull) Salicylaldehyde Moieties. A Study on the Modulation of Electronic Asymmetry and Nonlinear Optical Properties. Inorg. Chem. 2006, 45, 10976–10989. [Google Scholar] [CrossRef] [PubMed]
- Rigamonti, L.; Forni, A.; Pievo, R.; Reedijk, J.; Pasini, A. Copper(II) Compounds with NNO Tridentate Schiff Base Ligands: Effect of Subtle Variations in Ligands on Complex Formation, Structures and Magnetic Properties. Inorg. Chim. Acta 2012, 387, 373–382. [Google Scholar] [CrossRef]
- Fernandez Garcia, M.I.; Fondo, M.; Garcia Deibe, A.M.; Fernandez Fernandez, M.B.; Gonzalez, A.M. Copper(II) Complexes with Asymmetrical Schiff Base Ligands Derived from 2-Acetylpyrazine. Z. Anorg. Allg. Chem. 2000, 626, 1985–1991. [Google Scholar] [CrossRef]
- Costes, J.-P.; Dahan, F.; Fernandez Fernandez, M.B.; Fernandez Garcia, M.I.; Garcia Deibe, A.M.; Sanmartin, J. General Synthesis of ‘Salicylaldehyde Half-Unit Complexes’: Structural Determination and Use as Synthon for the Synthesis of Dimetallic or Trimetallic Complexes and of ‘Self-Assembling Ligand Complexes’. Inorg. Chim. Acta 1998, 274, 73–81. [Google Scholar] [CrossRef]
- Costes, J.-P.; Chiboub Fellah, F.Z.; Dahan, F.; Duhayon, C. Role of the Kinetic Template Effect in the Syntheses of Non Symmetric Schiff Base Complexes. Polyhedron 2013, 52, 1065–1072. [Google Scholar] [CrossRef]
- Rigamonti, L.; Forni, A.; Cariati, E.; Malavasi, G.; Pasini, A. Solid-State Nonlinear Optical Properties of Mononuclear Copper(II) Complexes with Chiral Tridentate and Tetradentate Schiff Base Ligands. Materials 2019, 12, 3595. [Google Scholar] [CrossRef]
- Fellah, F.Z.C.; Costes, J.-P.; Dahan, F.; Duhayon, C.; Novitchi, G.; Tuchagues, J.-P.; Vendier, L. Di- and Triheteronuclear Cu−Gd and Cu−Gd−Cu Complexes with Dissymmetric Double Bridge. Inorg. Chem. 2008, 47, 6444–6451. [Google Scholar] [CrossRef] [PubMed]
- Behzad, M.; Seifikar Ghomi, L.; Damercheli, M.; Mehravi, B.; Shafiee Ardestani, M.; Samari Jahromi, H.; Abbasi, Z. Crystal Structures and in Vitro Anticancer Studies on New Unsymmetrical Copper(II) Schiff Base Complexes Derived from Meso-1,2-Diphenyl-1,2-Ethylenediamine: A Comparison with Related Symmetrical Ones. J. Coord. Chem. 2016, 69, 2469–2481. [Google Scholar] [CrossRef]
- Macrae, C.F.; Sovago, I.; Cottrell, S.J.; Galek, P.T.A.; McCabe, P.; Pidcock, E.; Platings, M.; Shields, G.P.; Stevens, J.S.; Towler, M.; et al. Mercury 4.0: From Visualization to Analysis, Design and Prediction. J. Appl. Crystallogr. 2020, 53, 226–235. [Google Scholar] [CrossRef] [PubMed]
- Mandal, S.K.; Nag, K. Synthesis of Phenoxo-Bridged Dicopper(II) Complexes of N-(2-Aminoalkyl)Salicylaldimines and Their Use in the Formation of Monohalogeno-Complexes and Non-Symmetrical Quadridentate Schiff-Base Complexes. J. Chem. Soc. Dalton Trans. 1984, 2839–2841. [Google Scholar] [CrossRef]
- Leluk, M.; Jeżowska-Trzebiatowska, B.; Jezierska, J. Magnetic and ESR Studies of Copper(II) Complexes with N-(Aminoalkyl)Salicylaldimines. Polyhedron 1991, 10, 1653–1656. [Google Scholar] [CrossRef]
- Paschke, R.; Balkow, D.; Sinn, E. Lowering Melting Points in Asymmetrically Substituted Salen-Copper(II) Complexes Exhibiting Mesomorphic Behavior. Structure of the Mesogen Cu(5-HexyloxySalen). Inorg. Chem. 2002, 41, 1949–1953. [Google Scholar] [CrossRef]
- Ray, M.S.; Mukhopadhyay, G.; Drew, M.G.B.; Lu, T.-H.; Chaudhuri, S.; Ghosh, A. A Diphenoxo Bridged Antiferromagnetically Coupled Dimer of Copper(II) Having Bridging Methanol. Inorg. Chem. Commun. 2003, 6, 961–965. [Google Scholar] [CrossRef]
- Rigamonti, L.; Forni, A.; Sironi, M.; Ponti, A.; Ferretti, A.M.; Baschieri, C.; Pasini, A. Experimental and Theoretical Investigations on Magneto-Structural Correlation in Trinuclear Copper(II) Hydroxido Propellers. Polyhedron 2018, 145, 22–34. [Google Scholar] [CrossRef]
- Bian, H.-D.; Xu, J.-Y.; Gu, W.; Yan, S.-P.; Cheng, P.; Liao, D.-Z.; Jiang, Z.-H. Synthesis, X-Ray Structure and Magnetic Properties of Trinuclear Copper(II) Tridentate Schiff Base Complexes Containing a Partial Cubane Cu3O4 Core. Polyhedron 2003, 22, 2927–2932. [Google Scholar] [CrossRef]
- Chiboub Fellah, F.Z.; Costes, J.-P.; Vendier, L.; Duhayon, C.; Ladeira, S.; Tuchagues, J.-P. μ3—vs. μ-Hydroxido Bridges—Peripheral Function Controls the Nuclearity of Hydroxido-Bridged Copper(II) Complexes. Eur. J. Inorg. Chem. 2012, 2012, 5729–5740. [Google Scholar] [CrossRef]
- Bhowmik, P.; Jana, S.; Mahapatra, P.; Giri, S.; Chattopadhyay, S.; Ghosh, A. Role of Steric Crowding of Ligands in the Formation of Hydroxido Bridged Di- and Trinuclear Copper(II) Complexes: Structures and Magnetic Properties. Polyhedron 2018, 145, 43–52. [Google Scholar] [CrossRef]
- Biswas, C.; Drew, M.G.B.; Figuerola, A.; Gómez-Coca, S.; Ruiz, E.; Tangoulis, V.; Ghosh, A. Magnetic Coupling in Trinuclear Partial Cubane Copper(II) Complexes with a Hydroxo Bridging Core and Peripheral Phenoxo Bridges from NNO Donor Schiff Base Ligands. Inorg. Chim. Acta 2010, 363, 846–854. [Google Scholar] [CrossRef]
- Rigamonti, L.; Forni, A.; Pievo, R.; Reedijk, J.; Pasini, A. Synthesis, Crystal Structures and Magnetic Properties of Dinuclear Copper(II) Compounds with NNO Tridentate Schiff Base Ligands and Bridging Aliphatic Diamine and Aromatic Diimine Linkers. Dalton Trans. 2011, 40, 3381–3393. [Google Scholar] [CrossRef] [PubMed]
- Piovesana, O.; Chiari, B.; Cinti, A.; Sulpice, A. Synthesis, Structure, and Magnetic Properties of Cu2L2Cl2 (LH = N-Salicylidene-1,2-Ethanediamine)—A New S = 1/2 Spin-Liquid Candidate. Eur. J. Inorg. Chem. 2011, 2011, 4414–4420. [Google Scholar] [CrossRef]
- Bhowmik, P.; Jana, S.; Chattopadhyay, S. Anion Directed Templated Synthesis of Mono- and Di-Condensed Schiff Base Compounds of Cu(II). Polyhedron 2012, 44, 11–17. [Google Scholar] [CrossRef]
- Bhowmik, P.; Bhattacharyya, A.; Harms, K.; Sproules, S.; Chattopadhyay, S. Anion Directed Cation Templated Synthesis of Three Ternary Copper(II) Complexes with a Monocondensed N2O Donor Schiff Base and Different Pseudohalides. Polyhedron 2015, 85, 221–231. [Google Scholar] [CrossRef][Green Version]
- Pandey, P.; Verma, A.; Bretosh, K.; Sutter, J.-P.; Sunkari, S.S. Template Directed Synthesis of Half Condensed Schiff Base Complexes of Cu(II) and Co(III): Structural and Magnetic Studies. Polyhedron 2019, 164, 80–89. [Google Scholar] [CrossRef]
- Rigamonti, L.; Reginato, F.; Ferrari, E.; Pigani, L.; Gigli, L.; Demitri, N.; Kopel, P.; Tesarova, B.; Heger, Z. From Solid State to in Vitro Anticancer Activity of Copper(II) Compounds with Electronically-Modulated NNO Schiff Base Ligands. Dalton Trans. 2020, 49, 14626–14639. [Google Scholar] [CrossRef] [PubMed]
- Banerjee, S.; Drew, M.G.B.; Lu, C.-Z.; Tercero, J.; Diaz, C.; Ghosh, A. Dinuclear Complexes of MII Thiocyanate (M = Ni and Cu) Containing a Tridentate Schiff-Base Ligand: Synthesis, Structural Diversity and Magnetic Properties. Eur. J. Inorg. Chem. 2005, 2005, 2376–2383. [Google Scholar] [CrossRef]
- Sain, S.; Maji, T.K.; Das, D.; Cheng, J.; Lu, T.-H.; Ribas, J.; El Fallah, M.S.; Chaudhuri, N.R. Exchange Interactions in a One-Dimensional Bromo-Bridged Copper(II) Compound with a Ladder-like Structure. J. Chem. Soc. Dalton Trans. 2002, 1302–1306. [Google Scholar] [CrossRef]
- Béreau, V.; Dhers, S.; Costes, J.-P.; Duhayon, C.; Sutter, J.-P. Syntheses, Structures, and Magnetic Properties of Symmetric and Dissymmetric Ester-Functionalized 3d-4f Schiff Base Complexes: Syntheses, Structures, and Magnetic Properties of Symmetric and Dissymmetric Ester-Functionalized 3d-4f Schiff Base Complexes. Eur. J. Inorg. Chem. 2018, 2018, 66–73. [Google Scholar] [CrossRef]
- Costes, J.-P.; Dahan, F.; Dupuis, A. Influence of Anionic Ligands (X) on the Nature and Magnetic Properties of Dinuclear LCuGdX3·nH2O Complexes (LH2 Standing for Tetradentate Schiff Base Ligands Deriving from 2-Hydroxy-3-Methoxybenzaldehyde and X Being Cl, N3C2, and CF3COO). Inorg. Chem. 2000, 39, 165–168. [Google Scholar] [CrossRef] [PubMed]
- Sousa, C.; Freire, C.; De Castro, B. Synthesis, Spectroscopic and Electrochemical Characteriisation of Nickel Complexes with Two N2O Tridentate, Unsymmetrical Schiff Base Ligands. J. Coord. Chem. 2001, 54, 1–12. [Google Scholar] [CrossRef]
- Sousa, C.; Gameiro, P.; Freire, C.; de Castro, B. Nickel(II) and Copper(II) Schiff Base Complexes Bearing Benzo-15-Crown-5 Functionalities as Probes for Spectroscopic Recognition of Lanthanide Ions. Polyhedron 2004, 23, 1401–1408. [Google Scholar] [CrossRef]
- Chakraborty, J.; Nandi, M.; Mayer-Figge, H.; Sheldrick, W.S.; Sorace, L.; Bhaumik, A.; Banerjee, P. Nickel Complexes with N2O Donor Ligands: Syntheses, Structures, Catalysis and Magnetic Studies. Eur. J. Inorg. Chem. 2007, 2007, 5033–5044. [Google Scholar] [CrossRef]
- Rigamonti, L.; Forni, A.; Righetto, S.; Pasini, A. Push-Pull Unsymmetrical Substitution in Nickel(II) Complexes with Tetradentate N2O2 Schiff Base Ligands: Synthesis, Structures and Linear-Nonlinear Optical Studies. Dalton Trans. 2019, 48, 11217–11234. [Google Scholar] [CrossRef]
- Tahir, M.N.; Ülkü, D.; Nazir, H.; Atakol, O. Bis{2-[(3-Aminopropyl)Iminomethyl]-4,6-Dinitrophenolato- O,N,N’}nickel(II). Acta Crystallogr. C 1997, 53, 181–183. [Google Scholar] [CrossRef]
- Chattopadhyay, S.; Drew, M.G.B.; Ghosh, A. Anion Directed Templated Synthesis of Mono- and Di-Schiff Base Complexes of Ni(II). Polyhedron 2007, 26, 3513–3522. [Google Scholar] [CrossRef]
- Mukherjee, P.; Drew, M.G.B.; Ghosh, A. Anion-Directed Template Synthesis and Hydrolysis of Mono-Condensed Schiff Base of 1,3-Pentanediamine and o-Hydroxyacetophenone in NiII and CuII Complexes. Eur. J. Inorg. Chem. 2008, 2008, 3372–3381. [Google Scholar] [CrossRef]
- Sacconi, L.; Nardi, N.; Zanobini, F. Complexes of Nickel(II) with Schiff Bases Formed from Salicyalaldehydes and N-Substituted Trimethylenediamines. Inorg. Chem. 1966, 5, 1872–1876. [Google Scholar] [CrossRef]
- Root, C.A.; Rising, B.A.; VanDerveer, M.C.; Hellmuth, C.F. New Ring-Opening Reaction of Aziridines in Nickel(II) and Copper(II) Complexes. Inorg. Chem. 1972, 11, 1489–1493. [Google Scholar] [CrossRef]
- Nozaki, T.; Ushio, H.; Mago, G.; Matsumoto, N.; Ōkawa, H.; Yamakawa, Y.; Anno, T.; Nakashima, T. Ligand-Field Control in the Self-Assembly of Polymeric Metal Complexes: Copper(II) Complexes with Quadridentate Schiff-Base Ligands Involving an Imidazole Moiety. J. Chem. Soc. Dalton Trans. 1994, 2339–2345. [Google Scholar] [CrossRef]
- Nozaki, T.; Matsumoto, N.; Okawa, H.; Miyasaka, H.; Mago, G. B-N Bond Formation by the Reaction of (N-(3-Methoxysalicylidene)-N’-(Imidazol-4-Ylmethylene)-1,3-Propanediamino)Copper(II) Perchlorate and Sodium Tetraphenylborate. Inorg. Chem. 1995, 34, 2108–2112. [Google Scholar] [CrossRef]
- Mimura, M.; Matsuo, T.; Matsumoto, N.; Takamizawa, S.; Mori, W.; Re, N. Bis[(Methanol){N-Salicylidene-N′-(2-Phenylimidazol-4-Ylmethylidene)-1,3-Propanediaminato}nickel(II)] Bridged by Di-μ-Phenoxo Moiety and the Deprotonated Imidazolate-Bridged Cyclic-Tetranuclear Complex. Bull. Chem. Soc. Jpn. 1998, 71, 1831–1837. [Google Scholar] [CrossRef]
- Kr. Sen, S. Unsymmetrical Tetradentate Ligands and Its Metal Chelates: I. Copper(II) and Nickel(II) Complexes with 1∶1∶1 Condensate Derived from β-Hydroxy-α-Napthaldehyde, 1,3-Propanediamine and Different Aldehydes. Trans. Met. Chem. 1983, 8, 75–78. [Google Scholar] [CrossRef]
- Burke, P.J.; McMillin, D.R. Unsymmetrical Ligand Complexes of CuII, NiII, and CoII Derived from Salicylaldehyde and 1,3-Propanediamine with Either Pyridine-2-Carbaldehyde or Pyrrole-2-Carbaldehyde. J. Chem. Soc. Dalton Trans. 1980, 1794. [Google Scholar] [CrossRef]
- Matsumoto, N.; Mimura, M.; Sunatsuki, Y.; Eguchi, S.; Mizuguchi, Y.; Miyasaka, H.; Nakashima, T. Steric-Hindrance Effect of a Substituent in the Self-Assembly Process of Copper(II) Complexes with Quadridentate Schiff-Base Ligands Involving a 2-Substituted-Imidazole Moiety. Bull. Chem. Soc. Japan 1997, 70, 2461–2472. [Google Scholar] [CrossRef]
- Mahapatra, P.; Ghosh, S.; Giri, S.; Ghosh, A. The Unusual Intermediate Species in the Formation of Ni(II) Complexes of Unsymmetrical Schiff Bases by Elder’s Method: Structural, Electrochemical and Magnetic Characterizations. Polyhedron 2016, 117, 427–436. [Google Scholar] [CrossRef]
- Fallon, G.D.; Gatehouse, B.M. Crystal and Molecular Structure of an Octahedral Iron(III) Complex with a Sulphur-Containing Schiff-Base Ligand: Bis(2-Aminoethylthiosalicylideneiminato)Iron(III) Chloride. J. Chem. Soc. Dalton Trans. 1975, 1344. [Google Scholar] [CrossRef]
- Summerton, A.P.; Diamantis, A.A.; Snow, M.R. The Crystal Structure of Bis[N-(2-Aminoethyl) Salicylaldiminato]Iron(III) Chloride Monohydrate, a Low Spin Iron(III) Complex Stabilized by Lattice Water. Inorg. Chim. Acta 1978, 27, 123–128. [Google Scholar] [CrossRef]
- Feng, X.; Han, X.; Wang, L.-Y. Crystal Structure of Bis(N-(2-Aminoethyl)Salicylaldiminato)Iron(III) Isothiocyanide, [Fe(C9H11N2O)2][NCS]. Z. Kristallogr. NCS 2006, 221. [Google Scholar] [CrossRef]
- Basak, T.; Ghosh, K.; Chattopadhyay, S. Synthesis, Characterization and Catechol Oxidase Mimicking Activity of Two Iron(III) Schiff Base Complexes. Polyhedron 2018, 146, 81–92. [Google Scholar] [CrossRef]
- Gardner, A.P.; Gatehouse, B.M.; White, J.V.B. Structure of Bis-(2-Aminoethylsalicylideneiminato) Chromium(III) Iodide. Chem. Commun. 1968, 694–695. [Google Scholar] [CrossRef]
- O’Connor, M.J.; West, B.O. N-Substituted Salicylaldimine Complexes of Chromium(III). Aus. J. Chem. 1968, 21, 369–372. [Google Scholar] [CrossRef]
- Gardner, A.P.; Gatehouse, B.M.; White, J.C.B. The Crystal Structure of Bis-(2-Aminoethylsalicylideneiminato)Chromium(III) Iodide. Acta Crystallogr. B 1971, 27, 1505–1509. [Google Scholar] [CrossRef]
- Bilton, M.S. (-)409-R,S-[(R-N(2-Aminopropyl)salicylaldiminato)chromium(III)]perchlorate, [C20H26N4O2Cr]+ClO4-. Cryst. Struct. Commun. 1982, 11, 755–762. [Google Scholar]
- Biswas, S.; Sarkar, S.; Dey, K.; Jana, B.; Basu, T.; Yap, G.P.A.; Kreisel, K. New Route to the Synthesis of Bis{N-(2-Aminoethyl)Salicylaldiminato}chromium(III) Chloride Monohydrate. Spectrochim. Acta A Mol. Biol. Spectr. 2006, 65, 523–528. [Google Scholar] [CrossRef] [PubMed]
- Benson, T.H.; Bilton, M.S.; Gill, N.S.; Sterns, M. Isomers of Bis[(R)-N-(Aminopropyl)Salicylaldiminato] -Cobalt(III) and -Chromium(III) Cations. Circular Dichroism and X-Ray Structure Analysis. J. Chem. Soc. Chem. Commun. 1976, 936–937. [Google Scholar] [CrossRef]
- Benson, T.; Bilton, M.; Gill, N. Cobalt(III) and Chromium(III) Complexes of N-(2-Aminoethyl)Salicylaldimine: Crystal Structure and Resolution of the Racemates. Aus. J. Chem. 1977, 30, 261. [Google Scholar] [CrossRef]
- Bilton, M.S. (-)486-S-Bis-[(R-N(2-Amino(R)propyl)salicylaldiminato)cobalt(III)]iodide trihydrate, [C20H26N4O2Co]+I- 3H2O. Cryst. Struct. Commun. 1982, 11, 101–108. [Google Scholar]
- Zhu, H.-L.; Liu, W.-J.; Wang, Y.-F.; Wang, D.-Q. Crystal Structure of Bis[N-(2-Aminopropyl)-Salicylaldiminato)]Cobalt(III) Perchlorate, C20H26ClCoN4O6. Z. Kristallogr. NCS 2003, 218, 255–256. [Google Scholar] [CrossRef][Green Version]
- Cheetham, A.G.; Claridge, T.D.W.; Anderson, H.L. Metal-Driven Ligand Assembly in the Synthesis of Cyclodextrin [2] and [3]Rotaxanes. Org. Biomol. Chem. 2007, 5, 457–462. [Google Scholar] [CrossRef]
- Thakurta, S.; Butcher, R.J.; Pilet, G.; Mitra, S. Synthesis of Octahedral Cobalt(III) Complexes with Mono- and Di-Condensed Schiff Base Ligands: A Template-Directed Approach for the Isolation of a Rare Kind of Mixed-Ligand Complex. J. Mol. Struct. 2009, 929, 112–119. [Google Scholar] [CrossRef]
- Belokon, Y.N.; Larionov, V.A.; Mkrtchyan, A.F.; Khrustalev, V.N.; Nijland, A.; Saghyan, A.S.; Godovikov, I.A.; Peregudov, A.S.; Babievsky, K.K.; Ikonnikov, N.S.; et al. A Novel Type of Catalysts for the Asymmetric C-C Bond Formation Based on Chiral Stereochemically Inert Cationic Co Iii Complexes. Russ. Chem. Bull. 2012, 61, 2252–2260. [Google Scholar] [CrossRef]
- Fondo, M.; Doejo, J.; García-Deibe, A.M.; Ocampo, N.; Sanmartín, J. Carboxylic Decorated Schiff Base Complexes as Metallotectons for Hydrogen Bonded 3D Networks. Polyhedron 2015, 101, 78–85. [Google Scholar] [CrossRef]
- Maloth, S.; Kurapati, S.K.; Pal, S. Synthesis, Structure, and Properties of a Pentanuclear Cobalt(III) Coordination Cluster. J. Coord. Chem. 2015, 68, 1402–1411. [Google Scholar] [CrossRef]
- DiRisio, R.J.; Armstrong, J.E.; Frank, M.A.; Lake, W.R.; McNamara, W.R. Cobalt Schiff-Base Complexes for Electrocatalytic Hydrogen Generation. Dalton Trans. 2017, 46, 10418–10425. [Google Scholar] [CrossRef]
- Ghosh, K.; Dutta, T.; Drew, M.G.B.; Frontera, A.; Chattopadhyay, S. A Combined Experimental and Theoretical Study on an Ionic Cobalt(III/II) Complex with a Schiff Base Ligand. Polyhedron 2020, 182, 114432. [Google Scholar] [CrossRef]
- Shannon, R.D. Revised Effective Ionic Radii and Systematic Studies of Interatomic Distances in Halides and Chalcogenides. Acta Crystallogr. A 1976, 32, 751–767. [Google Scholar] [CrossRef]
- Maiti, M.; Sadhukhan, D.; Thakurta, S.; Zangrando, E.; Pilet, G.; Signorella, S.; Bellú, S.; Mitra, S. Catalytic Efficacy of Copper(II)– and Cobalt(III)–Schiff Base Complexes in Alkene Epoxidation. Bull. Chem. Soc. Jpn. 2014, 87, 724–732. [Google Scholar] [CrossRef]
- Hao, L.; Lu, Y.; He, Z.-Z.; Liu, Z.; Wang, E. Two New Homometallic Coordination Polymers Based on a Carboxylate-Functionalized Salen Ligand. Inorg. Chem. Commun. 2015, 55, 88–91. [Google Scholar] [CrossRef]
- Fleck, M.; Karmakar, D.; Ghosh, M.; Ghosh, A.; Saha, R.; Bandyopadhyay, D. Synthetic Aspects, Crystal Structure and Antibacterial Activity of Two New Schiff Base Cobalt(III) Complexes. Polyhedron 2012, 34, 157–162. [Google Scholar] [CrossRef]
- Larionov, V.A.; Markelova, E.P.; Smol’yakov, A.F.; Savel’yeva, T.F.; Maleev, V.I.; Belokon, Y.N. Chiral Octahedral Complexes of Co(iii) as Catalysts for Asymmetric Epoxidation of Chalcones under Phase Transfer Conditions. RSC Adv. 2015, 5, 72764–72771. [Google Scholar] [CrossRef]
- Armstrong, J.E.; Crossland, P.M.; Frank, M.A.; Van Dongen, M.J.; McNamara, W.R. Hydrogen Evolution Catalyzed by a Cobalt Complex Containing an Asymmetric Schiff-Base Ligand. Dalton Trans. 2016, 45, 5430–5433. [Google Scholar] [CrossRef]
- Banerjee, S.; Patra, R.; Ghorai, P.; Brandão, P.; Chowdhury, S.G.; Karmakar, P.; Saha, A. Syntheses, Crystal Structures, DNA Binding, DNA Cleavage and DFT Study of Co(iii) Complexes Involving Azo-Appended Schiff Base Ligands. New J. Chem. 2018, 42, 16571–16582. [Google Scholar] [CrossRef]
- Root, C.A.; Hoeschele, J.D.; Cornman, C.R.; Kampf, J.W.; Pecoraro, V.L. Structural and Spectroscopic Characterization of Dioxovanadium(V) Complexes with Asymmetric Schiff Base Ligands. Inorg. Chem. 1993, 32, 3855–3861. [Google Scholar] [CrossRef]
- Nowicka, B.; Samotus, A.; Szklarzewicz, J.; Heinemann, F.W.; Kisch, H. Oxocyano Complexes of Molybdenum(IV) and Tungsten(IV) with Schiff Base Ligands Derived from Salicylaldehyde and Aliphatic Amines. Crystal Structure of [PPh4]2[Mo(CN)3O(Ensal)]·5.5H2O (Hensal = N-Salicylideneethylenediamine). J. Chem. Soc. Dalton Trans. 1998, 4009–4014. [Google Scholar] [CrossRef]
- Al Zoubi, W.; Ko, Y.G. Organometallic Complexes of Schiff Bases: Recent Progress in Oxidation Catalysis. J. Organomet. Chem. 2016, 822, 173–188. [Google Scholar] [CrossRef]
- Curreli, S.; Escudero-Adán, E.C.; Benet-Buchholz, J.; Kleij, A.W. Facile Isolation of Bisimines Based on 3,3′-Diaminobenzidine: Direct Access to Unsymmetrical Bimetallic Salphen Building Blocks. J. Org. Chem. 2007, 72, 7018–7021. [Google Scholar] [CrossRef] [PubMed]
- Curreli, S.; Escudero-Adán, E.C.; Benet-Buchholz, J.; Kleij, A.W. A Modular Approach Towards Nonsymmetrical Bis(Metallosalen) Building Blocks. Eur. J. Inorg. Chem. 2008, 2008, 2863–2873. [Google Scholar] [CrossRef]
- Castilla, A.M.; Curreli, S.; Carretero, N.M.; Escudero-Adán, E.C.; Benet-Buchholz, J.; Kleij, A.W. Templated Synthesis and Site-Selective Conversion of Completely Nonsymmetrical Bis-Metallosalphen Complexes. Eur. J. Inorg. Chem. 2009, 2009, 2467–2471. [Google Scholar] [CrossRef]
- Escudero-Adán, E.C.; Benet-Buchholz, J.; Kleij, A.W. Autocatalytic Demetalation of a Zn(Salphen) Complex Provoked by Unprotected N-Heterocycles. Dalton Trans. 2008, 734–737. [Google Scholar] [CrossRef] [PubMed]
- Wezenberg, S.J.; Escudero-Adán, E.C.; Benet-Buchholz, J.; Kleij, A.W. Colorimetric Discrimination between Important Alkaloid Nuclei Mediated by a Bis-Salphen Chromophore. Org. Lett. 2008, 10, 3311–3314. [Google Scholar] [CrossRef]
- Consiglio, G.; Failla, S.; Finocchiaro, P.; Oliveri, I.P.; Bella, S.D. Aggregation Properties of Bis(Salicylaldiminato)Zinc(ii) Schiff-Base Complexes and Their Lewis Acidic Character. Dalton Trans. 2012, 41, 387–395. [Google Scholar] [CrossRef]
- Oliveri, I.P.; Malandrino, G.; Di Bella, S. Phase Transition and Vapochromism in Molecular Assemblies of a Polymorphic Zinc(II) Schiff-Base Complex. Inorg. Chem. 2014, 53, 9771–9777. [Google Scholar] [CrossRef]
- Kleij, A.W.; Kuil, M.; Lutz, M.; Tooke, D.M.; Spek, A.L.; Kamer, P.C.J.; van Leeuwen, P.W.N.M.; Reek, J.N.H. Supramolecular Zinc(II)Salphen Motifs: Reversible Dimerization and Templated Dimeric Structures. Inorg. Chim. Acta 2006, 359, 1807–1814. [Google Scholar] [CrossRef]
- Tschugaeff, L. Ueber ein neues, empfindliches Reagens auf Nickel. Ber. Dtsch. Chem. Ges. 1905, 38, 2520–2522. [Google Scholar] [CrossRef]
Publisher’s Note: MDPI stays neutral with regard to jurisdictional claims in published maps and institutional affiliations. |
© 2021 by the authors. Licensee MDPI, Basel, Switzerland. This article is an open access article distributed under the terms and conditions of the Creative Commons Attribution (CC BY) license (https://creativecommons.org/licenses/by/4.0/).