A Review of the Melting Curves of Transition Metals at High Pressures Using Static Compression Techniques
Abstract
1. Introduction
2. Physics of the Melting Transition
2.1. Empirical Thermodynamic Models
2.2. Electronic Structure and Phase Behavior of Transition Metals on Melting
2.3. Comparison with Alkali Metals, Alkaline Earths, and Rare Earths
3. Static Experimental Techniques
3.1. Large Volume Presses (LVP)
3.2. The Resistive Heating Diamond Anvil Cell (RH-DAC)
3.3. The Laser Heated Diamond Anvil Cell (LH-DAC)
3.3.1. Pressure Transmitting Medium (PTM)
3.3.2. Lasers
3.3.3. P-T Metrology
4. Melting Detection and Criteria
4.1. The Laser Speckle Method
4.2. Appearance of the Liquid Diffuse Scattering Signal in the XRD Patterns
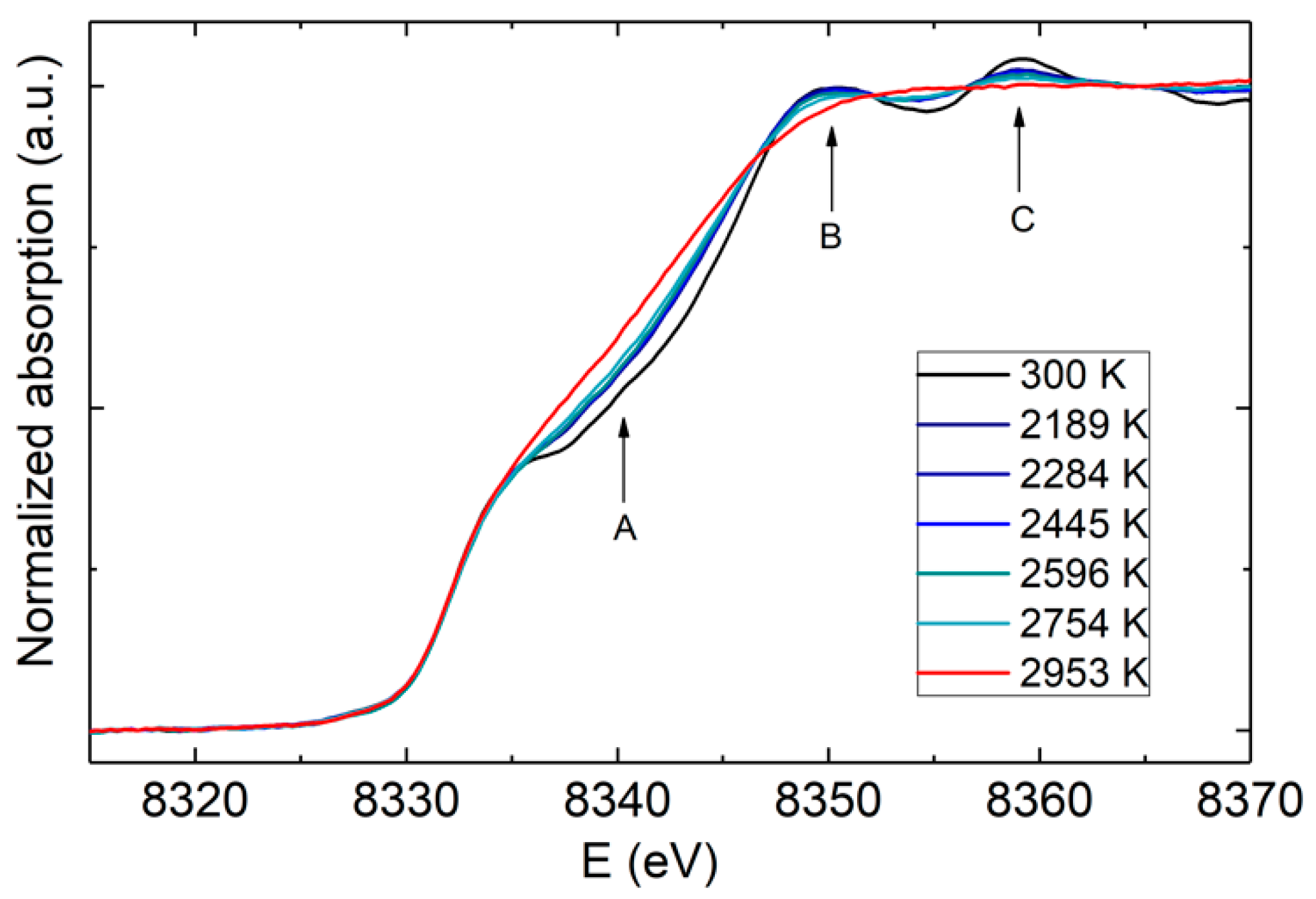
4.3. Evolution of the XAS Spectrum
4.4. Temperature Plateaus
4.5. Microstructure Formation on the Quench
4.6. Post-Heating Scanning Electron Microscopy (SEM)
4.7. Changes in Resistivity
4.8. Synchrotron Mössbauer Spectroscopy (SMS)
5. Sources of Controversies in the Melting Curves of Transition Metals from Static Experiments
5.1. Temperature Determination in the LH-DAC
5.2. Thermal Pressure Determination
5.3. Melting of the PTM
5.4. Misalignments of the X-ray beam
5.5. Additional Sources of Diffuse Scattering
5.6. Fast Recrystallization for T < Tm
5.7. Chemical Reactions and Carbide Formation
6. Concluding Remarks
Supplementary Materials
Funding
Institutional Review Board Statement
Informed Consent Statement
Data Availability Statement
Acknowledgments
Conflicts of Interest
Abbreviations
| CW | Continuous Wave |
| DOS | Density of States |
| EDS | Electron Dispersive Spectroscopy |
| EoS | Equation of State |
| EXAFS | Extended X-ray Absorption Fine Structure |
| FIB | Focused Ion Beam |
| IR | Infrared |
| LH-DAC | Laser Heated Diamond Anvil Cell |
| LVP | Large Volume Press |
| Pair Distribution Function | |
| Pth | Thermal Pressure |
| PTM | Pressure Transmitting Medium |
| RH-DAC | Resistively Heated Diamond Anvil Cell |
| SEM | Scanning Electron Microscopy |
| SMS | Synchrotron Mössbauer Spectroscopy |
| SW | Shock Wave |
| Tm | Melting Temperature |
| XANES | X-ray Absorption Near Edge Structure |
| XAS | X-ray Absorption Spectroscopy |
| XFEL | X-ray Free Electron Laser |
| XRD | X-ray Diffraction |
References
- Wang, W.H.; Dong, C.; Shek, C.H. Bulk metallic glasses. Mater. Sci. Eng. R Rep 2004, 44, 45–89. [Google Scholar] [CrossRef]
- Motta, A.T.; Yilmazbayhan, A.; da Silva, M.J.G.; Comstock, R.J.; Was, G.S.; Busby, J.T.; Gartner, E.; Peng, Q.; Jeong, Y.H.; Park, J.Y. Zirconium alloys for supercritical water reactor applications: Challenges and possibilities. J. Nucl. Mater. 2007, 371, 61–75. [Google Scholar] [CrossRef]
- Liu, X.; Chu, P.K.; Ding, C. Surface modification of titanium, titanium alloys, and related materials for biomedical applications. Mater. Sci. Eng. R Rep. 2004, 47, 49–121. [Google Scholar] [CrossRef]
- Suryanarayana, C. Mechanical alloying and milling. Prog. Mater. Sci. 2001, 46, 1–184. [Google Scholar] [CrossRef]
- Yap, C.Y.; Chua, C.K.; Dong, Z.L.; Liu, Z.H.; Zhang, D.Q.; Loh, L.E.; Sing, S.L. Review of selective laser melting: Materials and applications. Appl. Phys. Rev. 2015, 2, 041101. [Google Scholar] [CrossRef]
- Boyer, R. An overview on the use of titanium in the aerospace industry. Mater. Sci. Eng. A 1996, 213, 103–114. [Google Scholar] [CrossRef]
- Alfe, D.; Gillan, M.J.; Price, G.D. Temperature and composition of the Earth’s core. Contemp. Phys. 2007, 48, 63–80. [Google Scholar] [CrossRef]
- Allègre, C.J.; Poirier, J.-P.; Humler, E.; Hofmann, A.W. The chemical composition of the Earth. Earth Planet. Sci. Lett. 1995, 134, 515–526. [Google Scholar] [CrossRef]
- Antonangeli, D.; Siebert, J.; Badro, J.; Farber, D.L.; Fiquet, G.; Morard, G.; Ryerson, F.J. Composition of the Earth’s inner core from high-pressure sound velocity measurements in Fe–Ni–Si alloys. Earth Planet. Sci. Lett. 2010, 295, 292–296. [Google Scholar] [CrossRef]
- Badro, J.; Côté, A.S.; Brodholt, J.P. A seismologically consistent compositional model of Earth’s core. Proc. Natl. Acad. Sci. USA 2014, 111, 7542–7545. [Google Scholar] [CrossRef]
- Hirose, K.; Labrosse, S.; Hernlund, J. Composition and State of the Core. Annu. Rev. Earth Planet. Sci. 2013, 41, 657–691. [Google Scholar] [CrossRef]
- Landa, A.; Söderlind, P.; Ruban, A.V.; Peil, O.E.; Vitos, L. Stability in bcc Transition Metals: Madelung and Band-Energy Effects due to Alloying. Phys. Rev. Lett. 2009, 103, 235501. [Google Scholar] [CrossRef] [PubMed]
- Errandonea, D.; Schwager, B.; Ditz, R.; Gessmann, C.; Boehler, R.; Ross, M. Systematics of transition-metal melting. Phys. Rev. B 2001, 63, 132104. [Google Scholar] [CrossRef]
- Boehler, R. Temperatures in the Earth’s core from melting-point measurements of iron at high static pressures. Nat. Cell Biol. 1993, 363, 534–536. [Google Scholar] [CrossRef]
- Hrubiak, R.; Meng, Y.; Shen, G. Microstructures define melting of molybdenum at high pressures. Nat. Commun. 2017, 8, 14562. [Google Scholar] [CrossRef]
- Japel, S.; Schwager, B.; Boehler, R.; Ross, M. Melting of Copper and Nickel at High Pressure: The Role of d Electrons. Phys. Rev. Lett. 2005, 95, 167801. [Google Scholar] [CrossRef]
- Ross, M.; Boehler, R.; Errandonea, D. Melting of transition metals at high pressure and the influence of liquid frustration: The late metals Cu, Ni, and Fe. Phys. Rev. B 2007, 76, 184117. [Google Scholar] [CrossRef]
- Alfe, D.; Adlo, L.V.; Price, G.D.; Gillan, M.J. Melting curve of materials: Theory versus experiments. J. Phys. Condens. Matter 2004, 16, S973–S982. [Google Scholar] [CrossRef]
- Skriver, H.L. Crystal structure from one-electron theory. Phys. Rev. B 1985, 31, 1909–1923. [Google Scholar] [CrossRef]
- Dai, C.; Hu, J.; Tan, H. Hugoniot temperatures and melting of tantalum under shock compression determined by optical pyrometry. J. Appl. Phys. 2009, 106, 043519. [Google Scholar] [CrossRef]
- Errandonea, D.; Somayazulu, M.; Häusermann, D.; Mao, H.K. Melting of tantalum at high pressure determined by angle dispersive X-ray diffraction in a double-sided laser-heated diamond-anvil cell. J. Phys. Condens. Matter 2003, 15, 7635–7649. [Google Scholar] [CrossRef]
- Dewaele, A.; Mezouar, M.; Guignot, N.; Loubeyre, P. High Melting Points of Tantalum in a Laser-Heated Diamond Anvil Cell. Phys. Rev. Lett. 2010, 104, 255701. [Google Scholar] [CrossRef] [PubMed]
- Akin, M.C.; Nguyen, J.H.; Beckwith, M.A.; Chau, R.; Ambrose, W.P.; Fat′Yanov, O.V.; Asimow, P.D.; Holmes, N.C. Tantalum sound velocity under shock compression. J. Appl. Phys. 2019, 125, 145903. [Google Scholar] [CrossRef]
- Anzellini, S.; Dewaele, A.; Mezouar, M.; Loubeyre, P.; Morard, G. Melting of Iron at Earth’s Inner Core Boundary Based on Fast X-ray Diffraction. Science. 2013, 340, 464–466. [Google Scholar] [CrossRef] [PubMed]
- Aquilanti, G.; Trapananti, A.; Karandikar, A.; Kantor, I.Y.; Marini, C.; Mathon, O.; Pascarelli, S.; Boehler, R. Melting of iron determined by X-ray absorption spectroscopy to 100 GPa. Proc. Natl. Acad. Sci. USA 2015, 112, 12042–12045. [Google Scholar] [CrossRef]
- Williams, Q.; Jeanloz, R.; Bass, J.; Svendsen, B.; Ahrens, T.J. The Melting Curve of Iron to 250 Gigapascals: A Constraint on the Temperature at Earth’s Center. Science 1987, 236, 181–182. [Google Scholar] [CrossRef] [PubMed]
- Hixson, R.S.; Boness, D.A.; Shaner, J.W.; Moriarty, J.A. Acoustic Velocities and Phase Transitions in Molybdenum under Strong Shock Compression. Phys. Rev. Lett. 1989, 62, 637–640. [Google Scholar] [CrossRef] [PubMed]
- Nguyen, J.H.; Akin, M.C.; Chau, R.; Fratanduono, D.E.; Ambrose, W.P.; Fat′Yanov, O.V.; Asimow, P.D.; Holmes, N.C. Molybdenum sound velocity and shear modulus softening under shock compression. Phys. Rev. B 2014, 89, 174109. [Google Scholar] [CrossRef]
- Santamaría-Pérez, D.; Ross, M.; Errandonea, D.J.H.; Mukherjee, G.D.; Mezouar, M.; Boehler, R. X-ray diffraction measurements of Mo melting to 119 GPa and the high pressure phase diagram. J. Chem. Phys. 2009, 130, 124509. [Google Scholar] [CrossRef] [PubMed]
- Errandonea, D. Improving the understanding of the melting behaviour of Mo, Ta, and W at extreme pressures. Phys. B Condens. Matter 2005, 357, 356–364. [Google Scholar] [CrossRef]
- Errandonea, D.; Boehler, R.; Ross, M. Comment on “Molybdenum sound velocity and shear modulus softening under shock compression”. Phys. Rev. B 2015, 92, 026101. [Google Scholar] [CrossRef]
- Nguyen, J.H.; Akin, M.C.; Chau, R.; Fratanduono, D.E.; Ambrose, W.P.; Fat′yanov, O.V.; Asimow, P.D.; Holmes, N.C. Reply to “Comment on ‘Molybdenum sound velocity and shear modulus softening under shock compres-sion’”. Phys. Rev. B 2015, 92, 026102. [Google Scholar] [CrossRef]
- Wang, J.; Coppari, F.; Smith, R.F.; Eggert, J.H.; Lazicki, A.E.; Fratanduono, D.E.; Rygg, J.R.; Boehly, T.R.; Collins, G.W.; Duffy, T.S. X-ray diffraction of molybdenum under shock compression to 450 GPa. Phys. Rev. B 2015, 92, 174114. [Google Scholar] [CrossRef]
- Errandonea, D.; MacLeod, S.G.; Burakovsky, L.; Santamaria-Perez, D.; Proctor, J.E.; Cynn, H.; Mezouar, M. Melting curve and phase diagram of vanadium under high-pressure and high-temperature conditions. Phys. Rev. B 2019, 100, 094111. [Google Scholar] [CrossRef]
- Zhang, Y.; Tan, Y.; Geng, H.Y.; Salke, N.P.; Gao, Z.; Li, J.; Sekine, T.; Wang, Q.; Greenberg, E.; Prakapenka, V.B.; et al. Melting curve of vanadium up to 256 GPa: Consistency between experiments and theory. Phys. Rev. B 2020, 102, 214104. [Google Scholar] [CrossRef]
- Stutzmann, V.; Dewaele, A.; Bouchet, J.; Bottin, F.; Mezouar, M. High-pressure melting curve of titanium. Phys. Rev. B 2015, 92, 224110. [Google Scholar] [CrossRef]
- Parisiades, P.; Cova, F.; Garbarino, G. Melting curve of elemental zirconium. Phys. Rev. B 2019, 100, 054102. [Google Scholar] [CrossRef]
- Pigott, J.S.; Velisavljevic, N.; Moss, E.K.; Draganic, N.; Jacobsen, M.K.; Meng, Y.; Hrubiak, R.; Sturtevant, B.T. Experimental melting curve of zirconium metal to 37 GPa. J. Phys. Condens. Matter 2020, 32, 355402. [Google Scholar] [CrossRef]
- Boccato, S.; Torchio, R.; Kantor, I.; Morard, G.; Anzellini, S.; Giampaoli, R.; Briggs, R.; Smareglia, A.; Irifune, T.; Pascarelli, S. The Melting Curve of Nickel Up to 100 GPa Explored by XAS: Melting curve of nickel up to 1 mbar. J. Geophys. Res. Solid Earth 2017, 122, 9921–9930. [Google Scholar] [CrossRef]
- Errandonea, D. High-pressure melting curves of the transition metals Cu, Ni, Pd, and Pt. Phys. Rev. B 2013, 87, 054108. [Google Scholar] [CrossRef]
- Lazor, P.; Shen, G.; Saxena, S.K. Laser-heated diamond anvil cell experiments at high pressure: Melting curve of nickel up to 700 kbar. Phys. Chem. Miner. 1993, 20, 86–90. [Google Scholar] [CrossRef]
- Dewaele, A.; Loubeyre, P.; Occelli, F.; Marie, O.; Mezouar, M. Toroidal diamond anvil cell for detailed measurements under extreme static pressures. Nat. Commun. 2018, 9, 1–9. [Google Scholar] [CrossRef]
- Dubrovinskaia, N.; Dubrovinsky, L.; Solopova, N.A.; Abakumov, A.; Turner, S.; Hanfland, M.; Bykova, E.; Bykov, M.; Prescher, C.; Prakapenka, V.B.; et al. Terapascal static pressure generation with ultrahigh yield strength nanodiamond. Sci. Adv. 2016, 2, e1600341. [Google Scholar] [CrossRef] [PubMed]
- Dubrovinsky, L.; Dubrovinskaia, N.; Prakapenka, V.B.; Abakumov, A.M. Implementation of micro-ball nanodiamond anvils for high-pressure studies above 6 Mbar. Nat. Commun. 2012, 3, 1163. [Google Scholar] [CrossRef] [PubMed]
- Swift, D.C.; Johnson, R.P. Quasi-isentropic compression by ablative laser loading: Response of materials to dynamic loading on nanosecond time scales. Phys. Rev. E 2005, 71, 066401. [Google Scholar] [CrossRef] [PubMed]
- Kalita, P.; Brown, J.; Specht, P.; Root, S.; White, M.; Smith, J.S. Dynamic X-ray diffraction and nanosecond quantification of kinetics of formation of β -zirconium under shock compression. Phys. Rev. B 2020, 102, 060101. [Google Scholar] [CrossRef]
- Eggert, J.H.; Hicks, D.G.; Celliers, P.M.; Bradley, D.K.; McWilliams, R.S.; Jeanloz, R.; Miller, J.E.; Boehly, T.R.; Collins, G.W. Melting temperature of diamond at ultrahigh pressure. Nat. Phys. 2009, 6, 40–43. [Google Scholar] [CrossRef]
- Duffy, T.S.; Smith, R.F. Ultra-High Pressure Dynamic Compression of Geological Materials. Front. Earth Sci. 2019, 7, 23. [Google Scholar] [CrossRef]
- Nguyen, J.H.; Holmes, N.C. Melting of iron at the physical conditions of the Earth’s core. Nat. Cell Biol. 2004, 427, 339–342. [Google Scholar] [CrossRef] [PubMed]
- Huser, G.; Koenig, M.; Benuzzi-Mounaix, A.; Henry, E.; Vinci, T.; Faral, B.; Tomasini, M.; Telaro, B.; Batani, D. Temperature and melting of laser-shocked iron releasing into an LiF window. Phys. Plasmas 2005, 12, 060701. [Google Scholar] [CrossRef]
- Nagler, B.; Arnold, B.; Bouchard, G.; Boyce, R.F.; Callen, A.; Campell, M.; Curiel, R.; Galtier, E.; Garofoli, J.; Granados, E.; et al. The Matter in Extreme Conditions instrument at the Linac Coherent Light Source. J. Synchrotron Radiat. 2015, 22, 520–525. [Google Scholar] [CrossRef] [PubMed]
- Glenzer, S.H.; Fletcher, L.B.; Galtier, E.; Nagler, B.; Alonso-Mori, R.; Barbrel, B.; Brown, S.B.; Chapman, D.A.; Chen, Z.; Curry, C.B.; et al. Matter under extreme conditions experiments at the Linac Coherent Light Source. J. Phys. B At. Mol. Opt. Phys. 2016, 49, 092001. [Google Scholar] [CrossRef]
- Mason, P.; Banerjee, S.; Smith, J.; Butcher, T.; Phillips, J.; Höppner, H.; Möller, D.; Ertel, K.; De Vido, M.; Hollingham, I.; et al. Development of a 100 J, 10 Hz laser for compression experiments at the High Energy Density instrument at the European XFEL. High Power Laser Sci. Eng. 2018, 6, 65. [Google Scholar] [CrossRef]
- Luo, S.-N.; Ahrens, T.J.; Çağın, T.; Strachan, A.; Goddard, W.A.; Swift, D.C. Maximum superheating and undercooling: Systematics, molecular dynamics simulations, and dynamic experiments. Phys. Rev. B 2003, 68, 134206. [Google Scholar] [CrossRef]
- Morris, J.R.; Wang, C.Z.; Ho, K.M.; Chan, C.T. Melting line of aluminum from simulations of coexisting phases. Phys. Rev. B 1994, 49, 3109–3115. [Google Scholar] [CrossRef]
- Belonoshko, A.B. Molecular dynamics of MgSiO3 perovskite at high pressures: Equation of state, structure, and melting transition. Geochim. Cosmochim. Acta 1994, 58, 4039–4047. [Google Scholar] [CrossRef]
- Gillan, M.J.; Alfe, D.; Brodholt, J.; Vočadlo, L.; Price, G.D. First-principles modelling of Earth and planetary materials at high pressures and temperatures. Rep. Prog. Phys. 2006, 69, 2365–2441. [Google Scholar] [CrossRef]
- Cazorla, C.; Alfè, D.; Gillan, M.J. Constraints on the phase diagram of molybdenum from first-principles free-energy calculations. Phys. Rev. B 2012, 85, 064113. [Google Scholar] [CrossRef]
- Belonoshko, A.B.; Rosengren, A. High-pressure melting curve of platinum from ab initio Z method. Phys. Rev. B 2012, 85, 174104. [Google Scholar] [CrossRef]
- Belonoshko, A.B.; Davis, S.; Skorodumova, N.V.; Lundow, P.H.; Rosengren, A.; Johansson, B. Properties of the fcc Lennard-Jones crystal model at the limit of superheating. Phys. Rev. B 2007, 76, 064121. [Google Scholar] [CrossRef]
- Anzellini, S.; Boccato, S. A Practical Review of the Laser-Heated Diamond Anvil Cell for University Laboratories and Syn-chrotron Applications. Crystals 2020, 10, 459. [Google Scholar] [CrossRef]
- Simon, F.; Glatzel, G. Bemerkungen zur Schmelzdruckkurve. Z. Anorg. Allg. Chem. 1929, 178, 309–316. [Google Scholar] [CrossRef]
- Anzellini, S.; Monteseguro, V.; Bandiello, E.; Dewaele, A.; Burakovsky, L.; Errandonea, D. In situ characterization of the high pressure–high temperature melting curve of platinum. Sci. Rep. 2019, 9, 1–10. [Google Scholar] [CrossRef]
- Gregoryanz, E.; Degtyareva, O.; Somayazulu, M.; Hemley, R.J.; Mao, H.-K. Melting of Dense Sodium. Phys. Rev. Lett. 2005, 94, 185502. [Google Scholar] [CrossRef]
- Gorelli, F.A.; De Panfilis, S.; Bryk, T.; Ulivi, L.; Garbarino, G.; Parisiades, P.; Santoro, M. Simple-to-Complex Transformation in Liquid Rubidium. J. Phys. Chem. Lett. 2018, 9, 2909–2913. [Google Scholar] [CrossRef] [PubMed]
- Narygina, O.; McBride, E.E.; Stinton, G.W.; McMahon, M.I. Melting curve of potassium to 22 GPa. Phys. Rev. B 2011, 84, 054111. [Google Scholar] [CrossRef]
- Guillaume, C.L.; Gregoryanz, E.; Degtyareva, O.; McMahon, M.I.; Hanfland, M.; Evans, S.; Guthrie, M.; Sinogeikin, S.V.; Mao, H.-K. Cold melting and solid structures of dense lithium. Nat. Phys. 2011, 7, 211–214. [Google Scholar] [CrossRef]
- Decremps, F.; Ayrinhac, S.; Gauthier, M.; Antonangeli, D.; Morand, M.; Garino, Y.; Parisiades, P. Sound velocity and equation of state in liquid cesium at high pressure and high temperature. Phys. Rev. B 2018, 98, 184103. [Google Scholar] [CrossRef]
- Ayrinhac, S.; Robinson, V.N.; Decremps, F.; Gauthier, M.; Antonangeli, D.; Scandolo, S.; Morand, M. High-pressure transformations in liquid rubidium. Phys. Rev. Mater. 2020, 4, 113611. [Google Scholar] [CrossRef]
- Kechin, V.V. Melting curve equations at high pressure. Phys. Rev. B 2001, 65, 052102. [Google Scholar] [CrossRef]
- Lindemann, F.A. The calculation of molecular vibration frequency. Z. Phys. 1910, 11, 609. [Google Scholar]
- Wolf, G.H.; Jeanloz, R. Lindemann Melting Law: Anharmonic correction and test of its validity for minerals. J. Geophys. Res. Space Phys. 1984, 89, 7821–7835. [Google Scholar] [CrossRef]
- Born, M. Thermodynamics of Crystals and Melting. J. Chem. Phys. 1939, 7, 591–603. [Google Scholar] [CrossRef]
- Hieu, H.K. Melting of solids under high pressure. Vacuum 2014, 109, 184–186. [Google Scholar] [CrossRef]
- Kushwah, S.; Tomar, Y.; Upadhyay, A. On the volume-dependence of the Grüneisen parameter and the Lindemann law of melting. J. Phys. Chem. Solids 2013, 74, 1143–1145. [Google Scholar] [CrossRef]
- Wang, Z.; Lazor, P.; Saxena, S. A simple model for assessing the high pressure melting of metals: Nickel, aluminum and platinum. Phys. B Condens. Matter 2001, 293, 408–416. [Google Scholar] [CrossRef]
- Weck, G.; Recoules, V.; Queyroux, J.-A.; Datchi, F.; Bouchet, J.; Ninet, S.; Garbarino, G.; Mezouar, M.; Loubeyre, P. Determination of the melting curve of gold up to 110 GPa. Phys. Rev. B 2020, 101, 014106. [Google Scholar] [CrossRef]
- Lomonosov, I. Multi-phase equation of state for aluminum. Laser Part. Beams 2007, 25, 567–584. [Google Scholar] [CrossRef]
- Khishchenko, K. Equation of state and phase diagram of tin at high pressures. J. Phys. Conf. Ser. 2008, 121, 022025. [Google Scholar] [CrossRef]
- Kulyamina, E.Y.; Zitserman, V.Y.; Fokin, L.R. Titanium Melting Curve: Data Consistency Assessment, Problems and Achievements. Tech. Phys. 2018, 63, 369–373. [Google Scholar] [CrossRef]
- Kulyamina, E.Y.; Zitserman, V.Y.; Fokin, L.R. Calculating the melting curves by the thermodynamic data matching method: Platinum-group refractory metals (Ru, Os, and Ir). Tech. Phys. 2017, 62, 68–74. [Google Scholar] [CrossRef]
- Kulyamina, E.Y.; Zitserman, V.Y.; Fokin, L.R. Osmium: Melting curve and matching of high-temperature data. High Temp. 2015, 53, 151–154. [Google Scholar] [CrossRef]
- Errandonea, D.; Burakovsky, L.; Preston, D.L.; MacLeod, S.G.; Santamaría-Perez, D.; Chen, S.; Cynn, H.; Simak, S.I.; McMahon, M.I.; Proctor, J.E.; et al. Experimental and theoretical confirmation of an orthorhombic phase transition in niobium at high pressure and temperature. Commun. Mater. 2020, 1, 1–11. [Google Scholar] [CrossRef]
- Lord, O.T.; Wood, I.G.; Dobson, D.P.; Vočadlo, L.; Wang, W.; Thomson, A.R.; Wann, E.T.; Morard, G.; Mezouar, M.; Walter, M.J. The melting curve of Ni to 1 Mbar. Earth Planet. Sci. Lett. 2014, 408, 226–236. [Google Scholar] [CrossRef]
- Ross, M.; Yang, L.H.; Boehler, R. Melting of aluminum, molybdenum, and the light actinides. Phys. Rev. B 2004, 70, 184112. [Google Scholar] [CrossRef]
- Akella, J.; Kennedy, G.C. Melting of gold, silver, and copper-proposal for a new high-pressure calibration scale. J. Geophys. Res. Space Phys. 1971, 76, 4969–4977. [Google Scholar] [CrossRef]
- Errandonea, D. The melting curve of ten metals up to 12 GPa and 1600 K. J. Appl. Phys. 2010, 108, 033517. [Google Scholar] [CrossRef]
- Boehler, R.; Ross, M. Melting curve of aluminum in a diamond cell to 0.8 Mbar: Implications for iron. Earth Planet. Sci. Lett. 1997, 153, 223–227. [Google Scholar] [CrossRef]
- Belonoshko, A.; Burakovsky, L.; Chen, S.P.; Johansson, B.; Mikhaylushkin, A.S.; Preston, D.L.; Simak, S.I.; Swift, D.C. Molybdenum at High Pressure and Temperature: Melting from Another Solid Phase. Phys. Rev. Lett. 2008, 100, 135701. [Google Scholar] [CrossRef]
- Morard, G.; Boccato, S.; Rosa, A.D.; Anzellini, S.; Miozzi, F.; Henry, L.; Garbarino, G.; Mezouar, M.; Harmand, M.; Guyot, F.; et al. Solving Controversies on the Iron Phase Diagram Under High Pressure. Geophys. Res. Lett. 2018, 45. [Google Scholar] [CrossRef]
- Schenk, T.; Holland-Moritz, D.; Simonet, V.; Bellissent, R.; Herlach, D.M. Icosahedral Short-Range Order in Deeply Undercooled Metallic Melts. Phys. Rev. Lett. 2002, 89, 075507. [Google Scholar] [CrossRef] [PubMed]
- Lee, G.W.; Gangopadhyay, A.K.; Kelton, K.F.; Hyers, R.W.; Rathz, T.J.; Rogers, J.R.; Robinson, D.S. Difference in Icosahedral Short-Range Order in Early and Late Transition Metal Liquids. Phys. Rev. Lett. 2004, 93, 037802. [Google Scholar] [CrossRef] [PubMed]
- Ross, M.; Boehler, R.; Japel, S. Melting of bcc transition metals and icosahedral clustering. J. Phys. Chem. Solids 2006, 67, 2178–2182. [Google Scholar] [CrossRef][Green Version]
- Jakse, N.; Pasturel, A. Local Order of Liquid and Supercooled Zirconium by Ab Initio Molecular Dynamics. Phys. Rev. Lett. 2003, 91, 195501. [Google Scholar] [CrossRef] [PubMed]
- Errandonea, D. Phase behavior of metals at very high P–T conditions: A review of recent experimental studies. J. Phys. Chem. Solids 2006, 67, 2017–2026. [Google Scholar] [CrossRef]
- Falconi, S.; Lundegaard, L.F.; Hejny, C.; McMahon, M.I. X-ray Diffraction Study of Liquid Cs up to 9.8 GPa. Phys. Rev. Lett. 2005, 94, 125507. [Google Scholar] [CrossRef]
- Ross, M.; McMahan, A.K. Systematics of the s → d and p → d electronic transition at high pressure for the elements I through La. Phys. Rev. B 1982, 26, 4088–4093. [Google Scholar] [CrossRef]
- Christensen, N.; Novikov, D. High-pressure phases of the light alkali metals. Solid State Commun. 2001, 119, 477–490. [Google Scholar] [CrossRef]
- Degtyareva, V.F. Brillouin zone concept and crystal structures of sp metals under high pressure. High Press. Res. 2003, 23, 253–257. [Google Scholar] [CrossRef]
- Olijnyk, H.; Holzapfel, W. Phase transitions in alkaline earth metals under pressure. Phys. Lett. A 1984, 100, 191–194. [Google Scholar] [CrossRef]
- Winzenick, M.; Holzapfel, W.B. Structural study on the high-pressure phase strontium III. Phys. Rev. B 1996, 53, 2151–2154. [Google Scholar] [CrossRef]
- Kenichi, T. High-pressure structural study of barium to 90 GPa. Phys. Rev. B 1994, 50, 16238–16246. [Google Scholar] [CrossRef]
- Duthie, J.C.; Pettifor, D.G. Correlation between d-Band Occupancy and Crystal Structure in the Rare Earths. Phys. Rev. Lett. 1977, 38, 564–567. [Google Scholar] [CrossRef]
- Errandonea, D.; Boehler, R.; Ross, M. Melting of the Rare Earth Metals and f-Electron Delocalization. Phys. Rev. Lett. 2000, 85, 3444–3447. [Google Scholar] [CrossRef] [PubMed]
- Vohra, Y.K.; Olijnik, H.; Grosshans, W.; Holzapfel, W.B. Structural Phase Transitions in Yttrium under Pressure. Phys. Rev. Lett. 1981, 47, 1065–1067. [Google Scholar] [CrossRef]
- Vohra, Y.; Akella, J.; Weir, S.; Smith, G.S. A new ultra-high pressure phase in samarium. Phys. Lett. A 1991, 158, 89–92. [Google Scholar] [CrossRef]
- Akella, J.; Smith, G.S.; Jephcoat, A.P. High-pressure phase transformation studies in gadolinium to 106 GPa. J. Phys. Chem. Solids 1988, 49, 573–576. [Google Scholar] [CrossRef]
- Akella, J.; Weir, S.T.; Vohra, Y.K.; Prokop, H.; Catledge, S.A.; Chesnut, G.N. High pressure phase transformations in neodymium studied in a diamond anvil cell using diamond-coated rhenium gaskets. J. Phys. Condens. Matter 1999, 11, 6515–6520. [Google Scholar] [CrossRef]
- Grosshans, W.A.; Holzapfel, W.B. Atomic volumes of rare-earth metals under pressures to 40 GPa and above. Phys. Rev. B 1992, 45, 5171–5178. [Google Scholar] [CrossRef]
- Frost, D.J.; Poe, B.T.; Trønnes, R.G.; Liebske, C.; Duba, A.; Rubie, D.C. A new large-volume multianvil system. Phys. Earth Planet. Ineriors 2004, 143, 507–514. [Google Scholar] [CrossRef]
- Shcheka, S.S.; Wiedenbeck, M.; Frost, D.J.; Keppler, H. Carbon solubility in mantle minerals. Earth Planet. Sci. Lett. 2006, 245, 430–742. [Google Scholar] [CrossRef]
- Nieto-Sanz, D.; Loubeyre, P.; Crichton, W.; Mezouar, M. X-ray study of the synthesis of boron oxides at high pressure: Phase diagram and equation of state. Phys. Rev. B 2004, 70, 214108. [Google Scholar] [CrossRef]
- Horvath-Bordon, E.; Riedel, R.; Zerr, A.; McMillan, P.F.; Auffermann, G.; Prots, Y.; Bronger, W.; Kniep, R.; Kroll, P. High-pressure chemistry of nitride-based materials. Chem. Soc. Rev. 2006, 35, 987–1014. [Google Scholar] [CrossRef] [PubMed]
- Zhou, X.; Ma, D.; Wang, L.; Zhao, Y.; Wang, S. Large-volume cubic press produces high temperatures above 4000 Kelvin for study of the refractory materials at pressures. Rev. Sci. Instrum. 2020, 91, 015118. [Google Scholar] [CrossRef] [PubMed]
- Ito, E.; Yamazaki, D.; Yoshino, T.; Fukui, H.; Zhai, S.; Shatzkiy, A.; Katsura, T.; Tange, Y.; Funakoshi, K.-I. Pressure generation and investigation of the post-perovskite transformation in MgGeO3 by squeezing the Kawai-cell equipped with sintered diamond anvils. Earth Planet. Sci. Lett. 2010, 293, 84–89. [Google Scholar] [CrossRef]
- Ito, E. Theory and Practice—Multianvil cells and high-pressure experimental methods. In Mineral Physics; Price, G.D., Ed.; Elsevier: Amsterdam, The Netherlands, 2007; Volume 2, pp. 197–230. [Google Scholar]
- Getting, I.; Kennedy, G. Effect of pressure on the emf of chromel-alumel and platinum-platinum 10%rhodium thermocouples. J. Appl. Phys. 1970, 41, 4552–4562. [Google Scholar] [CrossRef]
- Hanneman, R.E.; Strong, H.M. Pressure Dependence of the emf of Thermocouples to 1300 °C and 50 kbar. J. Appl. Phys. 1965, 36, 523. [Google Scholar] [CrossRef]
- Li, J.; Hadidiacos, C.; Mao, H.-K.; Fei, Y.; Hemley, R.J. Behavior of thermocouples under high pressure in a multi-anvil apparatus. High Press. Res. 2003, 23, 389–401. [Google Scholar] [CrossRef]
- Matsui, M.; Nishiyama, N. Comparison between the Au and MgO pressure calibration standards at high temperature: Au and mgo pressure calibration standards. Geophys. Res. Lett. 2002, 29, 6-1-6-4. [Google Scholar] [CrossRef]
- Speziale, S.; Zha, C.-S.; Duffy, T.S.; Hemley, R.J.; Mao, H.-K. Quasi-hydrostatic compression of magnesium oxide to 52 GPa: Implications for the pressure-volume-temperature equation of state. J. Geophys. Res. Space Phys. 2001, 106, 515–528. [Google Scholar] [CrossRef]
- Zha, C.-S.; Mao, H.-K.; Hemley, R.J. Elasticity of MgO and a primary pressure scale to 55 GPa. Proc. Natl. Acad. Sci. USA 2000, 97, 13494–13499. [Google Scholar] [CrossRef]
- Liebermann, R.C. Multi-anvil, high pressure apparatus: A half-century of development and progress. High Press. Res. 2011, 31, 493–532. [Google Scholar] [CrossRef]
- Lazicki, A.; Fei, Y.; Hemley, R.J. High-pressure differential thermal analysis measurements of the melting curve of lithium. Solid State Commun. 2010, 150, 625–627. [Google Scholar] [CrossRef]
- Silber, R.E.; Secco, R.A.; Yong, W. Constant electrical resistivity of Ni along the melting boundary up to 9 GPa: Constant Ni Melting Resistivity to 9 GPa. J. Geophys. Res. Solid Earth 2017, 122, 5064–5081. [Google Scholar] [CrossRef]
- Ezenwa, I.C.; Secco, R.A. Invariant electrical resistivity of Co along the melting boundary. Earth Planet. Sci. Lett. 2017, 474, 120–127. [Google Scholar] [CrossRef]
- Berrada, M.; Secco, R.A.; Yong, W. Decreasing electrical resistivity of gold along the melting boundary up to 5 GPa. High Press. Res. 2018, 38, 367–376. [Google Scholar] [CrossRef]
- Lord, O.T.; Walter, M.J.; Dasgupta, R.; Walker, D.; Clark, S.M. Melting in the Fe-C system to 70 GPa. Earth Planet. Sci. Lett. 2009, 284, 157–167. [Google Scholar] [CrossRef]
- Sanloup, C.; Guyot, F.; Gillet, P.; Fiquet, G.; Hemley, R.J.; Mezouar, M.; Martinez, I. Structural changes in liquid Fe at high pressures and high temperatures from Synchrotron X-ray Diffraction. Europhys. Lett. 2000, 52, 151–157. [Google Scholar] [CrossRef]
- Brand, H.; Dobson, D.P.; Vočadlo, L.; Wood, I.G. Melting curve of copper measured to 16 GPa using a multi-anvil press. High Press. Res. 2006, 26, 185–191. [Google Scholar] [CrossRef]
- Fan, D.W.; Zhou, W.G.; Wei, S.Y.; Liu, Y.G.; Ma, M.N.; Xie, H.S. A simple external resistance heating diamond anvil cell and its application for synchrotron radiation X-ray diffraction. Rev. Sci. Instrum. 2010, 81, 5. [Google Scholar] [CrossRef]
- Jenei, Z.; Cynn, H.; Visbeck, K.; Evans, W. High-temperature experiments using a resistively heated high-pressure membrane diamond anvil cell. Rev. Sci. Instrum. 2013, 84, 0951144. [Google Scholar] [CrossRef] [PubMed]
- Weir, S.T.; Jackson, D.D.; Falabella, S.; Samudrala, G.; Vohra, Y.K. An electrical microheater technique for high-pressure and high-temperature diamond anvil cell experiments. Rev. Sci. Instrum. 2009, 80, 013905. [Google Scholar] [CrossRef]
- Pasternak, S.; Aquilanti, G.; Pascarelli, S.; Poloni, R.; Canny, B.; Coulet, M.-V.; Zhang, L. A diamond anvil cell with resistive heating for high pressure and high temperature X-ray diffraction and absorption studies. Rev. Sci. Instrum. 2008, 79, 085103. [Google Scholar] [CrossRef]
- Du, Z.; Miyagi, L.; Amulele, G.; Lee, K.K.M. Efficient graphite ring heater suitable for diamond-anvil cells to 1300 K. Rev. Sci. Instrum. 2013, 84, 024502. [Google Scholar] [CrossRef]
- Dubrovinsky, L.S.; Saxena, S.K.; Lazor, P. High-pressure and high-temperature in situ X-ray diffraction study of iron and corundum to 68 GPa using an internally heated diamond anvil cell. Phys. Chem. Miner. 1998, 25, 434–441. [Google Scholar] [CrossRef]
- Balzaretti, N.M.; Gonzalez, E.J.; Piermarini, G.J.; Russell, T.P. Resistance heating of the gasket in a gem-anvil high pressure cell. Rev. Sci. Instrum. 1999, 70, 4316–4323. [Google Scholar] [CrossRef]
- Liermann, H.-P.; Merkel, S.; Miyagi, L.; Wenk, H.-R.; Shen, G.; Cynn, H.; Evans, W.J. Experimental method for in situ determination of material textures at simultaneous high pressure and high temperature by means of radial diffraction in the diamond anvil cell. Rev. Sci. Instrum. 2009, 80, 104501. [Google Scholar] [CrossRef] [PubMed]
- Zha, C.-S.; Bassett, W.A. Internal resistive heating in diamond anvil cell for in situ X-ray diffraction and Raman scattering. Rev. Sci. Instrum. 2003, 74, 1255. [Google Scholar] [CrossRef]
- Bassett, W.A.; Shen, A.H.; Bucknum, M.; Chou, I.-M. A new diamond anvil cell for hydrothermal studies to 2.5 GPa and from −190 to 1200 °C. Rev. Sci. Instrum. 1993, 64, 2340–2345. [Google Scholar] [CrossRef]
- Weir, S.T.; Lipp, M.J.; Falabella, S.; Samudrala, G.; Vohra, Y.K. High pressure melting curve of tin measured using an internal resistive heating technique to 45 GPa. J. Appl. Phys. 2012, 111, 123529. [Google Scholar] [CrossRef]
- Komabayashi, T.; Fei, Y.; Meng, Y.; Prakapenka, V. In-situ X-ray diffraction measurements of the γ-ε transition boundary of iron in an internally-heated diamond anvil cell. Earth Planet. Sci. Lett. 2009, 282, 252–257. [Google Scholar] [CrossRef]
- Komabayashi, T.; Pesce, G.; Sinmyo, R.; Kawazoe, T.; Breton, H.; Shimoyama, Y.; Glzyrin, K.; Konôpková, Z.; Mezouar, M. Phase relations in the system Fe–Ni–Si to 200 GPa and 3900 K and implications for Earth’s core. Earth Planet. Sci. Lett. 2019, 512, 83–88. [Google Scholar] [CrossRef]
- Goncharov, A.F.; Hemley, R.J. Probing hydrogen-rich molecular systems at high pressures and temperatures. Chem. Soc. Rev. 2006, 35, 899–907. [Google Scholar] [CrossRef]
- Smith, D.; Hakeem, M.A.; Parisiades, P.; Maynard-Casely, H.E.; Foster, D.; Eden, D.; Bull, D.J.; Marshall, A.R.L.; Adawi, A.M.; Howie, R.; et al. Crossover between liquidlike and gaslike behavior in C H4 at 400 K. Phys. Rev. E 2017, 96, 052113. [Google Scholar] [CrossRef]
- Ninet, S.; Datchi, F. High pressure–high temperature phase diagram of ammonia. J. Chem. Phys. 2008, 128, 154508. [Google Scholar] [CrossRef]
- Datchi, F.; Loubeyre, P.; LeToullec, R. Extended and accurate determination of the melting curves of argon, helium, ice (H2O), and hydrogen(H2). Phys. Rev. B 2000, 61, 6535–6546. [Google Scholar] [CrossRef]
- Ming, L.; Bassett, W.A. Laser heating in the diamond anvil press up to 2000 °C sustained and 3000 °C pulsed at pressures up to 260 kilobars. Rev. Sci. Instrum. 1974, 45, 1115–1118. [Google Scholar] [CrossRef]
- Murakami, M. Post-Perovskite Phase Transition in MgSiO3. Science 2004, 304, 855–858. [Google Scholar] [CrossRef] [PubMed]
- Petitgirard, S.; Salamat, A.; Beck, P.; Weck, G.; Bouvier, P. Strategies for in situ laser heating in the diamond anvil cell at an X-ray diffraction beamline. J. Synchrotron Radiat. 2014, 21, 89–96. [Google Scholar] [CrossRef] [PubMed]
- Prakapenka, V.B.; Kubo, A.; Kuznetsov, A.; Laskin, A.; Shkurikhin, O.; Dera, P.; Rivers, M.L.; Sutton, S.R. Advanced flat top laser heating system for high pressure research at GSECARS: Application to the melting behavior of germanium. High Press. Res. 2008, 28, 225–235. [Google Scholar] [CrossRef]
- Anzellini, S.; Kleppe, A.K.; Daisenberger, D.; Wharmby, M.T.; Giampaoli, R.; Boccato, S.; Baron, M.A.; Miozzi, F.; Keeble, D.S.; Ross, A.; et al. Laser-heating system for high-pressure X-ray diffraction at the Extreme Conditions beamline I15 at Diamond Light Source. J. Synchrotron Radiat. 2018, 25, 1860–1868. [Google Scholar] [CrossRef]
- Meng, Y.; Hrubiak, R.; Rod, E.; Boehler, R.; Shen, G. New developments in laser-heated diamond anvil cell with in situ synchrotron X-ray diffraction at High Pressure Collaborative Access Team. Rev. Sci. Instrum. 2015, 86, 072201. [Google Scholar] [CrossRef] [PubMed]
- Liermann, H.-P.; Konôpková, Z.; Morgenroth, W.; Glazyrin, K.; Bednarčik, J.; McBride, E.E.; Petitgirard, S.; Delitz, J.T.; Wendt, M.; Bican, Y.; et al. The Extreme Conditions Beamline P02.2 and the Extreme Conditions Science Infrastructure at PETRA III. J. Synchrotron Radiat. 2015, 22, 908–924. [Google Scholar] [CrossRef] [PubMed]
- Watanuki, T.; Shimomura, O.; Yagi, T.; Kondo, T.; Isshiki, M. Construction of laser-heated diamond anvil cell system for in situ X-ray diffraction study at SPring-8. Rev. Sci. Instrum. 2001, 72, 1289. [Google Scholar] [CrossRef]
- Stan, C.V.; Beavers, C.M.; Kunz, M.; Tamura, N. X-ray Diffraction under Extreme Conditions at the Advanced Light Source. Quantum Beam Sci. 2018, 2, 4. [Google Scholar] [CrossRef]
- Andrault, D.; Bolfan-Casanova, N.; Bouhifd, M.; Boujibar, A.; Garbarino, G.; Manthilake, G.; Mezouar, M.; Monteux, J.; Parisiades, P.; Pesce, G. Toward a coherent model for the melting behavior of the deep Earth’s mantle. Phys. Earth Planet. Inter. 2017, 265, 67–81. [Google Scholar] [CrossRef]
- Boehler, R.; Musshoff, H.G.; Ditz, R.; Aquilanti, G.; Trapananti, A. Portable laser-heating stand for synchrotron applications. Rev. Sci. Instrum. 2009, 80, 045103. [Google Scholar] [CrossRef]
- Andrault, D.; Muñoz, M.; Bolfan-Casanova, N.; Guignot, N.; Perrillat, J.-P.; Aquilanti, G.; Pascarelli, S. Experimental evidence for perovskite and post-perovskite coexistence throughout the whole D″ region. Earth Planet. Sci. Lett. 2010, 293, 90–96. [Google Scholar] [CrossRef]
- Kantor, I.; Marini, C.; Mathon, O.; Pascarelli, S. A laser heating facility for energy-dispersive X-ray absorption spectroscopy. Rev. Sci. Instrum. 2018, 89, 13111. [Google Scholar] [CrossRef]
- Torchio, R.; Boccato, S.; Cerantola, V.; Morard, G.; Irifune, T.; Kantor, I. Probing the local, electronic and magnetic structure of matter under extreme conditions of temperature and pressure. High Press. Res. 2016, 36, 293–302. [Google Scholar] [CrossRef]
- Andrault, D.; Petitgirard, S.; Nigro, G.L.; Devidal, J.; Veronesi, G.; Garbarino, G.; Mezouar, M. Solid-liquidiron partitioning in Earth’s deep mantle. Nature 2012, 487, 354. [Google Scholar] [CrossRef] [PubMed]
- Potapkin, V.; McCammon, C.; Glazyrin, K.; Kantor, A.; Kupenko, I.; Prescher, C.; Sinmyo, R.; Smirnov, G.V.; Chumakov, A.I.; Rüffer, R.; et al. Effect of iron oxidation state on the electrical conductivity of the Earth’s lower mantle. Nat. Commun. 2013, 4, 1427. [Google Scholar] [CrossRef] [PubMed]
- Kupenko, I.; Dubrovinsky, L.; Dubrovinskaia, N.; McCammon, C.; Glazyrin, K.; Bykova, E.; Ballaran, T.B.; Sinmyo, R.; Chumakov, A.I.; Potapkin, V.; et al. Portable double-sided laser-heating system for Mössbauer spectroscopy and X-ray diffraction experiments at synchrotron facilities with diamond anvil cells. Rev. Sci. Instrum. 2012, 83, 124501. [Google Scholar] [CrossRef]
- McCammon, C.; Caracas, R.; Glazyrin, K.; Potapkin, V.; Kantor, A.; Sinmyo, R.; Prescher, C.; Kupenko, I.; Chumakov, A.; Dubrovinsky, L. Sound velocities of bridgmanite from density of states determined by nuclear inelastic scattering and first-principles calculations. Prog. Earth Planet. Sci. 2016, 3, 10. [Google Scholar] [CrossRef]
- Meier, T.; Dwivedi, A.P.; Khandarkhaeva, S.; Fedotenko, T.; Dubrovinskaia, N.; Dubrovinsky, L. Table-top nuclear magnetic resonance system for high-pressure studies with in situ laser heating. Rev. Sci. Instrum. 2019, 90, 123901. [Google Scholar] [CrossRef] [PubMed]
- Zinin, P.V.; Prakapenka, V.B.; Burgess, K.; Odake, S.; Chigarev, N.; Sharma, S.K. Combined laser ultrasonics, laser heating, and Raman scattering in diamond anvil cell system. Rev. Sci. Instrum. 2016, 87, 123908. [Google Scholar] [CrossRef]
- Goncharov, A.F.; Crowhurst, J.C. Pulsed laser Raman spectroscopy in the laser-heated diamond anvil cell. Rev. Sci. Instrum. 2005, 76, 63905. [Google Scholar] [CrossRef]
- Santoro, M.; Lin, J.-F.; Mao, H.-K.; Hemley, R.J. In situ high P-T Raman spectroscopy and laser heating of carbon dioxide. J. Chem. Phys. 2004, 121, 2780. [Google Scholar] [CrossRef]
- Zhou, Q.; Ma, Y.; Cui, Q.; Cui, T.; Zhang, J.; Xie, Y.; Yang, K.; Zou, G. Raman scattering system for a laser heated diamond anvil cell. Rev. Sci. Instrum. 2004, 75, 2432–2434. [Google Scholar] [CrossRef]
- Lin, J.-F.; Santoro, M.; Struzhkin, V.V.; Mao, H.-K.; Hemley, R.J. In situ high pressure-temperature Raman spectroscopy technique with laser-heated diamond anvil cells. Rev. Sci. Instrum. 2004, 75, 3302–3306. [Google Scholar] [CrossRef]
- Murakami, M.; Asahara, Y.; Ohishi, Y.; Hirao, N.; Hirose, K. Development of in situ Brillouin spectroscopy at high pressure and high temperature with synchrotron radiation and infrared laser heating system: Application to the Earth’s deep interior. Phys. Earth Planet. Inter. 2009, 174, 282–291. [Google Scholar] [CrossRef]
- Sinogeikin, S.V.; Lakshtanov, D.L.; Nicholas, J.D.; Jackson, J.M.; Bass, J.D. High temperature elasticity measurements on oxides by Brillouin spectroscopy with resistive and IR laser heating. J. Eur. Ceram. Soc. 2005, 25, 1313–1324. [Google Scholar] [CrossRef]
- Li, F.; Cui, Q.; He, Z.; Cui, T.; Gao, C.; Zhou, Q.; Zou, G. Brillouin scattering spectroscopy for a laser heated diamond anvil cell. Appl. Phys. Lett. 2006, 88, 203507. [Google Scholar] [CrossRef]
- Zhang, J.S.; Bass, J.D.; Zhu, G. Single-crystal Brillouin spectroscopy with CO2 laser heating and variable q. Rev. Sci. Instrum. 2015, 86, 063905. [Google Scholar] [CrossRef] [PubMed]
- Young, A.F.; Sanloup, C.; Gregoryanz, E.; Scandolo, S.; Hemley, R.J.; Mao, H.K. Synthesis of novel transition metal nitrides IrN2 and OsN2. Phys. Rev. Lett. 2006, 96, 155501. [Google Scholar] [CrossRef] [PubMed]
- Solozhenko, V.L.; Kurakevych, O.O.; Andrault, D.; Le Godec, Y.; Mezouar, M. Ultimate Metastable Solubility of Boron in Diamond: Synthesis of Superhard Diamond like BC5. Phys. Rev. Lett. 2009, 102, 015506. [Google Scholar] [CrossRef]
- Nielsen, M.B.; Ceresoli, D.; Parisiades, P.; Prakapenka, V.B.; Yu, T.; Wang, Y.; Bremholm, M. Phase stability of the SrMnO3 hexagonal perovskite system at high pressure and temperature. Phys. Rev. B 2014, 90, 214101. [Google Scholar] [CrossRef]
- Crowhurst, J.C.; Goncharov, A.F.; Sadigh, B.; Zaug, J.; Aberg, D.; Meng, Y.; Prakapenka, V.B. Synthesis and characterization of nitrides of iridium and palladium. J. Mater. Res. 2008, 23, 1–5. [Google Scholar] [CrossRef]
- Salamat, A.; Fischer, R.A.; Briggs, R.; McMahon, M.I.; Petitgirard, S. In situ synchrotron X-ray diffraction in the laser-heated diamond anvil cell: Melting phenomena and synthesis of new materials. Coord. Chem. Rev. 2014, 277–278, 15–30. [Google Scholar] [CrossRef]
- Pépin, C.M.; Geneste, G.; Dewaele, A.; Mezouar, M.; Loubeyre, P. Synthesis of FeH5: A layered structure with atomic hydrogen slabs. Science 2017, 357, 382–385. [Google Scholar] [CrossRef]
- Drozdov, A.P.; Kong, P.P.; Minkov, V.S.; Besedin, S.P.; Kuzovnikov, M.A.; Mozaffari, S.; Balicas, L.; Balakirev, F.F.; Graf, D.E.; Prakapenka, V.B.; et al. Superconductivity at 250 K in lanthanum hydride under high pressures. Nat. Cell Biol. 2019, 569, 528–531. [Google Scholar] [CrossRef] [PubMed]
- Guigue, B.; Marizy, A.; Loubeyre, P. Direct synthesis of pure H3 S from S and H elements: No evidence of the cubic super-conducting phase up to 160 GPa. Phys. Rev. B 2017, 95, 020104. [Google Scholar] [CrossRef]
- Block, S.; Weir, C.W.; Piermarini, G.J. High-Pressure Single-Crystal Studies of Ice VI. Science 1965, 148, 947–948. [Google Scholar] [CrossRef]
- Lin, J.-F.; Shu, J.; Mao, H.-K.; Hemley, R.J.; Shen, G. Amorphous boron gasket in diamond anvil cell research. Rev. Sci. Instrum. 2003, 74, 4732–4736. [Google Scholar] [CrossRef]
- Funamori, N.; Sato, T. A cubic boron nitride gasket for diamond-anvil experiments. Rev. Sci. Instrum. 2008, 79, 053903. [Google Scholar] [CrossRef]
- Hemley, R.J.; Beckmann, R.; Bubeck, R.; Grassucci, R.; Penczek, P.; Verschoor, A.; Blobel, G.; Frank, J. X-ray Imaging of Stress and Strain of Diamond, Iron, and Tungsten at Megabar Pressures. Science 1997, 276, 1242–1245. [Google Scholar] [CrossRef]
- Mao, H.-K.; Shu, J.; Shen, G.; Hemley, R.J.; Li, B.; Singh, A.K. Elasticity and rheology of iron above 220 GPa and the nature of the Earth’s inner core. Nat. Cell Biol. 1998, 396, 741–743. [Google Scholar] [CrossRef]
- Wu, T.-C.; Bassett, W.A. Deviatoric stress in a diamond anvil cell using synchrotron radiation with two diffraction geometries. PAGEOPH 1993, 141, 509–519. [Google Scholar] [CrossRef]
- Klotz, S.; Chervin, J.-C.; Munsch, P.; Le Marchand, G. Hydrostatic limits of 11 pressure transmitting media. J. Phys. D Appl. Phys. 2009, 42, 075413. [Google Scholar] [CrossRef]
- Dewaele, A.; Loubeyre, P. Pressurizing conditions in helium-pressure-transmitting medium. High Press. Res. 2007, 27, 419–429. [Google Scholar] [CrossRef]
- Boehler, R.; Ross, M.; Söderlind, P.; Boercker, D.B. High-Pressure Melting Curves of Argon, Krypton, and Xenon: Deviation from Corresponding States Theory. Phys. Rev. Lett. 2001, 86, 5731–5734. [Google Scholar] [CrossRef]
- Boehler, R.; Ross, M.; Boercker, D.B. Melting of LiF and NaCl to 1 Mbar: Systematics of Ionic Solids at Extreme Conditions. Phys. Rev. Lett. 1997, 78, 4589–4592. [Google Scholar] [CrossRef]
- Kimura, T.; Ohfuji, H.; Nishi, M.; Irifune, T. Melting temperatures of MgO under high pressure by micro-texture analysis. Nat. Commun. 2017, 8, 15735. [Google Scholar] [CrossRef]
- Andrault, D.; Morard, G.; Garbarino, G.; Mezouar, M.; Bouhifd, M.A.; Kawamoto, T. Melting behavior of SiO2 up to 120 GPa. Phys. Chem. Miner. 2020, 47, 10. [Google Scholar] [CrossRef]
- Shen, G.; Lazor, P. Measurement of melting temperatures of some minerals under lower mantle pressures. J. Geophys. Res. Space Phys. 1995, 100, 17699–17713. [Google Scholar] [CrossRef]
- Santamaría-Pérez, D.; Mukherjee, G.D.; Schwager, B.; Boehler, R. High-pressure melting curve of helium and neon: Deviations from corresponding states theory. Phys. Rev. B 2010, 81, 214101. [Google Scholar] [CrossRef]
- Boehler, R.; Ross, M.; Boercker, D.B. High-pressure melting curves of alkali halides. Phys. Rev. B 1996, 53, 556–563. [Google Scholar] [CrossRef] [PubMed]
- Yang, L.; Karandikar, A.; Boehler, R. Flash heating in the diamond cell: Melting curve of rhenium. Rev. Sci. Instrum. 2012, 83, 63905. [Google Scholar] [CrossRef] [PubMed]
- Dewaele, A.; Mezouar, M.; Guignot, N.; Loubeyre, P. Melting of lead under high pressure studied using second-scale time-resolved X-ray diffraction. Phys. Rev. B 2007, 76, 144106. [Google Scholar] [CrossRef]
- Patel, N.N.; Sunder, M. High pressure melting curve of osmium up to 35 GPa. J. Appl. Phys. 2019, 125, 055902. [Google Scholar] [CrossRef]
- Du, Z.; Amulele, G.; Benedetti, L.R.; Lee, K.K.M. Mapping temperatures and temperature gradients during flash heating in a diamond-anvil cell. Rev. Sci. Instrum. 2013, 84, 75111. [Google Scholar] [CrossRef] [PubMed]
- Geballe, Z.M.; Jeanloz, R. Origin of temperature plateaus in laser-heated diamond anvil cell experiments. J. Appl. Phys. 2012, 111, 123518. [Google Scholar] [CrossRef]
- Weck, G.; Datchi, F.; Garbarino, G.; Ninet, S.; Queyroux, J.-A.; Plisson, T.; Mezouar, M.; Loubeyre, P. Melting Curve and Liquid Structure of Nitrogen Probed by X-ray Diffraction to 120 GPa. Phys. Rev. Lett. 2017, 119, 235701. [Google Scholar] [CrossRef]
- Zerr, A.; Diegeler, A.; Boehler, R. Solidus of Earth’s Deep Mantle. Science 1998, 281, 243–246. [Google Scholar] [CrossRef]
- Hearne, G.; Bibik, A.; Zhao, J. CO2laser-heated diamond-anvil cell methodology revisited. J. Phys. Condens. Matter 2002, 14, 11531–11535. [Google Scholar] [CrossRef]
- Fiquet, G.; Andrault, D.; Itié, J.; Gillet, P.; Richet, P. X-ray diffraction of periclase in a laser-heated diamond-anvil cell. Phys. Earth Planet. Inter. 1996, 95, 1–17. [Google Scholar] [CrossRef]
- Mao, H.K.; Bell, P.M.; Shaner, J.W.; Steinberg, D.J. Specific volume measurements of Cu, Mo, Pd, and Ag and calibration of the ruby R1 fluorescence pressure gauge from 0.06 to 1 Mbar. J. Appl. Phys. 1978, 49, 3276–3283. [Google Scholar] [CrossRef]
- Dewaele, A.; Torrent, M.; Loubeyre, P.; Mezouar, M. Compression curves of transition metals in the Mbar range: Experiments and projector augmented-wave calculations. Phys. Rev. B 2008, 78, 104102. [Google Scholar] [CrossRef]
- Shen, G.; Wang, Y.; Dewaele, A.; Wu, C.; Fratanduono, D.E.; Eggert, J.; Klotz, S.; Dziubek, K.F.; Loubeyre, P.; Fat’Yanov, O.V.; et al. Toward an international practical pressure scale: A proposal for an IPPS ruby gauge (IPPS-Ruby2020). High Press. Res. 2020, 40, 299–314. [Google Scholar] [CrossRef]
- Datchi, F.; Dewaele, A.; Loubeyre, P.; Letoullec, R.; Le Godec, Y.; Canny, B. Optical pressure sensors for high-pressure–high-temperature studies in a diamond anvil cell. High Press. Res. 2007, 27, 447–463. [Google Scholar] [CrossRef]
- Akahama, Y.; Kawamura, H. Pressure calibration of diamond anvil Raman gauge to 410 GPa. J. Phys. Conf. Ser. 2010, 215, 012195. [Google Scholar] [CrossRef]
- Benedetti, L.R.; Loubeyre, P. Temperature gradients, wavelength-dependent emissivity, and accuracy of high and very-high temperatures measured in the laser-heated diamond cell. High Press. Res. 2004, 24, 423–445. [Google Scholar] [CrossRef]
- Benedetti, L.R.; Antonangeli, D.; Farber, D.L.; Mezouar, M. An integrated method to determine melting temperatures in high-pressure laser-heating experiments. Appl. Phys. Lett. 2008, 92, 141903. [Google Scholar] [CrossRef]
- Mezouar, M.; Giampaoli, R.; Garbarino, G.; Kantor, I.; Dewaele, A.; Weck, G.; Boccato, S.; Svitlyk, V.; Rosa, A.D.; Torchio, R.; et al. Methodology for in situ synchrotron X-ray studies in the laser-heated diamond anvil cell. High Press. Res. 2017, 37, 170–180. [Google Scholar] [CrossRef]
- Giampaoli, R.; Kantor, I.; Mezouar, M.; Boccato, S.; Rosa, A.D.; Torchio, R.; Garbarino, G.; Mathon, O.; Pascarelli, S. Measurement of temperature in the laser heated diamond anvil cell: Comparison between reflective and refractive optics. High Press. Res. 2018, 38, 250–269. [Google Scholar] [CrossRef]
- Benedetti, L.R.; Guignot, N.; Farber, D.L. Achieving accuracy in spectroradiometric measurements of temperature in the laser-heated diamond anvil cell: Diamond is an optical component. J. Appl. Phys. 2007, 101, 013109. [Google Scholar] [CrossRef]
- Jeanloz, R.; Kavner, A. Melting criteria and imaging spectroradiometry in laser-heated diamond-cell experiments. Philos. Trans. R. Soc. A Math. Phys. Eng. Sci. 1996, 354, 1279–1305. [Google Scholar] [CrossRef]
- Belonoshko, A.; Ahuja, R.; Johansson, B. Molecular Dynamics Study of Melting and fcc-bcc Transitions in Xe. Phys. Rev. Lett. 2001, 87, 165505. [Google Scholar] [CrossRef] [PubMed]
- Belonoshko, A.B.; Ahuja, R.; Johansson, B. Stability of the body-centred-cubic phase of iron in the Earth’s inner core. Nat. Cell Biol. 2003, 424, 1032–1034. [Google Scholar] [CrossRef]
- Andrault, D.; Morard, G.; Bolfan-Casanova, N.; Ohtaka, O.; Fukui, H.; Arima, H.; Guignot, N.; Funakoshi, K.; Lazor, P.; Mezouar, M. Study of partial melting at high-pressure using in situ X-ray diffraction. High Press. Res. 2006, 26, 267–276. [Google Scholar] [CrossRef]
- Di Cicco, A.; Trapananti, A. Study of local icosahedral ordering in liquid and undercooled liquid copper. J. Non-Cryst. Solids 2007, 353, 3671–3678. [Google Scholar] [CrossRef]
- Pascarelli, S.; Mathon, O.; Mairs, T.; Kantor, I.; Agostini, G.; Strohm, C.; Pasternak, S.; Perrin, F.; Berruyer, G.; Chappelet, P.; et al. The Time-resolved and Extreme-conditions XAS (TEXAS) facility at the European Synchrotron Radiation Facility: The energy-dispersive X-ray absorption spectroscopy beamline ID24. J. Synchrotron Radiat. 2016, 23, 353–368. [Google Scholar] [CrossRef]
- Lord, O.T.; Wann, E.T.; Hunt, S.A.; Walker, A.M.; Santangeli, J.; Walter, M.J.; Dobson, D.P.; Wood, I.G.; Vočadlo, L.; Morard, G.; et al. The NiSi melting curve to 70 GPa. Phys. Earth Planet. Inter. 2014, 233, 13–23. [Google Scholar] [CrossRef]
- Prakapenka, V.B.; Shen, G.; Rivers, M.L.; Sutton, S.R.; Dubrovinsky, L. Grain-size control in situ at high pressures and high temperatures in a diamond-anvil cell. J. Synchrotron Radait. 2005, 12, 560–565. [Google Scholar] [CrossRef] [PubMed]
- Karandikar, A.; Boehler, R. Flash melting of tantalum in a diamond cell to 85 GPa. Phys. Rev. B 2016, 93, 054107. [Google Scholar] [CrossRef]
- Sinmyo, R.; Hirose, K.; Ohishi, Y. Melting curve of iron to 290 GPa determined in a resistance-heated diamond-anvil cell. Earth Planet. Sci. Lett. 2019, 510, 45–52. [Google Scholar] [CrossRef]
- Basu, A.; Field, M.R.; McCulloch, D.G.; Boehler, R. New measurement of melting and thermal conductivity of iron close to outer core conditions. Geosci. Front. 2020, 11, 565–568. [Google Scholar] [CrossRef]
- Boehler, R. The phase diagram of iron to 430 kbar. Geophys. Res. Lett. 1986, 13, 1153–1156. [Google Scholar] [CrossRef]
- Ohta, K.; Kuwayama, Y.; Hirose, K.; Shimizu, K.; Ohishi, Y. Experimental determination of the electrical resistivity of iron at Earth’s core conditions. Nat. Cell Biol. 2016, 534, 95–98. [Google Scholar] [CrossRef]
- Konôpková, Z.; McWilliams, R.S.; Gómez-Pérez, R.S.M.N.; Goncharov, A.F. Direct measurement of thermal conductivity in solid iron at planetary core conditions. Nat. Cell Biol. 2016, 534, 99–101. [Google Scholar] [CrossRef]
- Aprilis, G.; Strohm, C.; Kupenko, I.; Linhardt, S.; Laskin, A.; Vasiukov, D.; Cerantola, V.; Koemets, E.; McCammon, C.; Kurnosov, A.; et al. Portable double-sided pulsed laser heating system for time-resolved geoscience and materials science applications. Rev. Sci. Instrum. 2017, 88, 084501. [Google Scholar] [CrossRef] [PubMed]
- Zhang, D.; Jackson, J.M.; Zhao, J.; Sturhahn, W.; Alp, E.E.; Toellner, T.S.; Hu, M.Y. Fast temperature spectrometer for samples under extreme conditions. Rev. Sci. Instrum. 2015, 86, 013105. [Google Scholar] [CrossRef] [PubMed]
- Zhang, D.; Jackson, J.M.; Zhao, J.; Sturhahn, W.; Alp, E.E.; Hu, M.Y.; Toellner, T.S.; Murphy, C.A.; Prakapenka, V.B. Temperature of Earth’s core constrained from melting of Fe and Fe0.9Ni0.1 at high pressures. Earth Planet. Sci. Lett. 2016, 447, 72–83. [Google Scholar] [CrossRef]
- Jackson, J.M.; Sturhahn, W.; Lerche, M.; Zhao, J.; Toellner, T.S.; Alp, E.E.; Sinogeikin, S.V.; Bass, J.D.; Murphy, C.A.; Wicks, J.K. Melting of compressed iron by monitoring atomic dynamics. Earth Planet. Sci. Lett. 2013, 362, 143–150. [Google Scholar] [CrossRef]
- Jeanloz, R.; Heinz, D. Experiments at high temperature and pressure: Laser heating through the diamond cell. J. Phys. Colloq. 1984, 45, C8-83. [Google Scholar] [CrossRef]
- Rouquette, J.; Dolejs, D.; Kantor, I.Y.; McCammon, C.A.; Frost, D.J.; Prakapenka, V.B.; Dubrovinsky, L.S. Iron-carbon interactions at high temperatures and pressures. Appl. Phys. Lett. 2008, 92, 121912. [Google Scholar] [CrossRef]
- Ren, B.; Liu, G.-K.; Lian, X.-B.; Yang, Z.-L.; Tian, Z.-Q. Raman spectroscopy on transition metals. Anal. Bioanal. Chem. 2007, 388, 29–45. [Google Scholar] [CrossRef] [PubMed]
- Aprilis, G.; Kantor, I.; Kupenko, I.; Cerantola, V.; Pakhomova, A.; Collings, I.E.; Torchio, R.; Fedotenko, T.; Chariton, S.; Bykov, M.; et al. Comparative study of the influence of pulsed and continuous wave laser heating on the mobilization of carbon and its chemical reaction with iron in a diamond anvil cell. J. Appl. Phys. 2019, 125, 095901. [Google Scholar] [CrossRef]








Publisher’s Note: MDPI stays neutral with regard to jurisdictional claims in published maps and institutional affiliations. |
© 2021 by the author. Licensee MDPI, Basel, Switzerland. This article is an open access article distributed under the terms and conditions of the Creative Commons Attribution (CC BY) license (https://creativecommons.org/licenses/by/4.0/).
Share and Cite
Parisiades, P. A Review of the Melting Curves of Transition Metals at High Pressures Using Static Compression Techniques. Crystals 2021, 11, 416. https://doi.org/10.3390/cryst11040416
Parisiades P. A Review of the Melting Curves of Transition Metals at High Pressures Using Static Compression Techniques. Crystals. 2021; 11(4):416. https://doi.org/10.3390/cryst11040416
Chicago/Turabian StyleParisiades, Paraskevas. 2021. "A Review of the Melting Curves of Transition Metals at High Pressures Using Static Compression Techniques" Crystals 11, no. 4: 416. https://doi.org/10.3390/cryst11040416
APA StyleParisiades, P. (2021). A Review of the Melting Curves of Transition Metals at High Pressures Using Static Compression Techniques. Crystals, 11(4), 416. https://doi.org/10.3390/cryst11040416

