Using a Modified Polyamidoamine Fluorescent Dendrimer for Capturing Environment Polluting Metal Ions Zn2+, Cd2+, and Hg2+: Synthesis and Characterizations
Abstract
1. Introduction
2. Experimental Section
2.1. Chemicals
2.2. Synthesis Methods
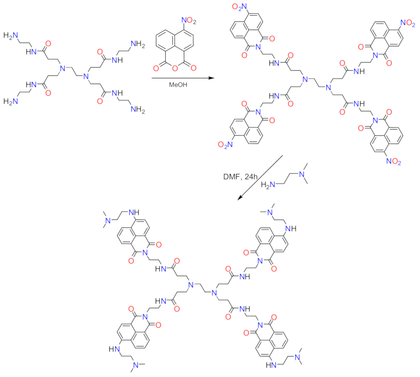
2.2.1. FCD Synthesis
2.2.2. Metal–FCD Complex Synthesis
2.3. Analysis Methods
2.3.1. Molecular and Fluorescence Spectroscopy
2.3.2. Microscopic Characterizations
2.3.3. Analytical and Thermal Analyses
3. Results and Discussion
3.1. FCD Characterizations
3.2. Analytical Results
3.3. IR and 1H NMR Results
3.4. Proposed Structure of the Complexes
3.5. Photophysical Properties
3.5.1. FCD Absorption and Emission Spectra
3.5.2. Complexes’ Absorption and Emission Spectra
3.6. Thermal Analysis and Thermodynamic Constants
3.7. SEM, and TEM Characterizations
4. Conclusions
Author Contributions
Funding
Data Availability Statement
Acknowledgments
Conflicts of Interest
References
- Sharma, M.; Poddar, M.; Gupta, Y.; Nigam, S.; Avasthi, D.K.; Adelung, R.; Abolhassani, R.; Fiutowski, J.; Joshi, M.; Mishra, Y.K. Solar light assisted degradation of dyes and adsorption of heavy metal ions from water by CuO-ZnO tetrapodal hybrid nanocomposite. Mater. Today Chem. 2020, 17, 100336. [Google Scholar] [CrossRef]
- Lv, W.; Zhao, K.; Ma, S.; Kong, L.; Dang, Z.; Chen, J.; Zhang, Y.; Hu, J. Process of removing heavy metal ions and solids suspended in micro-scale intensified by hydrocyclone. J. Clean. Prod. 2020, 263, 121533. [Google Scholar] [CrossRef]
- Li, C.Q.; Xu, H.; Gao, J.K.; Du, W.N.; Shang, G.; Li, Q.; Zhang, X.; Lin, R.-B.; Wu, H.; Zhou, W.; et al. Tunable titanium metal-organic frameworks with infinite 1D Ti-O rods for efficient visible-light-driven photocatalytic H2 evolution. J. Mater. Chem. A 2019, 7, 11928–11933. [Google Scholar] [CrossRef]
- Kumar, V.; Thakur, R.K.; Kumar, P. Assessment of heavy metals uptake by cauliflower (Brassica oleracea var. botrytis) grown in integrated industrial effluent irrigated soils: A prediction modeling study. Sci. Hortic. 2019, 257, 108682. [Google Scholar] [CrossRef]
- Kumar, S.; Prasad, S.; Yadav, K.K.; Shrivastava, M.; Gupta, N.; Nagar, S.; Bach, Q.; Kamyab, H.; Khan, S.A.; Yadav, S.; et al. Hazardous heavy metals contamination of vegetables and food chain: Role of sustainable remediation approaches—A review. Environ. Res. 2019, 179, 108792. [Google Scholar] [CrossRef]
- Gao, J.K.; Cong, J.K.; Wu, Y.H.; Sun, L.; Yao, J.M.; Chen, B.L. Bimetallic Hofmann-Type Metal-Organic Framework Nanoparticles for Efficient Electrocatalysis of Oxygen Evolution Reaction. ACS Appl. Energy Mater. 2018, 1, 5140–5144. [Google Scholar] [CrossRef]
- Wen, J.; Fang, Y.; Zeng, G.M. Progress and prospect of adsorptive removal of heavy metal ions from aqueous solution using metal-organic frameworks: A review of studies from the last decade. Chemosphere 2018, 201, 627–643. [Google Scholar] [CrossRef]
- Zhou, W.; Wu, Y.-P.; Zhao, J.; Dong, W.-W.; Qiao, X.-Q.; Hou, D.-F.; Bu, X.; Li, D.-S. Efficient Gas-Sensing for Formaldehyde with 3D Hierarchical Co3O4 Derived from Co5-Based MOF Microcrystals. Inorg. Chem. 2017, 56, 14111–14117. [Google Scholar] [CrossRef]
- Badawi, M.A.; Negm, N.A.; Kana, M.T.H.A.; Hefni, H.H.; Abdel, M.M. Moneem, Adsorption of aluminum and lead from wastewater by chitosan-tannic acid modified biopolymers: Isotherms, kinetics, thermodynamics and process mechanism. Int. J. Biol. Macromol. 2017, 99, 465–476. [Google Scholar] [CrossRef]
- Murugesan, A.; Vidhyadevi, T.; Kalaivani, S.S.; Thiruvengadaravi, K.V.; Ravikumar, L.; Anuradha, C.D.; Sivanesan, S. Modelling of lead(II) ion adsorption onto poly(thiourea imine) functionalized chelating resin using response surface methodology (RSM). J. Water Process Eng. 2014, 3, 132–143. [Google Scholar] [CrossRef]
- Bilgic, A.; Cimen, A. A highly sensitive and selective ON-OFF fluorescent sensor based on functionalized magnetite nanoparticles for detection of Cr(VI) metal ions in the aqueous medium. J. Mol. Liq. 2020, 312, 113398. [Google Scholar] [CrossRef]
- Jiao, Z.; Zhang, P.; Chen, H.; Li, C.; Chen, L.; Fan, H.; Cheng, F. Differentiation of heavy metal ions by fluorescent quantum dot sensor array in complicated samples. Sens. Actuators B Chem. 2019, 295, 110–116. [Google Scholar] [CrossRef]
- Mezine, Z.; Kadri, A.; Hamadou, L.; Benbrahim, N.; Chaouchi, A. Electrodeposition of copper oxides (CuxOy) from acetate bath. J. Electroanal. Chem. 2018, 817, 36–47. [Google Scholar] [CrossRef]
- Abbasi, P.; McKevitt, B.; Dreisinger, D.B. The kinetics of nickel recovery from ferrous containing solutions using an Iminodiacetic acid ion exchange resin. Hydrometallurgy 2018, 175, 333–339. [Google Scholar] [CrossRef]
- Liu, Y.-Q.; Yu, H. Indirect ultraviolet detection of alkaline earth metal ions using an imidazolium ionic liquid as an ultraviolet absorption reagent in ion chromatography. J. Sep. Sci. 2017, 40, 1660–1666. [Google Scholar] [CrossRef]
- Prakash, A.; Chandra, S.; Bahadur, D. Structural, magnetic, and textural properties of iron oxide-reduced graphene oxide hybrids and their use for the electrochemical detection of chromium. Carbon 2012, 50, 4209–4219. [Google Scholar] [CrossRef]
- Matlock, M.M.; Howerton, B.S.; Atwood, D.A. Chemical precipitation of heavy metals from acid mine drainage. Water Res. 2002, 36, 4757–4764. [Google Scholar] [CrossRef]
- Rasheed, T.; Bilal, M.; Nabeel, F.; Iqbal, H.M.N.; Li, C.; Zhou, Y. Fluorescent sensor based models for the detection of environmentally-related toxic heavy metals. Sci. Total Environ. 2018, 615, 476–485. [Google Scholar] [CrossRef]
- Firdaus, F.; Farhi, A.; Faraz, M.; Shakir, M. Benzidine based fluorescent probe for the sensitive detection of heavy metal ions via chelation enhanced fluorescence mechanism—A multiplexed sensing platform. J. Luminescence 2018, 199, 475–482. [Google Scholar] [CrossRef]
- Sun, T.; Niu, Q.; Li, T.; Guo, Z.; Liu, H. A simple, reversible, colorimetric and water-soluble fluorescent chemosensor for the naked-eye detection of Cu2+ in ~100% aqueous media and application to real samples. Spectrochim. Acta A 2018, 188, 411–417. [Google Scholar] [CrossRef]
- Hwang, S.M.; Chae, J.B.; Kim, C. A Phenanthroimidazole-based Fluorescent Turn-Off Chemosensor for the Selective Detection of Cu2+ in Aqueous Media. Bull. Korean Chem. Soc. 2018, 39, 925–930. [Google Scholar] [CrossRef]
- Tang, J.L.; Li, C.Y.; Li, Y.F.; Lu, X.; Qi, H.R. A highly sensitive and selective fluorescent probe for trivalent aluminum ion based on rhodamine derivative in living cells. Anal. Chim. Acta 2015, 888, 155–161. [Google Scholar] [CrossRef] [PubMed]
- Goswami, S.; Manna, A.; Paul, S.; Maity, A.K.; Saha, P.; Quah, C.K.; Fun, H.K. FRET based ‘red-switch’ for Al3+ over ESIPT based ‘green-switch’ for Zn2+: Dual channel detection with live-cell imaging on a dyad platform. RSC Adv. 2014, 4, 34572–34576. [Google Scholar] [CrossRef]
- Zhang, J.F.; Zhou, Y.; Yoon, J.; Kim, J.S. Recent progress in fluorescent and colorimetric chemosensors for detection of precious metal ions (silver, gold and platinum ions). Chem. Soc. Rev. 2011, 40, 3416–3429. [Google Scholar] [CrossRef]
- Que, E.L.; Domaille, D.W.; Chang, C.J. Metals in Neurobiology: Probing Their Chemistry and Biology with Molecular Imaging. Chem. Rev. 2008, 108, 1517–1549. [Google Scholar] [CrossRef]
- Zhou, J.; Huang, M.; Zhang, Y.; Xu, S.; Li, Z. Novel spiropyran derivative-based colorimetric and fluorescent chemosensor for detecting trivalent metal ions. Optik 2020, 218, 164991. [Google Scholar] [CrossRef]
- Merangmenla, A. Puzari, Microwave-induced synthesis of a new benzodiazepinone based chemosensor in chloroform under thermal agitation: A potential fluorescent sensor for multi-signaling detection of metal ions. Inorg. Chim. Acta 2020, 505, 119520. [Google Scholar] [CrossRef]
- Deems, J.C.; Reibenspies, J.H.; Lee, H.; Hancock, R.D. Strategies for a fluorescent sensor with receptor and fluorophore designed for the recognition of heavy metal ions. Inorg. Chim. Acta 2020, 499, 119181. [Google Scholar] [CrossRef]
- Abebe, F.; Perkins, P.; Shaw, R.; Tadesse, S. A rhodamine-based fluorescent sensor for selective detection of Cu2+ in aqueous media: Synthesis and spectroscopic properties. J. Mol. Struct. 2020, 1205, 127594. [Google Scholar] [CrossRef]
- Luo, J.; Liu, B.; Zhang, X.; Liu, R. A novel fluorescent sensor with highly response of Cu2+ based on Eu3+ post-modified metal-organic framework in aqueous media. J. Mol. Struct. 2020, 1202, 127347. [Google Scholar] [CrossRef]
- Wang, J.; Jiang, H.; Liu, H.; Liang, L.; Tao, J. Pyrene-imidazole conjugate as a fluorescent sensor for the sequential detection of iron(III) and histidine in aqueous solution. Spectrochim. Acta A 2020, 228, 117725. [Google Scholar] [CrossRef] [PubMed]
- Lee, S.C.; Kim, C. A thiourea-naphthol based turn-on fluorescent sensor for detecting In3+ and its application. Inorg. Chem. Commun. 2020, 112, 107752. [Google Scholar] [CrossRef]
- Abdolmaleki, S.; Ghadermazi, M.; Bagheri, F.; Rudbari, H.A.; Bruno, G. Evaluation of two novel macrocycles containing pyridine-2,6-dicarboxamide unit as cationic fluorescent sensor. Polyhedron 2020, 176, 114292. [Google Scholar] [CrossRef]
- Liu, D.; Zhao, Y.; Shi, J.; Zhu, H.; Zhang, T.; Qi, P.; Chen, J.; Yang, G.; He, H. A highly selective and sensitive 1,8-naphthalimide-based fluorescent sensor for Zn2+ imaging in living cells. Bioorg. Med. Chem. Lett. 2019, 29, 2646–2649. [Google Scholar] [CrossRef] [PubMed]
- Guo, Z.; Niu, Q.; Li, T.; Sun, T.; Chi, H. A fast, highly selective and sensitive colorimetric and fluorescent sensor for Cu2+ and its application in real water and food samples. Spectrochim. Acta A 2019, 213, 97–103. [Google Scholar] [CrossRef] [PubMed]
- Wang, Z.; Cui, S.; Qiu, S.; Pu, S. A dual-functional fluorescent sensor based on diarylethene for Zn2+ and Al3+ in different solvents. J. Photochem. Photobiol. A 2019, 376, 185–195. [Google Scholar] [CrossRef]
- Liu, Y.; Ma, L.; Shi, W.; Lu, Y.; Hou, L.; Wang, Y. Four alkaline earth metal (Mg, Ca, Sr, Ba)-based MOFs as multiresponsive fluorescent sensors for Fe3+, Pb2+ and Cu2+ ions in aqueous solution. J. Solid State Chem. 2019, 277, 636–647. [Google Scholar] [CrossRef]
- Feng, S.; Gao, Q.; Gao, X.; Yin, J.; Jiao, Y. Fluorescent sensor for copper(II) ions based on coumarin derivative and its application in cell imaging. Inorg. Chem. Commun. 2019, 102, 51–56. [Google Scholar] [CrossRef]
- Liu, D.; Deng, X.; Yin, X.; Wang, Y.; Guo, J.; Chen, J.; Yang, G.; He, H. 1,8-Naphthalimide-based fluorescent sensor with high selectivity and sensitivity for Zn2+ and its imaging in living cells. Inorg. Chem. Commun. 2019, 101, 117–120. [Google Scholar] [CrossRef]
- Liu, D.; Yin, X.; Deng, X.; Shi, J.; Zhu, H.; Shang, Z.; Chen, J.; Yang, G.; He, H. 1,8-Naphthalimide-based fluorescent sensor with highly selective and sensitive detection of Zn2+ in aqueous solution and living cells. Inorg. Chem. Commun. 2019, 106, 43–47. [Google Scholar] [CrossRef]
- Jiao, Y.; Zhou, L.; He, H.; Yin, J.; Gao, Q.; Wei, J.; Duan, C.; Peng, X. A novel rhodamine B-based “off-on’’ fluorescent sensor for selective recognition of copper (II) ions. Talanta 2018, 184, 143–148. [Google Scholar] [CrossRef] [PubMed]
- Wang, Z.; Cui, S.; Qiu, S.; Zhang, Z.; Pu, S. A highly sensitive fluorescent sensor for Zn2+ based on diarylethene with an imidazole unit. Spectrochim. Acta A 2018, 205, 21–28. [Google Scholar] [CrossRef] [PubMed]
- Sun, T.; Li, Y.; Niu, Q.; Li, T.; Liu, Y. Highly selective and sensitive determination of Cu2+ in drink and water samples based on a 1,8-diaminonaphthalene derived fluorescent sensor. Spectrochim. Acta A 2018, 195, 142–147. [Google Scholar] [CrossRef] [PubMed]
- Fu, Y.; Li, P.; Kang, J.; Liu, X.; Li, G.; Ye, F. A novel 1,8-naphthalimide derivative as an efficient silver(I) fluorescent sensor. J. Lumin. 2016, 178, 156–162. [Google Scholar] [CrossRef]
- Liu, D.; Qi, J.; Liu, X.; Cui, Z.; Chang, H.; Chen, J.; Yang, G. 4-Amino-1,8-naphthalimide-based fluorescent Cd2+ sensor with high selectivity against Zn2+ and its imaging in living cells. Sens. Actuators B Chem. 2014, 204, 655–658. [Google Scholar] [CrossRef]
- Zhang, Z.; Chen, Y.; Xu, D.; Yang, L.; Liu, A. A new 1,8-naphthalimide-based colorimetric and “turn-on” fluorescent Hg2+ sensor. Spectrochim. Acta A 2013, 105, 8–13. [Google Scholar] [CrossRef]
- Tomalia, D.A.; Baker, H.; Dewald, J.; Hall, M.; Kallos, G.; Martin, S.; Roeck, J.; Ryder, J.; Smith, P. A New Class of Polymers: Starburst-Dendritic Macromolecules. Polym. J. 1985, 17, 117–132. [Google Scholar] [CrossRef]
- Tomalia, D.A.; Baker, H.; Dewald, J.; Hall, M.; Kallos, G.; Martin, S.; Roeck, J.; Ryder, J.; Smith, P. Dendritic macromolecules: Synthesis of starburst dendrimers. Macromolecules 1986, 19, 2466–2468. [Google Scholar] [CrossRef]
- Tomalia, D.A.; Naylor, A.M.; Goddard, W.A. Starburst Dendrimers: Molecular-Level Control of Size, Shape, Surface Chemistry, Topology, and Flexibility from Atoms to Macroscopic Matter. Angew. Chem. Int. Ed. Engl. 1990, 29, 138–175. [Google Scholar] [CrossRef]
- Akiyama, H.; Miyashita, K.; Hari, Y.; Obika, S.; Imanishi, T. Synthesis of novel polyesteramine dendrimers by divergent and convergent methods. Tetrahedron 2013, 69, 6810–6820. [Google Scholar] [CrossRef]
- De Belder, G.; Jordens, S.; Lor, M.; Schweitzer, G.; De, R.; Weil, T.; Herrmann, A.; Wiesler, U.K.; Müllen, K.; de Schryver, F.C. Femtosecond fluorescence upconversion study of rigid dendrimers containing peryleneimide chromophores at the rim. J. Photochem. Photobiol. A 2001, 145, 61–70. [Google Scholar] [CrossRef]
- Weil, T.; Wiesler, U.M.; Herrmann, A.; Bauer, R.; Hofkens, J.; de Schryver, F.C.; Müllen, K. Polyphenylene Dendrimers with Different Fluorescent Chromophores Asymmetrically Distributed at the Periphery. J. Am. Chem. Soc. 2001, 123, 8101–8108. [Google Scholar] [CrossRef] [PubMed]
- Gilat, S.L.; Adronov, A.; Fréchet, J.M.J. Modular Approach to the Accelerated Convergent Growth of Laser Dye-Labeled Poly(aryl ether) Dendrimers Using a Novel Hypermonomer. J. Org. Chem. 1999, 64, 7474–7484. [Google Scholar] [CrossRef]
- Gilat, S.L.; Adronov, A.; Fréchet, J.M.J. Light Harvesting and Energy Transfer in Novel Convergently Constructed Dendrimers. Angew. Chem. Int. Ed. Engl. 1999, 38, 1422–1427. [Google Scholar] [CrossRef]
- Froehling, P.E. Dendrimers and dyes—A review. Dyes Pigm. 2001, 48, 187–195. [Google Scholar] [CrossRef]
- Senarath-Yapa, M.D.; Saavedra, S.S. Dye leaching from a doped sol-gel is eliminated by conjugation to a dendrimer. Anal. Chim. Acta 2001, 432, 89–94. [Google Scholar] [CrossRef]
- Svenson, S.; Tomalia, D.A. Dendrimers in biomedical applications—Reflections on the field. Adv. Drug. Deliv. Rev. 2012, 64, 102–115. [Google Scholar] [CrossRef]
- Duncan, R.; Izzo, L. Dendrimer biocompatibility and toxicity. Adv. Drug Deliv. Rev. 2005, 57, 2215–2237. [Google Scholar] [CrossRef]
- Paleos, C.M.; Tsiourvas, D.; Sideratou, Z. Molecular Engineering of Dendritic Polymers and Their Application as Drug and Gene Delivery Systems. Mol. Pharm. 2007, 4, 169–188. [Google Scholar] [CrossRef]
- Grabchev, I.; Mokreva, P.; Gancheva, V.; Terlemezyan, L. Synthesis and structural dependence of the functional properties of new green fluorescent poly(propyleneamine) dendrimers. J. Mol. Struct. 2013, 1038, 101–105. [Google Scholar] [CrossRef]
- Borodko, Y.; Thompson, C.M.; Huang, W.; Yildiz, H.B.; Frei, H.; Somorjai, G.A. Spectroscopic Study of Platinum and Rhodium Dendrimer (PAMAM G4OH) Compounds: Structure and Stability. J. Phys. Chem. C 2011, 115, 4757–4767. [Google Scholar] [CrossRef]
- Cao, J.; Zhang, H.; Wang, Y.; Yang, J.; Jiang, F. Investigation on the interaction behavior between curcumin and PAMAM dendrimer by spectral and docking studies. Spectrochim. Acta A 2013, 108, 251–255. [Google Scholar] [CrossRef] [PubMed]
- Domański, D.M.; Klajnert, B.; Bryszewska, M. Incorporation of fluorescent probes into PAMAM dendrimers. Bioelectrochemistry 2004, 63, 193–197. [Google Scholar] [CrossRef] [PubMed]
- Thiagarajan, G.; Greish, K.; Ghandehari, H. Charge affects the oral toxicity of poly(amidoamine) dendrimers. Eur. J. Pharm. Biopharm. 2013, 84, 330–334. [Google Scholar] [CrossRef] [PubMed]
- Grabchev, I.; Guittonneau, S. Sensors for detecting metal ions and protons based on new green fluorescent poly(amidoamine) dendrimers peripherally modified with 1,8-naphthalimides. J. Photochem. Photobiol. A 2006, 179, 28–34. [Google Scholar] [CrossRef]
- Grabchev, I.; Petkov, C.; Bojinov, V. Infrared spectral characterization of poly(amidoamine) dendrimers peripherally modified with 1,8-naphthalimides. Dyes Pigm. 2004, 62, 229–234. [Google Scholar] [CrossRef]
- Banaei, M.; Salami-Kalajahi, M. A “Grafting to” Approach to Synthesize Low Cytotoxic Poly(aminoamide)-Dendrimer-grafted Fe3O4 Magnetic Nanoparticles. Adv. Polym. Technol. 2018, 37, 943–948. [Google Scholar] [CrossRef]
- Khodadust, R.; Unsoy, G.; Gunduz, U. Development of poly (I:C) modified doxorubicin loaded magnetic dendrimer nanoparticles for targeted combination therapy. Biomed. Pharmacother. 2014, 68, 979–987. [Google Scholar] [CrossRef]
- Walter, A.; Garofalo, A.; Parat, A.; Jouhannaud, J.; Pourroy, G.; Voirin, E.; Laurent, S.; Bonazza, P.; Taleb, J.; Billotey, C.; et al. Validation of a dendron concept to tune colloidal stability, MRI relaxivity and bioelimination of functional nanoparticles. J. Mater. Chem. B 2015, 3, 1484–1494. [Google Scholar] [CrossRef]
- Yang, X.; Shang, H.; Ding, C.; Li, J. Recent developments and applications of bioinspired dendritic polymers. Polym. Chem. 2015, 6, 668–680. [Google Scholar] [CrossRef]
- Astruc, D.; Chardac, F. Dendritic Catalysts and Dendrimers in Catalysis. Chem. Rev. 2001, 101, 2991–3023. [Google Scholar] [CrossRef] [PubMed]
- Wang, D.; Astruc, D. Dendritic catalysis—Basic concepts and recent trends. Coord. Chem. Rev. 2013, 257, 2317–2334. [Google Scholar] [CrossRef]
- Lakshmi, K.; Rangasamy, R. Synthesis of structurally enhanced magnetite cored poly(propyleneimine) dendrimer nanohybrid material and evaluation of its functionality in sustainable catalysis of condensation reactions. React. Funct. Polym. 2020, 152, 104579. [Google Scholar]
- Vunain, B.M.E.; Mishra, A.K. Dendrimers, mesoporous silicas and chitosan-based nanosorbents for the removal of heavy-metal ions: A review. Int. J. Biol. Macromol. 2016, 86, 570–586. [Google Scholar] [CrossRef] [PubMed]
- Dong, S.; Ji, W.; Ma, Z.; Zhu, Z.; Ding, N.; Nie, J.; Du, B. Thermosensitive Fluorescent Microgels for Selective and Sensitive Detection of Fe3+ and Mn2+ in Aqueous Solutions. ACS Appl. Polym. Mater 2020, 2, 3621–3631. [Google Scholar] [CrossRef]
- Tan, T.H.; Moa, K.H.; Ling, T.; Lai, S.H. Current development of geopolymer as alternative adsorbent for heavy metal removal. Environ. Technol. Innov. 2020, 18, 100684. [Google Scholar] [CrossRef]
- Fu, F.; Wang, Q. Removal of heavy metal ions from wastewaters: A review. J. Environ. Manag. 2011, 92, 407–418. [Google Scholar] [CrossRef]
- Lee, Y.; Zhang, S.; Yu, K.; Choi, J.; Ahn, W. Poly(amidoamine) dendrimer immobilized on mesoporous silica foam (MSF) and fibrous nano-silica KCC-1 for Gd3+ adsorption in water. Chem. Eng. J. 2019, 378, 122133. [Google Scholar] [CrossRef]
- Kim, H.R.; Jang, J.W.; Park, J.W. Carboxymethyl chitosan-modified magnetic-cored dendrimer as an amphoteric adsorbent. J. Hazard. Mater. 2016, 317, 608–616. [Google Scholar] [CrossRef]
- Qu, H.; Ma, H.; Zhou, W.; O’Connor, C.J. In situ surface functionalization of magnetic nanoparticles with hydrophilic natural amino acids. Inorg. Chim. Acta 2012, 389, 60–65. [Google Scholar] [CrossRef]
- Ghosh, M.; Liu, J.; Chuang, S.S.C.; Jana, S.C. Fabrication of Hierarchical V2O5 Nanorods on TiO2 Nanofibers and Their Enhanced Photocatalytic Activity under Visible Light. ChemCatChem 2018, 10, 3305–3318. [Google Scholar] [CrossRef]
- Lakshmi, K.; Rangasamy, R. Synthetic modification of silica coated magnetite cored PAMAM dendrimer to enrich branched Amine groups and peripheral carboxyl groups for environmental remediation. J. Mol. Struct. 2021, 1224, 129081. [Google Scholar] [CrossRef]
- Kobielska, P.A.; Howarth, A.J.; Farha, O.K.; Nayak, S. Metal-organic frameworks for heavy metal removal from water. Coord. Chem. Rev. 2018, 358, 92–107. [Google Scholar] [CrossRef]
- Grabchev, I.; Qian, X.; Bojinov, V.; Xiao, Y.; Zhang, W. Synthesis and photophysical properties of 1,8-naphthalimide-labelled PAMAM as PET sensors of protons and of transition metal ions. Polymer 2002, 43, 5731–5736. [Google Scholar] [CrossRef]
- Grabchev, I.; Bojinov, V.; Chovelon, J.-M. Synthesis, photophysical and photochemical properties of fluorescent poly(amidoamine) dendrimers. Polymer 2003, 44, 4421–4428. [Google Scholar] [CrossRef]
- Grabchev, I.; Chovelon, J.-M.; Bojinov, V.; Ivanova, G. Poly(amidoamine) dendrimers peripherally modified with 4-ethylamino-1,8-naphthalimide. Synthesis and photophysical properties. Tetrahedron 2003, 59, 9591–9598. [Google Scholar] [CrossRef]
- Varsanyi, G. Assignments for Vibrational Spectra of Seven Hundred Benzene Derivatives; Academic Kiado: Budapest, Hungary, 1973; Volume 1. [Google Scholar]
- Silverstein, R.M.; Webster, F.X. Spectrometric Identification of Organic Compounds, 6th ed.; Jon Wiley Sons Inc.: New York, NY, USA, 1963. [Google Scholar]
- Sathyanarayana, D.N. Vibrational Spectroscopy—Theory and Applications, 2nd ed.; New Age International (P) Limited Publishers: New Delhi, India, 2004. [Google Scholar]
- Socrates, G. Infrared and Raman Characteristic Group Frequencies—Tables and Charts, 3rd ed.; Wiley: New York, NY, USA, 2001. [Google Scholar]
- Geary, W.J. The use of conductivity measurements in organic solvents for the characterisation of coordination compounds. Coord. Chem. Rev. 1971, 7, 81–122. [Google Scholar] [CrossRef]
- Coats, A.W.; Redfern, J.P. Kinetic parameters from thermogravimetric data. Nature 1964, 201, 68–69. [Google Scholar] [CrossRef]
- Horowitz, H.H.; Metzger, G. A New Analysis of Thermogravimetric Traces. Anal. Chem. 1963, 35, 1464–1468. [Google Scholar] [CrossRef]
- Frost, A.A.; Pearson, R.G. Kinetics and Mechanism; John Wiley: New York, NY, USA, 1961. [Google Scholar]
- El-Gammal, O.A. Mononuclear and binuclear complexes derived from hydrazone Schiff base NON donor ligand: Synthesis, structure, theoretical and biological studies. Inorg. Chim. Acta 2015, 435, 73–81. [Google Scholar] [CrossRef]
















| Constant | Method | Complexes | |
|---|---|---|---|
| Zn2+ | Hg2+ | ||
| E (J mol−1) | CR | 1.28 × 105 | 4.67 × 104 |
| HM | 1.30 × 105 | 5.76 × 104 | |
| ΔS (J mol−1 K−1) | CR | −1.35 × 101 | −2.20 × 102 |
| HM | 4.00 × 10−1 | −1.97 × 102 | |
| ΔH (J mol−1) | CR | 1.24 × 105 | 4.18 × 104 |
| HM | 1.27 × 105 | 5.27 × 104 | |
| ΔG (Jmol−1) | CR | 1.30 × 105 | 1.71 × 105 |
| HM | 1.26 × 105 | 1.68 × 105 | |
| Correlation coefficient (r) | CR | 0.98098 | 0.99646 |
| HM | 0.97754 | 0.98807 | |
Publisher’s Note: MDPI stays neutral with regard to jurisdictional claims in published maps and institutional affiliations. |
© 2021 by the authors. Licensee MDPI, Basel, Switzerland. This article is an open access article distributed under the terms and conditions of the Creative Commons Attribution (CC BY) license (http://creativecommons.org/licenses/by/4.0/).
Share and Cite
A. Adam, A.M.; Altalhi, T.A.; El-Megharbel, S.M.; Saad, H.A.; Refat, M.S. Using a Modified Polyamidoamine Fluorescent Dendrimer for Capturing Environment Polluting Metal Ions Zn2+, Cd2+, and Hg2+: Synthesis and Characterizations. Crystals 2021, 11, 92. https://doi.org/10.3390/cryst11020092
A. Adam AM, Altalhi TA, El-Megharbel SM, Saad HA, Refat MS. Using a Modified Polyamidoamine Fluorescent Dendrimer for Capturing Environment Polluting Metal Ions Zn2+, Cd2+, and Hg2+: Synthesis and Characterizations. Crystals. 2021; 11(2):92. https://doi.org/10.3390/cryst11020092
Chicago/Turabian StyleA. Adam, Abdel Majid, Tariq A. Altalhi, Samy M. El-Megharbel, Hosam A. Saad, and Moamen S. Refat. 2021. "Using a Modified Polyamidoamine Fluorescent Dendrimer for Capturing Environment Polluting Metal Ions Zn2+, Cd2+, and Hg2+: Synthesis and Characterizations" Crystals 11, no. 2: 92. https://doi.org/10.3390/cryst11020092
APA StyleA. Adam, A. M., Altalhi, T. A., El-Megharbel, S. M., Saad, H. A., & Refat, M. S. (2021). Using a Modified Polyamidoamine Fluorescent Dendrimer for Capturing Environment Polluting Metal Ions Zn2+, Cd2+, and Hg2+: Synthesis and Characterizations. Crystals, 11(2), 92. https://doi.org/10.3390/cryst11020092

