Abstract
A flat 2.0 μm ultra broadband emission with a full width at half maximum (FWHM) of 329 nm is achieved in 1 mol.% Tm2O3 and 0.05 mol.% Ho2O3 co-doped gallium tellurite glasses upon the excitation of an 808 nm laser diode. The influence of Tm3+ and Ho3+ contents on 2.0 μm spectroscopic properties of gallium tellurite glasses is minutely investigated by absorption spectra, emission spectra, and lifetime measurement. In addition, emission cross section and gain coefficient of Ho3+ ions at 2.0 μm are calculated, and the maximum values reach 8.2 × 10−21 cm2 and 1.54 cm−1, respectively. Moreover, forward and backward energy transfer probability between Tm3+ and Ho3+ ions are qualitatively evaluated by the extended spectral overlap method. Large ratio of the forward energy transfer from Tm3+ to Ho3+ to the backward one (19.7) and high forward energy transfer coefficient (6.22 × 1039 cm6/s) are responsible for effective 2.0 μm emission from Ho3+ ions. These results manifest that Tm3+/Ho3+ co-doped gallium tellurite glass is suitable for potential applications of broadband light sources and tunable fiber lasers operating in eye-safe 2.0 µm spectral region.
1. Introduction
In the past few decades, numerous studies have gone into achieving high-brightness broadband light sources and tunable fiber lasers operating at eye-safe 2.0 μm wavelength range because of broad applications in the fields of urology, gas sensing, remote atmospheric monitoring, and material processing, and their use as an efficient pumping source for obtaining mid-infrared supercontinuum [1,2,3,4,5,6]. It is well known that Tm3+:3F4 → 3H6 and Ho3+:5I7 → 5I8 radiative transitions are the most efficient and feasible ways to generate 2.0 μm emission when they are doped into an appropriate host glass. Moreover, both transitions work in the three-level quantum scheme and hence respective emission bands are relatively broad, which allows to obtain broadband emission from 1.7 to 2.1 μm [4,7]. Tm3+ has an intense absorption band near 808 nm, which allows for the excitation of high-power and low-cost laser diode (LD). Another advantage of the pump scheme is the so-called “two-for-one” cross relaxation process (3H4 + 3H6 → 23F4) resulting in a quantum efficiency of near 200% [8]. Additionally, Tm3+:3F4 → 3H6 transition is one of the broadest luminescent transitions among rare earth ions and thus enables a fair degree of wavelength tenability [8]. Compared with Tm3+, the emission wavelength of Ho3+:5I7 → 5I8 transition generates ~200 nm redshift, which overlaps with a crucial atmospheric transmission window and leads to lower absorption in some nonlinear crystals (e.g., ZnGeP2) for the generation of mid-infrared light [7,9]. Moreover, the lifetime of Ho3+:5I7 energy level is longer than that of Tm3+:3F4 energy level, which is beneficial to reduce the laser threshold and achieve higher pulse energy in a Q-switched mode [9]. However, Ho3+ cannot be promoted directly by commercially available 808 or 980 nm LD, owing to the inexistence of a suitable ground absorption band. Therefore, a Tm3+/Ho3+ co-doped system is developed to utilize direct commercial LD pumping [10,11,12]. In this case, Tm3+ plays the role of a sensitizer that efficiently absorbs pumping energy and then transfers a part of this energy to Ho3+, followed by the generation of 2.0 μm emission. This system can make the best use of an emission bandwidth of Tm3+ and Ho3+ near 2.0 μm so it is expected to achieve ultra broadband emission by adjusting Tm3+ and Ho3+ concentrations. In fact, a 303 nm tuning range from 1727 to 2030 nm has been obtained in Tm3+/Ho3+ co-doped silica fiber laser [13]. Compared with silica glass, tellurite glass is characterized by lower phonon energy (780 cm−1), excellent infrared transmission range (up to 5 μm), higher rare earth ion solubility, and large refractive index (>1.95) [7,8,14]. It is worth mentioning that tellurite glass owns different structural units such as TeO4, TeO3+δ, and TeO3, which creates a range of electro-static fields around a rare earth ion and thus leads to the spectral broadening [15]. Richards et al. found that the full width at half maximum (FWHM) of Tm3+:3F4 → 3H6 emission band in the tellurite glass (200 nm) was larger than that in ZBLAN glass (125 nm) and silica glass (150 nm), indicating that tellurite glass host can extend the tuning range for 2.0 μm fiber lasers [8]. Recently, our group reported gallium tellurite glasses with excellent glass-forming ability, thermal stability, and 2.0 μm spectra properties [16,17]. Moreover, with the addition of 9 mol.% BaF2, the emission intensity near 1.8 μm was 1.6 times as large as the original while the lifetime became 1.7 times as long as the original [18]. These outstanding optical properties hearten us to further explore whether Tm3+/Ho3+ co-doped gallium tellurite glasses is appropriate for broadband light sources and tunable fiber lasers.
In this investigation, we systematically study the effect of Tm3+ and Ho3+ concentrations on 2.0 μm spectroscopic properties of gallium tellurite glasses by absorption spectra, emission spectra, and lifetime measurement. A flat ultra broadband emission at 2.0 μm with FWHM of 329 nm is demonstrated by adjusting doping concentration. Furthermore, emission cross section and gain coefficient of Ho3+:5I7 → 5I8 transition are evaluated based on absorption spectra and emission spectra. Additionally, forward and backward energy transfer probabilities between Tm3+ and Ho3+ ions are qualitatively discussed by the extended spectral overlap method.
2. Materials and Methods
Gallium tellurite glasses with different nominal compositions of (81-x)TeO2-10Ga2O3-9BaF2-xTm2O3 (x = 0, 0.5, 1, 1.5, and 2), (80-y)TeO2-10Ga2O3-9BaF2-1Tm2O3-yHo2O3 (y = 0.05, 0.1, 0.15, 0.3, and 0.5), and 80.5TeO2-10Ga2O3-9BaF2-0.5Ho2O3 were prepared by standard melt-quenching method. A series of samples were labeled as TGBT-x (x = 0, 0.5, 1, 1.5, and 2), TGBTH-y (y = 0, 0.05, 0.1, 0.15, 0.3, and 0.5), and TGBH-0.5, respectively. Batches of 20 g mixtures by weighing and mixing high-purity reagents (99.99% minimum) were placed in the alumina crucible and melted in an electric furnace at ~950 °C for 30 min. The molten glasses were poured into a preheated cylindrical graphite mold, followed by annealing in the muffle furnace at 330 °C for 2 h, and then cooled down slowly to room temperature. The annealed samples were optically polished into Φ15 mm × 1.5 mm cylinders for subsequent measurements.
Absorption spectra of samples were obtained by UV/VIS/NIR double beam spectrophotometer (Perkin-Elmer Lambda 900, Waltham, MA, USA) in the wavelength range from 350 to 2200 nm. The fluorescence spectra were recorded with a computer-controlled Omni 5015i spectrometer (Zolix, Beijing, China) under the excitation of an 808 nm LD. The fluorescence signal was collected by InAs detector equipped with a choppe and lock-in amplifier. In addition, the luminescence decay curves of Tm3+ and Ho3+ were recorded by a digital oscilloscope (TDS3012C, Tektronix, OR, USA) after the samples were pumped with 808 nm pulse laser controlled by a function generator (TFG3051C, Tektronix, OR, USA). The pulse duration was 22.5 ms. All of the measurements were carried out at room temperature.
3. Results and Discussion
3.1. Absorption Spectra
Figure 1 shows the absorption spectra of Tm3+ singly doped, Ho3+ singly doped, and Tm3+/Ho3+ co-doped gallium tellurite glasses in the 350–2200 nm range. The typical absorption bands assigned to the transitions from the ground state to higher excited states of Tm3+ and Ho3+ are marked in the figure. For Tm3+ singly doped glass, there are five absorption bands centered at 473, 687, 794, 1214, and 1700 nm, which are corresponding to respective transitions from the 3H6 ground state to the higher energy levels 1G4, 3F2,3, 3H4, 3H5, and 3F4. For Ho3+ singly doped glass, eight absorption peaks located at 418, 450, 486, 538, 644, 892, 1154, and 1952 nm appear, which are assigned to respective transitions from the 5I8 ground state to the higher energy levels 5G5, 5G6 + 5F1, 5F3, 5F4 + 5S2, 5F5, 5I5, 5I6, and 5I7. Energy levels above 1G4 energy level of Tm3+ and 5G5 energy level of Ho3+are not clearly observed due to strong intrinsic bandgap absorption in the host glass. In addition, the peak positions of each absorption band for the Tm3+/Ho3+ co-doped glass sample are very similar to those reported previously from other host glasses [7,19,20]. It is worth noting that there is a strong absorption band centered at 794 nm from Tm3+:3H6 → 3H4 transition, which indicates that the commercial high-power 808 nm LD can act as an effective pump source for Tm3+ singly doped and Tm3+/Ho3+ co-doped samples. The inset of Figure 1 presents the integral absorption intensity at 538 nm as a function of Ho2O3 concentration. Good linear dependence on concentration reveals that Ho3+ ions are homogeneously distributed in the present gallium tellurite glasses and the concentration is in accord with the nominal value [21].
Figure 1.
Absorption spectra of TGBT-1, TGBH-0.5, and TGBTH-0.5 glasses. The inset shows integral absorption intensity at 538 nm as a function of Ho2O3 concentration.
3.2. Fluorescence Spectra and Energy Transfer Mechanism
To study the effect of Tm3+ concentration on the 2.0 μm emission property and determine its optimum concentration, the fluorescence spectra of Tm3+ singly doped samples with different content pumped by 800 nm LD were measured, as shown in Figure 2. There is no emission band in the host glass without containing Tm3+. However, the spectra are characterized by an intense emission peak at 1808 nm resulting from 3F4 → 3H6 transition along with a very weak emission band near 1488 nm corresponding to 3H4 → 3F4 transition when Tm3+ ions are doped in the host glass. Moreover, with the increment of Tm3+ concentration, 1.8 μm emission is stronger until the concentration of Tm2O3 reaches 1 mol.%, which can be accounted for by the enhancement of cross-relaxation process (3H4 + 3H6 → 23F4) due to shortening the distance among neighboring Tm3+ ions. Then, the emission intensity decreases gradually with further increasing the concentration, which may ascribe to the concentration quenching phenomenon. The inset of Figure 2 shows that fluorescence intensity near 1488 nm is gradually reduced with increasing Tm2O3 concentration from 0.5 to 2 mol.%, which reveals that the cross-relaxation process becomes more significant and is in favor of the enhancement of 1.8 μm emission. Therefore, the optimum concentration of Tm2O3 is 1 mol.% in view of the 1.8 μm emission intensity.
Figure 2.
Fluorescence spectra of TGBT-x glasses under excitation at 800 nm laser diode (LD). The inset presents emission spectra in the range from 1400 nm to 1560 nm.
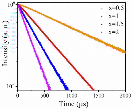
Figure 3 presents the fluorescence decay traces of Tm3+:3F4 energy level monitored at 1808 nm in TGBT-x glass samples. It is found that the fluorescence lifetime of 3F4 energy level decreases monotonically from 1.42 to 0.24 ms with the increment of Tm2O3 concentration from 0.5 to 2 mol.%, which may be due to the enhancement of energy transfer probability toward unidentified impurities in samples such as OH− groups. In addition, the fluorescence decay curves are well fitted by single-exponential and R2 is above 0.999, indicating that the radiative decay process is prominent compared with the nonradiative decay process, benefitted from low maximum phonton energy and the presence of BaF2. A similar single-exponential phenomenon has been observed in Tm3+-doped heavy metal gallate glasses and tellurite glasses [22,23].
Figure 3.
Fluorescence decay curves of Tm3+:3F4 energy level monitored at 1808 nm in TGBT-x glass samples.
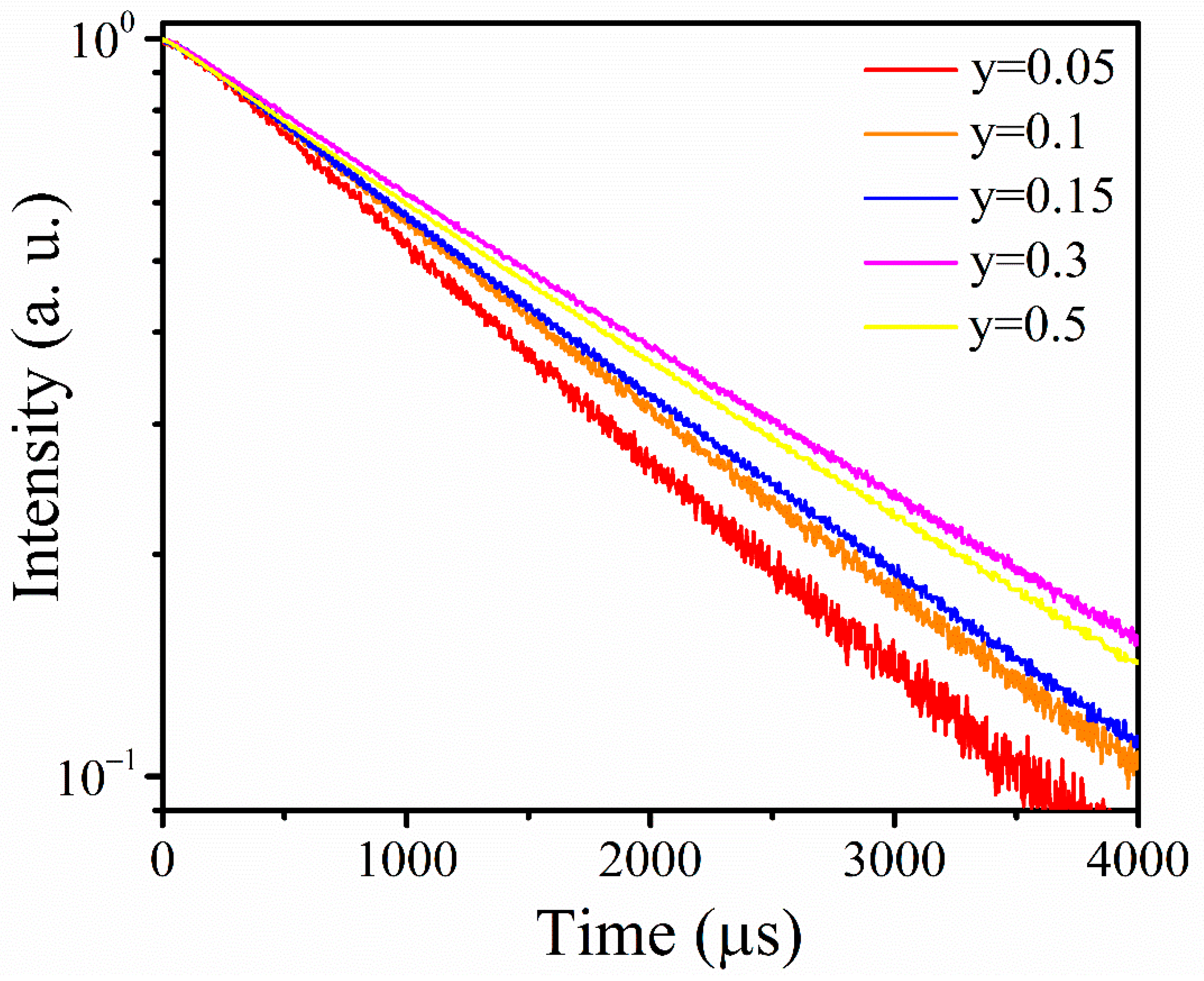
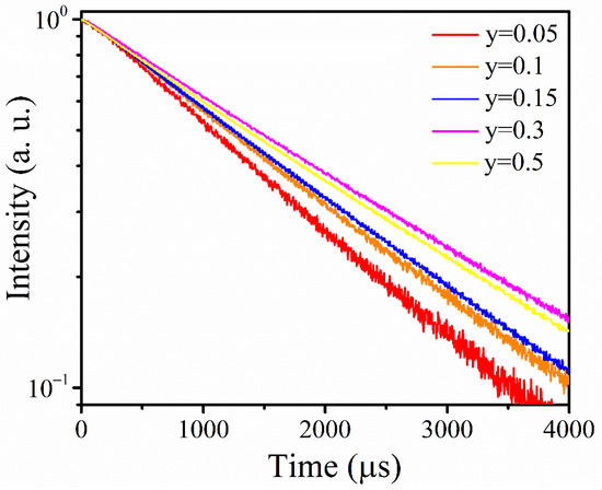
In the case where the concentration of Tm2O3 was 1 mol.%, the influence of Ho3+ concentration on 2.0 μm emission property of Tm3+/Ho3+ co-doped glass samples was further investigated. Figure 4 exhibits the fluorescence spectra of Tm3+/Ho3+ co-doped TGBTH-y samples in the range from 1400 to 2200 nm under the excitation of 808 nm LD. It is noted that two emission bands from Tm3+ centered at 1488 and 1808 nm appear in TGBTH-y samples, while a new double peak at 2.0 μm arises, originating from Ho3+:5I7 → 5I8 transition, with the incorporation of Ho3+ ions. With gradually enhancing Ho2O3 from 0 to 0.5 mol.%, 1.8 μm emission intensity reduces and 2.0 μm emission intensity increases while 1488 nm peak intensity is almost constant, which is ascribed to the presence of an effective energy transfer process from Tm3+:3F4 to Ho3+:5I7 energy level and thus makes their intensity values approximately equal. The inset of Figure 4 shows Ho2O3 concentration dependence of the largest emission bandwidth, defined as full width at half maximum (FWHM), in TGBTH-y samples. It is found that FWHM increases from 193 to 329 nm with the addition of 0.05 mol.% Ho2O3 and then decreases gradually to 152 nm with further boosting Ho2O3 concentration to 0.5 mol.%. It is worth mentioning that a flat ultra broadband 2.0 μm emission with FWHM of 329 nm is achieved in 1 mol.% Tm2O3 and 0.05 mol.% Ho2O3 co-doped gallium tellurite glasses, which is due to energy transfer process from Tm3+:3F4 to Ho3+:5I7 energy level and partial overlap of Tm3+:3F4 → 3H6 and Ho3+:5I7 → 5I8 transitions. The value is larger than that of Tm3+/Ho3+ co-doped silicate-germanate glass (231.5 nm) [20] and silicate glass (189 nm) [24] and is slightly lower than that of Yb3+/Tm3+/Ho3+ triply doped gallo-germanate glass (343 nm) [25]. Larger FWHM will provide a better opportunity to achieve broad amplified spontaneous emission (ASE) sources and tunable fiber lasers [4,7]. In addition, the dependence of Ho3+:5I7 lifetime on Ho2O3 concentration is presented in Figure 5. It is noted that the fluorescence lifetime of Ho3+:5I7 energy level is gradually prolonged from 1.46 to 2.08 ms with increasing Ho2O3 concentration from 0.05 to 0.3 mol.% because of improved energy transfer from Tm3+:3F4 to Ho3+:5I7 energy level. However, with further increasing the concentration, the lifetime begins to decrease due to the effect of concentration quenching. The relationship between the lifetime and doping concentration is very similar to that reported previously in Tm3+/Ho3+ co-doped silicate and tellurite glasses [24,26].
Figure 4.
Fluorescence spectra of TGBTH-y glasses pumped by 800 nm LD. The inset shows Ho2O3 concentration dependence of full width at half maximum (FWHM).
Figure 5.
Fluorescence decay curves of Ho3+:5I7 energy level monitored at 2050 nm in TGBTH-y glass samples.
According to above-mentioned results, the concerned energy transfer mechanisms in Tm3+/Ho3+ co-doped gallium tellurite glasses are shown in Figure 6 with the help of the simplified energy level diagram of Tm3+and Ho3+. When samples are excited by 808 nm LD, Tm3+ ions are initially motivated from the 3H6 ground state to the 3H4 excited state. Then, a small part of Tm3+ ions on the 3H4 excited state decay radiatively to the 3F4 energy level, emitting fluorescence at 1488 nm, while the majority of ions return nonradiatively to the 3F4 energy level by muliphonon relaxation process and effective cross-relaxation process (CR) between two nearby Tm3+ ions (3H4 + 3H6 → 23F4). Tm3+ ions on the 3F4 state return radiatively to the ground state, producing 1.8 μm photon. On the other hand, they excite Ho3+:5I8 energy level to the 5I7 energy level via energy transfer process between two adjacent Tm3+ and Ho3+ ions (Tm3+:3F4+Ho3+:5I8 → Tm3+:3H6+Ho3+:5I7). Finally, strong 2.0 μm emission from Ho3+ is observed by Ho3+:5I7 → 5I8 transition. It is worth noting that based on absorption spectra, the energy gap between 3H4 → 3F4 and 3H6 → 3F4 transitions is about 830 cm−1, indicating that the cross-relaxation process has nonresonant character and only one or two phonons are demanded to bridge the energy gap because the maximum phonon energy of this gallium tellurite glass is nearly 787 cm−1 [18].
Figure 6.
Simplified energy level diagram and energy transfer mechanisms for Tm3+/Ho3+ co-doped system.
3.3. Gain Properties and Energy Transfer Coefficients between Tm3+ and Ho3+ Ions
To evaluate the gain properties of Tm3+/Ho3+ co-doped gallium tellurite glasses, absorption and emission cross sections of Tm3+ and Ho3+ ions, corresponding to Tm3+:3H6↔3F4 and Ho3+:5I8↔5I7 transitions, were determined by McCumber theory [27], as shown in Figure 7a. It is noted that the peak absorption cross section (σa) of Ho3+ is 5.6 × 10−21 cm2 at 1952 nm, which is higher than that of germanate glass (4.6 × 10−21 cm2) [28], lead silicate glass (3.9 × 10−21 cm2) [29], and silicate-germanate glass (2.8 × 10−21 cm2) [30]. Furthermore, the corresponding peak emission cross section (σe) reaches 8.2 × 10−21 cm2 at 2042 nm, which is higher than that of germanate glass (5.2 × 10−21 cm2) [28], lead silicate glass (4.2 × 10−21 cm2) [29], silicate-germanate glass (4.8 × 10−21 cm2) [30], and tellurite glass (6.7 × 10−21 cm2) [19], indicating that high laser gain can be achieved in the fiber prepared by the present glass. After absorption and emission cross sections of Ho3+ ions were obtained and it was assumed that Ho3+ ions are only in either the 5I7 or 5I8 energy level, the gain coefficient G(λ) near 2.0 µm was computed by the expression to estimate the gain property qualitatively [31].
where N stands for the total population of Ho3+ ions and p represents the population inversion defined as the ratio between the population at the 5I7 energy level and the total population. Figure 7b describes the effect of 5I7 → 5I8 transition wavelength on the gain coefficient in gallium tellurite glasses when p increases from 0 to 1 in steps of 0.2. It is found that the position of maximum gain moves toward shorter wavelength when p increases, which is a typical feature of the quasi-three-level system. Furthermore, positive gain coefficient occurs when p equals 0.2, revealing a low pumping threshold. In addition, the maximum gain coefficient reaches 1.54 cm−1 at 2048 nm, which is larger than that of lead silicate glass (0.89 cm−1) [32], germanate-tellurite glass (0.27 cm−1) [33], and tellurite glass (0.37 cm−1) [19]. It is worth noting that overlay area between Tm3+ emission and Ho3+ absorption cross sections is much larger than that between Ho3+ emission and Tm3+ absorption cross sections, meaning that the forward energy transfer probability from Tm3+:3F4 to Ho3+:5I7 energy level is more efficient than the backward one. In order to evaluate forward and backward energy transfer probabilities between Tm3+ and Ho3+ ions qualitatively, a method proposed by Miyakawa and Dexter was adopted [34]. The probability rate of energy transfer from Tm3+ to Ho3+ can be computed by the following formula [34]:
where represents the matrix element of the perturbation Hamilton between initial and final states in the energy transfer process, stands for the overlap integral between the m-phonon emission sideband of donor ions (D referring to Tm3+ here) and the k-phonon absorption sideband of acceptor ions (A referring to Ho3+ here), and N (N = m + k) denotes the total phonons in the energy transfer process. Subsequently, Tarelho et al. propose a method to determine the spectral sideband based on calculated emission and absorption cross sections for rare earth (RE) ions, as described by the following equations [35]:
where S0 represents the Huang-Rhys factor with the value of 0.31 for RE3+ ions, stands for the phonon energy of the host, and is the average occupancy of phonon mode at temperature T. In addition, and signify the wavelengths of Tm3+ with m-phonon emission and Ho3+ with k-phonon absorption, respectively. If we neglect the k-phonon annihilation process and just consider the m-phonon creation process, forward (D → A) and backward (A → D) energy transfer coefficients can be estimated by the following equations [35].
where () and () stand for the degeneracies of the respective lower and upper states of the donor (acceptor), respectively. In addition, and represent the probability of (N-k)-phonon emission by the donor and k-phonon absorption by the acceptor, respectively. Based on above equations, forward and backward energy transfer coefficients between Tm3+ and Ho3+ ions were obtained and are listed in Table 1. It is noted that the energy transfer coefficient of Tm3+ → Tm3+ migration is the largest due to the largest overlapping area, as shown in Figure 7a. Additionally, the ratio of forward to back energy transfer coefficient (CTm-Ho/CHo-Tm) reaches 19.7, indicating that the forward energy transfer from Tm3+ to Ho3+ is more effective than the backward one and thus ensures to achieve a strong 2.0 μm emission from Ho3+. Comparing the percentage of each phonon participation, one can observe that both energy transfer processes between Tm3+ and Ho3+ are almost resonant energy transfer with non-phonon creation or annihilation. It is worth mentioning that the forward energy transfer coefficient from Tm3+:3F4 to Ho3+:5I7 energy level (6.22 × 1039 cm6/s) in the present glass is larger than that of germinate-tellurite glass (1.42 × 1039 cm6/s) [33] and silicate-germanate glass (3.39 × 1039 cm6/s) [20]. Therefore, Tm3+/Ho3+ co-doped gallium tellurite glass with FWHM of 329 nm, larger emission cross section, and high CTm-Ho is a promising candidate for mid-infrared tunable fiber lasers.
Figure 7.
(a) Absorption and emission cross sections of Tm3+ and Ho3+ ions, corresponding to Tm3+:3H6↔3F4 and Ho3+:5I8↔5I7 transitions; (b) the effect of 5I7 → 5I8 transition wavelength on the gain coefficient in gallium tellurite glasses.
Table 1.
Energy transfer parameters between Tm3+ and Ho3+ in TGBTH-y sample.
4. Conclusions
In brief, dependence of Tm3+ and Ho3+ concentrations on 2.0 μm spectroscopic properties of Tm3+/Ho3+ co-doped gallium tellurite glasses under an 808 nm excitation is studied in detail. A flat ultra broadband emission at 2.0 μm with FWHM of 329 nm is achieved in gallium tellurite glasses co-doped with 1 mol.% Tm2O3 and 0.05 mol.% Ho2O3, benefitting from efficient energy transfer process from Tm3+:3F4 to Ho3+:5I7 energy level and partial overlap of Tm3+:3F4 → 3H6 and Ho3+:5I7 → 5I8 transitions. Furthermore, the present glass shows a long lifetime of Ho3+:5I7 energy level (2.08 ms), high emission cross section (8.2 × 10−21 cm2), and gain coefficient (1.54 cm−1) near 2.0 μm. Additionally, forward and backward energy transfer probabilities between Tm3+ and Ho3+ ions are qualitatively calculated by the extended spectral overlap method. Larger CTm-Ho/CHo-Tm (19.7) and high forward energy transfer coefficient (6.22 × 1039 cm6/s) ensure effective 2.0 μm emission. Consequently, these results indicate that this gallium tellurite glass is a very prospective candidate in constructing broadband light sources and tunable fiber lasers operating in eye-safe 2.0 µm spectral range.
Author Contributions
Conceptualization, J.Y., W.W., T.D. and P.X.; Data curation, J.Y.; Formal analysis, J.Y., W.W., T.D. and P.X.; Investigation, J.Y.; Methodology, J.Y.; Writing—original draft, J.Y.; Writing—review & editing, J.Y., Y.Y., T.D., Y.H., S.G., Y.C. and P.X. All authors have read and agreed to the published version of the manuscript.
Funding
The authors gratefully acknowledge the financial support from the National Natural Science Foundation of China (Grant Nos. 51902053, 61804029), Natural Science Foundation of Guangdong province (Grant Nos. 2019A1515011988, 2018A030310353), Guangdong Basic and Applied Basic Research Foundation (Grant No. 2019A1515110002), the Foundation for Distinguished Young Talents in Higher Education of Guangdong (Grant No. 2019KQNCX172), the Project of Foshan Education Bureau (Grant No. 2019XJZZ02), Research Fund of Guangdong-Hong Kong-Macao Joint Laboratory for Intelligent Micro-Nano Optoelectronic Technology (Grant No. 2020B1212030010) and the Open Fund of the State Key Laboratory of Luminescent Materials and Devices (South China University of Technology, Grant No. 2020-skllmd-13).
Conflicts of Interest
The authors declare no conflict of interest.
References
- Jackson, S.D. Towards high-power mid-infrared emission from a fibre laser. Nat. Photonics 2012, 6, 423–431. [Google Scholar] [CrossRef]
- Tsang, Y.H.; King, T.A.; Ko, D.K.; Lee, J.M. Broadband amplified spontaneous emission double-clad fibre source with central wavelengths near 2 μm. J. Mod. Opt. 2006, 53, 991–1001. [Google Scholar] [CrossRef]
- Wang, W.C.; Zhou, B.; Xu, S.H.; Yang, Z.M.; Zhang, Q.Y. Recent advances in soft optical glass fiber and fiber lasers. Prog. Mater. Sci. 2019, 101, 90–171. [Google Scholar] [CrossRef]
- Kochanowicz, M.; Zmojda, J.; Miluski, P.; Baranowska, A.; Leich, M.; Schwuchow, A.; Jaeger, M.; Kuwik, M.; Pisarska, J.; Pisarski, W.A.; et al. Tm3+/Ho3+ co-doped germanate glass and double-clad optical fiber for broadband emission and lasing above 2 μm. Opt. Mater. Express 2019, 9, 1450–1458. [Google Scholar] [CrossRef]
- Wang, Z.H.; Zhang, B.; Liu, J.; Song, Y.F.; Zhang, H. Recent developments in mid-infrared fiber lasers: Status and challenges. Opt. Laser Technol. 2020, 132, 106497. [Google Scholar] [CrossRef]
- Yin, T.C.; Mao, B.M.; Wei, Y.Z.; Chen, D.R. Widely wavelength-tunable 2 μm Brillouin fiber laser incorporating a highly germania-doped fiber. Appl. Opt. 2018, 57, 6831–6834. [Google Scholar] [CrossRef]
- Wang, W.C.; Zhang, W.J.; Li, L.X.; Liu, Y.; Zhang, Q.Y. Spectroscopic and structural characterization of barium tellurite glass fibers for mid-infrared ultra-broad tunable fiber lasers. Opt. Mater. Express 2016, 6, 2095–2107. [Google Scholar] [CrossRef]
- Richards, B.; Jha, A.; Tsang, Y.; Binks, D.; Lousteau, J.; Fusari, F.; Lagatsky, A.; Brown, C.; Sibbett, W. Tellurite glass lasers operating close to 2 μm. Laser Phys. Lett. 2010, 7, 177–193. [Google Scholar] [CrossRef]
- Kim, J.W.; Mackenzie, J.I.; Parisi, D.; Veronesi, S.; Tonelli, M.; Clarkson, W.A. Efficient in-band pumped Ho: LuLiF4 2 μm laser. Opt. Lett. 2010, 35, 420–422. [Google Scholar] [CrossRef] [PubMed]
- Eichhorn, M.; Jackson, S.D. High-pulse-energy, actively Q-switched Tm3+, Ho3+-codoped silica 2 μm fiber laser. Opt. Lett. 2008, 33, 1044–1046. [Google Scholar] [CrossRef]
- Gao, G.J.; Hu, L.L.; Fan, H.Y.; Wang, G.N.; Li, K.F.; Feng, S.Y.; Fan, S.J.; Chen, H.Y.; Pan, J.J.; Zhang, J.J. Investigation of 2.0 μm emission in Tm3+ and Ho3+ co-doped TeO2-ZnO-Bi2O3 glasses. Opt. Mater. 2009, 32, 402–405. [Google Scholar] [CrossRef]
- Li, K.F.; Zhang, G.; Wang, X.; Hu, L.L.; Kuan, P.W.; Chen, D.P.; Wang, M. Tm3+ and Tm3+-Ho3+ co-doped tungsten tellurite glass single mode fiber laser. Opt. Express 2012, 20, 10115–10121. [Google Scholar] [CrossRef] [PubMed]
- Xue, G.H.; Zhang, B.; Yin, K.; Yang, W.Q.; Hou, J. Ultra-wideband all-fiber tunable Tm/Ho-co-doped laser at 2 μm. Opt. Express 2014, 22, 25976–25983. [Google Scholar] [CrossRef]
- Richards, B.; Shen, S.X.; Jha, A.; Tsang, Y.; Binks, D. Infrared emission and energy transfer in Tm3+, Tm3+-Ho3+ and Tm3+-Yb3+-doped tellurite fibre. Opt. Express 2007, 15, 6546–6551. [Google Scholar] [CrossRef] [PubMed]
- Jha, A.; Shen, S.; Naftaly, M. Structural origin of spectral broadening of 1.5-μm emission in Er3+-doped tellurite glasses. Phys. Rev. B 2000, 62, 6215–6227. [Google Scholar] [CrossRef]
- Li, L.X.; Wang, W.C.; Zhang, C.F.; Liu, J.L.; Zhang, Q.Y.; Jiang, Z.H. Exploration of the new tellurite glass system for efficient 2 μm luminescence. J. Non Cryst. Solids 2019, 508, 15–20. [Google Scholar] [CrossRef]
- Mao, L.Y.; Liu, J.L.; Li, L.X.; Wang, W.C. TeO2-Ga2O3-ZnO ternary tellurite glass doped with Tm3+ and Ho3+ for 2 μm fiber lasers. J. Non Cryst. Solids 2020, 531, 119855. [Google Scholar] [CrossRef]
- Yuan, J.; Wang, W.C.; Ye, Y.C.; Deng, T.T.; Ou, D.Q.; Cheng, J.Y.; Yuan, S.J.; Xiao, P. Effect of BaF2 variation on spectroscopic properties of Tm3+ doped gallium tellurite glasses for efficient 2.0 μm laser. Front. Chem. 2021, 8, 628273. [Google Scholar] [CrossRef]
- Zhou, M.H.; Zhou, Y.X.; Su, X.E.; Zhu, Y.R.; Zhou, Z.Z.; Cheng, P. Around 2 μm fluorescence and energy transfer in Tm3+/Ho3+ co-doped tellurite glass. J. Non Cryst. Solids 2018, 481, 344–351. [Google Scholar] [CrossRef]
- Gao, X.Y.; Tian, Y.; Liu, Q.H.; Li, B.P.; Tang, W.H.; Zhang, J.J.; Xu, S.Q. Broadband 2 μm emission characteristics and energy transfer mechanism of Ho3+ doped silicate-germanate glass sensitized by Tm3+ ions. Opt. Laser Technol. 2019, 111, 115–120. [Google Scholar] [CrossRef]
- Balda, R.; Lacha, L.M.; Fernandez, J.; Fernandez-Navarro, J.M. Optical spectroscopy of Tm3+ ions in GeO2-PbO-Nb2O5 glasses. Opt. Mater. 2005, 27, 1771–1775. [Google Scholar] [CrossRef]
- Lin, H.; Wang, X.Y.; Li, C.M.; Yang, H.X.; Pun, E.Y.B.; Tanable, S. Near-infrared emissions and quantum efficiencies in Tm3+-doped heavy metal gallate glasses for S- and U-band amplifiers and 1.8 μm infrared laser. J. Lumin. 2008, 128, 74–80. [Google Scholar] [CrossRef]
- Gebavi, H.; Taccheo, S.; Milanese, D. The enhanced two micron emission in thulium doped tellurite glasses. Opt. Mater. 2013, 35, 1792–1796. [Google Scholar] [CrossRef]
- Cao, R.J.; Lu, Y.; Tian, Y.; Huang, F.F.; Xu, S.Q.; Zhang, J.J. Spectroscopy of thulium and holmium co-doped silicate glasses. Opt. Mater. Express 2016, 6, 2252–2263. [Google Scholar] [CrossRef]
- Kochanowicz, M.; Zmojda, J.; Miluski, P.; Baranowska, A.; Ragin, T.; Dorosz, J.; Kuwik, M.; Pisarski, W.A.; Pisarska, J.; Lesniak, M.; et al. 2 μm emission in gallo-germanate glasses and glass fibers co-doped with Yb3+/Ho3+ and Yb3+/Tm3+/Ho3+. J. Lumin. 2019, 211, 341–346. [Google Scholar] [CrossRef]
- Wang, C.Z.; Tian, Y.; Gao, X.Y.; Liu, Q.H.; Huang, F.F.; Li, B.P.; Zhang, J.J.; Xu, S.Q. Mid-infrared fluorescence properties, structure and energy transfer around 2 μm in Tm3+/Ho3+ co-doped tellurite glass. J. Lumin. 2018, 194, 791–796. [Google Scholar] [CrossRef]
- McCumber, D.E. Einstein relations connecting broadband emission and absorption spectra. Phys. Rev. 1964, 136, A954–A957. [Google Scholar] [CrossRef]
- Yang, X.L.; Wang, W.C.; Zhang, Q.Y. BaF2 modified Cr3+/Ho3+ co-doped germanate glass for efficient 2.0 μm fiber lasers. J. Non Cryst. Solids 2018, 482, 147–153. [Google Scholar] [CrossRef]
- Wang, N.; Cao, R.J.; Cai, M.Z.; Lu, Y.; Shen, L.L.; Tian, Y.; Huang, F.F.; Xu, S.Q.; Zhang, J.J. An efficient 2.0 μm emission of Er3+/Ho3+ co-doped lead silicate glass. Infrared Phys. Technol. 2017, 83, 1–6. [Google Scholar] [CrossRef]
- Chen, R.; Tian, Y.; Li, B.P.; Jing, X.F.; Zhang, J.J.; Xu, S.Q.; Eckert, H.; Zhang, X.H. Thermal and luminescent properties of 2 μm emission in thulium-sensitized holmium-doped silicate-germanate glass. Photon. Res. 2016, 4, 214–221. [Google Scholar] [CrossRef]
- Zou, X.L.; Toratani, H. Spectroscopic properties and energy transfers in Tm3+ singly- and Tm3+/Ho3+ doubly-doped glasses. J. Non. Cryst. Solids 1996, 195, 113–124. [Google Scholar] [CrossRef]
- Zhu, T.T.; Tang, G.W.; Chen, X.D.; Sun, M.; Qian, Q.; Chen, D.D.; Yang, Z.M. Two micrometer fluorescence emission and energy transfer in Yb3+/Ho3+ co-doped lead silicate glass. Int. J. Appl. Glass Sci. 2017, 8, 196–203. [Google Scholar] [CrossRef]
- Shen, L.L.; Cai, M.Z.; Lu, Y.; Wang, N.; Huang, F.F.; Xu, S.Q.; Zhang, J.J. Preparation and investigation of Tm3+/Ho3+ co-doped germanate-tellurite glass as promising materials for ultrashort pulse laser. Opt. Mater. 2017, 67, 125–131. [Google Scholar] [CrossRef]
- Miyakawa, T.; Dexter, D.L. Phonon Sidebands, Multiphonon Relaxation of Excited States, and Phonon-Assisted Energy Transfer between Ions in Solids. Phys. Rev. B 1970, 1, 2961–2969. [Google Scholar] [CrossRef]
- Tarelho, L.V.G.; Gomes, L.; Ranieri, I.M. Determination of microscopic parameters for nonresonant energy-transfer processes in rare-earth-doped crystals. Phys. Rev. B 1997, 56, 14344–14351. [Google Scholar] [CrossRef]
Publisher’s Note: MDPI stays neutral with regard to jurisdictional claims in published maps and institutional affiliations. |
© 2021 by the authors. Licensee MDPI, Basel, Switzerland. This article is an open access article distributed under the terms and conditions of the Creative Commons Attribution (CC BY) license (http://creativecommons.org/licenses/by/4.0/).






