The Fracture Behavior of 316L Stainless Steel with Defects Fabricated by SLM Additive Manufacturing
Abstract
:1. Introduction
2. Peridynamic Model
2.1. Equation of Motion in Elastic-Plastic Theory
2.2. Orthotropic Material and Fracture Model
2.3. Characterization of Micro-Cracks and Voids
3. Numerical Examples
3.1. A Three-Point Bending Beam with a Pre-Existing Micro-Crack
3.2. A Three-Point Bending Beam with Orthotropic Moduli
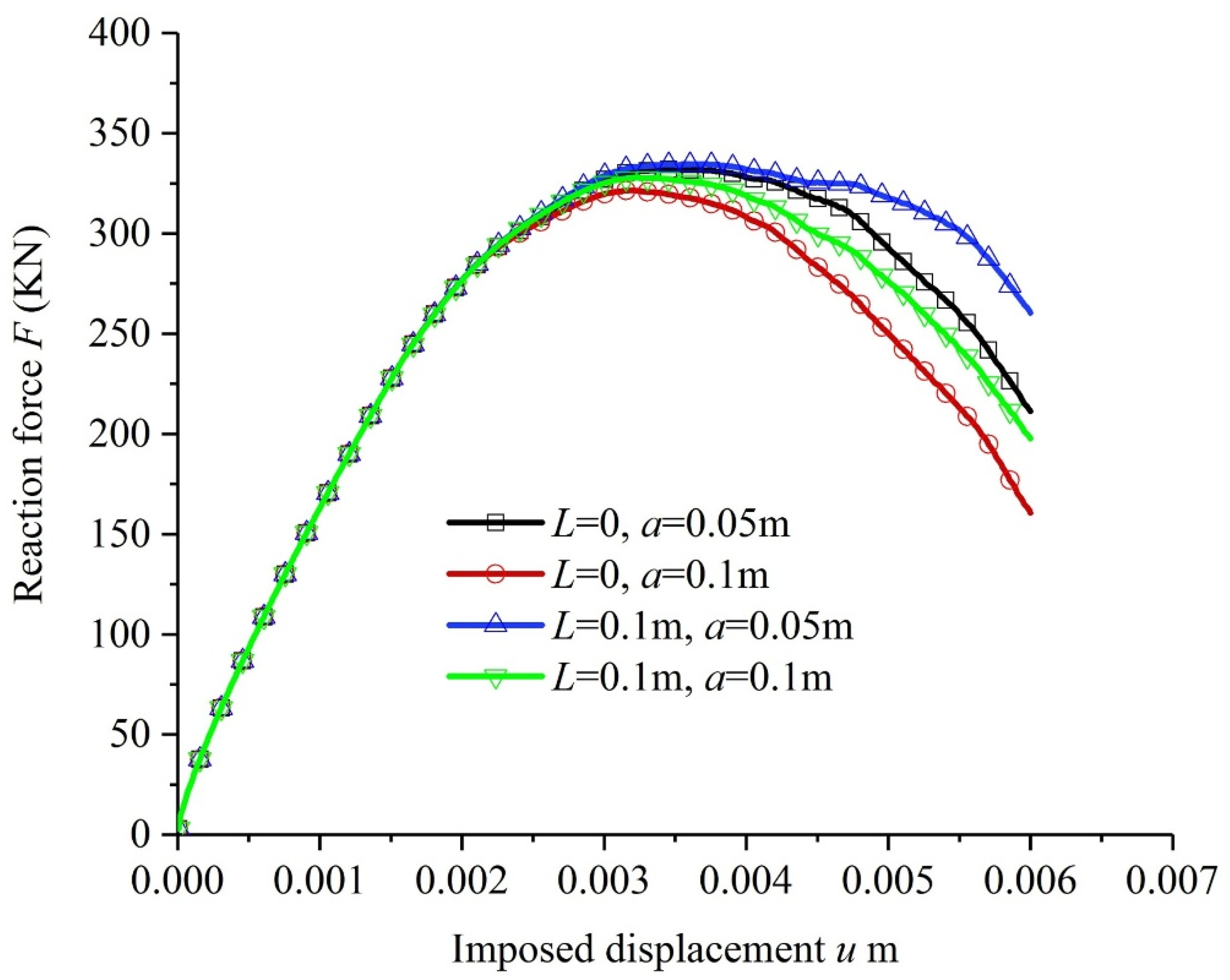
3.3. A Tensile Test of Plate Specimen with the Defects of Voids
4. Conclusions
Author Contributions
Funding
Institutional Review Board Statement
Informed Consent Statement
Data Availability Statement
Conflicts of Interest
References
- Lu, B.H. Additive manufacturing-current situation and future. China Mech. Eng. 2020, 31, 19–23. [Google Scholar]
- Zhang, X.J.; Tang, S.Y.; Zhao, H.Y.; Guo, S.Q.; Li, N.; Sun, B.B.; Chen, B.Q. Research status and key technologies of 3D printing. J. Mater. Eng. 2016, 44, 122–128. [Google Scholar]
- Shamsaei, N.; Yadollahi, A.; Bian, L.; Thompson, S.M. An overview of direct laser deposition for additive manufacturing; Part II: Mechanical behavior, process parameter optimization and control. Addit. Manuf. 2015, 8, 12–35. [Google Scholar] [CrossRef]
- Attar, H.; Bönisch, M.; Calin, M.; Zhang, L.C.; Scudino, S.; Eckert, J. Selective laser melting of in situ titanium-titanium boride composites: Processing, microstructure and mechanical properties. Acta Mater. 2014, 76, 13–22. [Google Scholar] [CrossRef]
- Heigel, J.C.L.; Michaleris, P.; Reutzel, E.W. Thermo-mechanical model development and validation of directed energy deposition additive manufactureing of Ti-6Al-4V. Addit. Manuf. 2015, 5, 9–19. [Google Scholar]
- Liu, X.B.; Xiao, H.; Xiao, W.J.; Song, L.J. Microstructure and crystallographic texture of laser additive manufactured nickel-based superalloys with different scanning strategies. Crystals 2021, 11, 591. [Google Scholar] [CrossRef]
- Zhang, B.; Li, Y.; Bai, Q. Defect formation mechanisms in selective laser melting: A review. Chin. J. Mech. Eng. 2017, 30, 515–527. [Google Scholar] [CrossRef] [Green Version]
- Jiang, H.Z.; Li, Z.Y.; Feng, T.; Wu, P.Y.; Chen, Q.S.; Feng, Y.L.; Chen, L.F.; Hou, J.Y.; Xu, H.J. Effect of process parameters on defects, melt pool shape, microstructure, and tensile behavior of 316L stainless steel produced by selective laser melting. Acta Metall. Sini. 2021, 34, 495–510. [Google Scholar] [CrossRef]
- Wu, H.Y.; Zhang, D.; Yang, B.B.; Chen, C.; Li, Y.P.; Zhou, K.C.; Jiang, L.; Liu, R.P. Microstructural evolution and defect formation in a powder metallurgy nickel-based superalloy processed by selective laser melting. J. Mater. Sci. Technol. 2020, 36, 7–17. [Google Scholar] [CrossRef]
- Zhang, H.Y.; Dong, D.K.; Su, S.P.; Chen, A. Experimental study of effect of post processing on fracture toughness and fatigue crack growth performance of selective laser melting Ti-6Al-4V. Chin. J. Aeronaut. 2019, 32, 2383–2393. [Google Scholar] [CrossRef]
- Weber, S.; Montero, J.; Petroll, C.; Schäfer, T.; Blechmann, M.; Paetzold, K. The fracture behavior and mechanical properties of a support structure for additive manufacturing of Ti-6Al-4V. Crystals 2020, 10, 343. [Google Scholar] [CrossRef]
- Glodez, S.; Klemenc, J.; Zupanic, F.; Vesenjak, M. High-cycle fatigue and fracture behaviours of SLM AlSi10Mg alloy. Trans. Nonferrous Met. Soc. China 2020, 30, 2577–2589. [Google Scholar] [CrossRef]
- Wen, E.T.; Gao, T.T.; Zhang, Y.Y. 3D visualization method for complex lattice structure defects in 3D printing. Acta Metrol. Sin. 2020, 41, 1077–1081. [Google Scholar]
- Lozanovski, B.; Leary, M.; Tran, P.; Shidid, D.; Ma, Q.; Choong, P.; Brandt, M. Computational modelling of strut defects in SLM manufactured lattice structures. Mater. Des. 2019, 171, 107671. [Google Scholar] [CrossRef]
- Silling, S.A. Reformulation of elasticity theory for discontinuities and long-range forces. J. Mech. Phys. Solids 2000, 48, 175–209. [Google Scholar] [CrossRef] [Green Version]
- Silling, S.A.; Lehoucq, R.B. Peridynamic theory of solid mechanics. Adv. Appl. Mech. 2010, 44, 73–168. [Google Scholar]
- Bessa, M.; Foster, J.T.; Belytschko, T.; Liu, W.K. A meshfree unification: Reproducing kernel peridynamics. Comp. Mech. 2014, 53, 1251–1264. [Google Scholar] [CrossRef]
- Bobaru, F.; Foster, J.T.; Geubelle, P.H.; Silling, S.A. Peridynamic Modeling; Springer: New York, NY, USA, 2017. [Google Scholar]
- Han, F.; Lubineau, G.; Azdoud, Y.; Askari, A. A morphing approach to couple state-based peridynamics with classical continnum mechanics. Comput. Methods Appl. Mech. Engrg. 2016, 301, 336–358. [Google Scholar] [CrossRef] [Green Version]
- Ren, H.L.; Zhuang, X.Y.; Rabczuk, T. Dual-horizon peridynamics: A stable solution to varying horizons. Comput. Methods Appl. Mech. Eng. 2017, 318, 762. [Google Scholar] [CrossRef] [Green Version]
- Katiyar, A.; Foster, J.T.; Ouchi, H.; Sharma, M.M. A peridynamic formulation of pressure driven convective fluid transport in porous media. J. Comput. Phys. 2014, 261, 209–229. [Google Scholar] [CrossRef]
- Ouchi, H.; Katiyar, A.; York, J.; Foster, J.T.; Sharma, M.M. A fully coupled porous flow and geomechanics model for fluid driven cracks: A peridynamic approach. Comput. Mech. 2015, 55, 561–576. [Google Scholar] [CrossRef]
- Lai, X.; Ren, B.; Fan, H.F.; Li, S.F.; Wu, C.T.; Regueiro, R.A.; Liu, L.S. Peridynamics simulations of geomaterial fragmentation by impulse loads. Int. J. Numer. Anal. Methods Geomech. 2015, 39, 1304–1330. [Google Scholar] [CrossRef]
- Fan, H.F.; Bergel, G.L.; Li, S.F. A hybrid peridynamics-SPH simulation of soil fragmentation by blast loads of buried explosive. Int. J. Impact Eng. 2016, 87, 14–27. [Google Scholar] [CrossRef] [Green Version]
- Hu, W.; Ha, Y.D.; Boraru, F. Peridyanmic model for dynamic fracture in unidirectional fiber-reinforced composites. Comput. Methods Appl. Mech. Eng. 2012, 217, 247–261. [Google Scholar] [CrossRef] [Green Version]
- Huang, D.; Lu, G.D.; Qiao, P.Z. An improved peridynamic approach for quasi-static elastic deformation and brittle fracture analysis. Int. J. Mech. Sci. 2015, 94, 111–122. [Google Scholar] [CrossRef]
- Li, H.; Zhang, H.W.; Zheng, Y.G.; Ye, H.F.; Lu, M.K. An implicit coupling finite element and peridynamic method for the dynamic problems with crack propagation in solids. Int. J. Appl. Mech. 2018, 10, 1850037. [Google Scholar] [CrossRef]
- Zhang, H.W.; Li, H.; Ye, H.F.; Zheng, Y.G. A coupling extended multiscale finite element and pridynamic method for modelling of crack propagation in solids. Acta Mech. 2019, 230, 3667–3692. [Google Scholar] [CrossRef]
- Oterkus, S.; Madenci, E. Peridynamic modeling of fuel pellet cracking. Eng. Fract. Mech. 2017, 176, 23–37. [Google Scholar] [CrossRef] [Green Version]
- Madeci, E.; Oterkus, E. Peridynamic Theory and Its Applications; Springer: New York, NY, USA, 2014. [Google Scholar]
- Zaccariotto, M.; Luongo, F.; Sarego, G.; Galvanetto, U. Examples of applications of the peridynamic theory to the solution of static equilibrium problems. Aeronaut. J. 2015, 119, 677–700. [Google Scholar] [CrossRef]
- Carpinteri, A.; Colombo, G. Numerical analysis of catastrophic softening behavior (snap-back instability). Comput. Struct. 1989, 31, 607–636. [Google Scholar] [CrossRef]












Publisher’s Note: MDPI stays neutral with regard to jurisdictional claims in published maps and institutional affiliations. |
© 2021 by the authors. Licensee MDPI, Basel, Switzerland. This article is an open access article distributed under the terms and conditions of the Creative Commons Attribution (CC BY) license (https://creativecommons.org/licenses/by/4.0/).
Share and Cite
Li, H.; Zhang, J. The Fracture Behavior of 316L Stainless Steel with Defects Fabricated by SLM Additive Manufacturing. Crystals 2021, 11, 1542. https://doi.org/10.3390/cryst11121542
Li H, Zhang J. The Fracture Behavior of 316L Stainless Steel with Defects Fabricated by SLM Additive Manufacturing. Crystals. 2021; 11(12):1542. https://doi.org/10.3390/cryst11121542
Chicago/Turabian StyleLi, Hui, and Jianhao Zhang. 2021. "The Fracture Behavior of 316L Stainless Steel with Defects Fabricated by SLM Additive Manufacturing" Crystals 11, no. 12: 1542. https://doi.org/10.3390/cryst11121542
APA StyleLi, H., & Zhang, J. (2021). The Fracture Behavior of 316L Stainless Steel with Defects Fabricated by SLM Additive Manufacturing. Crystals, 11(12), 1542. https://doi.org/10.3390/cryst11121542

