Fermi Surface Structure and Isotropic Stability of Fulde-Ferrell-Larkin-Ovchinnikov Phase in Layered Organic Superconductor β″-(BEDT-TTF)2SF5CH2CF2SO3
Abstract
:1. Introduction
2. Materials and Methods
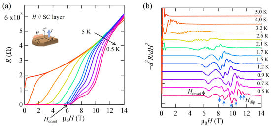
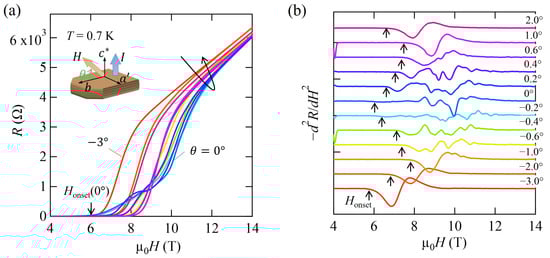
3. Results
4. Discussion
5. Conclusions
Author Contributions
Funding
Institutional Review Board Statement
Informed Consent Statement
Data Availability Statement
Acknowledgments
Conflicts of Interest
References
- Martucciello, N.; Giubileo, F.; Grimaldi, G.; Corato, V. Introduction to the focus on superconductivity for energy. Supercond. Sci. Technol. 2015, 28, 070201. [Google Scholar] [CrossRef]
- Fulde, P.; Ferrell, R.A. Superconductivity in a strong spin-exchange field. Phys. Rev. 1964, 135, A550. [Google Scholar] [CrossRef]
- Larkin, A.I.; Ovchinnikov, Y.N. Nonuniform state of superconductors. Zh. Eksp. Teor. Fiz 1964, 47, 1136. [Google Scholar]
- Clogston, A.M. Upper limit for the critical field in hard superconductors. Phys. Rev. Lett. 1962, 9, 266. [Google Scholar] [CrossRef]
- Radovan, H.A.; Fortune, N.A.; Murphy, T.P.; Hannahs, S.T.; Palm, E.C.; Tozer, S.W.; Hall, D. Magnetic enhancement of superconductivity from electron spin domains. Nature 2003, 425, 51–55. [Google Scholar] [CrossRef] [PubMed]
- Bianchi, A.R.; Movshovich, C.C.; Pagliuso, P.G.; Sarrao, J.L. Possible Fulde-Ferrell-Larkin-Ovchinnikov Superconducting State in CeCoIn5. Phys. Rev. Lett. 2003, 91, 187004. [Google Scholar] [CrossRef] [PubMed] [Green Version]
- Kikugawa, N.; Terashima, T.; Uji, S.; Sugii, K.; Maeno, Y.; Graf, D.; Baumbach, R.; Brooks, J. Superconducting subphase in the layered perovskite ruthenate Sr2RuO4 in a parallel magnetic field. Phys. Rev. B 2016, 93, 184513. [Google Scholar] [CrossRef] [Green Version]
- Kasahara, S.; Sato, Y.; Licciardello, S.; Čulo, M.; Arsenijević, O.S.T.; Tominaga, T.; Böker, E.J.I.; Shibauchi, T.; Wosnitza, J.; Hussey, N.E.; et al. Evidence for an Fulde–Ferrell–Larkin–Ovchinnikov State with Segmented Vortices in the BCS–BEC–Crossover Superconductor FeSe. Phys. Rev. Lett. 2020, 124, 107001. [Google Scholar] [CrossRef] [Green Version]
- Yonezawa, S.; Kusaba, S.; Maeno, Y.; Auban-Senzier, P.; Pasquier, C.; Bechgaard, K.; Jérome, D. Anomalous In-Plane Anisotropy of the Onset of Superconductivity in (TMTSF)2ClO4. Phys. Rev. Lett. 2008, 100, 117002. [Google Scholar] [CrossRef] [PubMed] [Green Version]
- Singleton, J.; Symington, J.A.; Nam, M.S.; Ardavan, A.; Kurmoo, M.; Day, P. Observation of the Fulde-Ferrell-Larkin-Ovchinnikov state in the quasi-two-dimensional organic superconductor κ-(BEDT-TTF)2Cu(NCS)2 (BEDT-TTF= bis (ethylene-dithio) tetrathiafulvalene). J. Phys. Condens. Matter 2000, 12, L641. [Google Scholar] [CrossRef] [Green Version]
- Tanatar, M.A.; Ishiguro, T.; Tanaka, H.; Kobayashi, H. Magnetic field–temperature phase diagram of the quasi-two-dimensional organic superconductor λ-(BETS)2 GaCl4 studied via thermal conductivity. Phys. Rev. B 2002, 66, 134503. [Google Scholar] [CrossRef] [Green Version]
- Tanatar, M.A.; Ishiguro, T.; Tanaka, H.; Kobayashi, H. Superconducting phase diagram and FFLO signature in λ-(BETS)2 GaCl4 from rf penetration depth measurements. Phys. Rev. B 2011, 83, 224507. [Google Scholar]
- Tanatar, M.A.; Ishiguro, T.; Tanaka, H.; Kobayashi, H. Vortex Dynamics and Diamagnetic Torque Signals in Two Dimensional Organic Superconductor λ-(BETS)2 GaCl4. J. Phys. Soc. Jpn. 2015, 84, 104709. [Google Scholar]
- Balicas, L.; Brooks, J.S.; Storr, K.; Uji, S.; Tokumoto, M.; Tanaka, H.; Kobayashi, H.; Kobayashi, A.; Barzykin, V.; Goŕkov, L.P. Superconductivity in an organic insulator at very high magnetic fields. Phys. Rev. Lett. 2001, 87, 067002. [Google Scholar] [CrossRef] [PubMed] [Green Version]
- Uji, S.; Terashima, T.; Nishimura, M.; Takahide, Y.; Konoike, T.; Enomoto, K.; Cui, H.; Kobayashi, H.; Kobayashi, A.; Tanaka, H.; et al. Vortex dynamics and the Fulde-Ferrell-Larkin-Ovchinnikov state in a magnetic-field-induced organic superconductor. Phys. Rev. Lett. 2006, 97, 157001. [Google Scholar] [CrossRef] [PubMed]
- Uji, S.; Kodama, K.; Sugii, K.; Terashima, T.; Takahide, Y.; Kurita, N.; Tsuchiya, S.; Kimata, M.; Kobayashi, A.; Zhou, B.; et al. Magnetic torque studies on FFLO phase in magnetic-field-induced organic superconductor λ-(BETS)2 FeCl4. Phys. Rev. B 2012, 85, 174530. [Google Scholar] [CrossRef]
- Lortz, R.; Wang, Y.; Demuer, A.; Böttger, P.H.M.; Bergk, B.; Zwicknagl, G.; Nakazawa, Y.; Wosnitza, J. Calorimetric Evidence for a Fulde-Ferrell-Larkin-Ovchinnikov Superconducting State in the Layered Organic Superconductor κ-(BEDT-TTF)2Cu(NCS)2. Phys. Rev. Lett. 2007, 99, 187002. [Google Scholar] [CrossRef] [PubMed] [Green Version]
- Bergk, B.; Demuer, A.; Sheikin, I.; Wang, Y.; Wosnitza, J.; Nakazawa, Y.; Lortz, R. Magnetic torque evidence for the Fulde-Ferrell-Larkin-Ovchinnikov state in the layered organic superconductor κ-(BEDT-TTF)2Cu(NCS)2. Phys. Rev. B 2011, 83, 064506. [Google Scholar] [CrossRef] [Green Version]
- Wright, J.A.; Green, E.; Kuhns, P.; Reyes, A.; Brooks, J.; Schlueter, J.; Bkato, R.; Yamamoto, H.; Kobayashi, M.; Brown, S.E. Zeeman-Driven Phase Transition within the Superconducting State of κ-(BEDT-TTF)2Cu(NCS)2. Phys. Rev. Lett. 2011, 107, 087002. [Google Scholar] [CrossRef] [PubMed]
- Agosta, C.C.; Jin, J.; Coniglio, W.A.; Smith, B.E.; Cho, K.; Stroe, I.; Martin, C.; Tozer, S.W.; Murphy, T.P.; Palm, E.C.; et al. Experimental and semiempirical method to determine the Pauli-limiting field in quasi-two-dimensional superconductors as applied to κ-(BEDT-TTF)2Cu(NCS)2: Strong evidence of a FFLO state. Phys. Rev. B 2012, 85, 214514. [Google Scholar] [CrossRef] [Green Version]
- Mayaffre, H.; Krämer, S.; Horvatić, M.; Berthier, C.; Miyagawa, K.; Kanoda, K.; Mitrović, V.F. Evidence of Andreev bound states as a hallmark of the FFLO phase in κ-(BEDT-TTF)2Cu(NCS)2. Nat. Phys. 2014, 10, 928. [Google Scholar] [CrossRef]
- Tsuchiya, S.; Yamada, J.I.; Sugii, K.; Graf, D.; Brooks, J.S.; Terashima, T.; Uji, S. Phase boundary in a superconducting state of κ-(BEDT-TTF)2Cu(NCS)2: Evidence of the Fulde–Ferrell–Larkin–Ovchinnikov phase. J. Phys. Soc. Jpn. 2015, 84, 034703. [Google Scholar] [CrossRef]
- Wosnitza, J. FFLO states in layered organic superconductors. Ann. Phys. 2018, 530, 1700282. [Google Scholar] [CrossRef]
- Agosta, C.C.; Fortune, N.A.; Hannahs, S.T.; Gu, S.; Liang, L.; Park, J.H.; Schleuter, J.A. Calorimetric Measurements of Magnetic-Field-Induced Inhomogeneous Superconductivity Above the Paramagnetic Limit. Phys. Rev. Lett. 2017, 118, 267001. [Google Scholar] [CrossRef] [Green Version]
- Tachiki, M.; Takahashi, S.; Gegenwart, P.; Weiden, M.; Lang, M.; Geibel, C.; Steglich, F.; Modler, R.; Paulsen, C.; Ōnuki, Y. Generalized Fulde-Ferrell-Larkin-Ovchinnikov state in heavy-fermion and intermediate-valence systems. Z. Phys. Condens. Matter 1997, 100, 369–380. [Google Scholar] [CrossRef]
- Shimahara, H. Fulde-Ferrell state in quasi-two-dimensional superconductors. Z. Phys. Condens. Matter 1994, 50, 12760. [Google Scholar] [CrossRef] [PubMed]
- Bulaevskii, L.; Buzdin, A.; Maley, M. Intrinsic pinning of vortices as a direct probe of the nonuniform Larkin-Ovchinnikov-Fulde-Ferrell state in layered superconductors β″-(BEDT-TTF)2SF5CH2CF2SO3. Phys. Rev. Lett. 2003, 90, 067003. [Google Scholar] [CrossRef]
- Uji, S.; Iida, Y.; Sugiura, S.; Isono, T.; Sugii, K.; Kikugawa, N.; Terashima, T.; Yasuzuka, S.; Akutsu, H.; Nakazawa, Y.; et al. Fulde-Ferrell-Larkin-Ovchinnikov superconductivity in the layered organic superconductor β″-(BEDT- TTF)4[(H3O)Ga(C2O4)3]C6H5NO2. Phys. Rev. B 2018, 97, 144505. [Google Scholar] [CrossRef] [Green Version]
- Sugiura, S.; Terashima, T.; Yasuzuka, S.; Schlueter, J.A.; Uji, S. Josephson vortex dynamics and Fulde-Ferrell-Larkin-Ovchinnikov superconductivity in the layered organic superconductor β″-(BEDT-TTF)2SF5CH2CF2SO3. Phys. Rev. B 2019, 100, 014515. [Google Scholar] [CrossRef]
- Wanka, S.; Hagel, J.; Beckmann, D.; Wosnitza, J.; Schlueter, J.A.; Williams, J.M.; Nixon, P.G.; Winter, R.W.; Gard, G.L. Specific heat and critical fields of the organic superconductor β″-(BEDT-TTF)2SF5CH2CF2SO3. Phys. Rev. B 1998, 57, 3084. [Google Scholar] [CrossRef] [Green Version]
- Cho, K.; Smith, B.E.; Coniglio, W.A.; Winter, L.E.; Agosta, C.C.; Schlueter, J.A. Upper critical field in the organic superconductor β″-(ET)2SF5CH2CF2SO3: Possibility of Fulde-Ferrell-Larkin-Ovchinnikov state. Phys. Rev. B 2009, 79, 220507. [Google Scholar] [CrossRef] [Green Version]
- Beyer, R.; Bergk, B.; Yasin, S.; Schlueter, J.A.; Wosnitza, J. Angle-dependent evolution of the Fulde-Ferrell-Larkin-Ovchinnikov state in an organic superconductor. Phys. Rev. Lett. 2012, 109, 027003. [Google Scholar] [CrossRef] [Green Version]
- Beyer, R.; Wosnitza, J. Emerging evidence for FFLO states in layered organic superconductors. Low Temp. Phys. 2013, 39, 225–231. [Google Scholar] [CrossRef] [Green Version]
- Koutroulakis, G.; Kühne, H.; Schlueter, J.A.; Wosnitza, J.; Brown, S.E. Microscopic study of the Fulde-Ferrell-Larkin-Ovchinnikov state in an all-organic superconductor. Phys. Rev. Lett. 2016, 116, 067003. [Google Scholar] [CrossRef] [PubMed]
- Sugiura, S.; Isono, T.; Terashima, T.; Yasuzuka, S.; Schlueter, J.A.; Uji, S. Fulde–Ferrell–Larkin–Ovchinnikov and vortex phases in a layered organic superconductor. J. Abbr. 2008, 10, 142–149. [Google Scholar] [CrossRef]
- Pustogow, A.; Saito, Y.; Rohwer, A.; Schlueter, J.A.; Dressel, M. Coexistence of charge order and superconductivity in organic superconductor β″-(BEDT-TTF)2SF5CH2CF2SO3. Phys. Rev. B 2019, 99, 140509(R). [Google Scholar] [CrossRef] [Green Version]
- Shimahara, H. Structure of the Fulde-Ferrell-Larkin-Ovchinnikov state in two-dimensional superconductors. J. Phys. Soc. Jpn. 1998, 67, 736–739. [Google Scholar] [CrossRef] [Green Version]
- Geiser, U.; Schlueter, J.A.; Wang, H.H.; Kini, A.M.; Williams, J.M.; Sche, P.P.; Zakowicz, I.H.; Michael, V.; Dudek, D.J.; Nixon, P.G.; et al. Superconductivity at 5.2 K in an electron donor radical salt of bis (ethylenedithio) tetrathiafulvalene (BEDT-TTF) with the novel polyfluorinated organic anion SF5CH2CF2SO3. J. Am. Chem. Soc. 1996, 118, 9996–9997. [Google Scholar] [CrossRef]
- Yasuzuka, S.; Uji, S.; Terashima, T.; Sugii, K.; Isono, T.; Iida, Y.; Schlueter, J.A. In-Plane Anisotropy of Upper Critical Field and Flux-Flow Resistivity in Layered Organic Superconductor β″-(BEDT-TTF)2SF5CH2CF2SO3. J. Phys. Soc. Jpn. 2015, 84, 094709. [Google Scholar] [CrossRef]
- Mori, T.; Kobayashi, A.; Sasaki, Y.; Kobayashi, H.; Saito, G.; Inokuchi, H. The Intermolecular Interaction of Tetrathiafulvalene and Bis(ethylenedithio)tetrathiafulvalene in Organic Metals. Calculation of Orbital Overlaps and Models of Energy-band Structures. Bull. Chem. Soc. Jpn. 1984, 57, 627. [Google Scholar] [CrossRef]
- Beckmann, D.; Wanka, S.; Wosnitza, J.; Schlueter, J.A.; Williams, J.M.; Nixon, P.G.; Winter, R.W.; Gard, G.L.; Ren, J.; Whangbo, M.-H. Characterization of the Fermi surface of the organic superconductor-by measurements of Shubnikov-de Haas and angle-dependent magnetoresistance oscillations and by electronic band-structure calculations. Eur. Phys. J. Condens. Matter Complex Syst. 1998, 3, 295–300. [Google Scholar] [CrossRef]
- Wosnitza, J.; Wanka, S.; Hagel, J.; Häussler, R.; Löhneysen, H.V.; Schlueter, J.A.; Geiser, U.; Nixon, P.G.; Winter, R.W.; Gard, G.L. Shubnikov–de Haas effect in the superconducting state of an organic superconductor. Phys. Rev. B 2000, 62, R11973. [Google Scholar] [CrossRef] [Green Version]
- Wosnitza, J.; Hagel, J.; Meeson, P.J.; Bintley, D.; Schlueter, J.A.; Mohtasham, J.; Winter, R.W.; Gard, G.L. Enhanced magnetic quantum oscillations in the mixed state of a two-dimensional organic superconductor. Phys. Rev. B 2003, 67, 060504. [Google Scholar] [CrossRef] [Green Version]
- Sugiura, S.; Terashima, T.; Uji, S.; Schlueter, J.A. Deformed Waveshape of Quantum Oscillation in Magnetocaloric Effect for Layered Organic Superconductor. J. Phys. Soc. Jpn. 2021, 90, 074601. [Google Scholar] [CrossRef]
- Croitoru, M.D.; Houzet, M.; Buzdin, A.I. In-Plane Magnetic Field Anisotropy of the Fulde-Ferrell-Larkin-Ovchinnikov State in Layered Superconductors. Phys. Rev. Lett. 2012, 108, 207005. [Google Scholar] [CrossRef] [PubMed] [Green Version]








Publisher’s Note: MDPI stays neutral with regard to jurisdictional claims in published maps and institutional affiliations. |
© 2021 by the authors. Licensee MDPI, Basel, Switzerland. This article is an open access article distributed under the terms and conditions of the Creative Commons Attribution (CC BY) license (https://creativecommons.org/licenses/by/4.0/).
Share and Cite
Sugiura, S.; Akutsu, H.; Nakazawa, Y.; Terashima, T.; Yasuzuka, S.; Schlueter, J.A.; Uji, S. Fermi Surface Structure and Isotropic Stability of Fulde-Ferrell-Larkin-Ovchinnikov Phase in Layered Organic Superconductor β″-(BEDT-TTF)2SF5CH2CF2SO3. Crystals 2021, 11, 1525. https://doi.org/10.3390/cryst11121525
Sugiura S, Akutsu H, Nakazawa Y, Terashima T, Yasuzuka S, Schlueter JA, Uji S. Fermi Surface Structure and Isotropic Stability of Fulde-Ferrell-Larkin-Ovchinnikov Phase in Layered Organic Superconductor β″-(BEDT-TTF)2SF5CH2CF2SO3. Crystals. 2021; 11(12):1525. https://doi.org/10.3390/cryst11121525
Chicago/Turabian StyleSugiura, Shiori, Hiroki Akutsu, Yasuhiro Nakazawa, Taichi Terashima, Syuma Yasuzuka, John A. Schlueter, and Shinya Uji. 2021. "Fermi Surface Structure and Isotropic Stability of Fulde-Ferrell-Larkin-Ovchinnikov Phase in Layered Organic Superconductor β″-(BEDT-TTF)2SF5CH2CF2SO3" Crystals 11, no. 12: 1525. https://doi.org/10.3390/cryst11121525
APA StyleSugiura, S., Akutsu, H., Nakazawa, Y., Terashima, T., Yasuzuka, S., Schlueter, J. A., & Uji, S. (2021). Fermi Surface Structure and Isotropic Stability of Fulde-Ferrell-Larkin-Ovchinnikov Phase in Layered Organic Superconductor β″-(BEDT-TTF)2SF5CH2CF2SO3. Crystals, 11(12), 1525. https://doi.org/10.3390/cryst11121525

