Evolution of Shape and Volume Fraction of Superconducting Domains with Temperature and Anion Disorder in (TMTSF)2ClO4
Abstract
1. Introduction
2. Material and Method
2.1. Material
2.2. Method
3. Theory
4. Analysis of Experimental Data in
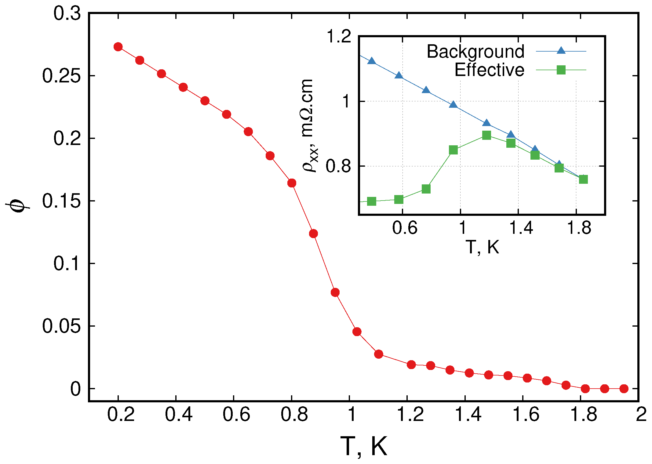
4.1. Application of MGA Theory to Describe Resistivity and to Find Superconducting Volume Ratio
4.2. Effect of Cooling Rate on Superconducting Volume Ratio
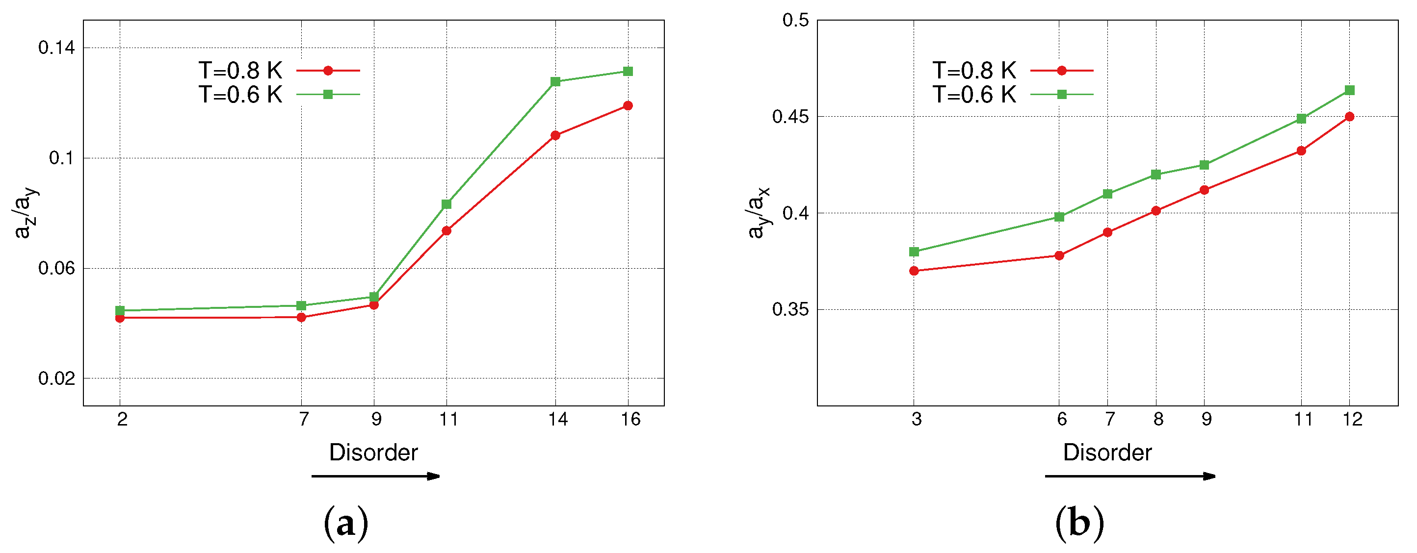
4.3. Effect of Disorder on the Shape of Superconducting Inclusions
5. Discussion
6. Conclusions
Author Contributions
Funding
Institutional Review Board Statement
Informed Consent Statement
Data Availability Statement
Conflicts of Interest
Appendix A. Anisotropic Dilation of the Problem of Static Current Distribution
References
- Shen, K.M.; Davis, J.S. Cuprate High-Tc Superconductors. Mater. Today 2008, 11, 14–21. [Google Scholar] [CrossRef]
- Norman, M.R. Cuprates—An Overview. J. Supercond. Nov. Magn. 2012, 25, 2131–2134. [Google Scholar] [CrossRef]
- Hosono, H.; Kuroki, K. Iron-Based Superconductors: Current Status of Materials and Pairing Mechanism. Phys. C Supercond. Appl. 2015, 514, 399–422. [Google Scholar] [CrossRef]
- Jerome, D. Organic Conductors: From Charge Density Wave TTF-TCNQ to Superconducting (TMTSF)2PF6. Chem. Rev. 2004, 104, 5565–5591. [Google Scholar] [CrossRef] [PubMed]
- Stewart, G.R. Unconventional Superconductivity. Adv. Phys. 2017, 66, 75–196. [Google Scholar] [CrossRef]
- Gerasimenko, Y.A.; Sanduleanu, S.V.; Prudkoglyad, V.A.; Kornilov, A.V.; Yamada, J.; Qualls, J.S.; Pudalov, V.M. Coexistence of Superconductivity and Spin-Density Wave in (TMTSF)2 ClO4: Spatial Structure of the Two-Phase State. Phys. Rev. B 2014, 89, 054518. [Google Scholar] [CrossRef]
- Yonezawa, S.; Marrache-Kikuchi, C.A.; Bechgaard, K.; Jérome, D. Crossover from Impurity-Controlled to Granular Superconductivity in (TMTSF)2ClO4. Phys. Rev. B 2018, 97, 014521. [Google Scholar] [CrossRef]
- Jerome, D. Organic Superconductors: A Survey of Low Dimensional Phenomena. Mol. Cryst. Liq. Cryst. 1982, 79, 511–538. [Google Scholar] [CrossRef]
- Ishiguro, T.; Yamaji, K.; Saito, G. Organic Superconductors; Springer Series in Solid-State Sciences; Springer: Berlin/Heidelberg, Germany, 1998; Volume 88. [Google Scholar] [CrossRef]
- Lebed, A.; Hull, R.; Osgood, R.M.; Parisi, J.; Warlimon, H. (Eds.) The Physics of Organic Superconductors and Conductors; Springer Series in Materials Science; Springer: Berlin/Heidelberg, Germany, 2008; Volume 110. [Google Scholar] [CrossRef]
- Kartsovnik, M.V. High Magnetic Fields: A Tool for Studying Electronic Properties of Layered Organic Metals. Chem. Rev. 2004, 104, 5737–5782. [Google Scholar] [CrossRef]
- Chaikin, P.M. Magnetic-Field-Induced Transition in Quasi-Two-Dimensional Systems. Phys. Rev. B 1985, 31, 4770–4772. [Google Scholar] [CrossRef]
- Gor’kov, L.; Lebed’, A. On the Stability of the Quasi-Onedimensional Metallic Phase in Magnetic Fields against the Spin Density Wave Formation. J. Phys. Lett. 1984, 45, 433–440. [Google Scholar] [CrossRef]
- Kang, N.; Salameh, B.; Auban-Senzier, P.; Jérome, D.; Pasquier, C.R.; Brazovskii, S. Domain Walls at the Spin-Density-Wave Endpoint of the Organic Superconductor (TMTSF)2PF6 under Pressure. Phys. Rev. B 2010, 81, 100509. [Google Scholar] [CrossRef]
- Narayanan, A.; Kiswandhi, A.; Graf, D.; Brooks, J.; Chaikin, P. Coexistence of Spin Density Waves and Superconductivity in (TMTSF)2PF6. Phys. Rev. Lett. 2014, 112, 146402. [Google Scholar] [CrossRef] [PubMed]
- Vuletić, T.; Auban-Senzier, P.; Pasquier, C.; Tomić, S.; Jérome, D.; Héritier, M.; Bechgaard, K. Coexistence of Superconductivity and Spin Density Wave Orderings in the Organic Superconductor (TMTSF)2PF6. Eur. Phys. J. B 2002, 25, 319–331. [Google Scholar] [CrossRef]
- Kornilov, A.V.; Pudalov, V.M.; Kitaoka, Y.; Ishida, K.; Zheng, G.Q.; Mito, T.; Qualls, J.S. Macroscopically Inhomogeneous State at the Boundary between the Superconducting, Antiferromagnetic, and Metallic Phases in Quasi-One-Dimensional (TMTSF)2PF6. Phys. Rev. B 2004, 69, 224404. [Google Scholar] [CrossRef]
- Pasquier, C.; Kang, N.; Salameh, B.; Auban-Senzier, P.; Jérome, D.; Brazovskii, S. Evolution of the Spin-Density Wave-Superconductivity Texture in the Organic Superconductor (TMTSF)2PF6 under Pressure. Phys. B Condens. Matter 2012, 407, 1806–1809. [Google Scholar] [CrossRef]
- Podolsky, D.; Altman, E.; Rostunov, T.; Demler, E. SO(4) Theory of Antiferromagnetism and Superconductivity in Bechgaard Salts. Phys. Rev. Lett. 2004, 93, 246402. [Google Scholar] [CrossRef]
- Lee, I.J.; Chaikin, P.M.; Naughton, M.J. Critical Field Enhancement near a Superconductor-Insulator Transition. Phys. Rev. Lett. 2002, 88, 207002. [Google Scholar] [CrossRef]
- Gor’kov, L.P.; Grigoriev, P.D. Soliton Phase near Antiferromagnetic Quantum Critical Point in Q1D Conductors. EPL Europhys. Lett. 2005, 71, 425–430. [Google Scholar] [CrossRef][Green Version]
- Gor’kov, L.P.; Grigoriev, P.D. Nature of the Superconducting State in the New Phase in (TMTSF)2 PF6 under Pressure. Phys. Rev. B 2007, 75, 020507. [Google Scholar] [CrossRef]
- Grigoriev, P.D. Properties of Superconductivity on a Density Wave Background with Small Ungapped Fermi Surface Parts. Phys. Rev. B 2008, 77, 224508. [Google Scholar] [CrossRef]
- Grigoriev, P. Superconductivity on the Density-Wave Background with Soliton-Wall Structure. Phys. B Condens. Matter 2009, 404, 513–516. [Google Scholar] [CrossRef][Green Version]
- Dordevic, S.V.; Basov, D.N.; Homes, C.C. Do Organic and Other Exotic Superconductors Fail Universal Scaling Relations? Sci. Rep. 2013, 3, 1713. [Google Scholar] [CrossRef]
- Greer, A.; Harshman, D.; Kossler, W.; Goonewardene, A.; Williams, D.; Koster, E.; Kang, W.; Kleiman, R.; Haddon, R. Muon Spin Rotation Study of the (TMTSF)2ClO4 System. Phys. C Supercond. 2003, 400, 59–64. [Google Scholar] [CrossRef][Green Version]
- Pratt, F.L.; Lancaster, T.; Blundell, S.J.; Baines, C. Low-Field Superconducting Phase of (TMTSF)2ClO4. Phys. Rev. Lett. 2013, 110, 107005. [Google Scholar] [CrossRef]
- Schwenk, H.; Andres, K.; Wudl, F.; Aharon-Shalom, E. Direct Observation of a Large London Penetration Depth in an Organic Superconductor. Solid State Commun. 1983, 45, 767–769. [Google Scholar] [CrossRef]
- Su, W.P.; Kivelson, S.; Schrieffer, J.R. Theory of Polymers Having Broken Symmetry Ground States. In Physics in One Dimension; Cardona, M., Fulde, P., Queisser, H.J., Bernasconi, J., Schneider, T., Eds.; Springer: Berlin/Heidelberg, Germany, 1981; Volume 23, pp. 201–211. [Google Scholar] [CrossRef]
- Gerasimenko, Y.A.; Prudkoglyad, V.A.; Kornilov, A.V.; Sanduleanu, S.V.; Qualls, J.S.; Pudalov, V.M. Role of anion ordering in the coexistence of spin-density-wave and superconductivity in (TMTSF)2ClO4. JETP Lett. 2013, 97, 419–424. [Google Scholar] [CrossRef][Green Version]
- Kochev, V.D.; Kesharpu, K.K.; Grigoriev, P.D. Anisotropic Zero-Resistance Onset in Organic Superconductors. arXiv 2020, arXiv:cond-mat/2007.14388. [Google Scholar]
- Sinchenko, A.A.; Grigoriev, P.D.; Orlov, A.P.; Frolov, A.V.; Shakin, A.; Chareev, D.A.; Volkova, O.S.; Vasiliev, A.N. Gossamer High-Temperature Bulk Superconductivity in FeSe. Phys. Rev. B 2017, 95, 165120. [Google Scholar] [CrossRef]
- Grigoriev, P.D.; Sinchenko, A.A.; Kesharpu, K.K.; Shakin, A.; Mogilyuk, T.I.; Orlov, A.P.; Frolov, A.V.; Lyubshin, D.S.; Chareev, D.A.; Volkova, O.S.; et al. Anisotropic Effect of Appearing Superconductivity on the Electron Transport in FeSe. JETP Lett. 2017, 105, 786–791. [Google Scholar] [CrossRef]
- Seidov, S.S.; Kesharpu, K.K.; Karpov, P.I.; Grigoriev, P.D. Conductivity of Anisotropic Inhomogeneous Superconductors above the Critical Temperature. Phys. Rev. B 2018, 98, 014515. [Google Scholar] [CrossRef]
- Torquato, S. Random Heterogeneous Materials: Microstructure and Macroscopic Properties; Interdisciplinary Applied Mathematics; Springer: New York, NY, USA, 2002. [Google Scholar]
- Bechgaard, K.; Carneiro, K.; Olsen, M.; Rasmussen, F.B.; Jacobsen, C.S. Zero-Pressure Organic Superconductor: Di-(Tetramethyltetraselenafulvalenium)-Perchlorate (TMTSF)2ClO4. Phys. Rev. Lett. 1981, 46, 852–855. [Google Scholar] [CrossRef]
- Bechgaard, K.; Carneiro, K.; Eg, O.; Olsen, M.; Rasmussen, F.B.; Jacobsen, C.; Rindorf, G. Superconductivity in (TMTSF)2ClO4 at Zero Pressure. Mol. Cryst. Liq. Cryst. 1982, 79, 627–632. [Google Scholar] [CrossRef]
- Bychkov, Y.A.; Gor’kov, L.P.; Dzyaloshinskiǐ, I. Possibility of Superconductivity Type Phenomena in a One-Dimensional System. JETP 1966, 23, 489. [Google Scholar]
- Sólyom, J. The Fermi Gas Model of One-Dimensional Conductors. Adv. Phys. 1979, 28, 201–303. [Google Scholar] [CrossRef]
- Jérome, D.; Creuzet, F.; Bourbonnais, C. A Survey of the Physics of Organic Conductors and Superconductors. Phys. Scr. 1989, T27, 130–135. [Google Scholar] [CrossRef]
- Parkin, S.S.P.; Ribault, M.; Jerome, D.; Bechgaard, K. Superconductivity in the Family of Organic Salts Based on the Tetramethyltetraselenafulvalene (TMTSF) Molecule: (TMTSF)2X (X=ClO4, PF6, AsF6, SbF6, TaF6). J. Phys. C Solid State Phys. 1981, 14, 5305–5326. [Google Scholar] [CrossRef]
- Garoche, P.; Brusetti, R.; Jerome, D.; Bechgaard, K. Specific-Heat Measurements of Organic Superconductivity in (TMTSF)2ClO4. J. Phys. Lett. 1982, 43, L147–L152. [Google Scholar] [CrossRef]
- Schwenk, H.; Neumaier, K.; Andres, K.; Wudl, F.; Aharon-Shalom, E. Meissner Anisotropy in Deuterated (TMTSF)2ClO4. Mol. Cryst. Liq. Cryst. 1982, 79, 633–638. [Google Scholar] [CrossRef]
- Tomić, S.; Jérome, D.; Monod, P.; Bechgaard, K. EPR and Electrical Conductivity of the Organic Superconductor Di-Tetramethyltetraselenafulvalenium-Perchlorate, (TMTSF)2ClO4 and a Metastable Magnetic State Obtained by Fast Cooling. J. Phys. Lett. 1982, 43, 839–844. [Google Scholar] [CrossRef]
- Takahashi, T.; Jérome, D.; Bechgaard, K. Observation of a Magnetic State in the Organic Superconductor (TMTSF)2ClO4: Influence of the Cooling Rate. J. Phys. Lett. 1982, 43, 565–573. [Google Scholar] [CrossRef]
- Ishiguro, T.; Murata, K.; Kajimura, K.; Kinoshita, N.; Tokumoto, H.; Tokumoto, M.; Ukachi, T.; Anzai, H.; Saito, G. Superconductivity and Metal-Nonmetal Transitions in (TMTSF)2ClO4. J. Phys. Colloq. 1983, 44, C3–831–C3–838. [Google Scholar] [CrossRef]
- Pouget, J.P. Structural Aspects of the Bechgaard and Fabre Salts: An Update. Crystals 2012, 2, 466–520. [Google Scholar] [CrossRef]
- Bechgaard, K.; Carneiro, K.; Rasmussen, F.B.; Olsen, M.; Rindorf, G.; Jacobsen, C.S.; Pedersen, H.J.; Scott, J.C. Superconductivity in an Organic Solid. Synthesis, Structure, and Conductivity of Bis(Tetramethyltetraselenafulvalenium) Perchlorate, (TMTSF)2ClO4. J. Am. Chem. Soc. 1981, 103, 2440–2442. [Google Scholar] [CrossRef]
- Rindorf, G.; Soling, H.; Thorup, N. The Structures of Di(2,3,6,7-Tetramethyl-1,4,5,8-Tetraselenafulvalenium) Perrhenate, (TMTSF)2ReO4, and Perchlorate, (TMTSF)2ClO4. Acta Crystallogr. Sect. B Struct. Crystallogr. Cryst. Chem. 1982, 38, 2805–2808. [Google Scholar] [CrossRef]
- Pouget, J.P.; Shirane, G.; Bechgaard, K.; Fabre, J.M. X-Ray Evidence of a Structural Phase Transition in Di-Tetramethyltetraselenafulvalenium Perchlorate [(TMTSF)2ClO4 ], Pristine and Slightly Doped. Phys. Rev. B 1983, 27, 5203–5206. [Google Scholar] [CrossRef]
- Le Pévelen, D.; Gaultier, J.; Barrans, Y.; Chasseau, D.; Castet, F.; Ducasse, L. Temperature and Pressure Dependencies of the Crystal Structure of the Organic Superconductor (TMTSF)2ClO4. Eur. Phys. J. B 2001, 19, 363–373. [Google Scholar] [CrossRef]
- Mogilyuk, T.I.; Grigoriev, P.D.; Kesharpu, K.K.; Kolesnikov, I.A.; Sinchenko, A.A.; Frolov, A.V.; Orlov, A.P. Excess Conductivity of Anisotropic Inhomogeneous Superconductors Above the Critical Temperature. Phys. Solid State 2019, 61, 1549–1552. [Google Scholar] [CrossRef]
- Murata, K.; Tokumoto, M.; Anzai, H.; Kajimura, K.; Isiiiguro, T. Upper Critical Field of the Anisotropic Organic Superconductors, (TMTSF) 2 CIO 4. Jpn. J. Appl. Phys. 1987, 26, 1367. [Google Scholar] [CrossRef]
- Tinkham, M. Introduction to Superconductivity; Courier Corporation: Mineola, NY, USA, 2004. [Google Scholar]
- Markel, V.A. Introduction to the Maxwell Garnett Approximation: Tutorial. J. Opt. Soc. Am. A 2016, 33, 1244. [Google Scholar] [CrossRef]
- Markel, V.A. Maxwell Garnett Approximation (Advanced Topics): Tutorial. J. Opt. Soc. Am. A 2016, 33, 2237. [Google Scholar] [CrossRef] [PubMed]
- Maxwell Garnett, J.C. Colours in Metal Glasses and in Metallic Films. Philos. Trans. R. Soc. Lond. Ser. A 1904, 203, 385–420. [Google Scholar]
- Stroud, D. Generalized effective-medium approach to the conductivity of an inhomogeneous material. Phys. Rev. B 1975, 12, 3368–3373. [Google Scholar] [CrossRef]
- Apresyan, L.A.; Vlasov, D.V. On depolarization factors of anisotropic ellipsoids in an anisotropic medium. Tech. Phys. 2014, 59, 1760–1765. [Google Scholar] [CrossRef]
- Gubser, D.U.; Fuller, W.W.; Poehler, T.O.; Cowan, D.O.; Lee, M.; Potember, R.S.; Chiang, L.Y.; Bloch, A.N. Magnetic Susceptibility and Resistive Transitions of Superconducting (TMTSF)2ClO4: Critical Magnetic Fields. Phys. Rev. B 1981, 24, 478–480. [Google Scholar] [CrossRef]
- Auban-Senzier, P.; Jérome, D.; Doiron-Leyraud, N.; René de Cotret, S.; Sedeki, A.; Bourbonnais, C.; Taillefer, L.; Alemany, P.; Canadell, E.; Bechgaard, K. The Metallic Transport of (TMTSF) 2 X Organic Conductors Close to the Superconducting Phase. J. Physics: Condens. Matter 2011, 23, 345702. [Google Scholar] [CrossRef]
- Rice, M.J. Electron-Electron Scattering in Transition Metals. Phys. Rev. Lett. 1968, 20, 1439–1441. [Google Scholar] [CrossRef]
- Schwenk, H.; Andres, K.; Wudl, F. Resistivity of the Organic Superconductor Ditetramethyltetraselenafulvalenium Perchlorate, (TMTSF)2ClO4, in Its Relaxed, Quenched, and Intermediate State. Phys. Rev. B 1984, 29, 500–502. [Google Scholar] [CrossRef]
- Pesty, F.; Wang, K.; Garoche, P. Analysis of the Pair Breaking Effect of the Anion Disorder (TMTSF)2ClO4. Synth. Met. 1988, 27, 137–143. [Google Scholar] [CrossRef]
- Pouget, J.P.; Kagoshima, S.; Tamegai, T.; Nogami, Y.; Kubo, K.; Nakajima, T.; Bechgaard, K. High Resolution X-ray Scattering Study of the Anion Ordering Phase Transition of (TMTSF)2ClO4. J. Phys. Soc. Jpn. 1990, 59, 2036–2053. [Google Scholar] [CrossRef]
- Kagoshima, S.; Yasunaga, T.; Ishiguro, T.; Anzai, H.; Saito, G. Quenching effect of the anion ordering in the organic superconductor (TMTSF)2ClO4: An X-ray study. Solid State Commun. 1983, 46, 867–870. [Google Scholar] [CrossRef]
- Martin, S.; Fiory, A.T.; Fleming, R.M.; Schneemeyer, L.F.; Waszczak, J.V. Temperature Dependence of the Resistivity Tensor in Superconducting Bi2Sr2.2 Ca0.8Cu2O8 Crystals. Phys. Rev. Lett. 1988, 60, 2194–2197. [Google Scholar] [CrossRef] [PubMed]
- Nakamura, Y.; Uchida, S. Anisotropic Transport-Properties of Single-Crystal La2-xSrxCuO4—Evidence for the Dimensional Crossover. Phys. Rev. B 1993, 47, 8369–8372. [Google Scholar] [CrossRef] [PubMed]
- Ni, N.; Tillman, M.E.; Yan, J.Q.; Kracher, A.; Hannahs, S.T.; Bud’ko, S.L.; Canfield, P.C. Effects of Co Substitution on Thermodynamic and Transport Properties and Anisotropic Hc2 in Ba(Fe1-xCox)2 As2 Single Crystals. Phys. Rev. B 2008, 78, 214515. [Google Scholar] [CrossRef]
- Wang, X.F.; Wu, T.; Wu, G.; Liu, R.H.; Chen, H.; Xie, Y.L.; Chen, X.H. The Peculiar Physical Properties and Phase Diagram of BaFe2-xCoxAs2 Single Crystals. New J. Phys. 2009, 11, 045003. [Google Scholar] [CrossRef]
- Tanatar, M.A.; Ni, N.; Thaler, A.; Bud’ko, S.L.; Canfield, P.C.; Prozorov, R. Pseudogap and Its Critical Point in the Heavily Doped Ba(Fe1-xCox)2As2 from c-Axis Resistivity Measurements. Phys. Rev. B 2010, 82, 134528. [Google Scholar] [CrossRef]
- Li, J.; Peng, J.; Zhang, S.; Chen, G. Anisotropic Multichain Nature and Filamentary Superconductivity in the Charge Density Wave System HfTe3. Phys. Rev. B 2017, 96, 174510. [Google Scholar] [CrossRef]






Publisher’s Note: MDPI stays neutral with regard to jurisdictional claims in published maps and institutional affiliations. |
© 2021 by the authors. Licensee MDPI, Basel, Switzerland. This article is an open access article distributed under the terms and conditions of the Creative Commons Attribution (CC BY) license (http://creativecommons.org/licenses/by/4.0/).
Share and Cite
Kesharpu, K.K.; Kochev, V.D.; Grigoriev, P.D. Evolution of Shape and Volume Fraction of Superconducting Domains with Temperature and Anion Disorder in (TMTSF)2ClO4. Crystals 2021, 11, 72. https://doi.org/10.3390/cryst11010072
Kesharpu KK, Kochev VD, Grigoriev PD. Evolution of Shape and Volume Fraction of Superconducting Domains with Temperature and Anion Disorder in (TMTSF)2ClO4. Crystals. 2021; 11(1):72. https://doi.org/10.3390/cryst11010072
Chicago/Turabian StyleKesharpu, Kaushal K., Vladislav D. Kochev, and Pavel D. Grigoriev. 2021. "Evolution of Shape and Volume Fraction of Superconducting Domains with Temperature and Anion Disorder in (TMTSF)2ClO4" Crystals 11, no. 1: 72. https://doi.org/10.3390/cryst11010072
APA StyleKesharpu, K. K., Kochev, V. D., & Grigoriev, P. D. (2021). Evolution of Shape and Volume Fraction of Superconducting Domains with Temperature and Anion Disorder in (TMTSF)2ClO4. Crystals, 11(1), 72. https://doi.org/10.3390/cryst11010072

