Abstract
Crystallographic studies of monosulfonated azo dyes have concentrated on the salt forms that contain the azo anion. Here we present a study that compares the structures of these anions with protonated free acid forms and with doubly deprotonated dianion forms. To this end, the new single crystal diffraction structures of 13 systematically related free acid forms of monosulfonated azo dyes are presented, together with three new structures of doubly deprotonated forms and two new structures of Na salt forms of azo anions. No structures of dideprotonated monosulfonated azo dyes have previously been reported and this paper also reports the first crystal structure of an azo dye with a hydronium cation. The geometries of the free acid, anion and dianion forms are compared to literature equivalents. It is shown that protonation of the azo bond gives predictable bond lengthening and shortening, which is of a greater magnitude than similar effects caused by azo-hydrazone tautomerisation, or the smaller again effects caused by the resonance electron donation from O or N based substituents. The dianion containing structures have twisted dianion geometries that can be understood based on the resonance effects of the phenoxide groups and upon the needs to bond to a relatively high number of metal cations.
1. Introduction
Azo colourants are one of the most widespread and widely used class of dyes. They often bear sulfonate substituents, which impart enhanced aqueous solubility and help decrease toxicity [1,2,3]. The popularity of azo compounds as dyes and pigments is at least partly because of the ease with which the azo coupling reaction can accommodate a wide range of different functionalities—allowing simple and aqueous access to a large variety of compounds all with different material and colour properties [4]. The ability to quickly form many closely related molecules, that are all variations on a theme, also makes azo compounds a good choice for systematic structural studies. Relatively large-scale solid-state structural studies on salt forms of monosulfonated azo dyes have been published [5,6,7], as has work on salt forms of disulfonated azo dyes [8,9,10]. Crystallographic work on salt forms of sulfonated azo pigments is also available. However, the extra difficulty of working with materials that typically have low solubility and highly anisotropic crystal growth properties means that pigment studies often rely on the use of special techniques, e.g., structure solution from powder diffraction, electron diffraction, and/or use of synchrotron radiation [11,12,13,14,15,16]. Much less attention has been paid to the solid-state structures of the free acid forms of sulfonated azo dyes [17]. In this paper, we present 13 new crystal structures of free acid forms of monosulfonated azo dyes. These are used alongside literature results to examine the structural changes caused by protonation/deprotonation of the azo chromophore. We also present the structures of three compounds that feature doubly deprotonated monosulfonated azo species. Crystal structures of such dianionic species have not previously been reported. The structural changes caused by deprotonation are examined for these compounds as well.
2. Materials and Methods
Azo dyes were either obtained from commercial suppliers (H4, H7, H8, H10, and H11 were supplied by Fujifilm and Na12 by Sigma Aldrich) or synthesised by the well-known azo coupling method [1,4,6,17]. See Scheme 1 for dye numbering key. Sodium salts were converted to free acid forms using aqueous HCl and free acids converted to sodium salts by aqueous treatment with NaOH solution. With the exception of Na21*, samples for diffraction experiments were obtained by simple recrystallization from aqueous solution. For Na21* crystals were obtained by vapour diffusion of acetone into an aqueous solution.

Scheme 1.
Diagram showing the main monosulfonated azo species investigated. Compounds are arranged in approximate order of increasing resonance electron donating power of D. In the text, an asterisk (e.g., 1*) is used to denote a hydroxyl species that has been deprotonated to give the corresponding dianion.
X-ray Diffraction. Samples H4 (polymorph α), H9, H10, and Ba17* were measured at the single crystal beam lines (9.8 and 16.2) of the Daresbury SRS [18]. Data for H11, H14, and H16 were measured by the UK National Crystallography Service at the University of Southampton [19]. All other samples were measured in-house using a Nonius Kappa CCD diffractometer. All structures were solved using direct methods and refined using all unique reflections against F2 using SHELXL within WINGX [20,21,22]. Structural figures have been generated using MERCURY [23]. H atoms bound to C atoms were placed in geometrically idealised positions and refined in riding modes. H atoms bound to O or to N atoms were found by difference synthesis and where possible were refined freely and isotropically. Where this was not possible, sensible restraints were placed upon the H atoms’ bond distances and/or constraints on their displacement parameters. Structure Na21* was refined as twinned by a 180° rotation about 1 0 0. Refinement against an hklf5 formatted reflection file gave a superior model with the contribution of the minor twin component refining to 0.2632(33). Where disorder was identified this was modelled over two sites with the minimum of restraints and constraints needed to give normal bond lengths and displacement parameters. The following groups were modelled as disordered; one solvent water molecule in both structure H6 and structure H10, the SO3 group of one of the crystallographically independent azo molecules of H11, the SO3 group and the water molecule of H14, and the acetone solvent molecule of Na21*. Full crystallographic details are available in cif format from CCDC 2010004-2010021 and selected parameters are given in Table 1. Cif also available from Supplementary Materials.
Table 1.
Selected Crystallographic Data and Refinement Parameters. R based on F where [I > 2σ(I)], wR2 = based on F2 and all reflections.
3. Results
The discussion will centre on the structures of 17 azo species called 1 to 17 in Scheme 1. Of these, the structures of H1, H5, H7, H12, and H13 are taken from the literature and the other structures are presented here [17,24,25,26]. Of the free acid species, eight are of special interest, as the structures of their deprotonated, Na salt forms are available for comparison. For this purpose, the structures of Na4 and Na15 are presented here and the other 6 Na salt structures are available from the literature [5,6,17,27]. Finally, three structures containing doubly deprotonated azo species are also presented. In all three cases, a hydroxyl substituent of the azo dye anion has lost a proton. The resulting complexes are Na21*, K3(3)(3*) and Ba17* (where * indicates the corresponding dianion of the azo species in Scheme 1). The paper is structured so that firstly the main features of the new structures are briefly described, followed by a detailed comparison of the azo geometries of the free acid, anionic and dianionic forms.
3.1. Structures of Na Salt Forms
The crystal structures of s-block metal salt forms of monosulfonated azo dyes have been discussed previously [5,6,7]. It was shown that their coordination behaviour and gross structural features are largely dependent of the position of the sulfonate group and the identity of the metal ion. Similar observations have also been made for disulfonated azo dyes and for sulfonated azo pigments [9,15]. The new structures of Na4, [Na(4)(OH2)2].0.5H2O, and Na15, [Na(15)(OH2)].0.5H2O, are fairly typical of their type, though Na4 does have a somewhat unusual Z’ = 4 structure with four independent cation/anion pairs per asymmetric unit [28]. Na salts of azo species with the sulfonate group para to the azo are expected to form structures with alternate single layers of inorganic/hydrophilic groups (Na, SO3, OH2, OH) and single layers of organic/hydrophobic groups (the central azobenzene fragment). Additionally, both the SO3 groups and the water ligands should bridge between Na centres to give highly connected coordination polymers. All these features are seen in both Na4 and Na15, for example see Figure 1. Both form three dimensional coordination polymers with azo ligands acting as approximately linear linkages between the inorganic layers by coordinating to Na through both the SO3 and OH substituents.
Figure 1.
Packing diagram of structure Na4 as viewed down the crystallographic b axis. H atoms omitted for clarity. Note the alternating inorganic and organic layers parallel to the ab plane. Here and elsewhere, purple = Na or other group 1 metal, yellow = S, red = O, blue = N, grey = C.
3.2. Structures of Free Acid Forms
The most common result on crystallising monosulfonated azo dyes from low pH aqueous systems is to obtain a solid-state form with protonation of the N atom of the azo group that is bonded to the sulfonate bearing aromatic ring, see Figure 2 for example. Ten of the thirteen free acid structures reported herein adopt similar zwitterionic forms and this is also the commonest form previously reported for crystal structures of similar dyes [17,24,25,26]. The structure obtained for H9 is different, as in this monohydrated structure the amine substituent has been protonated to give a R-NH3+ group. This zwitterionic form is not unexpected as structures of both anhydrous and dihydrate forms of H9 have previously been reported and both have similar protonation sites [29,30]. We also report here a second, similar case of a substituent that is more basic than the azo N atoms being preferentially protonated in the structure of the hydroxyquinoline species H18, see Figure 3 and Figure 4. The presence of a substituent with a basic N centre is not enough to reliably stop protonation of the azo group. Both the methoxy substituted species 10 and 11 feature NH2 substituents and also protonated azo groups. Additionally the dye species 12 to 16 all have NR2 (R ≠ H) amine substituents and all feature protonation of the azo group. Finally, dye 8 is the only species here with a strongly electron withdrawing group present, here a nitro substituent. This would be expected to make the azo N atoms less basic and indeed the structure isolated is the hydronium salt form [H3O] [8].2H2O where the dye species retains its non-protonated anionic form, Figure 5. Solid-state hydronium salt forms of sulfonated aryl species are well known, but have not been previously reported for sulfonated azo dyes or pigments [31,32].
Figure 2.
Contents of the asymmetric unit of free acid species H2.H2O. Similar zwitterionic forms with protonation at N1 are the commonest free acid types observed herein. Here and below, displacement ellipsoids are drawn at the 50% probability level and H atoms are shown as small spheres of arbitrary size. This atom-numbering ee is used throughout the comparative discussion of azo geometries below.
Figure 3.
Contents of the asymmetric unit of free acid species H9.H2O. The anhydrous and dihydrate forms have been previously reported and have similar zwitterion geometries [29,30].
Figure 4.
Contents of the asymmetric unit of free acid species H18. Note protonation at the aromatic N atom, N3.
Figure 5.
Contents of the asymmetric unit of the hydronium salt form isolated as the “free acid” form of H8. Although the [H3O]+ formulation has been used herein, the distance from O3W to the acidic H is 1.43 Å and so a cluster formulation such as [H5O2]+ is also feasible.
Discussion of the supramolecular structure of salt forms of sulfonated azo colourants highlighted their layered packing structures [5,6,15]. These layering features were broadly speaking a result of having an approximately linear organic linker with polar head and tail groups. Here the commonest free acid form, the one with protonation at the azo group, breaks from this description by having a formally charged NH group at the azo core. Thus, these species do not form layered structures. The NH3 bearing H9 does have polar groups only at the head and tail of the molecule, and it does form layered structures both for the monohydrate described herein and in its differently hydrated literature structures, Figure 6. The hydronium salt of H8 also has no central azo NH group. This structure is a channel hydrate with channels of OHx units propagating parallel to the crystallographic a direction but with no layering.
Figure 6.
Packing diagram of H9.H2O viewed along the c axis. Note the polar and non-polar layers lying parallel to the ac plane.
For the 14 free acid forms with protonation of the azo group, there are only a few supramolecular features that occur in multiple structures. For 12 of the 14, the azo NH acts as a hydrogen bond donor to an O atom of a sulfonate group. For the species with SO3 ortho to the azo bond, this is an intramolecular hydrogen bond that forms a 6-membered OSCCNH ring. The exceptions are the two species with both NH2 and OMe substituents, 10 and 11. In the structure of H10.2H2O the azo NH takes part only in an intramolecular hydrogen bond with the O atom of the OMe group acting as the acceptor. In the structure of H11.3H2O the azo NH group acts as a hydrogen bond donor to a water molecule. 7 of these 14 structures are anhydrous and of these the 4 with aromatic OH substituents all have related hydrogen bonding motifs. The structures of H1 and of both polymorphs of H4 have the same 1-dimensional hydrogen bonded motif formed from R33(20) structures, see Figure 7 for an illustration. Structure H5 has the same core motif but the extra hydroxy substituent leads to an additional R44(20) motif and to an increase in the dimensionality of the hydrogen bonding. There are no hydrogen bonding motifs common to the hydrated free acid structures or to the anhydrous amine based structures.
Figure 7.
Part of the 1-dimensional hydrogen bonding network formed from R33(20) rings. This example is drawn from the α polymorph of H4, but is common to all the anhydrous free acid forms with protonation of the azo group and an OH substituent on an aromatic ring.
The two polymorphic forms of H4 were prepared despite separate but seemingly identical aqueous recrystallisations, and are of particular interest as they have very similar packing structures. As well as the similar hydrogen bonding noted above, they also form similar stacked structures. The main difference between the two forms seems to be a small difference in the dihedral angles between the planes of the aromatic rings (25.85(10) vs. 15.79(8)° for α and β forms respectively). Often such close structural similarities are related to a fast, low activation energy transformation of one phase to the other [33,34]. However, here, both phases seem to be stable both with respect to time (samples were kept and re-measured after 6 years) and with respect to temperature (both forms were stable from 100 to 293 K according to diffraction data, and DSC/TGA measurements from room temperature upwards showed only a decomposition event that started at 538 K).
3.3. Structures of Forms Containing Dianions
In earlier studies, a wide variety of salt forms of monosulfonated azo dyes were formed [5,6,7]. During this work, two structures containing di-deprotonated azo ions were unexpectedly obtained, [Ba(17*)(OH2)5] and [K3(3)(3*)(OH2)], Figure 8 and Figure 9. In both cases, only a few crystals of the named products were obtained after accidental addition of excess metal hydroxide to aqueous solutions of the dye. Attempts to rationally reproduce these results or to produce similarly di-deprotonated species using other metal hydroxides and OH bearing azo species were largely unsuccessful. Commonly such preparations gave viscous oils and/or solid materials with extremely small particle sizes. However, one preparation using an aqueous solution of dye Na1 with pH raised above 10 by addition of NaOH did give suitable crystals after vapour diffusion of acetone into the sample. These crystals were found to be [Na2(1*)(OH2)4(acetone)], Figure 10. Of the three dianion containing structures, that of [Ba(17*)(OH2)5] is least illuminating to the discussion below as the deprotonated ROH group is remote from the azo chromophore. From the literature [5,6,9,15], a Ba salt of a sulfonated azo anion should give a discrete complex or a low dimensional coordination polymer that propagates through Ba-SO3-Ba bridges. In these literature-species water ligands are always terminal. However, Ba17* is different, as here the azo is dianionic and, thus, the Ba:azo ligand ratio is doubled. This structure is a 2-dimensional coordination polymer and, moreover, is one where Ba-O-Ba bridges only involve water O atoms and not sulfonate O atoms. A final structural point of note is that only one of the two ethanol derived arms of the amine group bonds to Ba, and surprisingly it is the protonated CH2CH2OH group that does so rather than the formally charged CH2CH2O group. This latter O atom instead acts as an acceptor to 4 hydrogen bonds.
Figure 8.
Part of the 2-dimensional coordination polymer structure of [Ba(17*)(OH2)5]. Propagation of the polymer is through Ba-O-Ba bridges parallel to the a direction and through head and tail bonding of the azo ligand parallel to the bc diagonal. H atoms are omitted for clarity. Green = Ba.
Figure 9.
Contents of the asymmetric unit of the 2-dimensional coordination polymer [K3(3)(3*)(OH2)]. Both K2 and K3 interact with azo bonds and all three K centres form π bonds to aromatic groups.
Figure 10.
Packing view of the 2-dimensional coordination polymer [Na2(1*)(OH2)4(acetone)], viewed down the crystallographic a direction and showing interdigitation of three polymeric units. H atoms omitted for clarity.
The asymmetric unit of [K3(3)(3*)(OH2)] contains three K centres, a bridging water ligand and two azo units. Formally, and in the crystallographic model presented, one of these azo units has a phenol group and one a deprotonated phenoxide group. However, as is often the case with such mixed ROH…OR species [35,36], the H atom is located between two O atoms with a short O…O contact (2.470(2) Å). This often indicates a dynamic equilibrium with the H atom shared between both sites [37,38]. Arguing against such a shared arrangement are the two different C-O distances (1.339(2) and 1.324(2) Å). The outstanding unusual feature of this structure’s coordination are the K-N interactions and the π-geometry contacts between K centres and aromatic rings. No M-N(azo) contacts have been observed for any of the reported simple salt forms of s-block metal complexes of sulfonated azo dyes [5,6]; although the structure of Ag1 does have a Ag(I) to azo contact [27]. Neither in the salt structures do the metal centres normally form short π-geometry interactions with aryl rings [5,6]; for sulfonated azos, such interactions have only been seen for Cs and Ag(I) [5,9]. Here all three independent K centres make π interactions with aromatic groups and two of the K centres bond to an azo N atom. In detail, of the three crystallographically independent K centres, one makes a K to π interaction with the phenoxide ring (K-C 3.279(2) Å), one makes π geometry interactions with a phenol ring and a σ geometry interaction with the azo group of the same anion (K-C 3.210(2), K-N 3.2769(18) Å), and the third makes π geometry interactions with both the azo group of the dianion (K-N 3.3294(19) Å), and with the phenol ring of the anion (K-C 3.071(2) Å). Whilst all these interactions are generally longer than the K-O dative bonds that are also present (range 2.5889(18) to 3.0963(17) Å), they are obviously significant. Note that, given the large variations in bond length typical for coordination to K, the σ and π geometry K-N interactions are rather similar in length despite their different geometries. The overall result is a 2-dimensional coordination polymer with water ligands bridging between K centres. Despite the unusual bonding types observed, this is similar to the general structural type observed for K salts of simple sulfonated azo anions [5,6].
The odd coordination behaviour of [K3(3)(3*)(OH2)] may be related to the high metal:azo ratio and the increased negative charge on the azo dianion. The solvate [Na2(1*)(OH2)4(acetone)] also features an azo dianion and has an even higher metal:azo ratio. However, it also features a smaller metal ion and a large number of donor solvent molecules. These features combine to give a structure that does not show any Na to π interactions or any Na-N bonding. Each Na centre has a simple O6 coordination shell. Interestingly, like [Ba(17*)(OH2)5], the deprotonated hydroxy group does not form a coordination bond despite its formal charge. Again as in [Ba(17*)(OH2)5] this O atom accepts 4 hydrogen bonds. The acetone ligand and one of the water ligands are terminal with the other three water ligands bridging between Na centres. Together with Na-SO3-Na bridges, these give a 2-dimensional coordination polymer.
4. Discussion
Comparison of Azo Geometries of Free Acids, Anions, and Dianions
There are three main effects to be considered here that will systematically change the geometry of a substituted azobenzene based dye. These are push-pull effects, the effects of azo to hydrazone tautomerisation, and the effects of protonation. See Scheme 2, Scheme 3 and Scheme 4 for illustrations.
Scheme 2.
Resonance forms related to electron donating “push” of the substituent para to the azo bond.
Scheme 3.
Potential tautomeric forms for dyes with OH substituent ortho to the azo bond.
Scheme 4.
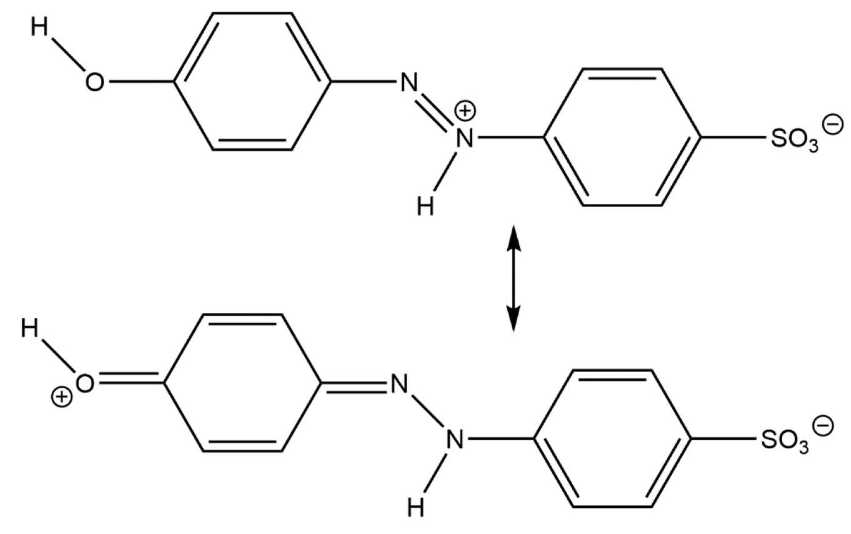
Resonance forms of free acid H1.
Push–pull effects are widely cited as an important mechanism for understanding how various substituents alter the colour of a dye [39,40,41]. Of importance, here is the idea that an electron donating group para to the azo bond will effectively lengthen the azo bond, Scheme 2, and so give rise to a bathochromatic colour shift. The stronger the resonance electron donating power of the substituent, then the larger these effects should be. To measure this effect on bond lengths in the series of dyes above, a structure of azobenzene was used as a base line [42]. For each of the 8 available Na salt forms, the bond lengths of azobenzene (using the values from the centrosymmetric molecule 2 of structure AZOBEN13) were subtracted from the equivalent bond lengths for the salt’s anion. For each Na salt, the pattern of bond lengthening and shortening expected from Scheme 2 and Scheme 3 is discernible, see Figure 11. Taken as a group this is quite convincing; however, most individual differences are below the statistically significant 3σ cut-off. The only structures that show robustly large, statistically significant differences are the two NR2 species Na12 and Na15 and the dihydroxy species Na5. The Na salts of the phenol derivatives 1, 2, 3 and 4 and of the NH2 derivative 9 all show much smaller differences. Taking an anion from Na15 as an example, an azo bond length increase of 0.018(3) Å is accompanied by the C-N(azo) bond to the amine bearing ring decreasing by a similar amount, 0.017(4)Å. The double bonds of the quinone fragment shown in Scheme 2 are both 0.018(4) Å shorter in Na15 than in azobenzene. The single bonds subtending the amine are 0.028(4) and 0.022(4) Å longer than azobenzene, but this large difference is less informative as it includes the direct effect of substituting H for N(CH2CH2OH)2 as well as the resonance effect. The structure of Na12 shows similar bond length changes at the azo group but somewhat smaller changes in the aromatic ring. These changes are apparently in line with theory in that the amine groups with a strong resonance electron donating ability (Hammett constants −0.83, −0.72) give larger effects than the weaker donor group OH (Hammett constant −0.37) [43]. The problem is the structure of Na9. With a NH2 substituent (Hammett constant −0.66) the bond length changes should lie between those seen for say Na1 and Na15, but they do not. Only the C-N(azo) bond deviation fits this description, with all other changes being equal to or less than those seen for the phenol derivatives. At 1.249(3) Å the azo bond of Na9 is as short as any reported herein [17]. One possibility is that the structure is inaccurate. As with stilbenes, the structures of azobenzene units are often disordered by a rotation about a 2-fold axis [42,44]. Indeed some Na salt structures (Na13, Na17) have been omitted from this work due to just such a disorder problem making their geometric parameters unreliable. An unidentified minor disorder component in Na9 could give an unreliable azo bond length. The structure of Na9 has, thus, been re-examined in detail. There are no signs of unresolved disorder (no residual electron density about the azo bond and no unusual displacement ellipsoids). The lack of resonance push effect may thus be due to the NH2 group forming a dative bond to Na (Na-N 2.525(3) Å). The N atom is tetrahedral, and the implied involvement of the N lone pair in bonding to Na may here prevent the expected resonance effect.
Figure 11.
Selected bond length differences between Na salts and azobenzene (Na salt–azobenzene). For atom numbering, see Figure 2.
The significant changes in bond length seen for Na5, Table 2, come about not from a push pull mechanism but through the tautomeric effects seen in Scheme 3. Here the changes in length of the azo fragment are larger than those seen above, and fit well with the presence of some proportion of hydrazone tautomer [45]. It is interesting that for all known structures of sulfonated azo dyes with OH ortho to the azo bond, those based on phenol rings are found to exist as the azo form whilst those based on napthol ring systems exist as hydrazone forms [5,10,15]. It has been noted that for related hydrazone species the largest bond length change comes not for the azo bond but for the C7-N2 bond [10,15]; this is also true for Na5.
Table 2.
Bond length differences between Na5 and azobenzene (Na5–azobenzene).
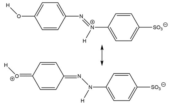
One use for sulfonated azo dyes is as acid-base indicators. Compounds such as methyl orange, Na12, are well known to change colour markedly at low pH. As shown in the structures discussed above and in Scheme 4, this is due to protonation of the azo N atom closer to the SO3 group. Scheme 4 shows the pattern of bond lengthening and shortening expected upon such protonation. Examination of the free acid structures shows that such distortions do occur in the solid state, with the largest changes being at the N=N, N-C7 and C10-X (X = O or N) bonds. The N=N and N-C7 bond lengths are shown in Figure 12. It can be seen that dyes with NR2 substituents have longer N=N bonds and shorter N-C7 bonds than dyes with OH substituents and that H8 and H9 are different. These latter differences are simply because these are the two free acid forms that do not protonate at the azo group, H8 is the hydronium species and H9 has a protonated NH3 substituent. The C-N-N angles also change upon protonation of the azo. For these free acid forms, the C-N-N angles are 3.1 to 7.9° wider than in the equivalent Na salts.
Figure 12.
Bond lengths for N=N and N-C7 for all known free acid forms of monosulfonated azo dyes. The group para to azo for compounds 1 to 8 is OH, for 9 to 11 is NHx, 12 is NMe2, 13 and 14 is NEt2, and for 15 and 16 is N(CH2CH2OH)2.
An interesting result is obtained on subtracting the bond lengths of the Na salt forms from those of the azo protonated free acid forms, Figure 13. These differences are larger than those seen for push–pull substituent effects, and larger than those caused by tautomerisation in Na5 (compare a maximum change upon protonation of 0.083(5) Å with maximum changes of 0.028(4) and 0.039(4) Å for push–pull substituent effects and tautomerisation respectively). This effect is greater for NR2 substituted species than it is for OH species.
Figure 13.
Difference in N-N and N-C7 bond lengths (Free Acid – Na Salt) for dyes where the free acid form is protonated on the azo N atom. There is no known Na salt crystal structure for similar dyes that have no entry. Dyes 1 to 5 have an OH substituent para to the azo group, dye 12 NMe2, and dyes 15 and 16 N(CH2CH2OH)2. Differences for 5 are relatively small as Na5 already has relatively short/long bonds due to its intramolecular hydrogen bond and resulting tautomeric forms. This intramolecular interaction does not occur in the free acid form H5. Errors on differences are ±0.007 Å for 16, ±0.005 Å for 3 and 12 and ±0.004 Å for all others.
In the three salts containing azo dianions, the azo bond lengths are systematically longer than those in the equivalent Na salt containing the anionic dye (difference range 0.009 to 0.021 Å) and the N-C7 bonds are in general slightly shorter. The azo bonds are thus approximately the same length as those in the equivalent free acid forms, but do not have the large decreases in N-C7 bond length seen for the free acid forms. Both on protonation and with respect to tautomerisation effects, the N-C7 bond changes more than the azo bond [10]. However, on dideprotonation, it is the azo bond that is most changeable. The azo bond length ranges are 1.251(4) to 1.268(3) and 1.269(2) to 1.316(3) Å for simple Na salts and azo protonated free acids respectively. This compares to a range of 1.267(2) to 1.274(5) Å for the dianionic forms. For the phenoxide species, the bond lengths are comparable to those in Na12. This fits with the approximately equal Hammett values of NMe2 and O− (−0.83 and −0.81). The C-N-N angles are similar to those in the anionic Na salt forms and different from those in the protonated azo free acid forms.
An obvious feature of all the dianionic forms is that they have very twisted conformations, with dihedral angles between the planes of the two aromatic rings ranging from 36.85(13) to 50.86(8)°. In contrast, most of the anionic and free acid forms are relatively planar, with only Na2, Na16, H1, and H4 (α form) having twist angles greater than 20°. In studies of ortho sulfonated azo salt forms, highly twisted conformations have been shown to be molecular deformations caused by the need to adopt twisted geometries in order to access desirable coordination modes [5,15]. As all three dianionic species have higher than normal metal:azo ratios and thus have a large number of dative bonds, it is possible that the twisted conformations seen here are also associated with conformational changes needed to allow effective coordination to multiple metal centres.
5. Conclusions
For monosulfonated azo dyes, it has been shown that the commonest free acid form is that with protonation at the azo N atom closer to the sulfonate group. This widens the C-N-N angles and gives predictable bond lengthening and shortening which is of a greater size than similar effects caused by azo-hydrazone tautomerisation, which are in turn greater than the effects caused by the resonance electron donation of O or N based substituents. If other more basic substituents are present then these may be protonated in place of the azo. Finally, the only example with an electron withdrawing nitro group features a non-protonated azo anion with the acidic proton been borne by a hydronium cation. In neither of these latter cases are large bond length effects observed. An interesting detail is that those azo protonated free acid forms with amine substituents seem to display larger bond length changes on protonation than do those with OH substituents, even having corrected for the differing resonance effects of these groups.
For the azo anions larger bond length effects due to electron donation are associated with NR2 groups as compared to OH groups. The exception is Na9 where the NH2 group does not appear to give the expected effect. This is perhaps due to NH2 to Na bonding competing with electron donation from N to the azo. The first examples of solid-state structures of monosulfonated azo dianions are presented. The bond lengths of these species are approximately as would be expected considering the electron donating power of the phenoxide O atom. With relatively high metal:azo ratios all the dianionic forms are multiply connected coordination polymers of general types seen previously for the heaviest group 1 salt forms of monosulfonated azo anions [5,6]. The structure of [K3(3)(3*)(OH2)] features both K to azo bonds and short K to aryl π contacts—bonding features that are not seen in the salt structures of simple related anions.
Supplementary Materials
The following are available online at https://www.mdpi.com/2073-4352/10/8/662/s1, Crystallographic data in cif format.
Author Contributions
Conceptualization, A.R.K.; formal analysis, A.R.K.; investigation (sample preparation and crystallographic measurement), A.R.K., L.K.C., J.B.A.K., K.M.M., O.P., E.S., S.J.T., J.E.W.; writing—original draft preparation, A.R.K. All authors have read and agreed to the published version of the manuscript.
Funding
This work received no external funding beyond that noted in the acknowledgments below.
Acknowledgments
The authors wish to thank the EPSRC and Fujifilm for funding a studentship (J.B.A.K.) and the CCLRC for providing beamtime awards to work at Daresbury SRS. We also thank the NCS, University of Southampton for data collection on structures H11, H14, and H16.
Conflicts of Interest
The authors declare no conflict of interest. The funders had no role in the design of the study; in the collection, analyses, or interpretation of data; in the writing of the manuscript, or in the decision to publish the results.
References
- Zollinger, H. Color Chemistry. Synthesis, Properties, and Applications of Organic Dyes and Pigments, 3rd ed.; Pub. Wiley-VCH: Weinheim, Germany, 2003. [Google Scholar]
- Christie, R.M. Colour Chemistry, 2nd ed.; Pub. RSC: Cambridge, UK, 2015. [Google Scholar]
- Hunger, K.; Gregory, P.; Meiderer, P.; Berneth, H.; Heid, C.; Mennicke, W. Important Chemical Chromphores of Dye Classes. In Industrial Dyes: Chemistry, Properties, Applications; Hunger, K., Ed.; Pub. Wiley-VCH: Weinheim, Germany, 2003. [Google Scholar]
- Gung, B.W.; Taylor, R.T. Parallel combinatorial synthesis of Azo dyes—A combinatorial experiment suitable for undergraduate laboratories. J. Chem. Educ. 2004, 81, 1630–1632. [Google Scholar] [CrossRef]
- Kennedy, A.R.; Andrikopoulos, P.C.; Arlin, J.-B.; Armstrong, D.R.; Duxbury, N.; Graham, D.V.; Kirkhouse, J.B.A. Supramolecular Structure in s-Block Metal Complexes of Sulfonated Monoazo Dyes: Discrepant Packing and Bonding Behavior of ortho-Sulfonated Azo Dyes. Chem. Eur. J. 2009, 15, 9494–9504. [Google Scholar] [CrossRef] [PubMed]
- Kennedy, A.R.; Kirkhouse, J.B.A.; McCarney, K.M.; Puissegur, O.; Smith, W.E.; Staunton, E.; Teat, S.J.; Cherryman, J.C.; James, R. Supramolecular motifs in s-block metal-bound sulfonated monoazo dyes, Part 1: Structural class controlled by cation type and modulated by sulfonate aryl ring position. Chem. Eur. J. 2004, 10, 4606–4615. [Google Scholar] [CrossRef]
- Astbury, C.; Conway, L.K.; Gillespie, C.; Hodge, K.; Innes, E.; Kennedy, A.R. A structural study of seven salt forms of sulfonated azo dyes containing nitrile functional groups. Dyes Pigments 2013, 97, 100–104. [Google Scholar] [CrossRef]
- Ojala, W.H.; Lu, L.K.; Albers, K.E.; Gleason, W.B.; Richardson, T.I.; Lovrien, R.E.; Sudbeck, E.A. Intermolecular interactions of sulfonated azo dyes – crystal structures of the diammonium, dilithium, magnesium and calcium salts of 7-hydroxy-8-(phenylazo)-1,3-naphthalenedisulfonic acid (Orange-G). Acta Crystallogr. Sect. B 1994, 50, 684–694. [Google Scholar] [CrossRef]
- Kennedy, A.R.; Kirkhouse, J.B.A.; Whyte, L. Supramolecular motifs in s-block metal-bound sulfonated Monoazo dyes: The case of Orange, G. Inorg. Chem. 2006, 45, 2965–2971. [Google Scholar] [CrossRef]
- Black, D.T.; Kennedy, A.R.; Lobato, K.M. Disulfonated azo dyes: Metal coordination and ion- pair separation in twelve M-II compounds of Ponceau Xylidine and Crystal Scarlet. Acta Crystallogr. Sect. C 2019, 75, 633–642. [Google Scholar] [CrossRef]
- Kennedy, A.R.; McNair, C.; Smith, W.E.; Chisholm, G.; Teat, S.J. The first red azo lake pigment whose structure is characterized by single crystal diffraction. Angew Chem. Int. Ed. 2000, 39, 638–640. [Google Scholar] [CrossRef]
- Beko, S.L.; Hammer, S.M.; Schmidt, M.U. Crystal Structures of the Hydration States of Pigment Red 57:1. Angew. Chem. Int. Ed. 2012, 51, 4735–4738. [Google Scholar] [CrossRef]
- Schmidt, M.U.; van de Streek, J.; Ivashevskaya, S.N. The First Crystal Structures of Industrial Laked Yellow Pigments Determined by X-ray Powder Diffraction. Chem. Eur. J. 2009, 15, 338–341. [Google Scholar] [CrossRef]
- Gorelik, T.; Schmidt, M.U.; Bruning, J.; Beko, S.; Kolb, U. Using Electron Diffraction to Solve the Crystal Structure of a Laked Azo Pigment. Cryst. Growth Des. 2009, 9, 3898–3903. [Google Scholar] [CrossRef]
- Kennedy, A.R.; Stewart, H.; Eremin, K.; Stenger, J. Lithol Red: A Systematic Structural Study on Salts of a Sulfonated Azo Pigment. Chem. Eur. J. 2012, 18, 3064–3069. [Google Scholar] [CrossRef] [PubMed]
- Grzesiak-Nowak, M.; Oszajca, M.; Rafalska-Lasocha, A.; Goszczycki, P.; Ostrowska, K.; Lasocha, W. Crystal structure studies of selected lithol red salts with the use of powder diffraction data. Dyes Pigments 2019, 160, 252–258. [Google Scholar] [CrossRef]
- Kennedy, A.R.; Hughes, M.P.; Monaghan, M.L.; Staunton, E.; Teat, S.J.; Smith, W.E. Supramolecular motifs in s-block metal bound sulfonated monoazo dyes. J. Chem. Soc. Dalton Trans. 2001, 2199–2205. [Google Scholar] [CrossRef]
- Cernik, R.J.; Clegg, W.; Catlow, C.R.A.; Bushnell-Wye, G.; Flaherty, J.V.; Greaves, G.N.; Hamichi, M.; Burrows, I.; Taylor, D.J.; Teat, S.J. A new high-flux chemical and materials crystallography station at the SRS Daresbury. 1. Design, construction and test results. J. Synchrotron Rad. 1997, 4, 279–286. [Google Scholar] [CrossRef]
- Coles, S.J.; Gale, P.A. Changing and challenging times for service crystallography. Chem. Sci. 2012, 3, 683–689. [Google Scholar] [CrossRef]
- Altomare, A.; Cascarano, G.; Giacovazzo, C.; Guagliardi, A.; Burla, M.C.; Polidori, G.; Camalli, M. SIR92—A program for automatic solution of crystal structures by direct methods. J. Appl. Cryst. 1994, 27, 435. [Google Scholar] [CrossRef]
- Sheldrick, G.M. Crystal structure refinement with SHELXL. Acta Crystallogr. Sect. C. 2015, 71, 3–8. [Google Scholar] [CrossRef]
- Farrugia, L.J. WinGX and ORTEP for Windows: An update. J. Appl. Cryst. 2012, 45, 849–854. [Google Scholar] [CrossRef]
- Macrae, C.F.; Edgington, P.R.; McCabe, P.; Pidcock, E.; Shields, C.P.; Taylor, R.; Towler, M.; van de Streek, J. Mercury: Visualization and analysis of crystal structures. J. Appl. Crystallogr. 2006, 39, 453–457. [Google Scholar] [CrossRef]
- Burke, N.J.; Burrows, A.D.; Mahon, M.F.; Teat, S.J. Incorporation of sulfonate dyes into hydrogen-bonded networks. CrystEngComm 2004, 6, 429–436. [Google Scholar] [CrossRef]
- Ehlinger, N.; Perrin, M. 4-(4-Hydroxy-3,5-dimethylphenylazo)-benzenesulfonic acid. Acta Crystallogr. Sect. C 1995, 51, 1846–1849. [Google Scholar] [CrossRef]
- Oh, I.-H.; Park, S.-H. Crystal structure of (E)-4-(2-(4-(diethylamino)phenyl)diazen-1-ium-1-yl) benzenesulfonate monohydrate. Z. Kristallogr. New Struct. 2016, 231, 409–410. [Google Scholar] [CrossRef][Green Version]
- Dodds, C.A.; Hobday, C.L.; Kennedy, A.R.; McKellar, S.C.; Smillie, K.; Walls, A. Ag(I) bipyridyl coordination polymers containing functional anions. New J. Chem. 2017, 41, 1574–1581. [Google Scholar] [CrossRef]
- Steed, K.M.; Steed, J.W. Packing Problems: High Z’ Crystal Structures and Their Relationship to Cocrystals, Inclusion Compounds, and Polymorphism. Chem. Rev. 2015, 115, 2895–2933. [Google Scholar] [CrossRef]
- Miyano, T.; Sakai, T.; Hisaki, I.; Ichida, H.; Kanematsu, Y.; Tohnai, N. Hierarchical construction of SHG-active polar crystals by using multi-component crystals. Chem. Commun. 2016, 52, 13710–13713. [Google Scholar] [CrossRef]
- Lu, J.; Gao, S.-Y.; Lin, J.-X.; Shi, L.-X.; Cao, R.; Batten, S.R. Systematic investigation on the coordination chemistry of a sulfonated monoazo dye: Ligand-dominated d- and f-block derivatives. Dalton Trans. 2009, 1944–1953. [Google Scholar] [CrossRef] [PubMed]
- Nelyubina, Y.V.; Barzilovich, P.Y.; Antipin, M.Y.; Aldoshin, S.M.; Lyssenko, K.A. Cation-p and Lone Pair-p Interactions Combined in One: The First Experimental Evidence of (H3O-lp)···π-System Binding in a Crystal. Chem. Phys. Chem. 2011, 12, 2895–2898. [Google Scholar] [CrossRef] [PubMed]
- Yu, Y.-H.; Qian, K.; Wong, X.C. Synthesis, Structure, Photoluminescence and Thermal Properties of Sodium Ethene-Bis-Nitrobenzenesulfonate. Z. Anorg. Allg. Chem. 2012, 638, 2310–2316. [Google Scholar] [CrossRef]
- Vrcelj, R.M.; Shepherd, E.A.E.; Yoon, C.-S.; Sherwood, J.N.; Kennedy, A.R. Preparation and structural evaluation of the conformational polymorphs of alpha-[(4-methoxyphenyl)methylene]- 4-nitrobenzeneacetonitrile. Cryst. Growth Des. 2002, 2, 609–617. [Google Scholar] [CrossRef]
- Shankland, N.; David, W.I.F.; Shankland, K.; Kennedy, A.R.; Frampton, C.S.; Florence, A.J. Structural transformations in zopiclone. Chem. Commun. 2001, 2204–2205. [Google Scholar] [CrossRef] [PubMed]
- Barczynski, P.; Komasa, A.; Ratajczak-Sitarz, M.; Katrusiak, A.; Brzezinski, B. X-ray and spectroscopic studies of the molecular structure of bis(8-oxy-1-methylquinolinium) hydroiodide. J. Mol. Struct. 2006, 800, 135–139. [Google Scholar] [CrossRef]
- Pan, F.; Shing Wong, M.; Gramlich, V.; Bosshard, C.; Gunter, P. Crystal engineering based on short hydrogen bonds; Cocrystallization of a highly nonlinear optical merocyanine dye with nitrophenol derivatives. Chem. Commun. 1996, 1557–1558. [Google Scholar] [CrossRef]
- Eberlin, A.R.; Eddleston, M.D.; Frampton, C.S. Methanesulfonic acid salt forms of carbamazepine and 10,11-dihydrocarbamazepine. Acta Crystallogr. Sect. C. 2013, 69, 1260–1266. [Google Scholar] [CrossRef] [PubMed]
- Cruickshank, L.; Kennedy, A.R.; Shankland, N. Tautomeric and ionisation forms of dopamine and tyramine in the solid state. J. Mol. Struct. 2013, 1051, 132–136. [Google Scholar] [CrossRef]
- Parker, T.C.; Marder, S.R. Synthetic Methods in Organic Electronic and Photonic Materials; Pub RSC: Cambridge, UK, 2008; ISBN 978-1-84973-986-3. [Google Scholar]
- Kleinpeter, E.; Bolke, U.; Kreicberga, J. Quantification of the push-pull character of azo dyes and a basis for their evaluation as potential nonlinear optical materials. Tetrahedron 2010, 66, 4503–4509. [Google Scholar] [CrossRef]
- Dostanic, J.; Mijin, D.; Uscumlic, G.; Jovanovic, D.M.; Zlatar, M.; Loncarevic, D. Spectroscopic and quantum chemical investigations of substituent effects on the azo-hydrazone tautomerism and acid-base properties of arylazo pyridone dyes. Spectrochim. Acta A Mol. Biomol. Spec. 2014, 123, 37–45. [Google Scholar] [CrossRef]
- Harada, J.; Ogawa, K. X-ray diffraction analysis of nonequilibrium states in crystals: Observation of an unstable conformer in flash-cooled crystals. J. Am. Chem. Soc. 2004, 126, 3539–3544. [Google Scholar] [CrossRef]
- Hansch, C.; Leo, A.; Taft, R.W. A survey of Hammett substituent constants and resonance and field parameters. Chem. Rev. 1991, 91, 165–195. [Google Scholar] [CrossRef]
- Burke, N.J.; Burrows, A.D.; Mahon, M.F.; Warren, J.E. Incorporation of dyes into hydrogen-bond networks: The structures and properties of guanidinium sulfonate derivatives containing ethyl orange and 4-aminoazobenzene-4’-sulfonate. Cryst. Growth Des. 2006, 6, 546–554. [Google Scholar] [CrossRef]
- Ball, P.; Nicholls, C.H. Azo-hydrazone tautomerism of hydroxyl-azo compounds—A review. Dyes Pigment. 1982, 3, 5–26. [Google Scholar] [CrossRef]
© 2020 by the authors. Licensee MDPI, Basel, Switzerland. This article is an open access article distributed under the terms and conditions of the Creative Commons Attribution (CC BY) license (http://creativecommons.org/licenses/by/4.0/).

















