Antiferroelectric Bent-Core Liquid Crystal for Possible High-Power Capacitors and Electrocaloric Devices
Abstract
1. Introduction
2. Materials and Methods
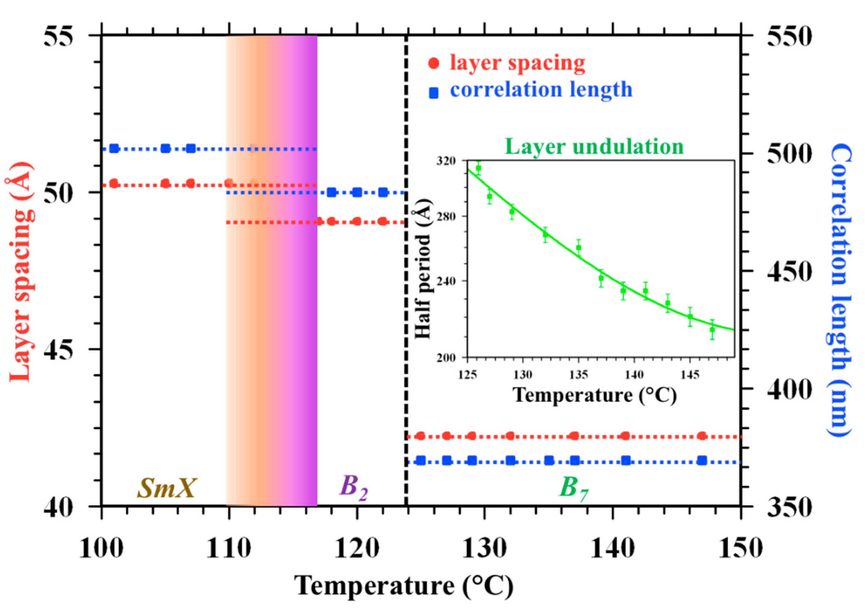
3. Results and Discussion
4. Conclusions
Author Contributions
Funding
Acknowledgments
Conflicts of Interest
References
- Park, J.; Lee, Y.; Ha, M.; Cho, S.; Ko, H. Micro/nanostructured surfaces for self-powered and multifunctional electronic skins. J. Mater. Chem. B 2016, 4, 2999–3018. [Google Scholar] [CrossRef] [PubMed]
- Lee, Y.; Park, J.; Cho, S.; Shin, Y.-E.; Lee, H.; Kim, J.; Myoung, J.; Cho, S.; Kang, S.; Baig, C.; et al. Flexible Ferroelectric Sensors with Ultrahigh Pressure Sensitivity and Linear Response over Exceptionally Broad Pressure Range. ACS Nano 2018, 12, 4045–4054. [Google Scholar] [CrossRef] [PubMed]
- Muralt, P. Ferroelectric thin films for micro-sensors and actuators: A review. J. Micromech. Microeng. 2000, 10, 136–146. [Google Scholar] [CrossRef]
- Varga, M.; Morvan, J.; Diorio, N.; Buyuktanir, E.; Harden, J.; West, J.L.; Jákli, A. Direct piezoelectric responses of soft composite fiber mats. Appl. Phys. Lett. 2013, 102, 153903. [Google Scholar] [CrossRef]
- Miyajima, D.; Araoka, F.; Takezoe, H.; Kim, J.; Kato, K.; Takata, M.; Aida, T. Ferroelectric Columnar Liquid Crystal Featuring Confined Polar Groups Within Core-Shell Architecture. Science 2012, 336, 209–213. [Google Scholar] [CrossRef]
- Basic Research Needs for Electrical Energy Storage. Available online: https://www.chem.uci.edu/~lawm//Basic%20Research%20Needs%20for%20Electrical%20Energy%20Storage.pdf (accessed on 7 July 2020).
- Parfomak, P.W. Energy Storage Technologies for Power Grids and Electric Transportation. Available online: http://abaque.com.br/wp-content/uploads/2017/07/R42455.pdf (accessed on 7 July 2020).
- Zhang, S.; Pan, N. Supercapacitors Performance Evaluation. Adv. Energy Mater. 2014, 5, 1401401. [Google Scholar] [CrossRef]
- Shao, Y.; El-Kady, M.F.; Sun, J.; Li, Y.; Zhang, Q.; Zhu, M.; Wang, H.; Dunn, B.; Kaner, R.B. Design and Mechanisms of Asymmetric Supercapacitors. Chem. Rev. 2018, 118, 9233–9280. [Google Scholar] [CrossRef]
- Young, S.E. Thermally and Electrically Induced Antiferroelectric ↔ Ferroelectric Transition in Perovskite Ceramics for Use in High Energy Density Capacitors. Available online: http://citeseerx.ist.psu.edu/viewdoc/download?doi=10.1.1.843.8633&rep=rep1&type=pdf (accessed on 7 July 2020).
- Chauhan, A.; Patel, S.; Vaish, R.; Bowen, C.R. Anti-Ferroelectric Ceramics for High Energy Density Capacitors. Materials 2015, 8, 8009–8031. [Google Scholar] [CrossRef]
- Takezoe, H.; Eremin, A. Bent-Shaped Liquid Crystals—Structures and Physical Properties, 1st ed.; Taylor & Francis: Boca Raton, FL, USA, 2017. [Google Scholar]
- Takezoe, H.; Takanishi, Y. Bent-Core Liquid Crystals: Their Mysterious and Attractive World. Jpn. J. Appl. Phys. 2006, 45, 597–625. [Google Scholar] [CrossRef]
- Eremin, A.; Jákli, A. Polar bent-shape liquid crystals—From molecular bend to layer splay and chirality. Soft Matter 2013, 9, 615–637. [Google Scholar] [CrossRef]
- Jákli, A.; Lavrentovich, O.D.; Selinger, J.V. Physics of liquid crystals of bent-shaped molecules. Rev. Mod. Phys. 2018, 90, 045004. [Google Scholar] [CrossRef]
- Tschierske, C.; Dantlgraber, G. From antiferroelectricity to ferroelectricity in smectic mesophases formed by bent-core molecules. Pramana 2003, 61, 455–481. [Google Scholar] [CrossRef]
- Pelzl, G.; Diele, S.; Weissflog, W. Banana-Shaped Compounds—A New Field of Liquid Crystals. Adv. Mater 1999, 11, 707–724. [Google Scholar] [CrossRef]
- Ros, M.B.; Serrano, J.L.; De La Fuente, M.R.; Folcia, C.L. Banana-shaped liquid crystals: A new field to explore. J. Mater. Chem. 2005, 15, 5093. [Google Scholar] [CrossRef]
- Link, D.R.; Natale, G.; Shao, R.; MacLennan, J.E.; Clark, N.A.; Körblova, E.; Walba, D.M. Spontaneous Formation of Macroscopic Chiral Domains in a Fluid Smectic Phase of Achiral Molecules. Science 1997, 278, 1924–1927. [Google Scholar] [CrossRef]
- Reddy, R.A.; Tschierske, C. Bent-core liquid crystals: Polar order, superstructural chirality and spontaneous desymmetrisation in soft matter systems. J. Mater. Chem. 2006, 16, 907–961. [Google Scholar] [CrossRef]
- Bedel, J.P.; Rouillon, J.C.; Marcerou, J.-P.; Laguerre, M.; Nguyen, H.T.; Achard, M.F. Novel mesophases in fluorine substituted banana-shaped mesogens. Liq. Cryst. 2000, 27, 1411–1421. [Google Scholar] [CrossRef]
- Walba, D.M. A Ferroelectric Liquid Crystal Conglomerate Composed of Racemic Molecules. Science 2000, 288, 2181–2184. [Google Scholar] [CrossRef]
- Reddy, R.A.; Sadashiva, B.K. Ferroelectric properties exhibited by mesophases of compounds composed of achiral banana-shaped molecules. J. Mater. Chem. 2002, 12, 2627–2632. [Google Scholar] [CrossRef]
- Keith, C.; Reddy, R.A.; Hauser, A.; Baumeister, U.; Tschierske, C. Silicon-Containing Polyphilic Bent-Core Molecules: The Importance of Nanosegregation for the Development of Chirality and Polar Order in Liquid Crystalline Phases Formed by Achiral Molecules. J. Am. Chem. Soc. 2006, 128, 3051–3066. [Google Scholar] [CrossRef]
- Keith, C.; Dantlgraber, G.; Reddy, R.A.; Baumeister, U.; Tschierske, C. Ferroelectric and Antiferroelectric Smectic and Columnar Liquid Crystalline Phases Formed by Silylated and Non-Silylated Molecules with Fluorinated Bent Cores. Chem. Mater. 2007, 19, 694–710. [Google Scholar] [CrossRef]
- Kumazawa, K.; Nakata, M.; Araoka, F.; Takanishi, Y.; Ishikawa, K.; Watanabe, J.; Takezoe, H. Important role played by interlayer steric interactions for the emergence of the ferroelectric phase in bent-core mesogens. J. Mater. Chem. 2004, 14, 157–164. [Google Scholar] [CrossRef]
- Eremin, A.; Diele, S.; Pelzl, G.; Nadasi, H.; Weissflog, W.; Salfetnikova, J.; Kresse, H. Experimental evidence for an achiral orthogonal biaxial smectic phase without in-plane order exhibiting antiferroelectric switching behavior. Phys. Rev. E 2001, 64, 051707. [Google Scholar] [CrossRef] [PubMed]
- Jakli, A.; Rauch, S.; Lötzsch, D.; Heppke, G. Uniform textures of smectic liquid-crystal phase formed by bent-core molecules. Phys. Rev. E 1998, 57, 6737–6740. [Google Scholar] [CrossRef]
- Rauch, S.; Bault, P.; Sawade, H.; Heppke, G.; Nair, G.G.; Jákli, A. Ferroelectric-chiral–antiferroelectric-racemic liquid crystal phase transition of bent-shape molecules. Phys. Rev. E 2002, 66, 021706. [Google Scholar] [CrossRef] [PubMed]
- Umadevi, S.; Jakli, A.; Sadashiva, B.K. Odd-even effects in bent-core compounds containing terminal n-alkyl carboxylate groups. Soft Matter 2006, 2, 875–885. [Google Scholar] [CrossRef] [PubMed]
- Kohout, M.; Chambers, M.; Vajda, A.; Galli, G.; Domján, A.; Svoboda, J.; Bubnov, A.; Jákli, A.; Fodor-Csorba, K. Properties of non-symmetric bent-core liquid crystals with variable flexible chain length. Liq. Cryst. 2010, 37, 537–545. [Google Scholar] [CrossRef]
- Reddy, R.A.; Baumeister, U.; Keith, C.; Hahn, H.; Lang, H.; Tschierske, C. Influence of the core structure on the development of polar order and superstructural chirality in liquid crystalline phases formed by silylated bent-core molecules: Lateral substituents. Soft Matter 2007, 3, 558–570. [Google Scholar] [CrossRef]
- Mischenko, A.S.; Zhang, Q.; Scott, J.F.; Whatmore, R.W.; Mathur, N.D. Giant Electrocaloric Effect in Thin-Film PbZr0.95Ti0.05O3. Science 2006, 311, 1270–1271. [Google Scholar] [CrossRef]
- Heppke, G.; Parghi, D.D.; Sawade, H. Novel sulphur-containing banana-shaped liquid crystal molecules. Liq. Cryst. 2000, 27, 313–320. [Google Scholar] [CrossRef]
- Heppke, G.; Parghi, D.D.; Sawade, H. Investigations on Novel Sulphur-Containing “Banana-Shaped” Liquid Crystals. Mol. Cryst. Liq. Cryst. Sci. Technol. Sect. A Mol. Cryst. Liq. Cryst. 2000, 352, 311–318. [Google Scholar] [CrossRef]
- Pelzl, G.; Diele, S.; Jákli, A.; Lischka, C.; Wirth, I.; Weissflog, W. Preliminary communication Helical superstructures in a novel smectic mesophase formed by achiral banana-shaped molecules. Liq. Cryst. 1999, 26, 135–139. [Google Scholar] [CrossRef]
- Coleman, D.A.; Fernsler, J.; Chattham, N.; Nakata, M.; Takanishi, Y.; Körblová, E.; Link, D.R.; Shao, R.-F.; Jang, W.G.; MacLennan, J.E.; et al. Polarization-Modulated Smectic Liquid Crystal Phases. Science 2003, 301, 1204–1211. [Google Scholar] [CrossRef] [PubMed]
- Pelzl, G.; Diele, S.; Jákli, A.; Weissflog, W. The mysterious B7 phase: From its discovery up to the present stage of research. Liq. Cryst. 2006, 33, 1513–1523. [Google Scholar] [CrossRef]
- Miyasato, K.; Abe, S.; Takezoe, H.; Fukuda, A.; Kuze, E. Direct Method with Triangular Waves for Measuring Spontaneous Polarization in Ferroelectric Liquid Crystals. Jpn. J. Appl. Phys. 1983, 22, L661–L663. [Google Scholar] [CrossRef]
- Coleman, D.A. Effects of the Spontaneous Polarization on the Structural and Dynamic Properties of Ferroelectric Liquid Crystals. Available online: http://www.e-lc.org/dissertations/tmp/David_A_Coleman,_,_2009_09_01_22_06_24.pdf (accessed on 7 July 2020).
- Nakata, M.; Link, D.R.; Takanishi, Y.; Takahashi, Y.; Thisayukta, J.; Niwano, H.; Coleman, D.; Watanabe, J.; Iida, A.; Clark, N.A.; et al. Electric-Field-Induced Transition in Polarization Modulated Phase Studied Using Microbeam X-ray Diffraction. Phys. Rev. 2005, 71, 011705. [Google Scholar]
- De Meyere, A.; Maximus, B.; Fornier, J.; Verweire, B. Geometrical Averaging of AFLC Dielectric Tensors. Mol. Cryst. Liq. Cryst. Sci. Technol. Sect. A Mol. Cryst. Liq. Cryst. 1998, 317, 99–110. [Google Scholar] [CrossRef]
- Heppke, G.; Jákli, A.; Rauch, S.; Sawade, H. Electric-field-induced chiral separation in liquid crystals. Phys. Rev. E 1999, 60, 5575–5579. [Google Scholar] [CrossRef]
- Jákli, A.; Éber, N. Soft materials for linear electromechanical energy conversion. Curr. Opin. Chem. Eng. 2013, 2, 120–124. [Google Scholar] [CrossRef]
- Wang, J.; Bergquist, L.; Hwang, J.-I.; Kim, K.-J.; Lee, J.-H.; Hegmann, T.; Jákli, A. Wide temperature-range, multi-component, optically isotropic antiferroelectric bent-core liquid crystal mixtures for display applications. Liq. Cryst. 2017, 45, 333–340. [Google Scholar] [CrossRef]
- Bergquist, L.; Zhang, C.; De Almeida, R.R.R.; Pellegrene, B.; Salamończyk, M.; Kim, M.; Hwang, J.; Kim, K.-J.; Lee, J.; Jákli, A.; et al. An Optically Isotropic Antiferroelectric Liquid Crystal (OI-AFLC) Display Mode Operating over a Wide Temperature Range using Ternary Bent-Core Liquid Crystal Mixtures. ChemistryOpen 2017, 6, 196–200. [Google Scholar] [CrossRef] [PubMed]
- Qian, X.-S.; Lu, S.G.; Li, X.; Gu, H.; Chien, L.-C.; Zhang, Q. Large Electrocaloric Effect from Electrical Field Induced Orientational Order-Disorder Transition in Nematic Liquid Crystals Possessing Large Dielectric Anisotropy. In Proceedings of the MRS Proceedings; Cambridge University Press (CUP): Cambridge, UK, 2013; Volume 1543, pp. 13–20. [Google Scholar]







© 2020 by the authors. Licensee MDPI, Basel, Switzerland. This article is an open access article distributed under the terms and conditions of the Creative Commons Attribution (CC BY) license (http://creativecommons.org/licenses/by/4.0/).
Share and Cite
Saha, R.; Feng, C.; Eremin, A.; Jákli, A. Antiferroelectric Bent-Core Liquid Crystal for Possible High-Power Capacitors and Electrocaloric Devices. Crystals 2020, 10, 652. https://doi.org/10.3390/cryst10080652
Saha R, Feng C, Eremin A, Jákli A. Antiferroelectric Bent-Core Liquid Crystal for Possible High-Power Capacitors and Electrocaloric Devices. Crystals. 2020; 10(8):652. https://doi.org/10.3390/cryst10080652
Chicago/Turabian StyleSaha, Rony, Chenrun Feng, Alexey Eremin, and Antal Jákli. 2020. "Antiferroelectric Bent-Core Liquid Crystal for Possible High-Power Capacitors and Electrocaloric Devices" Crystals 10, no. 8: 652. https://doi.org/10.3390/cryst10080652
APA StyleSaha, R., Feng, C., Eremin, A., & Jákli, A. (2020). Antiferroelectric Bent-Core Liquid Crystal for Possible High-Power Capacitors and Electrocaloric Devices. Crystals, 10(8), 652. https://doi.org/10.3390/cryst10080652

