DFT Investigation on the Electronic, Magnetic, Mechanical Properties and Strain Effects of the Quaternary Compound Cu2FeSnS4
Abstract
1. Introduction
2. Computational Methodology
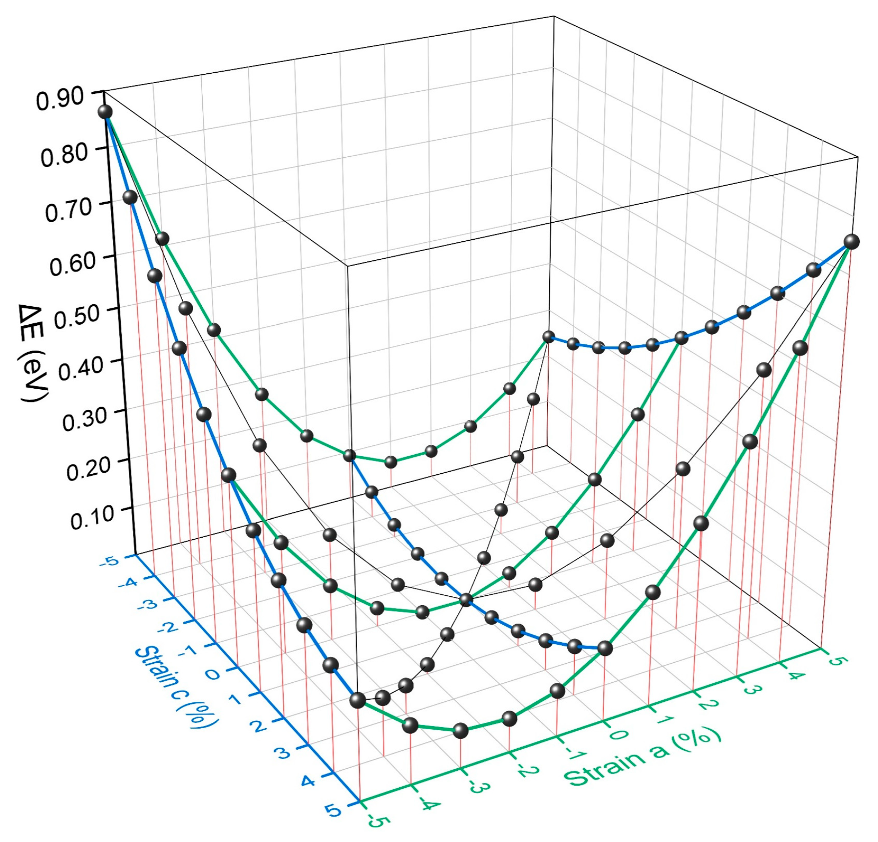
3. Results and Discussions
4. Conclusions
Author Contributions
Funding
Conflicts of Interest
References
- De Groot, R.A.; Mueller, F.M.; Engen, P.G.; Buschow, K.H.J. New Class of Materials: Half-Metallic Ferromagnets. Phys. Rev. Lett. 1983, 50, 2024–2027. [Google Scholar] [CrossRef]
- Zutic, I.; Fabian, J.; Das Sarma, S. Spintronics: Fundamentals and applications. Rev. Mod. Phys. 2004, 76, 323. [Google Scholar] [CrossRef]
- Gao, G.Y.; Yao, K.L.; Sasioglu, E.; Sandratskii, L.M.; Liu, Z.L.; Jiang, J.L. Half-metallic ferromagnetism in zinc-blende CaC, SrC, and BaC from first principles. Phys. Rev. B 2007, 75, 174442. [Google Scholar] [CrossRef]
- Ishizuka, H.; Motome, Y. Dirac Half-Metal in a Triangular Ferrimagnet. Phys. Rev. Lett. 2012, 109, 237207. [Google Scholar] [CrossRef] [PubMed]
- Li, X.; Yang, J. First-principles design of spintronics materials. Natl. Sci. Rev. 2016, 3, 365–381. [Google Scholar] [CrossRef]
- Chadov, S.; Wu, S.-C.; Felser, C.; Galanakis, I. Stability of Weyl points in magnetic half-metallic Heusler compounds. Phys. Rev. B 2017, 96, 024435. [Google Scholar] [CrossRef]
- Chen, X.; Huang, Y.; Yuan, H.; Liu, J.; Chen, H. Theoretical investigation on thermoelectric properties of spin gapless semiconductor Cr2ZnSi. Appl. Phys. A 2018, 124, 841. [Google Scholar] [CrossRef]
- Patel, P.D.; Shinde, S.M.; Gupta, S.D.; Jha, P.K. A promising thermoelectric response of fully compensated ferrimagnetic spin gapless semiconducting Heusler alloy Zr2MnAl at high temperature: DFT study. Mater. Res. Express 2019, 6, 076307. [Google Scholar] [CrossRef]
- Hasan, R.; Ur, S. Thermoelectric and Transport Properties of FeV1−xTixSb Half-Heusler System Synthesized by Controlled Mechanical Alloying Process. Electron. Mater. Lett. 2018, 14, 725–732. [Google Scholar] [CrossRef]
- Kara, H.; Kahaly, M.U.; Ozdogan, K. Thermoelectric response of quaternary Heusler compound CrVNbZn. J. Alloys. Compd. 2018, 735, 950–958. [Google Scholar] [CrossRef]
- Shigeta, I.; Kubota, T.; Sakuraba, Y.; Kimura, S.; Awaji, S.; Takanashi, K.; Hiroi, M. Transport properties of epitaxial films for superconductor NbN and half-metallic Heusler alloy Co2MnSi under high magnetic fields. Phys. B. Condens. Matter 2018, 536, 310–313. [Google Scholar] [CrossRef]
- Nakajima, Y.; Hu, R.; Kirshenbaum, K.; Hughes, A.; Syers, P.; Wang, X.; Wang, K.; Wang, R.; Saha, S.R.; Pratt, D.; et al. Topological RPdBi half-Heusler semimetals: A new family of noncentrosymmetric magnetic superconductors. Sci. Adv. 2015, 1, e1500242. [Google Scholar] [CrossRef] [PubMed]
- Sprungmann, D.; Westerholt, K.; Zabel, H.; Weides, M.; Kohlstedt, H. Evidence for triplet superconductivity in Josephson junctions with barriers of the ferromagnetic Heusler alloy Cu2MnAl. Phys. Rev. B 2010, 82, 060505. [Google Scholar] [CrossRef]
- He, M.; Sun, H.; He, Q.L. Topological insulator: Spintronics and quantum computations. Front. Phys. 2019, 14, 43401. [Google Scholar] [CrossRef]
- Chadov, S.; Qi, X.; Kubler, J.; Fecher, G.H.; Felser, C.; Zhang, S.C. Tunable multifunctional topological insulators in ternary Heusler compounds. Nat. Mater. 2010, 9, 541–545. [Google Scholar] [CrossRef] [PubMed]
- Kainuma, R.; Imano, Y.; Ito, W.; Sutou, Y.; Morito, H.; Okamoto, S.; Kitakami, O.; Oikawa, K.; Fujita, A.; Kanomata, T.; et al. Magnetic-field-induced shape recovery by reverse phase transformation. Nature 2006, 439, 957–960. [Google Scholar] [CrossRef]
- Zhu, W.; Liu, E.K.; Feng, L.; Tang, X.D.; Chen, J.L.; Wu, G.H.; Liu, H.Y.; Meng, F.B.; Luo, H.Z. Magnetic-field-induced transformation in FeMnGa alloys. Appl. Phys. Lett. 2009, 95, 222512. [Google Scholar] [CrossRef]
- Planes, A.; Mañosa, L.; Acet, M. Magnetocaloric effect and its relation to shape-memory properties in ferromagnetic Heusler alloys. J. Phys. Condens. Matter 2009, 21, 233201. [Google Scholar] [CrossRef]
- Wang, J.; Sehitoglu, H. Twinning stress in shape memory alloys: Theory and experiments. Acta Mater. 2013, 61, 6790–6801. [Google Scholar] [CrossRef]
- Aznar, A.; Gràcia-Condal, A.; Planes, A.; Lloveras, P.; Barrio, M.; Tamarit, J.-L.; Xiong, W.; Cong, D.; Popescu, C.; Mañosa, L. Giant barocaloric effect in all-d-metal Heusler shape memory alloys. Phys. Rev. Mater. 2019, 3, 044406. [Google Scholar] [CrossRef]
- Zeng, Q.; Shen, J.; Zhang, H.; Chen, J.; Ding, B.; Xi, X.; Liu, E.; Wang, W.; Wu, G. Electronic behaviors during martensitic transformations in all-d-metal Heusler alloys. J. Phys. Condens. Matter 2019, 31, 425401. [Google Scholar] [CrossRef] [PubMed]
- Wang, X.; Khachai, H.; Khenata, R.; Yuan, H.; Wang, L.; Wang, W.; Bouhemadou, A.; Hao, L.; Dai, X.; Guo, R.; et al. Structural, electronic, magnetic, half-metallic, mechanical, and thermodynamic properties of the quaternary Heusler compound FeCrRuSi: A first-principles study. Sci. Rep. 2017, 7, 16183. [Google Scholar] [CrossRef] [PubMed]
- Cherid, S.; Benstaali, W.; Abbad, A.; Bentata, S.; Lantri, T.; Abbar, B. Theoretical prediction of half metallic ferromagnetic full-Heusler alloys Cs2CrGe. Solid State Commun. 2017, 260, 14–18. [Google Scholar] [CrossRef]
- Bahramian, S.; Ahmadian, F. Half-metallicity and magnetism of quaternary Heusler compounds CoRuTiZ (Z=Si, Ge, and Sn). J. Magn. Magn. Mater. 2017, 424, 122–129. [Google Scholar] [CrossRef]
- Han, Y.; Wu, Y.; Li, T.; Khenata, R.; Yang, T.; Wang, X. Electronic, Magnetic, Half-Metallic, and Mechanical Properties of a New Equiatomic Quaternary Heusler Compound YRhTiGe: A First-Principles Study. Materials (Basel) 2018, 11, 797. [Google Scholar] [CrossRef]
- Zheng, A.M.; Huang, H.; Gao, G.Y.; Yao, K.L. Surface half-metallicity in the Heusler alloy Cr2CoGa with low magnetic moment. J. Mater. Sci. 2018, 53, 8364–8371. [Google Scholar] [CrossRef]
- Hyun, J.M.; Kim, M. The Half-Metallicity of Co2FeGe Full Heusler Alloy in (001) Thin Film: First Principles Study. J. Korean Phys. Soc. 2018, 72, 276–282. [Google Scholar] [CrossRef]
- Wang, J.X.; Chen, Z.B.; Gao, Y.C. Phase stability, magnetic, electronic, half-metallic and mechanical properties of a new equiatomic quaternary Heusler compound ZrRhTiIn: A first-principles investigation. J. Phys. Chem. Solids 2018, 116, 72–78. [Google Scholar] [CrossRef]
- Wang, X.; Zhao, W.; Cheng, Z.; Dai, X.; Khenata, R. Electronic, magnetic, half-metallic and mechanical properties of a new quaternary Heusler compound ZrRhTiTl: Insights from first-principles studies. Solid State Commun. 2018, 269, 125–130. [Google Scholar] [CrossRef]
- Liu, W.; Zhang, X.; Jia, H.; Khenata, R.; Dai, X.; Liu, G. Theoretical Investigations on the Mechanical, Magneto-Electronic Properties and Half-Metallic Characteristics of ZrRhTiZ (Z = Al, Ga) Quaternary Heusler Compounds. Appl. Sci. 2019, 9, 883. [Google Scholar] [CrossRef]
- Chen, Y.; Chen, S.; Wang, B.; Wu, B.; Huang, H.; Qin, X.; Li, D.; Yan, W. Half-Metallicity and Magnetism of the Quaternary Heusler Compound TiZrCoIn1−xGex from the First-Principles Calculations. Appl. Sci. 2019, 9, 620. [Google Scholar] [CrossRef]
- Ganai, Z.S.; Yousuf, S.; Batoo, K.M.; Khan, M.; Gupta, D.C. Half-metallicity and onsite Hubbard interaction on d-electronic states: A case study of Fe2NiZ (Z = Al, Ga, Si, Ge) Heusler systems. Philos. Mag. 2019, 99, 1551–1562. [Google Scholar] [CrossRef]
- Rani, D.; Bainsla, L.; Suresh, K.G.; Alam, A. Experimental and theoretical investigation on the possible half-metallic behaviour of equiatomic quaternary Heusler alloys: CoRuMnGe and CoRuVZ (Z = Al, Ga). J. Magn. Magn. Mater. 2019, 492, 165662. [Google Scholar] [CrossRef]
- Galanakis, I.; Mavropoulos, P. Spin-polarization and electronic properties of half-metallic Heusler alloys calculated from first principles. J. Phys. Condens. Matter 2007, 19, 315213. [Google Scholar] [CrossRef]
- Kudrnovsky, J.; Drchal, V.; Turek, I.; Weinberger, P. Electronic, magnetic, and transport properties and magnetic phase transition in quaternary (Cu,Ni)MnSb Heusler alloys. Phys. Rev. B 2008, 78, 054441. [Google Scholar] [CrossRef]
- Dai, X.F.; Liu, G.D.; Fecher, G.H.; Felser, C.; Li, Y.X.; Liu, H.Y. New quarternary half metallic material CoFeMnSi. J. Appl. Phys. 2009, 105, 07E901. [Google Scholar] [CrossRef]
- Dannenberg, A.; Siewert, M.; Gruner, M.E.; Wuttig, M.; Entel, P. Competing structural ordering tendencies in Heusler-type alloys with high Curie temperatures: Fe2CoGa1-xZnx studied by first-principles calculations. Phys. Rev. B 2010, 82, 214421. [Google Scholar] [CrossRef]
- Gao, G.Y.; Hu, L.; Yao, K.L.; Luo, B.; Liu, N. Large half-metallic gaps in the quaternary Heusler alloys CoFeCrZ (Z=Al, Si, Ga, Ge): A first-principles study. J. Alloys. Compd. 2013, 551, 539–543. [Google Scholar] [CrossRef]
- Özdoğan, K.; Şaşıoğlu, E.; Galanakis, I. Slater-Pauling behavior in LiMgPdSn-type multifunctional quaternary Heusler materials: Half-metallicity, spin-gapless and magnetic semiconductors. J. Appl. Phys. 2013, 113, 193903. [Google Scholar] [CrossRef]
- Delgado, G.E.; Quintero, E.; Tovar, R.; Grima-Gallardo, P.; Quintero, M. Synthesis and crystal structure of the quaternary compound AgFe2GaTe4. J. Alloys. Compd. 2014, 613, 143–145. [Google Scholar] [CrossRef]
- Berri, S.; Ibrir, M.; Maouche, D.; Attallah, M. First principles study of structural, electronic and magnetic properties of ZrFeTiAl, ZrFeTiSi, ZrFeTiGe and ZrNiTiAl. J. Magn. Magn. Mater. 2014, 371, 106–111. [Google Scholar] [CrossRef]
- Berri, S.; Ibrir, M.; Maouche, D.; Attallah, M. Robust half-metallic ferromagnet of quaternary Heusler compounds ZrCoTiZ(Z = Si, Ge, Ga and Al). Comput. Condens. Matter 2014, 1, 26–31. [Google Scholar] [CrossRef]
- Delgado, G.; Delgado, N.; Gallardo, P. Crystal structure of the quaternary semiconductor compound CuFeCrSe3. Period. Tche Quim. 2019, 16, 1. [Google Scholar]
- Hao, L.; Tan, M.; Khenata, R.; Wang, X.; Yang, T. Computational study of the electronic, magnetic, mechanical and thermodynamic properties of new equiatomic quaternary heusler compounds TiZrRuZ (Z = Al, Ga, In). Chin. J. Phys. 2019, 62, 54–64. [Google Scholar] [CrossRef]
- Schäfer, W.; Nitsche, R. Tetrahedral quaternary chalcogenides of the type Cu2-II-IV-S4(Se4). Mater. Res. Bull. 1974, 9, 645–654. [Google Scholar] [CrossRef]
- Wintenberger, M. Etude de la structure cristallographique et magnetique de Cu2FeGeS4 et remarque sur la structure magnetique de Cu2MnSnS4. Mater. Res. Bull. 1979, 14, 1195–1202. [Google Scholar] [CrossRef]
- Delgado, G.E.; Sierralta, N.; Quintero, M.; Quintero, E.; Moreno, E.; Flores-Cruz, J.A.; Rincon, C. Synthesis, structural characterization and differential thermal analysis of the quaternary compound Ag2MnSnS4. Rev. Mex. Fis. 2018, 64, 216–221. [Google Scholar] [CrossRef]
- Delgado, G.; Sagredo, A. Synthesis and crystal structure of the quaternary semiconductor Cu2NiGeS4, a new stannite-type compound. Rev. Mex. Física 2019, 65, 355. [Google Scholar] [CrossRef]
- Guen, L.; Glaunsinger, W.S. Electrical, magnetic, and EPR studies of the quaternary chalcogenides Cu2AIIBIVX4 prepared by iodine transport. J. Solid State Chem. 1980, 35, 10–21. [Google Scholar] [CrossRef]
- Giriat, W.; Furdyna, J. Chapter 1 Crystal Structure, Composition, and Materials Preparation of Diluted Magnetic Semiconductors; Elsevier BV: Amsterdam, The Netherlands, 1988; Volume 25, pp. 1–34. [Google Scholar]
- Grima-Gallardo, P.; Cárdenas, K.; Molina, L.; Quintero, M.; Ruiz, J.; Delgado, G.; Briceño, J.M. A Comparative Study of (Cu–III–Se2)x–(FeSe)1—x Alloys (III: Al, Ga, In) (0 ≤ x ≤ 1) by X-Ray Diffraction, Differential Thermal Analysis and Scanning Electron Microscopy. Phys. Status Solidi (a) 2001, 187, 395–406. [Google Scholar] [CrossRef]
- Chambers, S.A.; Yoo, Y.K. New Materials for Spintronics. MRS Bull. 2003, 28, 706–710. [Google Scholar] [CrossRef]
- Catella, G.C.; Burlage, D. Crystal Growth and Optical Properties of AgGaS2 and AgGaSe2. MRS Bull. 1998, 23, 28–36. [Google Scholar] [CrossRef]
- Tsuji, I.; Shimodaira, Y.; Kato, H.; Kobayashi, H.; Kudo, A. Novel Stannite-type Complex Sulfide Photocatalysts AI2-Zn-AIV-S4 (AI = Cu and Ag; AIV = Sn and Ge) for Hydrogen Evolution under Visible-Light Irradiation. Chem. Mater. 2010, 22, 1402–1409. [Google Scholar] [CrossRef]
- Rincón, C.; Quintero, E.; Quintero, M.; Moreno, E.; Power, C.; Morocoima, M.; Delgado, G.E. Temperature Dependence of Raman Spectra in Cu2FeSnS4 Magnetic Semiconductor Compound. Phys. Status Solidi (b) 2019, 10, 1900076. [Google Scholar]
- Rincón, C.; Quintero, M.; Moreno, E.; Power, C.; Quintero, E.; Henao, J.A.; Macías, M.A.; Delgado, G.E.; Tovar, R.; Morocoima, M. X-ray diffraction, Raman spectrum and magnetic susceptibility of the magnetic semiconductor Cu2FeSnS4. Solid State Commun. 2011, 151, 947–951. [Google Scholar] [CrossRef]
- Vanderbilt, D. Soft self-consistent pseudopotentials in a generalized eigenvalue formalism. Phys. Rev. B. Condens. Matter. 1990, 41, 7892–7895. [Google Scholar] [CrossRef]
- Payne, M.C.; Teter, M.P.; Allan, D.C.; Arias, T.A.; Joannopoulos, J.D. Iterative minimization techniques forab initiototal-energy calculations: Molecular dynamics and conjugate gradients. Rev. Mod. Phys. 1992, 64, 1045–1097. [Google Scholar] [CrossRef]
- Segall, M.D.; Lindan, P.J.D.; Probert, M.J.; Pickard, C.J.; Hasnip, P.J.; Clark, S.J.; Payne, M.C. First-principles simulation: Ideas, illustrations and the CASTEP code. J. Phys. Condens. Matter 2002, 14, 2717–2744. [Google Scholar] [CrossRef]
- Perdew, J.P.; Burke, K.; Ernzerhof, M. Generalized Gradient Approximation Made Simple. Phys. Rev. Lett. 1996, 77, 3865–3868. [Google Scholar] [CrossRef]
- Wang, J.; Li, J.; Yip, S.; Phillpot, S.; Wolf, D. Mechanical instabilities of homogeneous crystals. Phys. Rev. B. Condens. Matter 1995, 52, 12627–12635. [Google Scholar] [CrossRef]
- Mouhat, F.; Coudert, F.X. Necessary and sufficient elastic stability conditions in various crystal systems. Phys. Rev. B 2014, 90, 224104. [Google Scholar] [CrossRef]
- Hill, R. The Elastic Behaviour of a Crystalline Aggregate. Proc. Phys. Soc. Sect. A 1952, 65, 349. [Google Scholar] [CrossRef]
- Yip, S.; Li, J.; Tang, M.J.; Wang, J.G. Mechanistic aspects and atomic-level consequences of elastic instabilities in homogeneous crystals. Mater. Sci. Eng. A Struct. Mater. Prop. Microstruct. Process. 2001, 317, 236–240. [Google Scholar] [CrossRef]
- Gaillac, R.; Pullumbi, P.; Coudert, F.X. ELATE: An open-source online application for analysis and visualization of elastic tensors. J. Phys. Condens. Matter 2016, 28, 275201. [Google Scholar] [CrossRef] [PubMed]
- Marmier, A.; Lethbridge, Z.A.D.; Walton, R.I.; Smith, C.W.; Parker, S.C.; Evans, K.E. ElAM: A computer program for the analysis and representation of anisotropic elastic properties. Comput. Phys. Commun. 2010, 181, 2102–2115. [Google Scholar] [CrossRef]
- Yang, T.; Hao, L.Y.; Khenata, R.; Wang, X.T. Strain Conditions for the Inverse Heusler Type Fully Compensated Spin-Gapless Semiconductor Ti2MnAl: A First-Principles Study. Materials 2018, 11, 2091. [Google Scholar] [CrossRef]
- Yang, T.; Cao, J.; Khenata, R.; Cheng, Z.; Kuang, M.; Wang, X. Strain effect for the newly discovered spin-gapless diamond-like quaternary-type semiconductor CuMn2InSe4. J. Alloys. Compd. 2019, 793, 302–313. [Google Scholar] [CrossRef]
- Yang, T.; Hao, L.; Khenata, R.; Wang, X. Investigation of the structural competing and atomic ordering in Heusler compounds Fe2NiSi and Ni2FeSi under strain condition. R. Soc. Open Sci. 2019, 6, 191007. [Google Scholar] [CrossRef]
- You, J.; Cao, J.; Khenata, R.; Wang, X.; Shen, X.; Yang, T. Robust Spin-Gapless Behavior in the Newly Discovered Half Heusler Compound MnPK. Materials (Basel) 2019, 12, 3117. [Google Scholar] [CrossRef]








| C11 (GPa) | C12 (GPa) | C13 (GPa) | C16 (GPa) | C33 (GPa) | C44 (GPa) | C66 (GPa) | B (GPa) | E (GPa) | G (GPa) | β (TPa−1) | υ | B/G |
|---|---|---|---|---|---|---|---|---|---|---|---|---|
| 69.12 | 38.84 | 33.55 | 0.16 | 72.69 | 21.95 | 21.86 | 46.98 | 52.41 | 19.94 | 7.02 | 0.314 | 2.36 |
© 2020 by the authors. Licensee MDPI, Basel, Switzerland. This article is an open access article distributed under the terms and conditions of the Creative Commons Attribution (CC BY) license (http://creativecommons.org/licenses/by/4.0/).
Share and Cite
Bai, J.; Ji, J.; Hao, L.; Yang, T.; Tan, X. DFT Investigation on the Electronic, Magnetic, Mechanical Properties and Strain Effects of the Quaternary Compound Cu2FeSnS4. Crystals 2020, 10, 509. https://doi.org/10.3390/cryst10060509
Bai J, Ji J, Hao L, Yang T, Tan X. DFT Investigation on the Electronic, Magnetic, Mechanical Properties and Strain Effects of the Quaternary Compound Cu2FeSnS4. Crystals. 2020; 10(6):509. https://doi.org/10.3390/cryst10060509
Chicago/Turabian StyleBai, Jing, Jiaying Ji, Liyu Hao, Tie Yang, and Xingwen Tan. 2020. "DFT Investigation on the Electronic, Magnetic, Mechanical Properties and Strain Effects of the Quaternary Compound Cu2FeSnS4" Crystals 10, no. 6: 509. https://doi.org/10.3390/cryst10060509
APA StyleBai, J., Ji, J., Hao, L., Yang, T., & Tan, X. (2020). DFT Investigation on the Electronic, Magnetic, Mechanical Properties and Strain Effects of the Quaternary Compound Cu2FeSnS4. Crystals, 10(6), 509. https://doi.org/10.3390/cryst10060509

