In Situ X-ray Diffraction Study of Xe and CO2 Adsorption in Y Zeolite: Comparison between Rietveld and PCA-Based Analysis
Abstract
1. Introduction
2. Results
2.1. In Situ XRPD Data on CO2 and Xe Adsorption/Desorption within Y Zeolite
2.2. Rietveld Analysis of In Situ XRPD Data
2.3. PCA of Raw In Situ XRPD Data
3. Discussion
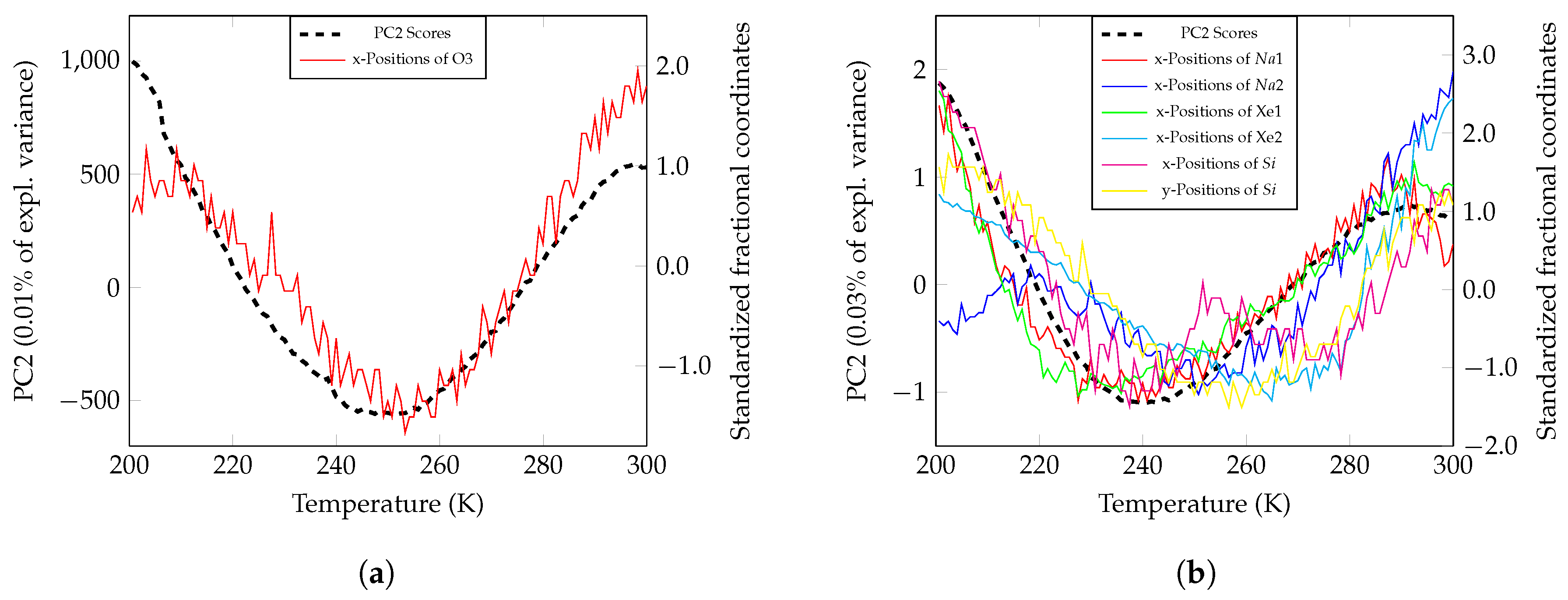
3.1. Comparison between PCA Carried Out on Raw In Situ XRPD Data and Rietveld Refinements
3.2. Comparison between Powder and Single-Crystal Data on CO2 Adsorption within Y Zeolite
3.3. PCA and Statistical Analysis of Obtained Parameters after Rietveld Refinement: Clear and Fine View of Zeolite Response to Gas Adsorption
4. Conclusions
5. Materials and Methods
Supplementary Materials
Author Contributions
Funding
Acknowledgments
Conflicts of Interest
References
- Palin, L.; Croce, G.; Viterbo, D.; Milanesio, M. Monitoring the Formation of H-MCM-22 by a Combined XRPD and Computational Study of the Decomposition of the Structure Directing Agent. Chem. Mater. 2011, 23, 4900–4909. [Google Scholar] [CrossRef]
- Conterosito, E.; Benesperi, I.; Toson, V.; Saccone, D.; Barbero, N.; Palin, L.; Barolo, C.; Gianotti, V.; Milanesio, M. High-Throughput Preparation of New Photoactive Nanocomposites. ChemSusChem 2016, 9, 1279–1289. [Google Scholar] [CrossRef]
- Palin, L.; Milanesio, M.; van Beek, W.; Conterosito, E. Understanding the Ion Exchange Process in LDH Nanomaterials by Fast In Situ XRPD and PCA-Assisted Kinetic Analysis. J. Nanomater. 2019, 2019, 1–9. [Google Scholar] [CrossRef]
- Kraft, P.; Bergamaschi, A.; Broennimann, C.; Dinapoli, R.; Eikenberry, E.; Henrich, B.; Johnson, I.; Mozzanica, A.; Schlepütz, C.; Willmott, P.; et al. Performance of single-photon-counting PILATUS detector modules. J. Synchrotron Radiat. 2009, 16, 368–375. [Google Scholar] [CrossRef] [PubMed]
- Kurdzesau, F. Energy-dispersive Laue experiments with X-ray tube and PILATUS detector: Precise determination of lattice constants. J. Appl. Crystallogr. 2019, 52, 72–93. [Google Scholar] [CrossRef]
- Shi, X.; Ghose, S.; Dooryhee, E. Performance calculations of the X-ray powder diffraction beamline at NSLS-II. J. Synchrotron Radiat. 2013, 20, 234–242. [Google Scholar] [CrossRef] [PubMed]
- Kenel, C.; Grolimund, D.; Li, X.; Panepucci, E.; Samson, V.A.; Sanchez, D.F.; Marone, F.; Leinenbach, C. In situ investigation of phase transformations in Ti-6Al-4V under additive manufacturing conditions combining laser melting and high-speed micro-X-ray diffraction. Sci. Rep. 2017, 7. [Google Scholar] [CrossRef]
- Conterosito, E.; Palin, L.; Caliandro, R.; van Beek, W.; Chernyshov, D.; Milanesio, M. CO2 adsorption in Y zeolite: A structural and dynamic view by a novel principal-component-analysis-assisted in situ single-crystal X-ray diffraction experiment. Acta Crystallogr. Sect. A Found. Adv. 2019, 75, 214–222. [Google Scholar] [CrossRef]
- Rajan, K.; Rajagopalan, A.; Suh, C. Data Mining and Multivariate Analysis in Materials Science. In Molten Salts: From Fundamentals to Applications; Springer: Berlin, Germany, 2002; pp. 241–248. [Google Scholar] [CrossRef]
- Rajan, K. Materials informatics. Mater. Today 2005, 8, 38–45. [Google Scholar] [CrossRef]
- Broderick, S.R.; Aourag, H.; Rajan, K. Data mining of Ti–Al semi-empirical parameters for developing reduced order models. Phys. B Condens. Matter 2011, 406, 2055–2060. [Google Scholar] [CrossRef]
- Chernyshov, D.; van Beek, W.; Emerich, H.; Milanesio, M.; Urakawa, A.; Viterbo, D.; Palin, L.; Caliandro, R. Kinematic diffraction on a structure with periodically varying scattering function. Acta Cryst. A 2011, 67, 327–335. [Google Scholar] [CrossRef] [PubMed]
- Caliandro, R.; Chernyshov, D.; Emerich, H.; Milanesio, M.; Palin, L.; Urakawa, A.; van Beek, W.; Viterbo, D. Patterson selectivity by modulation-enhanced diffraction. J. Appl. Crystallogr. 2012, 45, 458–470. [Google Scholar] [CrossRef]
- Urakawa, A.; Beek, W.V.; Monrabal-Capilla, M.; Galán-Mascarós, J.R.; Palin, L.; Milanesio, M. Combined Modulation Enhanced X-ray Powder Diffraction and Raman Spectroscopic Study of Structural Transitions in the Spin Crossover Material [Fe(Htrz)2(trz)](BF4). J. Phys. Chem. C 2010, 115, 1323–1329. [Google Scholar] [CrossRef]
- Palin, L.; Caliandro, R.; Viterbo, D.; Milanesio, M. Chemical selectivity in structure determination by the time dependent analysis of in situ XRPD data: A clear view of Xe thermal behavior inside a MFI zeolite. Phys. Chem. Chem. Phys. 2015, 17, 17480–17493. [Google Scholar] [CrossRef] [PubMed]
- Guccione, P.; Palin, L.; Milanesio, M.; Belviso, B.D.; Caliandro, R. Improved multivariate analysis for fast and selective monitoring of structural dynamics by in situ X-ray powder diffraction. Phys. Chem. Chem. Phys. 2018, 20, 2175–2187. [Google Scholar] [CrossRef]
- Palin, L.; Conterosito, E.; Caliandro, R.; Boccaleri, E.; Croce, G.; Kumar, S.; van Beek, W.; Milanesio, M. Rational design of the solid-state synthesis of materials based on poly-aromatic molecular complexes. CrystEngComm 2016, 18, 5930–5939. [Google Scholar] [CrossRef]
- Kumar, S.; Carniato, F.; Arrais, A.; Croce, G.; Boccaleri, E.; Palin, L.; van Beek, W.; Milanesio, M. Investigating Surface vs Bulk Kinetics in the Formation of a Molecular Complex via Solid-State Reaction by Simultaneous Raman/X-ray Powder Diffraction. Cryst. Growth Design 2009, 9, 3396–3404. [Google Scholar] [CrossRef]
- Caliandro, R.; Toson, V.; Palin, L.; Conterosito, E.; Aceto, M.; Gianotti, V.; Boccaleri, E.; Dooryhee, E.; Milanesio, M. New Hints on the Maya Blue Formation Process by PCA-Assisted In Situ XRPD/PDF and Optical Spectroscopy. Chem. A Eur. J. 2019, 25, 11503–11511. [Google Scholar] [CrossRef]
- Lee, S.Y.; Park, S.J. A review on solid adsorbents for carbon dioxide capture. J. Ind. Eng. Chem. 2015, 23, 1–11. [Google Scholar] [CrossRef]
- Dmochowski, I. Xenon out of its shell. Nat. Chem. 2009, 1, 250. [Google Scholar] [CrossRef]
- Sanloup, C.; Schmidt, B.; Chamorro, P.E.; Jambon, A.; Gregoryanz, E.; Mezouar, M. Retention of xenon in quartz and Earth’s missing xenon. Science 2005, 310, 1174–1177. [Google Scholar] [CrossRef] [PubMed]
- Polisi, M.; Grand, J.; Arletti, R.; Barrier, N.; Komaty, S.; Zaarour, M.; Mintova, S.; Vezzalini, G. CO2 Adsorption/Desorption in FAU Zeolite Nanocrystals: In Situ Synchrotron X-ray Powder Diffraction and in Situ Fourier Transform Infrared Spectroscopic Study. J. Phys. Chem. C 2019, 123, 2361–2369. [Google Scholar] [CrossRef]
- Bordiga, S.; Lamberti, C.; Bonino, F.; Travert, A.; Thibault-Starzyk, F. Probing zeolites by vibrational spectroscopies. Chem. Soc. Rev. 2015, 44, 7262–7341. [Google Scholar] [CrossRef] [PubMed]
- Agostini, G.; Lamberti, C.; Palin, L.; Milanesio, M.; Danilina, N.; Xu, B.; Janousch, M.; van Bokhoven, J.A. In Situ XAS and XRPD Parametric Rietveld Refinement To Understand Dealumination of Y Zeolite Catalyst. J. Am. Chem. Soc. 2010, 132, 667–678. [Google Scholar] [CrossRef] [PubMed]
- Diaconis, P.; Goel, S.; Holmes, S. Horseshoes in multidimensional scaling and local kernel methods. Ann. Appl. Stat. 2008, 2, 777–807. [Google Scholar] [CrossRef]
- Le Roux, B.; Murtagh, F. B. Le Roux and H. Rouanet, Geometric Data Analysis, From Correspondence Analysis to Structured Data Analysis, Dordrecht, Kluwer, 2004, pp. xi + 475. J. Classif. 2008, 25, 137–141. [Google Scholar] [CrossRef][Green Version]
- Morton, J.T.; Toran, L.; Edlund, A.; Metcalf, J.L.; Lauber, C.; Knight, R. Uncovering the Horseshoe Effect in Microbial Analyses. mSystems 2017, 2. [Google Scholar] [CrossRef] [PubMed]
- Conterosito, E.; Van Beek, W.; Palin, L.; Croce, G.; Perioli, L.; Viterbo, D.; Gatti, G.; Milanesio, M. Development of a Fast and Clean Intercalation Method for Organic Molecules into Layered Double Hydroxides. Cryst. Growth Design 2013, 13, 1162–1169. [Google Scholar] [CrossRef]
- Dyadkin, V.; Pattison, P.; Dmitriev, V.; Chernyshov, D. A new multipurpose diffractometer PILATUS@SNBL. J. Synchrotron Radiat. 2016, 23, 825–829. [Google Scholar] [CrossRef]
- Coelho, A.A. TOPAS and TOPAS-Academic: An optimization program integrating computer algebra and crystallographic objects written in C++. J. Appl. Crystallogr. 2018, 51, 210–218. [Google Scholar] [CrossRef]
- Caliandro, R.; Belviso, D.B. RootProf: Software for multivariate analysis of unidimensional profiles. J. Appl. Crystallogr. 2014, 47, 1087–1096. [Google Scholar] [CrossRef]
- R Core Team. R: A Language and Environment for Statistical Computing; R Foundation for Statistical Computing: Vienna, Austria, 2018. [Google Scholar]
- Momma, K.; Izumi, F. VESTA for three-dimensional visualization of crystal, volumetric and morphology data. J. Appl. Crystallogr. 2011, 44, 1272–1276. [Google Scholar] [CrossRef]













| Xe1 | Xe2 | Xe3 | SUM | |
|---|---|---|---|---|
| Xe/Na2 n.atom per cell variation (300–245 ) | 0.8 | 2.0 | 1.3 | 4.1 |
| Xe/Na2 n.atom per cell variation (245–217 ) | 2.7 | 9.2 | 6.0 | 17.9 |
| Xe/Na2 n.atom per cell variation (217–200 ) | 0.7 | 2.0 | 1.7 | 4.5 |
| Gas | |
|---|---|
| CO2 200 | 5.57 |
| CO2 300 | 5.12 |
| Xe 200 | 4.86 |
| Xe 300 | 5.04 |
© 2020 by the authors. Licensee MDPI, Basel, Switzerland. This article is an open access article distributed under the terms and conditions of the Creative Commons Attribution (CC BY) license (http://creativecommons.org/licenses/by/4.0/).
Share and Cite
Conterosito, E.; Lopresti, M.; Palin, L. In Situ X-ray Diffraction Study of Xe and CO2 Adsorption in Y Zeolite: Comparison between Rietveld and PCA-Based Analysis. Crystals 2020, 10, 483. https://doi.org/10.3390/cryst10060483
Conterosito E, Lopresti M, Palin L. In Situ X-ray Diffraction Study of Xe and CO2 Adsorption in Y Zeolite: Comparison between Rietveld and PCA-Based Analysis. Crystals. 2020; 10(6):483. https://doi.org/10.3390/cryst10060483
Chicago/Turabian StyleConterosito, Eleonora, Mattia Lopresti, and Luca Palin. 2020. "In Situ X-ray Diffraction Study of Xe and CO2 Adsorption in Y Zeolite: Comparison between Rietveld and PCA-Based Analysis" Crystals 10, no. 6: 483. https://doi.org/10.3390/cryst10060483
APA StyleConterosito, E., Lopresti, M., & Palin, L. (2020). In Situ X-ray Diffraction Study of Xe and CO2 Adsorption in Y Zeolite: Comparison between Rietveld and PCA-Based Analysis. Crystals, 10(6), 483. https://doi.org/10.3390/cryst10060483

