Unconventional Co-Existence of Insulating Nano-Regions and Conducting Filaments in Reduced SrTiO3: Mode Softening, Local Piezoelectricity, and Metallicity
Abstract
1. Introduction
2. Theoretical Background
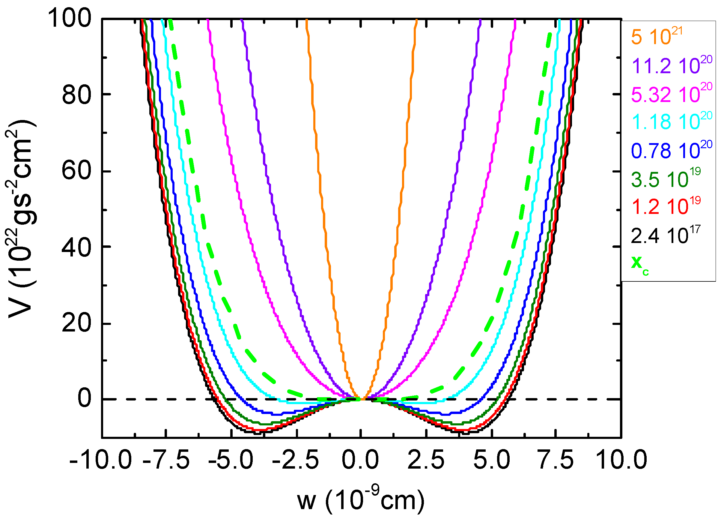
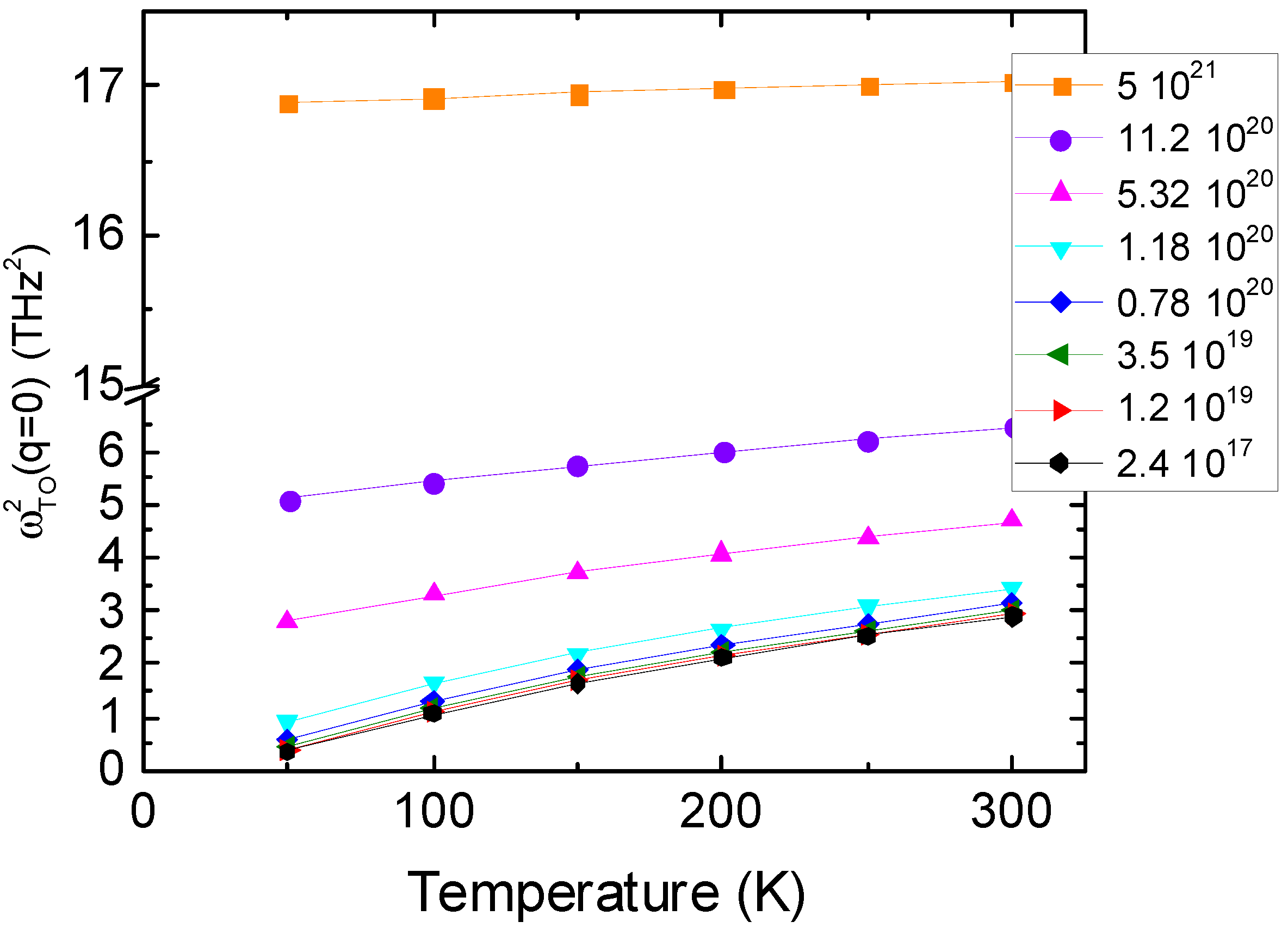
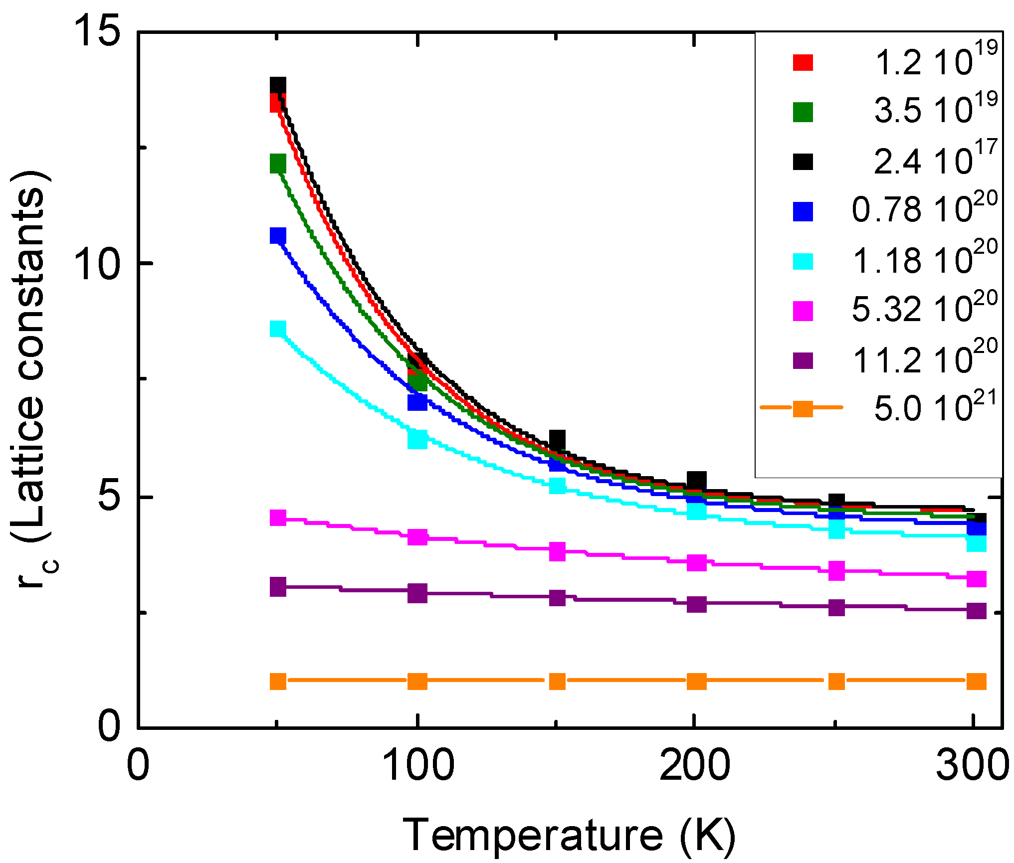
3. Experimental Results
4. Conclusions
Author Contributions
Funding
Conflicts of Interest
References
- Müller, K.A.; Burkard, H. SrTiO3: An intrinsic quantum paraelectric below 4 K. Phys. Rev. B 1997, 19, 3593–3598. [Google Scholar] [CrossRef]
- Yamada, Y.; Shirane, G. Neutron Scattering and Nature of the Soft Optical Phonon in SrTiO3. J. Phys. Soc. Jpn. 1969, 26, 396–403. [Google Scholar] [CrossRef]
- Fleury, P.A.; Scott, J.F.; Worlock, J.M. Soft Phonon Modes and the 110° K Phase Transition in SrTiO3. Phys. Rev. Lett. 1968, 21, 16–19. [Google Scholar] [CrossRef]
- Riste, T.; Samuelsen, E.J.; Otnes, K.; Feder, J. Critical behaviour of SrTiO3 near the 105°K phase transition. Solid State Commun. 1971, 9, 1455–1458. [Google Scholar] [CrossRef]
- Müller, K.A.; Berlinger, W. Static Critical Exponents at Structural Phase Transitions. Phys. Rev. Lett. 1971, 26, 13–16. [Google Scholar] [CrossRef]
- Müller, K.A.; Berlinger, W.; Slonczewski, J. Order Parameter and Phase Transitions of Stressed SrTiO3. Phys. Rev. Lett. 1970, 25, 734–737. [Google Scholar]
- Spitzer, W.G.; Miller, R.C.; Kleinman, D.A. Dielectric dispersion in single crystal BaTiO3, SrTiO3 and TiO2. Bull. Am. Phys. Soc. 1962, 7, 280. [Google Scholar]
- Barker, A.S.; Tinkham, M. Far-infrared ferroelectric vibration mode in SrTiO3. Phys. Rev. 1962, 125, 1527–1530. [Google Scholar] [CrossRef]
- Cowley, R.A. Temperature Dependence of a Transverse Optic Mode in Strontium Titanate. Phys. Rev. Lett. 1962, 9, 159–162. [Google Scholar]
- Cowley, R.A. The Lattice Dynamics of Ionic and Covalent Crystals. Proc. R. Soc. A 1962, 268, 109–120. [Google Scholar]
- Itoh, M.; Wang, R.; Inaguma, Y.; Yamaguchi, T.; Shan, Y.-J.; Nakamura, T. Ferroelectricity Induced by Oxygen Isotope Exchange in Strontium Titanate Perovskite. Phys. Rev. Lett. 1999, 82, 3540–3543. [Google Scholar] [CrossRef]
- Bednorz, J.G.; Müller, K.A. Sr1−xCaxTiO3: An XY Quantum Ferroelectric with Transition to Randomness. Phys. Rev. Lett. 1984, 52, 2289–2292. [Google Scholar] [CrossRef]
- Bussmann-Holder, A.; Büttner, H.; Bishop, A.R. Stabilization of ferroelectricity in quantum paraelectrics by isotopic substitution. J. Phys. Condens. Matter 2000, 12, L115–L120. [Google Scholar] [CrossRef]
- Abe, K.; Yamashita, K.; Tomita, Y.; Shigenari, T.; Wang, R.; Itoh, M. Raman Spectra in Ferroelectric SrTi18O3. Ferroelectrics 2002, 272, 155–160. [Google Scholar] [CrossRef]
- Salje, E.K.H.; Aktas, O.; Carpenter, M.A.; Laguta, V.V.; Scott, J.F. Domains within Domains and Walls within Walls: Evidence for Polar Domains in Cryogenic SrTiO3. Phys. Rev. Lett. 2013, 111, 247603–247607. [Google Scholar] [CrossRef]
- Scott, J.F.; Salje, E.K.H.; Carpenter, M.A. Domain Wall Damping and Elastic Softening in SrTiO3: Evidence for Polar Twin Walls. Phys. Rev. Lett. 2012, 109, 187601–187604. [Google Scholar] [CrossRef]
- Koonce, C.S.; Cohen, M.L.; Schooley, J.F.; Hosler, W.R.; Pfeiffer, R.E. Superconducting Transition Temperatures of Semiconducting SrTiO3. Phys. Rev. 1967, 163, 380. [Google Scholar] [CrossRef]
- Schooley, J.F.; Hosler, W.R.; Cohen Marvin, L. Superconductivity in Semiconducting SrTiO3. Phys. Rev. Lett. 1964, 12, 474–477. [Google Scholar] [CrossRef]
- Matthias, B.T. Proc. Symp. On Ferroelectricity, Warren, Michigan; Weller, E.F., Ed.; Elsevier: Amsterdam, The Netherlands, 1966; p. 176. [Google Scholar]
- Sweedler, A.R.; Raub, C.J.; Matthias, B.T. Superconductivity of the alkali tungsten bronzes. Phys. Lett. 1965, 15, 108–109. [Google Scholar] [CrossRef]
- Binnig, G.; Baratoff, A.; Hoenig, H.E.; Bednorz, J.G. Two-Band Superconductivity in Nb-Doped SrTiO3. Phys. Rev. Lett. 1980, 45, 1352–1355. [Google Scholar] [CrossRef]
- Olaya, D.; Pan, F.; Rogers, C.T.; Price, J.C. Superconductivity in La-doped strontium titanate thin films. Appl. Phys. Lett. 2004, 84, 4020–4022. [Google Scholar]
- Collignon, C.; Fauqué, B.; Cavanna, A.; Gennser, U.; Mailly, D.; Behnia, K. Superfluid density and carrier concentration across a superconducting dome: The case of strontium titanate. Phys. Rev. B 2017, 96, 224506. [Google Scholar] [CrossRef]
- Rischau, C.W.; Lin, X.; Grams, C.P.; Finck, D.; Harms, S.; Engelmayer, J.; Lorenz, T.; Gallais, Y.; Fauque, B.; Hember, J.; et al. A ferroelectric quantum phase transition inside the superconducting dome of Sr1−xCaxTiO3−δ. Nat. Phys. 2017, 13, 643–648. [Google Scholar] [CrossRef]
- Lin, X.; Zhu, Z.; Fauqué, B.; Behnia, K. Fermi Surface of the Most Dilute Superconductor. Phys. Rev. X 2013, 3, 021002. [Google Scholar]
- Appel, J. Soft-Mode Superconductivity in SrTiO3−x. Phys. Rev. 1969, 180, 508. [Google Scholar] [CrossRef]
- Appel, J. Superconductivity in Pseudoferroelectrics. Phys. Rev. Lett. 1966, 17, 1045–1048. [Google Scholar] [CrossRef]
- Philip, B.A. Superconductivity and structural instability in SrTiO3. Solid State Commun. 1973, 13, 411–415. [Google Scholar]
- Koonce, C.S.; Cohen, M.L. Theory of Superconducting Semiconductors and Semimetals. Phys. Rev. 1969, 177, 707–719. [Google Scholar] [CrossRef]
- Cohen, M.L. Superconductivity in Many-Valley Semiconductors and in Semimetals. Phys. Rev. 1964, 134, A511–A521. [Google Scholar] [CrossRef]
- Bussmann-Holder, A.; Bishop, A.R.; Simon, A. SrTiO3: From Quantum Paraelectric to Superconducting. Ferroelectrics 2010, 400, 19–26. [Google Scholar]
- Edge, J.M.; Kedem, Y.; Aschauer, U.; Spaldin, N.A.; Balatsky, A.V. Quantum Critical Origin of the Superconducting Dome in SrTiO3. Phys. Rev. Lett. 2015, 115, 247002. [Google Scholar]
- Ruhman, J.; Lee, P.A. Superconductivity at very low density: The case of strontium titanate. Phys. Rev. B 2016, 94, 224515. [Google Scholar]
- Gorkov, L.P. Phonon mechanism in the most dilute superconductor n-type SrTiO3. Proc. Natl. Acad. Sci. USA 2016, 113, 4646–4651. [Google Scholar]
- Cox, P.A. Transition Metal Oxides; Clarendon Press: Oxford, UK, 1995; p. 199. [Google Scholar]
- Spinelli, A.; Torija, M.A.; Liu, C.; Jan, C.; Leighton, C. Electronic transport in doped SrTiO3: Conduction mechanisms and potential applications. Phys. Rev. B 2010, 81, 155110. [Google Scholar] [CrossRef]
- Szot, K.; Speier, W.; Carius, R.; Zastrow, U.; Beyer, W. Localized Metallic Conductivity and Self-Healing during Thermal Reduction of SrTiO3. Phys. Rev. Lett. 2002, 88, 075508. [Google Scholar]
- Szot, K.; Rodenbücher, C.; Bihlmayer, G.; Speier, W.; Ishikawa, R.; Shibata, N.; Ikuhara, Y. Influence of Dislocations in Transition Metal Oxides on Selected Physical and Chemical Properties. Crystals 2018, 8, 241. [Google Scholar] [CrossRef]
- Szot, K.; Speier, W.; Bihlmayer, G.; Waser, R. Switching the electrical resistance of individual dislocations in single-crystalline SrTiO3. Nat. Mater. 2006, 5, 312–320. [Google Scholar]
- Waser, R.; Dittmann, R.; Staikov, G.; Szot, K. Redox-Based Resistive Switching Memories—Nanoionic Mechanisms, Prospects, and Challenges. Adv. Mater. 2009, 21, 2632–2663. [Google Scholar] [CrossRef]
- Rodenbücher, C.; Wicklein, S.; Waser, R.; Szot, K. Insulator-to-metal transition of SrTiO3: Nb single crystal surfaces induced by Ar+ bombardment. Appl. Phys. Lett. 2013, 102, 101603. [Google Scholar] [CrossRef]
- Rodenbücher, C.; Speier, W.; Bihlmayer, G.; Breuer, U.; Waser, R.; Szot, K. Cluster-like resistive switching of SrTiO3: Nb surface layers. New J. Phys. 2017, 15, 103017. [Google Scholar]
- Muenstermann, R.; Dittmann, R.; Szot, K.; Mi, S.; Jia, C.L.; Meuffels, P.; Waser, R. Realization of regular arrays of nanoscale resistive switching blocks in thin films of Nb-doped SrTiO3. Appl. Phys. Lett. 2008, 93, 023110. [Google Scholar] [CrossRef]
- Migoni, R.; Bilz, H.; Bäuerle, D. Origin of Raman Scattering and Ferroelectricity in Oxidic Perovskites. Phys. Rev. Lett. 1976, 37, 1155–1158. [Google Scholar] [CrossRef]
- Bilz, H.; Benedek, G.; Bussmann-Holder, A. Theory of ferroelectricity: The polarizability model. Phys. Rev. B 1987, 35, 4840–4849. [Google Scholar]
- Bussmann-Holder, A. The polarizability model for ferroelectricity in perovskite oxides. J. Phys. Condens. Matter 2012, 24, 273202. [Google Scholar]
- Bussmann-Holder, A.; Büttner, H.; Bishop, A.R. Polar-Soft-Mode-Driven Structural Phase Transition in SrTiO3. Phys. Rev. Lett. 2007, 99, 167603. [Google Scholar] [CrossRef]
- Bussmann-Holder, A. Interplay of polarizability and ionicity in IV-VI compounds. Phys. Rev. B 1989, 40, 11639–11643. [Google Scholar] [CrossRef]
- Bäuerle, D.; Wagner, D.; Wöhlecke, M.; Dorner, B.; Kraxenberger, H. Soft modes in semiconducting SrTiO3: II. The ferroelectric mode. Z. Physik B—Condens. Matter 1980, 38, 335–339. [Google Scholar]
- Bussmann-Holder, A.; Bilz, H.; Bäuerle, D.; Wagner, D. A polarizability model for the ferroelectric mode in semiconducting SrTiO3. Z. Physik B Condens. Matter 1981, 41, 353–355. [Google Scholar]
- Tao, Q.; Loret, B.; Xu, B.; Yang, X.; Rischau, C.W.; Lin, X.; Fauqué, B.; Verstraete, M.J.; Behnia, K. Nonmonotonic anisotropy in charge conduction induced by antiferrodistortive transition in metallic SrTiO3. Phys. Rev. B 1981, 94, 035111. [Google Scholar] [CrossRef]
- Lin, X.; Rischau, C.W.; Buchauer, L.; Jaoui, A.; Fauqué, B.; Behnia, K. Metallicity without quasi-particles in room-temperature strontium titanate. Nat. NPJ Quantum Mater. 2017, 41, 2–8. [Google Scholar]
- Bussmann-Holder, A.; Roleder, K.; Ko, J.H. What makes the difference in perovskite titanates? J. Phys. Chem. Solids 2018, 117, 148–157. [Google Scholar] [CrossRef]
- Bussmann-Holder, A.; Roleder, K.; Ko, J.-H. Phase transitions and interrelated instabilities in PbHfO3 single crystals. J. Phys. Condens. Matter 2014, 26, 275402. [Google Scholar] [CrossRef]
- Ko, J.H.; Górny, M.; Majchrowski, A.; Roleder, K.; Bussmann-Holder, A. Mode softening, precursor phenomena, and intermediate phases in PbZrO3. Phys. Rev. B 2013, 87, 184110. [Google Scholar] [CrossRef]
- Müller, K.A. On the superconductivity in hole doped cuprates. J. Phys. Cond. Mat. 2007, 19, 251002. [Google Scholar] [CrossRef]
- Calvani, P.; Capizzi, M.; Donato, F.; Lupi, S.; Maselli, P.; Peschiaroli, D. Observation of a midinfrared band in SrTiO3−y. Phys. Rev. B 1993, 47, 8917–8922. [Google Scholar] [CrossRef]
- Wrana, D.; Rodenbücher, C.; Bełza, W.; Szot, K.; Krok, F. In situ study of redox processes on the surface of SrTiO3 single crystals. Appl. Surf. Sci. 2018, 432, 46–52. [Google Scholar] [CrossRef]
- Rodenbücher, C.; Menzel, S.; Wrana, D.; Gensch, T.; Korte, C.; Krok, F.; Szot, K. Current channeling along extended defects during electroreduction of SrTiO3. arXiv 2019, arXiv:1910.02748. Available online: https://arxiv.org/abs/1910.02748 (accessed on 29 May 2020).
- Gao, P.; Yang, S.; Ishikawa, R.; Li, N.; Feng, B.; Kumamoto, A.; Shibata, N.; Yu, P.; Ikuhara, Y. Atomic-Scale Measurement of Flexoelectric Polarization at SrTiO3 Dislocations. Phys. Rev. Lett. 2018, 120, 267601. [Google Scholar] [CrossRef]
- Szot, K.; Bihlmayer, G.; Speier, W. Chapter Four—Nature of the Resistive Switching Phenomena in TiO Origin of the Reversible Insulator–Metal Transition. Solid State Phys. 2014, 65, 359–559. [Google Scholar]
- Jin, L.; Guo, X.; Jia, C.L. TEM study of 〈110〉-type 35.26° dislocations specially induced by polishing of SrTiO3 single crystals. Ultramicroscopy 2013, 134, 77–85. [Google Scholar] [CrossRef]
- Shi, Y.; Guo, Y.; Wang, X.; Princep, A.J.; Khalyavin, D.; Manuel, P.; Michiue, Y.; Sato, A.; Tsuda, K.; Yu, S.; et al. A ferroelectric-like structural transition in a metal. Nature Mat. 2013, 12, 1024–1027. [Google Scholar] [CrossRef] [PubMed]











| Carrier Concentration n [cm−3] | −g2/g4 [10−18 cm2] | r0 [lattice constants] | A [lattice constants] | TK [K] |
|---|---|---|---|---|
| 2.4 × 1017 | 32.14 | 4.64 | 23.85 | 52.6 |
| 1.2 × 1019 | 30.46 | 4.63 | 23.34 | 52.6 |
| 3.5 × 1019 | 27.29 | 4.46 | 18.23 | 59.0 |
| 0.78 × 1020 | 21.08 | 4.26 | 13.57 | 66.7 |
| 1.18 × 1020 | 10.63 | 3.91 | 8.90 | 77.0 |
| 5.32 × 1020 | −52.13 | 2.80 | 2.29 | 185.0 |
| 11.2 × 1020 | −118.16 | 2.18 | 1.06 | 286.0 |
| Reduction Temperature (°C) | Single Crystal Resistance Assigned by Four-Points Method (Ω) | Calculated Volume Resistivity (Ω cm) | Resistivity (Ωcm) at Room Temperature for Vacuum Reduced SrTiO3, after Spinelli et al. [36] | Hall Concentration of Carriers N at Room Temperature (N/cm3), after Spinelli et al. [36] | Calculated Volume Concentration of Oxygen Vacancies N due to Oxygen Effusion per Unit Volume (N/cm3) [38] | Effective Oxygen Vacancies Non-Stoichiometry x in SrTiO3−x Derivate From [38] | Average Concentration of Oxygen Vacancies N in the Core of the Dislocations Network (N/cm3) Determined from Effusion Data and Extension of the Hierarchic Tree of Dislocations [38] |
|---|---|---|---|---|---|---|---|
| 600 | 1320 | 49 | 18.2 | 5.64 × 1016 | 2.2 × 1013 | 4.4 × 10−10 | 3.3 × 1019 |
| 620 | 2.2 × 102 | 1.04 × 1016 | |||||
| 650 | 89.1–2.2 × 103 | 3.8 × 1015–1.98 × 1016 | |||||
| 700 | 118 | 4.43 | 3.87–1.13 × 103 | 3.76 × 1015–2.13 × 1017 | 3.4 × 1013 | 1.1 × 10−10 | 8.4 × 1019 |
| 800 | 47 150 [61] | 1.76 4.69 | 2.6 × 1013 3 × 1014 [37] | 1.75 × 10−9 | 1.3 × 1020 2 × 1020 [37] | ||
| 900 | 27 25 | 1.01 0.78 | 9.1 × 1013 | 3.34 × 10−9 | 2.6 × 1020 | ||
| 1000 | 14.8 | 0.56 | 8.0 × 1013 | 5.03 × 10−9 | 3.8 × 1020 | ||
| 1100 | 0.15–0.47 | 2.23 × 1018 |
© 2020 by the authors. Licensee MDPI, Basel, Switzerland. This article is an open access article distributed under the terms and conditions of the Creative Commons Attribution (CC BY) license (http://creativecommons.org/licenses/by/4.0/).
Share and Cite
Bussmann-Holder, A.; Keller, H.; Simon, A.; Bihlmayer, G.; Roleder, K.; Szot, K. Unconventional Co-Existence of Insulating Nano-Regions and Conducting Filaments in Reduced SrTiO3: Mode Softening, Local Piezoelectricity, and Metallicity. Crystals 2020, 10, 437. https://doi.org/10.3390/cryst10060437
Bussmann-Holder A, Keller H, Simon A, Bihlmayer G, Roleder K, Szot K. Unconventional Co-Existence of Insulating Nano-Regions and Conducting Filaments in Reduced SrTiO3: Mode Softening, Local Piezoelectricity, and Metallicity. Crystals. 2020; 10(6):437. https://doi.org/10.3390/cryst10060437
Chicago/Turabian StyleBussmann-Holder, Annette, Hugo Keller, Arndt Simon, Gustav Bihlmayer, Krystian Roleder, and Krzysztof Szot. 2020. "Unconventional Co-Existence of Insulating Nano-Regions and Conducting Filaments in Reduced SrTiO3: Mode Softening, Local Piezoelectricity, and Metallicity" Crystals 10, no. 6: 437. https://doi.org/10.3390/cryst10060437
APA StyleBussmann-Holder, A., Keller, H., Simon, A., Bihlmayer, G., Roleder, K., & Szot, K. (2020). Unconventional Co-Existence of Insulating Nano-Regions and Conducting Filaments in Reduced SrTiO3: Mode Softening, Local Piezoelectricity, and Metallicity. Crystals, 10(6), 437. https://doi.org/10.3390/cryst10060437

