Numerical Analysis of Optical Absorption Effect in Nonhalogen Solution-Processed, Inverted Small Molecule Solar Cell
Abstract
1. Introduction
2. Materials and Methods
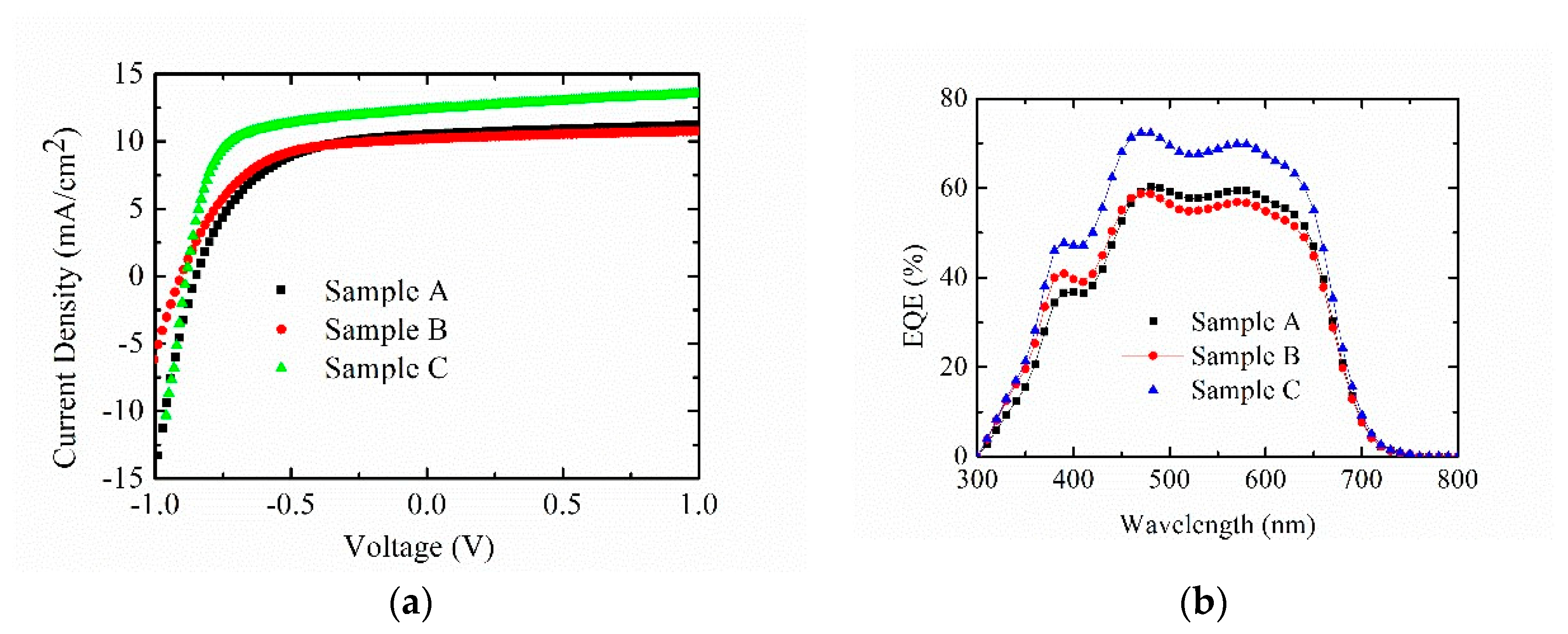
3. Results and Discussion
4. Conclusions
Author Contributions
Funding
Acknowledgments
Conflicts of Interest
References
- Dou, L.; You, J.; Yang, J.; Chen, C.C.; He, Y.; Murase, S.; Moriarty, T.; Emery, K.; Li, G.; Yang, Y. Tandem polymer solar cells featuring a spectrally matched low-bandgap polymer. Nat. Photonics 2012, 6, 180. [Google Scholar] [CrossRef]
- You, J.; Chen, C.C.; Dou, L.; Murase, S.; Duan, H.S.; Hawks, S.A.; Xu, T.; Son, H.J.; Yu, L.; Li, G.; et al. Metal Oxide Nanoparticles as an Electron-Transport Layer in High-Performance and Stable Inverted Polymer Solar Cells. Adv. Mater. 2012, 24, 5267. [Google Scholar] [CrossRef] [PubMed]
- Dou, L.; Gao, J.; Richard, E.; You, J.; Chen, C.C.; Cha, K.C.; He, Y.; Li, G.; Yang, Y. Systematic Investigation of Benzodithiophene- and Diketopyrrolopyrrole-Based Low-Bandgap Polymers Designed for Single Junction and Tandem Polymer Solar Cells. J. Am. Chem. Soc. 2012, 134, 10071. [Google Scholar] [CrossRef] [PubMed]
- Li, G.; Zhu, R.; Yang, Y. Polymer solar cells. Nat. Photonics 2012, 6, 153. [Google Scholar] [CrossRef]
- You, J.; Dou, L.; Yoshimura, K.; Kato, T.; Ohya, K.; Moriarty, T.; Emery, K.; Chen, C.; Gao, J.; Li, G.; et al. A polymer tandem solar cell with 10.6% power conversion efficiency. Nat. Commun. 2013, 4, 1446. [Google Scholar] [CrossRef] [PubMed]
- Chen, J.; Cui, C.; Li, Y.; Zhou, L.; Ou, Q.; Li, C.; Li, Y.; Tang, J. Single-Junction Polymer Solar Cells Exceeding 10% Power Conversion Efficiency. Adv. Mater. 2015, 27, 1035. [Google Scholar] [CrossRef] [PubMed]
- Gao, W.; Liu, T.; Ming, R.; Luo, Z.; Wu, K.; Zhang, L.; Xin, J.; Xie, D.; Zhang, G.; Ma, W.; et al. Near-Infrared Small Molecule Acceptor Enabled High-Performance Nonfullerene Polymer Solar Cells with Over 13% Efficiency. Adv. Funct. Mater. 2018, 28, 1803128. [Google Scholar] [CrossRef]
- Lin, M.Y.; Wu, S.H.; Hsiao, L.J.; Budiawan, W.; Chen, S.L.; Tu, W.C.; Lee, C.Y.; Chang, Y.C.; Chu, C.W. Well-aligned Vertically Oriented ZnO Nanorod Arrays and their Application in Inverted Small Molecule Solar Cells. J. Vis. Exp. 2018, 134, e56149. [Google Scholar] [CrossRef]
- Lin, M.Y.; Chen, T.J.; Xu, W.F.; Hsiao, L.J.; Budiawan, W.; Tu, W.C.; Chen, S.L.; Chu, C.W.; Wei, P.K. Fabrication of flexible indium tin oxide-free polymer solar cells with silver nanowire transparent electrode. Jpn. J. Appl. Phys. 2018, 57, 03DD01. [Google Scholar] [CrossRef]
- Liu, Y.; Chen, C.; Hong, Z.; Gao, J.; Yang, Y.M.; Zhou, H.; Dou, L.; Li, G.; Yang, Y. Solution-processed small-molecule solar cells: breaking the 10% power conversion efficiency. Sci. Rep. 2013, 3, 3356. [Google Scholar] [CrossRef] [PubMed]
- Farahat, M.E.; Tsao, C.S.; Huang, Y.C.; Chang, S.H.; Budiawan, W.; Wu, C.G.; Chu, C.W. Toward environmentally compatible molecular solar cells processed from halogen-free solvents. J. Mater. Chem. A 2016, 4, 7341. [Google Scholar] [CrossRef]
- Lin, M.Y.; Kang, Y.L.; Chen, Y.C.; Tsai, T.H.; Lin, S.C.; Huang, Y.H.; Chen, Y.J.; Lu, C.Y.; Lin, H.Y.; Wang, L.A.; et al. Plasmonic ITO-free polymer solar cell. Opt. Express 2014, 22, A438. [Google Scholar] [CrossRef] [PubMed]
- Lin, M.Y.; Lee, C.Y.; Shiu, S.C.; Wang, I.J.; Sun, J.Y.; Wu, W.H.; Lin, Y.H.; Huang, J.S.; Lin, C.F. Sol–gel processed CuOx thin film as an anode interlayer for inverted polymer solar cells. Org. Electron. 2010, 11, 1828. [Google Scholar] [CrossRef]
- Farahat, M.E.; Perumal, P.; Budiawan, W.; Chen, Y.F.; Lee, C.H.; Chu, C.W. Efficient molecular solar cells processed from green solvent mixtures. J. Mater. Chem. A 2017, 5, 571. [Google Scholar] [CrossRef]
- Lin, M.Y.; Su, V.C.; Chen, S.L. Partially green small molecule solar cells. In Proceedings of the 2019 26th International Workshop on Active-Matrix Flatpanel Displays and Devices (AM-FPD), Kyoto, Japan, 2–5 July 2019; IEEE: Piscataway, NJ, USA, 2019; Volume 26. [Google Scholar]
- Lin, M.Y.; Wu, S.H.; Hsiao, L.J.; Budiawan, W.; Boopathi, K.M.; Tu, W.C.; Chang, Y.C.; Chu, C.W. Enhance the light-harvesting capability of the ITO-free inverted small molecule solar cell by ZnO nanorods. Opt. Express 2016, 24, 17910. [Google Scholar] [CrossRef] [PubMed]
- Min, J.; Güldal, N.S.; Guo, J.; Fang, C.; Jiao, X.; Hu, H.; Heumüller, T.; Ade, H.; Brabec, C.J. Gaining further insight into the effects of thermal annealing and solvent vapor annealing on time morphological development and degradation in small molecule solar cells. J. Mater. Chem. A 2017, 5, 18101. [Google Scholar] [CrossRef]
- Tan, W.Y.; Gao, K.; Zhang, J.; Chen, L.; Wu, S.; Jiang, X.; Peng, X.; Hu, Q.; Liu, F.; Wu, H.; et al. Enhancing Performances of Solution-Processed Inverted Ternary Small-Molecule Organic Solar Cells: Manipulating the Host-Guest Donors and Acceptor Interaction. Sol. RRL 2017, 1, 1600003. [Google Scholar] [CrossRef]




| Device | Solvent | SVA Process | Voc (V) | Jsc (mA/cm2) | FF | Theoretical PCE(%) | PCE (%) |
|---|---|---|---|---|---|---|---|
| SampleA | CB | X | 0.85 | 10.50 | 52.6 | 4.85 | 4.70 |
| SampleB | toluene | X | 0.88 | 10.21 | 56.4 | 5.39 | 5.07 |
| SampleC | toluene | O | 0.87 | 12.40 | 66.8 | 7.66 | 7.21 |
© 2020 by the authors. Licensee MDPI, Basel, Switzerland. This article is an open access article distributed under the terms and conditions of the Creative Commons Attribution (CC BY) license (http://creativecommons.org/licenses/by/4.0/).
Share and Cite
Lin, M.-Y.; Lee, C.-Y. Numerical Analysis of Optical Absorption Effect in Nonhalogen Solution-Processed, Inverted Small Molecule Solar Cell. Crystals 2020, 10, 113. https://doi.org/10.3390/cryst10020113
Lin M-Y, Lee C-Y. Numerical Analysis of Optical Absorption Effect in Nonhalogen Solution-Processed, Inverted Small Molecule Solar Cell. Crystals. 2020; 10(2):113. https://doi.org/10.3390/cryst10020113
Chicago/Turabian StyleLin, Ming-Yi, and Chun-Yu Lee. 2020. "Numerical Analysis of Optical Absorption Effect in Nonhalogen Solution-Processed, Inverted Small Molecule Solar Cell" Crystals 10, no. 2: 113. https://doi.org/10.3390/cryst10020113
APA StyleLin, M.-Y., & Lee, C.-Y. (2020). Numerical Analysis of Optical Absorption Effect in Nonhalogen Solution-Processed, Inverted Small Molecule Solar Cell. Crystals, 10(2), 113. https://doi.org/10.3390/cryst10020113
