Uranyl Nitrates: By-Products of the Synthetic Experiments or Key Indicators of the Reaction Progress?
Abstract
1. Introduction
2. Materials and Methods
2.1. Synthesis
2.2. Single-Crystal X-Ray Diffraction Study
3. Results
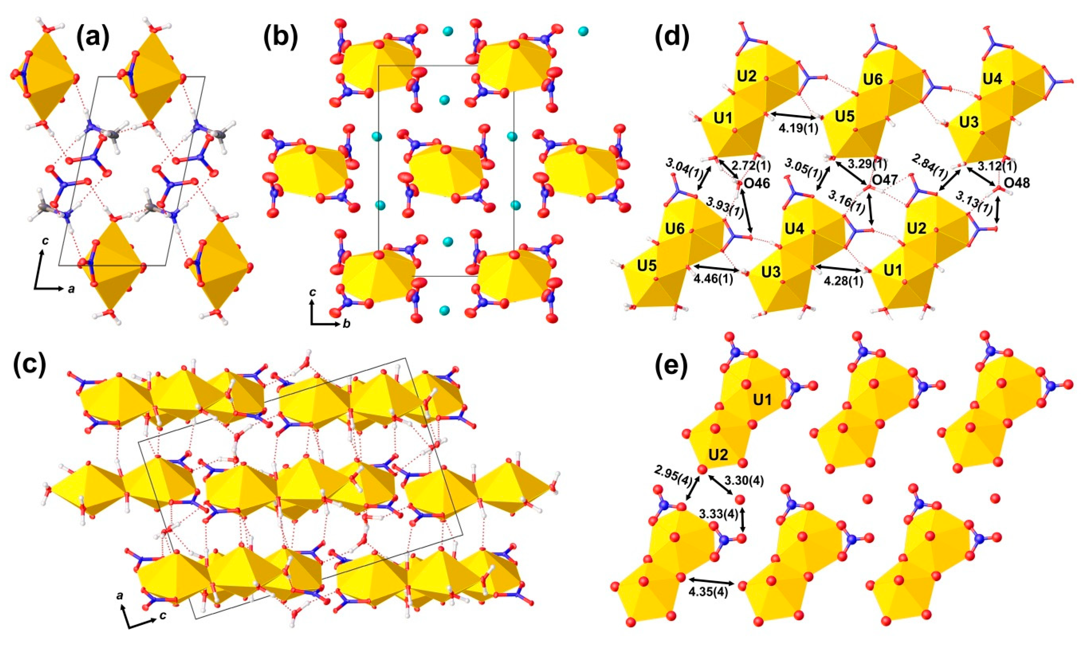
3.1. Description of the Structures
3.2. Structural Topology
4. Discussion
5. Conclusions
Supplementary Materials
Author Contributions
Funding
Acknowledgments
Conflicts of Interest
References
- Morss, L.R.; Edelstein, N.M.; Fuger, J. (Eds.) The Chemistry of the Actinide and Transactinide Elements, 4th ed.; Springer: Dordrecht, The Netherlands, 2010; Volume 1–6, 4521p. [Google Scholar]
- Cotton, S. Lanthanide and Actinide Chemistry; Wiley: Chichester, UK, 2006; 280p. [Google Scholar]
- Cunningham, B.B.; Werner, L.B. The First Isolation of Plutonium. J. Am. Chem. Soc. 1949, 71, 1521–1528. [Google Scholar] [CrossRef]
- O’Neil, M.J. (Ed.) The Merck Index—An Encyclopedia of Chemicals, Drugs, and Biologicals, 13th ed.; Merck and Co. Inc.: Whitehouse Station, NJ, USA, 2001; 1757p. [Google Scholar]
- Krivovichev, S.V.; Burns, P.C. Actinide compounds containing hexavalent cations of the VI group elements (S, Se, Mo, Cr, W). In Structural Chemistry of Inorganic Actinide Compounds; Krivovichev, S.V., Burns, P.C., Tananaev, I.G., Eds.; Elsevier: Amsterdam, The Netherlands, 2007; pp. 95–182. [Google Scholar]
- Lusier, A.J.; Lopez, R.A.K.; Burns, P.C. A revised and expanded structure hierarchy of natural and synthetic hexavalent uranium compounds. Canad. Miner. 2016, 54, 177–283. [Google Scholar] [CrossRef]
- Gurzhiy, V.V.; Tyshchenko, D.V.; Krivovichev, S.V.; Tananaev, I.G. Symmetry reduction in uranyl compounds with [(UO2)2(TO4)3]2− (T = Se, S, Mo) layers: Crystal structures of the new guanidinium uranyl selenate and methylammonium uranyl sulfate. Z. Kristallogr. 2014, 229, 368–377. [Google Scholar] [CrossRef]
- APEX2; Bruker AXS Inc.: Madison, WI, USA, 2012.
- Sheldrick, G.M. XPREP Version 2008/2; Bruker AXS Inc.: Madison, WI, USA, 2008. [Google Scholar]
- CrysAlisPro Software System, Version 1.171.38.46; Rigaku Oxford Diffraction: Oxford, UK, 2015.
- SADABS; Bruker AXS Inc.: Madison, WI, USA, 2001.
- Sheldrick, G.M. SHELXT—Integrated space-group and crystal structure determination. Acta Crystallogr. 2015, A71, 3–8. [Google Scholar] [CrossRef]
- Sheldrick, G.M. Crystal structure refinement with SHELXL. Acta Crystallogr. 2015, C71, 3–8. [Google Scholar]
- Dolomanov, O.V.; Bourhis, L.J.; Gildea, R.J.; Howard, J.A.K.; Puschmann, H. OLEX2: A complete structure solution, refinement and analysis program. J. Appl. Cryst. 2009, 42, 339–341. [Google Scholar] [CrossRef]
- Nazarchuk, E.V.; Siidra, O.I.; Krivovichev, S.V. Crystal Chemistry of Uranyl Halides Containing Mixed (UO2)(XmOn)5 Bipyramids (X = Cl, Br): Synthesis and Crystal Structure of Cs2(UO2)(NO3)Cl3. Z. Naturforsch. 2011, 66b, 142–146. [Google Scholar] [CrossRef]
- Perrin, A. Structure Cristalline du Nitrate de Dihydroxo Diuranyle Tétrahydraté. Acta Crystallogr. Sect. B Struct. Sci. Cryst. Eng. Mater. 1976, 32, 1658–1661. [Google Scholar] [CrossRef]
- Hawthorne, F.C. Graphical enumeration of polyhedral clusters. Acta Crystallogr. 1983, A39, 724–736. [Google Scholar] [CrossRef]
- Krivovichev, S.V. Combinatorial topology of salts of inorganic oxoacids: Zero-, one- and two-dimensional units with corner-sharing between coordination polyhedra. Crystallogr. Rev. 2004, 10, 185–232. [Google Scholar] [CrossRef]
- Krivovichev, S.V. Structural Crystallography of Inorganic Oxysalts; Oxford University Press: Oxford, UK, 2008; 303p. [Google Scholar]
- Indira, A.; Sridhar, M.A.; Qayyas, N.N.A.; Shashidhara Prasad, J.; Robinson, W.T. Crystal structure of bis(lignocainium) dioxotrichloronitratouranate(IV), (C14H22ON2)2(UO2(NO3)Cl3). Z. Kristallogr. 1994, 209, 916–917. [Google Scholar] [CrossRef]
- Andrews, M.B.; Cahill, C.L. Metal–organic hybrids involving the [UO2Cl3(NO3)]2− tecton and the role of halogen polarizability. CrystEngComm 2013, 15, 3082–3086. [Google Scholar] [CrossRef]
- Cocalia, V.; Smiglak, M.; Kelley, S.P.; Shamshina, J.L.; Gurau, G.; Rogers, R.D. Crystallization of Uranyl Salts from Dialkylimidazolium Ionic Liquids or Their Precursors. Eur. J. Inorg. Chem. 2010, 2010, 2760–2767. [Google Scholar] [CrossRef]
- Eller, P.G.; Penneman, R.A. Synthesis and Structure of the 1:1 Uranyl Nitrate Tetrahydrate–18–Crown–6 Compound, UO2(NO3)2(H2O)2∙2H2O∙(18-Crown-6). Noncoordination of Uranyl by the Crown Ether. Inorg. Chem. 1976, 15, 2439–2442. [Google Scholar] [CrossRef]
- Charushnikova, I.A.; Den Auwer, C. Crystal Structures of Molecular Adducts between Uranyl Nitrate and 2,2′:6′,2′′-Terpyridine or 2,2′-Bipyridyl. Russ. J. Coord. Chem. 2004, 30, 511–519. [Google Scholar] [CrossRef]
- Villers, C.; Thuéry, P.; Ephritikhine, M. Crystal structure of first- and second-sphere complexes of uranyl nitrate with 1,2- and 1,4-diols. Polyhedron 2004, 9, 1613–1618. [Google Scholar] [CrossRef]
- Bhattacharya, S.; Jana, A.; Fleck, M.; Mohanta, S. Diaquadinitratouranyl(VI) enforces the O(phenoxo)2O(methoxy)2 compartment of 3-methoxysalicylaldehyde-diamine ligands to interact with water molecules. Inorg. Chim. Acta 2013, 405, 196–202. [Google Scholar] [CrossRef]
- Taylor, J.C.; Mueller, M.H. A neutron diffraction study of uranyl nitrate hexahydrate. Acta Crystallogr. 1965, 19, 536–543. [Google Scholar] [CrossRef]
- Kapshukov, I.I.; Volkov, Y.F.; Moskvichev, E.P.; Lebedev, I.A.; Yakovlev, G.N. Crystal Structure of Uranyl Tetranitrates. J. Struct. Chem. 1971, 12, 77–80. [Google Scholar] [CrossRef]
- Bradley, A.E.; Hardacre, C.; Nieuwenhuyzen, M.; Pitner, W.R.; Sanders, D.; Seddon, K.R.; Thied, R.C. A Structural and Electrochemical Investigation of 1-Alkyl-3-methylimidazolium Salts of the Nitratodioxouranate(VI) Anions [{UO2(NO3)2}2(μ4-C2O4)]2−, [UO2(NO3)3]−, and [UO2(NO3)4]2−. Inorg. Chem. 2004, 43, 2503–2514. [Google Scholar] [CrossRef]
- Thuéry, P. Uranyl Ion Complexes with Ammoniobenzoates as Assemblers for Cucurbit[6]uril Molecules. Cryst. Growth Des. 2012, 12, 499–507. [Google Scholar] [CrossRef]
- Belomestnykh, V.I.; Sveshnikova, L.B.; Churakov, A.V.; Kanishcheva, A.S.; Mikhailov, Y.N. Crystal and molecular structure of (NH4)2[UO2(NO3)4] and [(NH4)(18C6)]2[UO2(NO3)4]. Russ. J. Inorg. Chem. 2011, 56, 1899–1907. [Google Scholar] [CrossRef]
- Qu, F.; Zhu, Q.-Q.; Liu, C.-L. Crystallization in Ionic Liquids: Synthesis, Properties, and Polymorphs of Uranyl Salts. Cryst. Growth Des. 2014, 14, 6421–6432. [Google Scholar] [CrossRef]
- Shiryaev, A.A.; Fedoseev, A.M.; Grigori’ev, M.S.; Averin, A.A. Synthesis, Structure, and Spectral Properties of Mixed Uranyl Hydroxonitrate Complexes [(CH3)4N]2[(UO2)2(NO3)4(OH)2] and (HMeIm)2[(UO2)2(NO3)4(OH)2] (MeIm = 1-Methylimidazole). Radiochemistry 2018, 60, 507–513. [Google Scholar] [CrossRef]
- Perry, D.L.; Ruben, H.; Templeton, D.H.; Zalkin, A. Structure of Di-μ-aqua-bis(dioxobis(nitrato)uranium(VI))–Diimidazole, [UO2(NO3)2(H2O)]2∙2C3H4N2, a Water-Bridged Dimer of Uranyl Nitrate. Inorg. Chem. 1980, 19, 1067–1069. [Google Scholar] [CrossRef]
- Bhattacharya, S.; Jana, A.; Mohanta, S. Crystal structures of discrete, one-dimensional and cocrystalline copper(II)–uranyl(VI) systems: The influence of the reactant ratio in the competition between hydrogen bonds and coordinate bonds. CrystEngComm 2013, 15, 10374–10382. [Google Scholar] [CrossRef]
- Siidra, O.I.; Nazarchuk, E.V.; Zadoya, A.I. Novel [(UO2)O6(NO3)n] (n = 1, 2) based units in organically templated uranyl compounds. Inorg. Chem. Commun. 2014, 50, 4–7. [Google Scholar] [CrossRef]
- Barclay, G.A.; Sabine, T.M.; Taylor, J.C. The Crystal Structure of Rubidium Uranyl Nitrate: A Neutron-Diffraction Study. Acta Crystallogr. 1965, 19, 205–209. [Google Scholar] [CrossRef]
- Zalkin, A.; Templeton, L.K.; Templeton, D.H. Structure of Rubidium Uranyl(VI) Trinitrate. Acta Crystallogr. Sect. C Struct. Chem. 1989, 45, 810–811. [Google Scholar] [CrossRef]
- Krivovichev, S.V.; Burns, P.C. Crystal Structure of K[UO2(NO3)3] and Some Features of Compounds M[UO2(NO3)3] (M = K, Rb, and Cs). Radiochemistry 2004, 46, 16–19. [Google Scholar] [CrossRef]
- Belomestnykh, V.I.; Sveshnikova, L.B.; Mikhailov, Y.N.; Kanishcheva, A.S. Crystal and molecular structure of ammonium trinitratouranylate NH4[UO2(NO3)3]. Russ. J. Inorg. Chem. 2011, 56, 1894–1898. [Google Scholar] [CrossRef]
- Ok, K.M.; Doran, M.B.; O’Hare, D. [N(CH3)4][(UO2)2F5]: A new organically templated open-framework uranium oxide fluoride (MUF-2). J. Mater. Chem. 2006, 16, 3366–3368. [Google Scholar] [CrossRef]
- Shuvalov, R.R.; Burns, P.C. A monoclinic polymorph of uranyl dinitrate trihydrate, [UO2(NO3)2(H2O)2]·H2O. Acta Crystallogr. Sect. C Struct. Chem. 2003, 59, i71–i73. [Google Scholar] [CrossRef] [PubMed]
- Thuéry, P. Uranyl Ion Complexes with Cucurbit[n]urils (n = 6, 7, and 8): A New Family of Uranyl-Organic Frameworks. Cryst. Growth Des. 2008, 8, 4132–4143. [Google Scholar] [CrossRef]
- Thuéry, P.; Harrowfield, J. Three Different Modes of Association between Metal Cations in Heterometallic Uranyl–CoIII and Uranyl–MnII Species. Eur. J. Inorg. Chem. 2018, 40, 4465–4471. [Google Scholar] [CrossRef]
- Murphy, G.L.; Langer, E.M.; Walter, O.; Wang, Y.; Wang, S.; Alekseev, E.V. Insights into the Structural Chemistry of Anhydrous and Hydrous Hexavalent Uranium and Neptunium Dinitrato, Trinitrato, and Tetranitrato Complexes. Inorg. Chem. 2020, 59, 7204–7215. [Google Scholar] [CrossRef]
- Siidra, O.I.; Nazarchuk, E.V.; Suknotova, A.N.; Kayukov, R.A.; Krivovichev, S.V. Cr(VI) trioxide as a starting material for the synthesis of novel zero-, one-, and two-dimensional uranyl dichromates and chromate- dichromates. Inorg. Chem. 2013, 52, 4729–4735. [Google Scholar] [CrossRef]
- Wylie, E.M.; Dawes, C.M.; Burns, P.C. Cesium Uranyl Hydrogenphosphate Nitrate. J. Solid State Chem. 2012, 196, 482–488. [Google Scholar] [CrossRef]
- Doran, M.B.; Norquist, A.J.; O’Hare, D. Catena-Poly[tetramethylammonium [[(nitrato-k2-O,O)dioxouranium]-μ3-sulfato]]. Acta Crystallogr. 2003, E59, m373–m375. [Google Scholar]
- Liu, D.-S.; Huang, G.-S.; Luo, Q.-Y.; Xu, Y.-P.; Li, X.-F. Poly[tetramethylammonium [nitratouranyl-μ3-selenito]]. Acta Crystallogr. 2006, E62, m1584–m1585. [Google Scholar] [CrossRef]
- Gurzhiy, V.V.; Tyumentseva, O.S.; Krivovichev, S.V.; Tananaev, I.G. Novel type of molecular connectivity in one-dimensional uranyl compounds: [K@(18-crown-6)(H2O)][(UO2)(SeO4)(NO3)], a new potassium uranyl selenate with 18-crown-6 ether. Inorg. Chem. Commun. 2014, 45, 93–96. [Google Scholar] [CrossRef]
- Krivovichev, S.V.; Burns, P.C. Structural topology of potassium uranyl chromates: Crystal structures of K8[(UO2)(CrO4)4](NO3)2, K5[(UO2)(CrO4)3](NO3)(H2O)3, K4[(UO2)3(CrO4)5](H2O)8 and K2[(UO2)2(CrO4)3(H2O)2](H2O)4. Z. Kristallogr. 2003, 218, 725–732. [Google Scholar] [CrossRef]
- Unruh, D.K.; Baranay, M.; Baranay, M.; Burns, P.C. Uranium(VI) Tetraoxido Core Coordinated by Bidentate Nitrate. Inorg. Chem. 2010, 49, 6793–6795. [Google Scholar] [CrossRef] [PubMed]
- Siidra, O.I.; Nazarchuk, E.V.; Krivovichev, S.V. Highly Kinked Uranyl Chromate Nitrate Layers in the Crystal Structures of A[(UO2)(CrO4)(NO3)] (A = K, Rb). Z. Anorg. Allg. Chem. 2012, 638, 982–986. [Google Scholar] [CrossRef]
- Jouffret, L.J.; Krivovichev, S.V.; Burns, P.C. Polymorphism in Alkali Metal Uranyl Nitrates: Synthesis and Crystal Structure of γ-K(UO2)(NO3)3. Z. Anorg. Allg. Chem. 2011, 637, 1475–1480. [Google Scholar] [CrossRef]




| Compound | 1 | 2 | 3 | 4 | 5 | 6 |
|---|---|---|---|---|---|---|
| Space group | P21 | P21 | P–21/c | P–1 | P–21/n | P–1 |
| a (Å) | 7.8106 (1) | 7.8596 (2) | 12.145 (5) | 5.7104 (5) | 6.6866 (5) | 10.9048 (2) |
| b (Å) | 15.6882 (2) | 15.8675 (3) | 7.926 (3) | 7.6993 (7) | 7.9932 (4) | 10.9944 (2) |
| c (Å) | 10.5935 (1) | 10.6823 (2) | 11.648 (5) | 10.2304 (9) | 12.6165 (10) | 17.0902 (3) |
| α (°) | 90 | 90 | 90 | 78.072 (2) | 90 | 73.445 (2) |
| β (°) | 90.147 (1) | 90.141 (2) | 97.050 (8) | 75.750 (2) | 99.603 (7) | 89.421 (1) |
| γ (°) | 90 | 90 | 90 | 75.623 (2) | 90 | 86.382 (1) |
| V (Å3) | 1298.06 (3) | 1332.21 (5) | 1112.8 (8) | 417.19 (6) | 664.87 (8) | 1960.06 (6) |
| μ (mm–1) | 14.11 | 13.75 | 21.74 | 9.821 | 17.69 | 24.85 |
| Temperature (K) | 100 (2) | 293 (2) | 100 (2) | 100 (2) | 293 (2) | 100 (2) |
| Z | 4 | 4 | 4 | 1 | 2 | 6 |
| Dcalc (g/cm3) | 3.161 | 3.08 | 4.203 | 2.461 | 3.916 | 3.915 |
| Crystal size (mm3) | 0.16 × 0.10 × 0.07 | 0.24 × 0.18 × 0.13 | 0.24 × 0.17 × 0.10 | 0.12 × 0.10 × 0.01 | 0.34 × 0.27 × 0.20 | 0.25 × 0.13 × 0.10 |
| Diffractometer, Bruker | Kappa Apex II Duo | Smart Apex II | Kappa Apex II Duo | |||
| Total reflections | 13,057 | 22,471 | 12,780 | 4763 | 5896 | 23,202 |
| Unique reflections | 5961 | 11,537 | 2546 | 2336 | 1529 | 9006 |
| Angle range 2θ (°), MoKα | 3.84–55.00 | 3.84–72.84 | 6.15–55.00 | 4.16–60.00 | 3.06–55.00 | 3.87–55.00 |
| Reflections with |Fo| ≥ 4σF | 5802 | 8552 | 2328 | 2294 | 1238 | 6988 |
| Rint, Rσ | 0.0186, 0.0213 | 0.0216, 0.0325 | 0.0354, 0.0266 | 0.0503, 0.0364 | 0.0322, 0.0271 | 0.0331, 0.0362 |
| R1, wR2 (|Fo| ≥ 4σF) | 0.0151, 0.0333 | 0.0254, 0.0449 | 0.0164, 0.0324 | 0.0172, 0.0446 | 0.0288, 0.0723 | 0.0287, 0.0560 |
| R1, wR2 (all data) | 0.016, 0.0336 | 0.0475, 0.0501 | 0.0206 0.0337 | 0.0198, 0.0463 | 0.0410, 0.0774 | 0.0439, 0.0608 |
| S | 1.03 | 1.02 | 1.05 | 1.04 | 1.05 | 1.02 |
| ρmin, ρmax, ε/Å3 | −0.416, 0.542 | −0.695, 1.018 | −0.890, 0.870 | −1.412, 1.411 | −1.153, 1.789 | −1.364, 1.279 |
| CSD/CCDC | 2,045,071 | 2,045,072 | 2,045,073 | 2,045,074 | 2,045,075 | 2,045,076 |
| 1 | U2–O6 | 1.737 (15) | 5 | U3–HO36 | 2.374 (5) | ||
| U1–O1 | 1.770 (5) | U2–O7 | 1.769 (12) | U1–O1 x2 | 1.754 (4) | U3–HO37 | 2.375 (4) |
| U1–O2 | 1.762 (5) | <U2–OUr> | 1.753 | <U1–OUr> | 1.754 | U3–H2O38 | 2.400 (5) |
| <U1–OUr> | 1.767 | U2–O8 | 2.488 (14) | U1–O2 x2 | 2.413 (4) | U3–H2O39 | 2.445 (5) |
| U1–O3 | 2.499 (5) | U2–O9 | 2.514 (13) | U1–O5 x2 | 2.521 (4) | U3–H2O40 | 2.404 (5) |
| U1–O4 | 2.480 (5) | U2–Cl4 | 2.681 (6) | U1–O6 x2 | 2.506 (4) | <U3–Oeq> | 2.400 |
| U1–Cl1 | 2.6826 (15) | U2–Cl5 | 2.692 (6) | <U1–Oeq> | 2.480 | ||
| U1–Cl2 | 2.6998 (17) | U2–Cl6 | 2.708 (6) | U4–O7 | 1.761 (5) | ||
| U1–Cl3 | 2.7143 (16) | <U2–Xeq> | 2.617 | <Cs1–O> | 3.362 | U4–O8 | 1.774 (4) |
| <U1–Xeq> | 2.615 | <U4–OUr> | 1.768 | ||||
| <K1–X> | 3.090 | 6 | U4–O19 | 2.576 (4) | |||
| U2–O6 | 1.772 (5) | <K2–X> | 3.007 | U1···U2 | 3.9331 (3) | U4–O21 | 2.554 (4) |
| U2–O7 | 1.755 (5) | <K3–X> | 3.007 | U3···U4 | 3.9419 (3) | U4–O22 | 2.514 (4) |
| <U2–OUr> | 1.764 | <K4–X> | 2.969 | U5···U6 | 3.9358 (3) | U4–O24 | 2.524 (5) |
| U2–O8 | 2.503 (4) | <K5–X> | 3.020 | U4–HO36 | 2.360 (5) | ||
| U2–O9 | 2.506 (5) | <K4–X> | 3.091 | U1–O1 | 1.771 (4) | U4–HO37 | 2.360 (5) |
| U2–Cl4 | 2.7022 (16) | U1–O2 | 1.775 (4) | <U4–Oeq> | 2.481 | ||
| U2–Cl5 | 2.7197 (17) | 3 | <U1–OUr> | 1.773 | |||
| U2–Cl6 | 2.6956 (15) | U1–O1 | 1.766 (3) | U1–HO31 | 2.376 (4) | U5–O9 | 1.759 (4) |
| <U2–Xeq> | 2.625 | U1–O2 | 1.768 (3) | U1–HO32 | 2.361 (4) | U5–O10 | 1.768 (5) |
| <U1–OUr> | 1.767 | U1–H2O33 | 2.404 (5) | <U5–OUr> | 1.764 | ||
| <K1–X> | 3.079 | U1–O3 | 2.508 (3) | U1–H2O34 | 2.441 (5) | U5–HO41 | 2.391 (5) |
| <K2–X> | 2.995 | U1–O4 | 2.497 (3) | U1–H2O35 | 2.414 (5) | U5–HO42 | 2.342 (4) |
| <K3–X> | 2.992 | U1–Cl1 | 2.7133 (12) | <U1–Oeq> | 2.399 | U5–H2O43 | 2.3935 (2) |
| <K4–X> | 2.968 | U1–Cl2 | 2.6772 (12) | U5–H2O44 | 2.478 (4) | ||
| <K5–X> | 3.017 | U1–Cl3 | 2.6960 (13) | U2–O3 | 1.772 (4) | U5–H2O45 | 2.393 (5) |
| <K6–X> | 3.204 | <U1–Xeq> | 2.618 | U2–O4 | 1.756 (4) | <U5–Oeq> | 2.400 |
| <U2–OUr> | 1.764 | ||||||
| 2 | <Cs1–X> | 3.358 | U2–O13 | 2.540 (4) | U6–O11 | 1.777 (4) | |
| U1–O1 | 1.752 (14) | <Cs2–X> | 3.492 | U2–O15 | 2.502 (4) | U6–O12 | 1.754 (5) |
| U1–O2 | 1.780 (15) | U2–O16 | 2.567 (5) | <U6–OUr> | 1.766 | ||
| <U1–OUr> | 1.766 | 4 | U2–O18 | 2.552 (5) | U6–O25 | 2.503 (5) | |
| U1–O3 | 2.492 (16) | U1–O1 x2 | 1.771 (2) | U2–HO31 | 2.372 (4) | U6–O27 | 2.487 (5) |
| U1–O4 | 2.488 (16) | <U1–OUr> | 1.771 | U2–HO32 | 2.368 (4) | U6–O28 | 2.528 (5) |
| U1–Cl1 | 2.695 (6) | U1–O2 x2 | 2.502 (2) | <U2–Oeq> | 2.484 | U6–O30 | 2.561 (5) |
| U1–Cl2 | 2.722 (5) | U1–O3 x2 | 2.525 (2) | U6–HO41 | 2.370 (4) | ||
| U1–Cl3 | 2.700 (6) | U1–H2O5 x2 | 2.397 (2) | U3–O5 | 1.762 (4) | U6–HO42 | 2.360 (4) |
| <U1–Xeq> | 2.619 | <U1–Oeq> | 2.475 | U3–O6 | 1.762 (5) | <U6–Oeq> | 2.468 |
| <U3–OUr> | 1.762 | ||||||
Publisher’s Note: MDPI stays neutral with regard to jurisdictional claims in published maps and institutional affiliations. |
© 2020 by the authors. Licensee MDPI, Basel, Switzerland. This article is an open access article distributed under the terms and conditions of the Creative Commons Attribution (CC BY) license (http://creativecommons.org/licenses/by/4.0/).
Share and Cite
Gurzhiy, V.V.; Tyumentseva, O.S.; Kornyakov, I.V. Uranyl Nitrates: By-Products of the Synthetic Experiments or Key Indicators of the Reaction Progress? Crystals 2020, 10, 1122. https://doi.org/10.3390/cryst10121122
Gurzhiy VV, Tyumentseva OS, Kornyakov IV. Uranyl Nitrates: By-Products of the Synthetic Experiments or Key Indicators of the Reaction Progress? Crystals. 2020; 10(12):1122. https://doi.org/10.3390/cryst10121122
Chicago/Turabian StyleGurzhiy, Vladislav V., Olga S. Tyumentseva, and Ilya V. Kornyakov. 2020. "Uranyl Nitrates: By-Products of the Synthetic Experiments or Key Indicators of the Reaction Progress?" Crystals 10, no. 12: 1122. https://doi.org/10.3390/cryst10121122
APA StyleGurzhiy, V. V., Tyumentseva, O. S., & Kornyakov, I. V. (2020). Uranyl Nitrates: By-Products of the Synthetic Experiments or Key Indicators of the Reaction Progress? Crystals, 10(12), 1122. https://doi.org/10.3390/cryst10121122

