Numerical Investigation into Optoelectronic Performance of InGaN Blue Laser in Polar, Non-Polar and Semipolar Crystal Orientation
Abstract
1. Introduction
2. Materials and Methods
2.1. Laser Structure
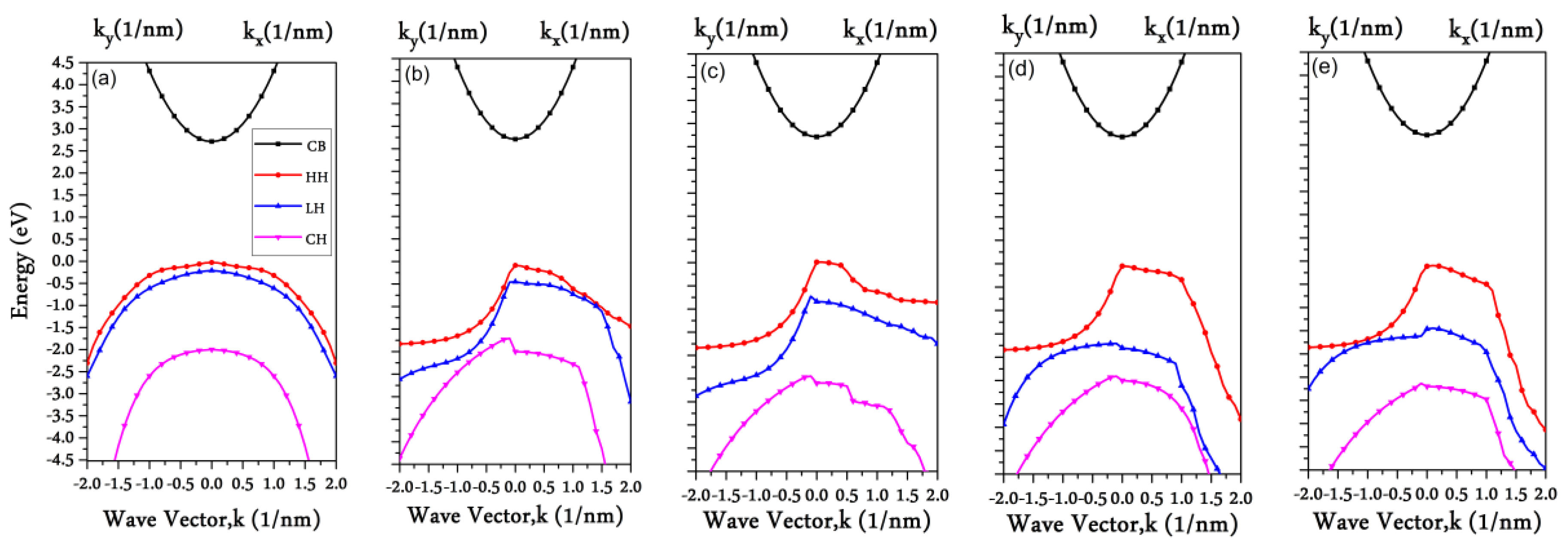
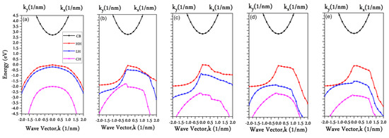
2.2. Crystal Orientation-Dependent Energy Band Dispersion Profile
2.3. Piezoelectric Field
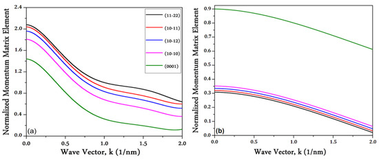
2.4. Momentum Matrix and Optical Gain Profile
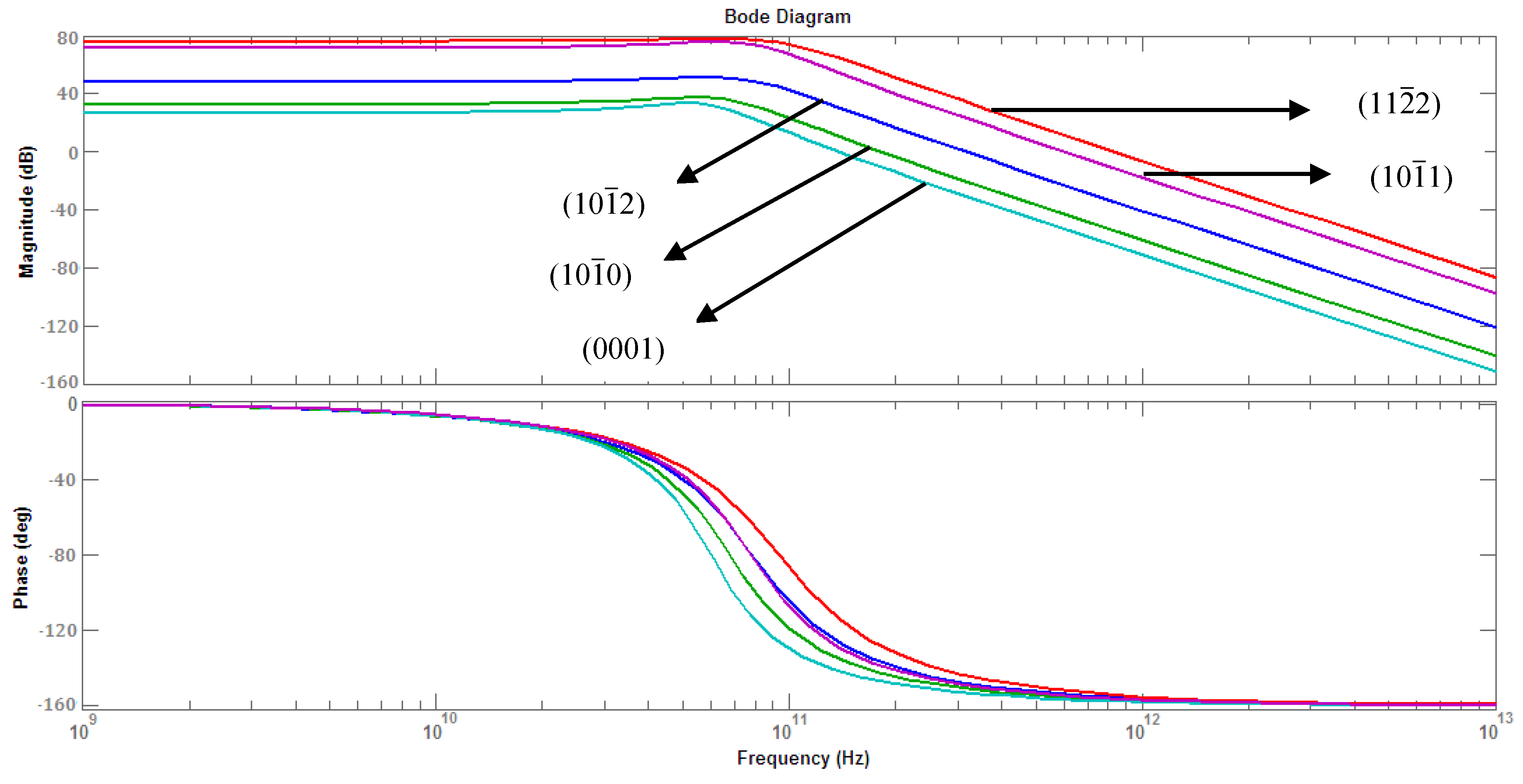
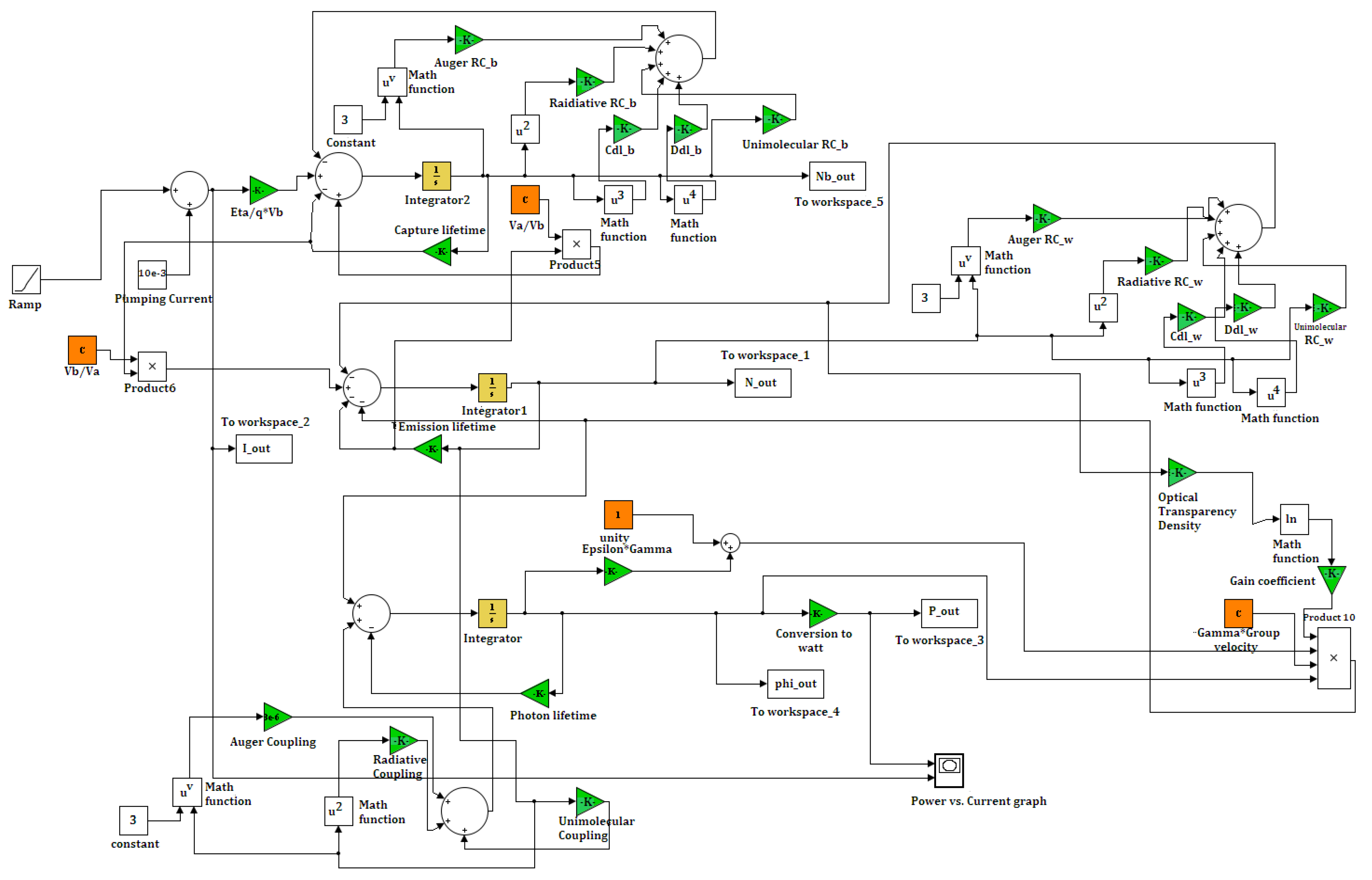
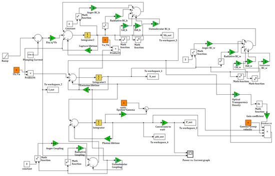
2.5. Output Power and Frequency Response
3. Results and Discussion
4. Conclusions
Author Contributions
Funding
Conflicts of Interest
Appendix A

Appendix B
References
- Zhou, C.; Ghods, A.; Saravade, V.G.; Patel, P.V.; Yunghans, K.L.; Ferguson, C.; Feng, Y.; Kucukgok, B.; Lu, N.; Ferguson, I.T. Review:The Current and Emerging Applications of the {III}-Nitrides. ECS J. Solid State Sci. Technol. 2017, 6, Q149–Q156. [Google Scholar] [CrossRef]
- Morkoç, H.; Strite, S.; Gao, G.B.; Lin, M.E.; Sverdlov, B.; Burns, M. Large-band-gap SiC, III-V nitride, and II-VI ZnSe-based semiconductor device technologies. J. Appl. Phys. 1994, 76, 1363–1398. [Google Scholar] [CrossRef]
- Osawa, H.; Yamamoto, H.; Miura, Y.; Sasao, W.; Ino, Y.; Satoh, H.; Satoh, K.; Sugano, K. Blue Laser Imaging Provides Excellent Endoscopic Images of Upper Gastrointestinal Lesions. Video J. Encycl. GI Endosc. 2014, 1, 607–610. [Google Scholar] [CrossRef]
- Moustakas, T.D.; Paiella, R. Optoelectronic device physics and technology of nitride semiconductors from the {UV} to the terahertz. Rep. Prog. Phys. 2017, 80, 106501. [Google Scholar] [CrossRef]
- Shuji Nakamura, S.P. Fasol The Blue Laser Diode. The Complete Story. Meas. Sci. Technol. 2001, 12, 755–756. [Google Scholar] [CrossRef]
- Feneberg, M.; Thonke, K. Polarization fields of {III}-nitrides grown in different crystal orientations. J. Phys. Condens. Matter 2007, 19, 403201. [Google Scholar] [CrossRef]
- Wetzel, C.; Amano, H.; Akasaki, I. Piezoelectric Polarization in {GaInN}/{GaN} Heterostructures and Some Consequences for Device Design. Jpn. J. Appl. Phys. 2000, 39, 2425–2427. [Google Scholar] [CrossRef]
- Feezell, D.; Sharma, Y.; Krishna, S. Optical properties of nonpolar III-nitrides for intersubband photodetectors. J. Appl. Phys. 2013, 113, 133103. [Google Scholar] [CrossRef]
- Rass, J.; Wernicke, T.; Scheibenzuber, W.G.; Schwarz, U.T.; Kupec, J.; Witzigmann, B.; Vogt, P.; Einfeldt, S.; Weyers, M.; Kneissl, M. Polarization of eigenmodes in laser diode waveguides on semipolar and nonpolar GaN. Phys. Status Solidi Rapid Res. Lett. 2010, 4, 1–3. [Google Scholar] [CrossRef]
- Li, H.; Zhang, H.; Li, P.; Wong, M.S.; Chow, Y.C.; Pinna, S.; Klamkin, J.; DeMierry, P.; Speck, J.S.; Nakamura, S.; et al. Development of efficient semipolar {InGaN} long wavelength light-emitting diodes and blue laser diodes grown on a high quality semipolar {GaN}/sapphire template. J. Phys. Photonics 2020, 2, 31003. [Google Scholar] [CrossRef]
- Zhang, H.; Li, H.; Li, P.; Song, J.; Speck, J.S.; Nakamura, S.; DenBaars, S.P. Room-Temperature Continuous-Wave Electrically Driven Semipolar () Blue Laser Diodes Heteroepitaxially Grown on a Sapphire Substrate. ACS Photonics 2020, 7, 1662–1666. [Google Scholar] [CrossRef]
- Cao, Y.; Dzuba, B.; Magill, B.A.; Senichev, A.; Nguyen, T.; Diaz, R.E.; Manfra, M.J.; McGill, S.; Garcia, C.; Khodaparast, G.A.; et al. Photoluminescence study of non-polar m-plane InGaN and nearly strain-balanced InGaN/AlGaN superlattices. J. Appl. Phys. 2020, 127, 185702. [Google Scholar] [CrossRef]
- Xing, K.; Tseng, C.; Wang, L.; Chi, P.; Wang, J.; Chen, P.; Liang, H. Semi-polar () GaN epitaxial films with significantly reduced defect densities grown on m-plane sapphire using a sequence of two in situ SiNx interlayers. Appl. Phys. Lett. 2019, 114, 131105. [Google Scholar] [CrossRef]
- Senichev, A.; Dzuba, B.; Nguyen, T.; Cao, Y.; Capano, M.A.; Manfra, M.J.; Malis, O. Impact of growth conditions and strain on indium incorporation in non-polar m-plane () InGaN grown by plasma-assisted molecular beam epitaxy. APL Mater. 2019, 7, 121109. [Google Scholar] [CrossRef]
- Sawicka, M.; Feduniewicz-Żmuda, A.; Kryśko, M.; Turski, H.; Muziol, G.; Siekacz, M.; Wolny, P.; Skierbiszewski, C. Indium incorporation in semipolar () and nonpolar () InGaN grown by plasma assisted molecular beam epitaxy. J. Cryst. Growth 2017, 459, 129–134. [Google Scholar] [CrossRef]
- Song, J.; Choi, J.; Xiong, K.; Xie, Y.; Cha, J.J.; Han, J. Semipolar (2021) GaN and InGaN light-emitting diodes grown on sapphire. ACS Appl. Mater. Interfaces 2017, 9, 14088–14092. [Google Scholar] [CrossRef]
- Tronciu, V.Z.; Yamada, M.; Abram, R.A. Analysis of the dynamics of a blue-violet InGaN laser with a saturable absorber. Phys. Rev. E 2004, 70, 26604. [Google Scholar] [CrossRef]
- Okuno, Y.; Aoki, M.; Tsuchiya, T.; Uomi, K. Fabrication of (001) InP-based 1.55-μm wavelength lasers on a (110) GaAs substrate by direct bonding (A prospect for free-orientation integration). Appl. Phys. Lett. 1995, 67, 810–812. [Google Scholar] [CrossRef]
- Okuno, Y. Investigation on direct bonding of III–V semiconductor wafers with lattice mismatch and orientation mismatch. Appl. Phys. Lett. 1996, 68, 2855–2857. [Google Scholar] [CrossRef]
- Okuno, Y.; Uomi, K.; Aoki, M.; Tsuchiya, T. Direct wafer bonding of III-V compound semiconductors for free-material and free-orientation integration. IEEE J. Quantum Electron. 1997, 33, 959–969. [Google Scholar] [CrossRef]
- Moses, P.G.; de Walle, C.G. Band bowing and band alignment in InGaN alloys. Appl. Phys. Lett. 2010, 96, 21908. [Google Scholar] [CrossRef]
- Sarkar, N.; Ghosh, S. Temperature dependent band gap shrinkage in GaN: Role of electron–phonon interaction. Solid State Commun. 2009, 149, 1288–1291. [Google Scholar] [CrossRef]
- Wu, J.; Walukiewicz, W.; Shan, W.; Yu, K.M.; Ager Iii, J.W.; Li, S.X.; Haller, E.E.; Lu, H.; Schaff, W.J. Temperature dependence of the fundamental band gap of InN. J. Appl. Phys. 2003, 94, 4457–4460. [Google Scholar] [CrossRef]
- Chuang, S.L. Physics of Photonic Devices; John Wiley & Sons: Hoboken, NJ, USA, 2012; Volume 80. [Google Scholar]
- Chuang, S.L.; Chang, C.S. k.p method for strained wurtzite semiconductors. Phys. Rev. B 1996, 54, 2491–2504. [Google Scholar] [CrossRef]
- Park, S.-H.; Chuang, S.-L. Crystal-orientation effects on the piezoelectric field and electronic properties of strained wurtzite semiconductors. Phys. Rev. B 1999, 59, 4725–4737. [Google Scholar] [CrossRef]
- Bykhovski, A.; Gelmont, B.; Shur, M.; Khan, A. Current-voltage characteristics of strained piezoelectric structures. J. Appl. Phys. 1995, 77, 1616–1620. [Google Scholar] [CrossRef]
- Chuang, S.L.; Chang, C.S. Effective-mass Hamiltonian for strained wurtzite GaN and analytical solutions. Appl. Phys. Lett. 1996, 68, 1657–1659. [Google Scholar] [CrossRef]
- Smith, D.L.; Mailhiot, C. Piezoelectric effects in strained-layer superlattices. J. Appl. Phys. 1988, 63, 2717–2719. [Google Scholar] [CrossRef]
- Bastard, G.; Mendez, E.E.; Chang, L.L.; Esaki, L. Variational calculations on a quantum well in an electric field. Phys. Rev. B 1983, 28, 3241–3245. [Google Scholar] [CrossRef]
- Ohtoshi, T.; Kuroda, T.; Niwa, A.; Tsuji, S. Dependence of optical gain on crystal orientation in surface-emitting lasers with strained quantum wells. Appl. Phys. Lett. 1994, 65, 1886–1887. [Google Scholar] [CrossRef]
- Hasan, M.M.; Islam, M.R.; Teramoto, K. Crystallographic orientation-dependent optical properties of GaInSb mid-infrared quantum well laser. Optik (Stuttg) 2012, 123, 1993–1997. [Google Scholar] [CrossRef]
- Vurgaftman, I.; Meyer, J.R.; Ram-Mohan, L.R. Band parameters for III–V compound semiconductors and their alloys. J. Appl. Phys. 2001, 89, 5815–5875. [Google Scholar] [CrossRef]
- Schaer, T.; Rusnov, R.; Eagle, S.; Jastrebski, J.; Albanese, S.; Fernando, X. A dynamic simulation model for semiconductor laser diodes. In Proceedings of the CCECE 2003—Canadian Conference on Electrical and Computer Engineering. Toward a Caring and Humane Technology (Cat. No.03CH37436), Montreal, QC, Canada, 4–7 May 2003; Volume 1, pp. 293–297. [Google Scholar]
- Mena, P.V.; Kang, S.-M.; DeTemple, T.A. Rate-equation-based laser models with a single solution regime. J. Light. Technol. 1997, 15, 717–730. [Google Scholar] [CrossRef]
- Feng, M.X.; Sun, Q.; Liu, J.P.; Li, Z.C.; Zhou, Y.; Gao, H.W.; Zhang, S.M.; Yang, H. A study of efficiency droop phenomenon in GaN-based laser diodes before lasing. Materials 2017, 10, 482. [Google Scholar] [CrossRef]
- Cho, J.; Schubert, E.F.; Kim, J.K. Efficiency droop in light-emitting diodes: Challenges and countermeasures. Laser Photon. Rev. 2013, 7, 408–421. [Google Scholar] [CrossRef]
- Nawaz, M.; Ahmad, A. A {TCAD}-based modeling of {GaN}/{InGaN}/Si solar cells. Semicond. Sci. Technol. 2012, 27, 35019. [Google Scholar] [CrossRef]
- Piprek, J.; Sink, R.K.; Hansen, M.A.; Bowers, J.E.; DenBaars, S.P. Simulation and optimization of 420-nm InGaN/GaN laser diodes. In Proceedings of the Physics and Simulation of Optoelectronic Devices VIII; Binder, R.H., Blood, P., Osinski, M., Eds.; SPIE: San Jose, CA, USA, 2000; Volume 3944, pp. 28–39. [Google Scholar]
- Piprek, J. Nitride Semiconductor Devices: Principles and Simulation; Wiley Online Library: Berlin, Gremany, 2007; Volume 590. [Google Scholar]
- Fan, W.H.; Olaizola, S.M.; Wang, T.; Parbrook, P.J.; Wells, J.-P.R.; Mowbray, D.J.; Skolnick, M.S.; Fox, A.M. Carrier capture times in InGaN/GaN multiple quantum wells. Phys. Status Solidi 2003, 240, 364–367. [Google Scholar] [CrossRef]
- Lang, J.R.; Young, N.G.; Farrell, R.M.; Wu, Y.-R.; Speck, J.S. Carrier escape mechanism dependence on barrier thickness and temperature in InGaN quantum well solar cells. Appl. Phys. Lett. 2012, 101, 181105. [Google Scholar] [CrossRef]
- Yu, H.; Lee, L.K.; Jung, T.; Ku, P.C. Photoluminescence study of semipolar {} InGaN/GaN multiple quantum wells grown by selective area epitaxy. Appl. Phys. Lett. 2007, 90, 141906. [Google Scholar] [CrossRef]
- Roy, S.; Islam, M.R.; Hasan, M.M.; Hossain, S.A. Crystallographic orientation-dependent performance of 445 nm InGaN Blue Laser. In Proceedings of the 2016 9th International Conference on Electrical and Computer Engineering (ICECE), Dhaka, Bangladesh, 20–22 December 2016; pp. 307–310. [Google Scholar]
- Tian, A.; Liu, J.; Zhang, L.; Li, Z.; Ikeda, M.; Zhang, S.; Li, D.; Wen, P.; Zhang, F.; Cheng, Y.; et al. Green laser diodes with low threshold current density via interface engineering of InGaN/GaN quantum well active region. Opt. Express 2017, 25, 415–421. [Google Scholar] [CrossRef]
- Adachi, M.; Yoshizumi, Y.; Enya, Y.; Kyono, T.; Sumitomo, T.; Tokuyama, S.; Takagi, S.; Sumiyoshi, K.; Saga, N.; Ikegami, T.; et al. Low Threshold Current Density InGaN Based 520–530 nm Green Laser Diodes on Semi-Polar {2021} Free-Standing GaN Substrates. Appl. Phys. Express 2010, 3, 121001. [Google Scholar] [CrossRef]
- Scheibenzuber, W.G. GaN-Based Laser Diodes: Towards Longer Wavelengths and Short Pulses; Springer Science & Business Media: Freiburg, Germany, 2012. [Google Scholar]

















| Symbol | Quantity (Unit) | GaN | InN |
|---|---|---|---|
| a | Lattice Constant (A0) | 3.189 | 3.544 |
| c | 5.185 | 5.718 | |
| n | Refractive Index | 2.29 | 3.2 |
| A1 | Valence band effective mass parameters | −7.24 | −15.803 |
| A2 | −0.51 | −0.497 | |
| A3 | 6.73 | 15.251 | |
| A4 | −3.36 | −7.151 | |
| A5 | −3.35 | −7.060 | |
| A6 | −4.72 | −10.078 | |
| Δ1 | Energy parameters (meV) | 21 | 17 |
| Δso | 11 | 3 | |
| Δ2 = Δ3 = Δso/3 | 3.67 | 1 | |
| C11 | Elastic Stiffness Constant (GPa) | 375 | 225 |
| C12 | 140 | 110 | |
| C13 | 115 | 95 | |
| C33 | 385 | 200 | |
| C44 | 120 | 45 | |
| D1 | Deformation Potentials(eV) | −4.08 | −3.62 |
| D2 | 0.7 | −4.60 | |
| D3 | 2.1 | 2.68 | |
| D4 | 1.4 | 1.74 | |
| D5 | −0.7 | −2.07 | |
| D6 | −0.7 | −2.07 | |
| d33 | Piezoelectric Constant(C/m2) | 0.65 | 0.43 |
| d31 | −0.33 | −0.22 | |
| d15 | −0.33 | −0.22 | |
| Psp | Spontaneous Polarization (C/m2) | −0.029 | −0.032 |
| A | Unimolecular recombination rate coefficient (s−1) | 1 × 107 | 4 × 107 |
| B | Radiative recombination rate coefficient (cm−3 s−1) | 1.1 × 10−8 | 2.0 × 10−10 |
| C | Auger recombination rate coefficient (cm−6 s−1) | 1.4 × 10−31 | 1.05 × 10−31 |
| Symbol (Unit) | Quantity | Value |
|---|---|---|
| Current-injection efficiency | 0.86 | |
| Optical confinement factor | 0.029 | |
| Vact (m3) | Volume of one QW | 4 × 10−19 |
| Output power coupling coefficient | 0.51 | |
| Phenomenological gain-saturation term | 5 × 10−17 | |
| AW (s−1) | QW unimolecular recombination constant | 3.3 × 107 |
| Ab (s−1) | SCH unimolecular recombination constant | 1 × 107 |
| CW (cm−6 s−1) | Auger recombination constant in QW | 3.5 × 10−31 |
| Cb (cm−6 s−1) | SCH Auger recombination constant | 1.4 × 10−31 |
| BW (cm3 s−1) | QW Radiative recombination constant | 3.06 × 10−10 |
| Bb (cm3 s−1) | SCH radiative recombination constant | 1.1 × 10−8 |
| Radiative recombination coupling | 1 × 10−4 | |
| Vbarr (m3) | Volume of SCH | 3 × 10−17 |
| (ps) | QW capture lifetime | 4 |
| (ps) | emission lifetime of QW | 6 |
| αi (cm−1) | Internal loss of the cavity | 42 |
| Lc (µm) | Cavity length | 200 |
| Rm | Mean mirror reflectivity | 0.995 |
| Crystal Orientation | CB-HH (eV) | CB-LH (eV) | HH-LH (eV) |
|---|---|---|---|
| (0001) | 2.741 | 2.921 | 0.18 |
| () | 2.702 | 3.552 | 0.85 |
| () | 2.765 | 4.517 | 1.752 |
| () | 2.824 | 4.174 | 1.35 |
| () | 2.80 | 3.162 | 0.362 |
| Crystal Orientation | ||
|---|---|---|
| (0001) | 4.35 | 3.64 |
| () | 5.32 | 3.02 |
| () | 6.34 | 2.08 |
| () | 6.26 | 2.13 |
| () | 5.03 | 3.31 |
| Crystal Orientation | PZ Field (MV/cm) | Peak Gain (cm−1) | Emission Wavelength (nm) | Conduction Band Energy Shifts, ΔEc (meV) | HH Band Energy Shifts, ΔEhh (meV) | ||
|---|---|---|---|---|---|---|---|
| Without PZ Field | With PZ Field | Without PZ Field | With PZ Field | ||||
| (0001) | −1.79 | 4245 | 1898 | 443 | 452 | 0.5120 | 0.7315 |
| () | −0.85 | 4660 | 2847 | 452 | 459 | 0.1337 | 0.2927 |
| () | 0 | 4880 | 4367 | 446 | 448 | 0 | 0 |
| () | +0.15 | 4800 | 3701 | 439 | 439 | 0.0824 | 0.1541 |
| () | 0 | 4178 | 2372 | 438 | 443 | 0 | 0 |
| Crystal Orientation | Pumping Current (mA) | QW Electron Density Nop (cm−3) | SCH Electron Density Nbop (cm−3) | Photon Density Sop (cm−3) |
|---|---|---|---|---|
| (0001) | 2.80 | |||
| () | 2.30 | |||
| () | 2.00 | |||
| () | 1.50 | |||
| () | 1.95 |
Publisher’s Note: MDPI stays neutral with regard to jurisdictional claims in published maps and institutional affiliations. |
© 2020 by the authors. Licensee MDPI, Basel, Switzerland. This article is an open access article distributed under the terms and conditions of the Creative Commons Attribution (CC BY) license (http://creativecommons.org/licenses/by/4.0/).
Share and Cite
Roy, S.; Kiratnia, S.G.; Roy, P.N.; Hasan, M.M.; Howlader, A.H.; Rahman, M.S.; Islam, M.R.; Rana, M.M.; Abdulrazak, L.F.; Mehedi, I.M.; et al. Numerical Investigation into Optoelectronic Performance of InGaN Blue Laser in Polar, Non-Polar and Semipolar Crystal Orientation. Crystals 2020, 10, 1033. https://doi.org/10.3390/cryst10111033
Roy S, Kiratnia SG, Roy PN, Hasan MM, Howlader AH, Rahman MS, Islam MR, Rana MM, Abdulrazak LF, Mehedi IM, et al. Numerical Investigation into Optoelectronic Performance of InGaN Blue Laser in Polar, Non-Polar and Semipolar Crystal Orientation. Crystals. 2020; 10(11):1033. https://doi.org/10.3390/cryst10111033
Chicago/Turabian StyleRoy, Sourav, Sharadindu Gopal Kiratnia, Priyo Nath Roy, Md. Mahmudul Hasan, Ashraful Hossain Howlader, Md. Shohanur Rahman, Md. Rafiqul Islam, Md. Masud Rana, Lway Faisal Abdulrazak, Ibrahim Mustafa Mehedi, and et al. 2020. "Numerical Investigation into Optoelectronic Performance of InGaN Blue Laser in Polar, Non-Polar and Semipolar Crystal Orientation" Crystals 10, no. 11: 1033. https://doi.org/10.3390/cryst10111033
APA StyleRoy, S., Kiratnia, S. G., Roy, P. N., Hasan, M. M., Howlader, A. H., Rahman, M. S., Islam, M. R., Rana, M. M., Abdulrazak, L. F., Mehedi, I. M., Islam, M. S., & Hossain, M. B. (2020). Numerical Investigation into Optoelectronic Performance of InGaN Blue Laser in Polar, Non-Polar and Semipolar Crystal Orientation. Crystals, 10(11), 1033. https://doi.org/10.3390/cryst10111033

