Synthesis and Crystal Structure of 3-(4-Methoxyphenyl)-2-thioxo-2,3-dihydroquinazolin-4(1H)-one
Abstract
: Synthesis of the title compound from 4-methoxyaniline was accomplished in three steps. The structure was supported by spectroscopic data and unambiguously confirmed by single crystal X-ray diffraction data. It crystallizes in the monoclinic space group P21 with unit cell dimensions a = 9.9349(8), b = 6.3377(5), c = 10.5783(10) Å, β = 97.752(3)°, V = 659.97(10) Å3, Z = 2.1. Introduction
Quinazolinone is the building unit of approximately 150 naturally occurring alkaloids isolated from microorganisms, plants and animals [1]. It is a very important heterocycle exhibiting excellent pharmacological activities such as antimicrobial [2], antifungal [3], antitumor [4], anticancer [5], antiinflammatory [6], antidepressant [7], and anticonvulsant [8] activities. 3-Aryl-2-thioxo-2,3-dihydroquinazolin-4(1H)-one are derivatives of quinazolinones have a wide range of pharmacological and biological activities such as anticonvulsant and antitumor [9]. Altanserin (3-(2-(4-(4-fluorobenzoyl)-l-piperidinyl)-ethyl)-2,3-dihydro-2-thioxo-1H-quinazolin-4-one) and nitro altanserin are used as drugs for 5-HT2A receptor antagonists [10].
2. Results and Discussion
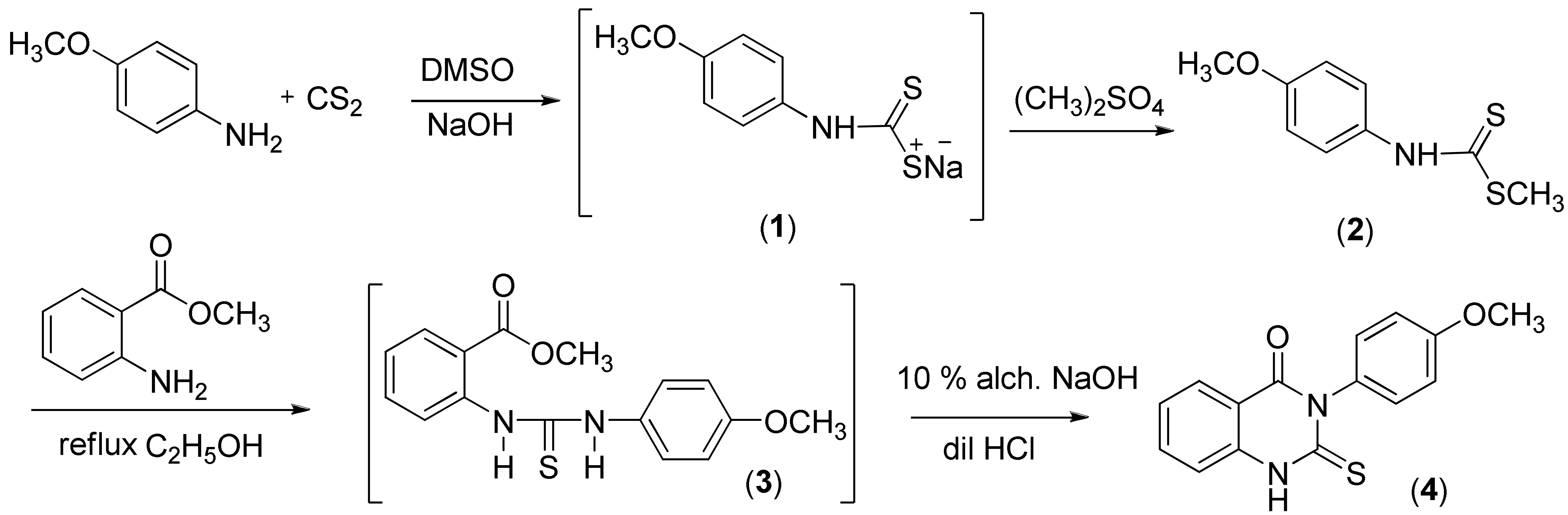
The title compound was synthesized by slight modification of a reported method [11] according to the route depicted in Figure 1. 4-Methoxyaniline in DMSO was treated with carbon disulfide and aqueous sodium hydroxide to afford sodium 4-methoxyphenylcarbamodithioate (1) followed by reaction with dimethyl sulfate to furnish the methyl 4-methoxyphenylcarbamodithioate (2). A solution of (2) in ethanol (20 mL) was treated with methyl anthranilate in presence of anhydrous potassium carbonate to provide the methyl 2-(3-(4-methoxyphenyl)thioureido)benzoate as intermediate (3), which on basic hydrolysis yielded the title compound (4) which was recrystallized from ethanol as colorless crystals.
Formation of (4) was confirmed by IR which showed peaks at 3187.6 cm−1 for NH, 1706.6 cm−1 for C=O and 1224.9 cm−1 for C=S, respectively. In the 1H-NMR spectrum a singlet at δ 3.88 ppm due to OCH3 group, a multiplet at δ 7–8.1 ppm for aromatic (8H) protons and a singlet at d 10.36 ppm indicated the presence of NH.
The molecular structure of (4) is shown in Figure 2. The dihydroquinazoline N1/C1/N2/C2-C8 ring system essentially planar with an r.m.s. deviation of 0.052(1) Å. The molecule is twisted around the C9-N2 bond with a dihedral angle of 79.84(4)° between the dihydroquinazoline ring system and the substituted phenyl C9-C14 ring. The C1=S1 and C2=O1 bond lengths are 1.6799(10) and 1. 2119(14) Å, respectively, which are comparable with the reported double bond lengths [12]. Packing diagrams of (4) are shown in Figures 3 and 4. The molecules are linked by an N-H… S hydrogen bond (N1-H1…S1i N1-H1 = 0.796(17) Å, H1…S1 = 2.656(18) Å, N1…S1 = 3.4181(10) Å, <H1-N1…S1 = 160.9(16)°; symmetry code: (i) 1−x, −1/2+y, −z) forming a zig-zag chain structure along the b axis (Figure 3). The molecular chains are further connected by a C-H… O hydrogen bond (C11-H11…O1ii C11-H11 = 0.95 Å, H11…O1 = 2.36 Å, C11…O1 = 3.2543(15) Å, C11-H11…O1 = 157°; symmetry code: (ii) 1−x, −1/2+y, 1−z), forming a layer parallel to the bc plane (Figure 4).
2.1. Crystal Structure Determination
Data were collected at 180(1) K on a Rigaku RAPID II IP diffractometer using MoKα radiation. The numerical absorption correction with NUMABS were employed [13]. The structure was solved by direct methods [14], and refined by full-matrix least-squares refinement [14] on F2 with 185 parameters for 3719 unique intensities. All atoms except H were refined anisotropically. H atoms were found in a difference Fourier map and the N-bound H atom was refined freely. Other H atoms were refined on idealized positions (C-H = 0.95 or 0.98 Å) with Uiso(H) = 1.2 Ueq(C) or 1.5Ueq(Cmethyl). Experimental data are listed in Table 1.
3. Experimental Section
Melting points were recorded using a digital Gallenkamp (SANYO) model MPD BM 3.5 apparatus and are uncorrected. The FTIR spectra were recorded on FTS 3000 MX, Bio-Rad Merlin (Excalibur Model) spectrophotometer. 1H NMR spectra were determined as CDCl3 solutions at 300 MHz using a Bruker Mass Spectra (EI, 70 eV) on a GC-MS instrument. All compounds were purified by thick layer chromatography using silica gel from Merck.
Synthesis of 3-(4-Methoxyphenyl)-2-thioxo-2,3-dihydroquinazolin-4(1H)-one (4)
To a solution of 4-methoxyaniline (0.02 mol) in DMSO (10 mL), carbon disulfide (1.6 mL, 0.026 mol) was added followed by an aqueous solution of sodium hydroxide (1.2 mL, 20 M) dropwise with stirring to afford salt (1) as an intermediate. After two hours, dimethyl sulfate (0.02 mol) was added gradually while the reaction mixture was kept stirring in a freezing mixture for five hours. After the completion, the reaction mixture was poured into ice water. The solid obtained was filtered, washed and re-crystallized from ethanol to obtain methyl 4-methoxyphenylcarbamodithioate (2). To the solution of (2) (0.01 mol) in ethanol (20 mL), methyl anthranilate (0.01 mol), anhydrous potassium carbonate (100 mg) was added and the solution was refluxed for 25 hours. The reaction mixture was poured onto cold water. Solid methyl 2-(3-(4-methoxyphenyl)thioureido)benzoate (3) obtained, was filtered and refluxed in 10% alcoholic sodium hydroxide solution for two hours. After cooling at room temperature, it was re-precipitated by treatment with dilute hydrochloric acid. The solid obtained was washed with water and recrystallized from ethanol to afford (4) as colourless crystals. (80%): m.p. 280 °C; Rf: 0.15 (petroleum ether: ethyl acetate,4:1); IR (KBr) υ cm−1: 3187 (N-H),1704 (C=O), 1585 (Ar-C=C), 1196 (C=S); 1H NMR (DMSO, 300 MHz) δ: 13.02 (s, 1H, NH), 7.9 (d, 1H, Ar-H), 7.7 (Pseudo t, 1H, Ar-H), 7.4 (d,1H, Ar-H), 7.3 (pseudo t, 1H, Ar-H), 7.1 (d, 2H, Ar-H), 7.0 (d, 2H, Ar-H), 3.8 (s, 3H, OCH3); 13C NMR (75.4 MHz) δ: 176.8 (C=S), 160.4 (C=O), 159.19 (C-N), 139.9 (Ar), 136.0 (Ar), 132.4 (Ar), 130.4 (Ar), 127 (Ar), 124.7 (Ar), 116.6 (Ar), 116.1 (Ar), 114.5 (Ar), 55.7 (MeO); Anal. Calcd. For C15H12N2O2S: C, 63.36; H, 4.25; N, 9.85; S, 11.28; Found: C, 63.35; H, 4.24; N, 9.84; S, 11.27; GC-MS m/z: 284.06 (M·+, 100).
4. Conclusions
Synthesis and molecular structure of a medicinally important compound is described. The dihydroquniazoline ring system is essentially planar; the molecule is twisted around the C9-N2 bond between the dihydroquinazoline ring system and the substituted phenyl C9-C14 ring. The molecules are linked by an N-H…S hydrogen bond forming a zig-zag chain structure along the b axis.




| Empirical formula | C15H12N2O2S | |
| Formula weight | 284.33 | |
| Temperature | 180(1)K | |
| Wavelength | 0.71075 Å | |
| Crystal system | Monoclinic | |
| Space group | P21 | |
| Unit cell dimensions | a = 9.9349(8) Å | α = 90° |
| b = 6.3377(5) Å | β = 97.752(3)° | |
| c = 10.5783(10) Å | γ = 90° | |
| Volume | 659.97(10) Å3 | |
| Z | 2 | |
| Density (calculated) | 1.431 mg/m3 | |
| Absorption coefficient | 0.247 mm−1 | |
| F(000) | 296 | |
| Crystal size | 0.13 × 0.36 × 0.38 mm3 | |
| Theta range for data collection | 3.0 to 30.0°. | |
| Index ranges | −13 ≤ h ≤ 13, −8 ≤ k ≤ 8, −14 ≤ l ≤ 14 | |
| Reflections collected | 12985 | |
| Independent reflections | 3719 [R(int) = 0.014] | |
| Completeness to theta = 29.97° | 99.8% | |
| Absorption correction | Numerical | |
| Max. and min. transmission | 0.968 and 0.915 | |
| Refinement method | Full-matrix least-squares on F2 | |
| Data/restraints/parameters | 3719/1/185 | |
| Goodness-of-fit on F2 | 1.07 | |
| Final R indices [I > 2σ(I0)] | R1 = 0.0271, wR2 = 0.0704 | |
| R indices (all data) | R1 = 0.0266, wR2 = 0.0702 | |
| Extinction coefficient | none | |
| Largest diff. peak and hole | 0.347 and −0.150 eÅ−3 | |
| Flack parameter | 0.00(4) | |
| CCDC No. | 831309 |
Acknowledgments
The author gratefully acknowledges a research grant from the Higher Education Commission of Pakistan under project No. 4-279/PAK-US/HEC 2010-917.
References and Notes
- Mhaske, S.B.; Argade, N.P. The chemistry of recently isolated naturally occurring quinazolinone alkaloids. Tetrahedron 2006, 62, 9787–9826. [Google Scholar]
- Patel, B.N.; Patel, C.J. Synthesis and Antimicrobial Activity of 3-(1,3,4-Oxadiazol-2-yl)quinazolin-4(3H)-ones. Sci. Pharm. 2010, 78, 171–193. [Google Scholar]
- Bartroli, J.; Turmo, E.; Alguero, M.; Boncompte, E.; Vericat, M.L.; Conte, L.; Ramis, J.; Merlos, M.; Garcia-Rafanell, J.; Forn, J. Synthesis and Antifungal Activity of 3-Substituted-4(3H)-quinazolinones. J. Med. Chem. 1998, 41, 1869–1882. [Google Scholar]
- Al-Obaid, A.M.; Abdel-Hamide, S.G.; El-Kashef, H.A.; Abdel-Aziz, A.A.-M.; El-Azab, A.S.; Al-Khamees, H.A.; El-Subbagh., H.I. Substituted quinazolines, part 3. Synthesis, in vitro antitumor activity and molecular modeling study of certain 2-thieno-4(3H)-quinazolinone analogs. Eur. J. Med. Chem. 2009, 44, 2379–2391. [Google Scholar]
- Kamal, A.; Vijaya, B.E.; Janaki Ramaiah, M.; Dastagiri, D.; Surendranadha, R.J.; Viswanath, A.; Sultana, F.; Pushpavalli, S.N.C.V.L.; Pal-Bhadra, M.; Srivastava, H.K.; Narahari, S.G.; Juvekar, A.; Sen, S.; Zingde, S. Quinazolinone linked pyrrolo[2,1-c][1,4]benzodiazepine (PBD) conjugates: Design, synthesis and biological evaluation as potential anticancer agents. Bioorg. Med. Chem. 2010, 18, 526–542. [Google Scholar]
- Laddha, S.S.; Bhatnagar, P.S. A new therapeutic approach in Parkinson's disease: Some novel quinazoline derivatives as dual selective phosphodiesterase 1 inhibitors and anti-inflammatory agents. Bioorg. Med. Chem. 2009, 17, 6796–6802. [Google Scholar]
- Gökhan-Kelekçi, N.; Koyunoglu, S.; Yabano˘lu, S.; Yelekçi, K.; Özgen, Ö.; Uçar, G.; Erol, K.; Kendi, E.; Yes_ilada, A. New pyrazoline bearing 4(3H)-quinazolinone inhibitors of monoamine oxidase: Synthesis, biological evaluation, and structural determinants of MAO-A and MAO-B selectivity. Bioorg. Med. Chem. 2009, 17, 675–689. [Google Scholar]
- Mohsen, M.A.; Yahia, A.M.; Elkhairy, A.M.; Wahid, M.B.; Samir, Y.A. Synthesis of some new 4(3H)-quinazolinone-2-carboxaldehyde thiosemicarbazones and their metal complexes and a study on their anticonvulsant, analgesic, cytotoxic and antimicrobial activities - Part-1. Eur. J. Med. Chem. 2010, 45, 3365–3373. [Google Scholar]
- Abdel Gawad, N.M.; Georgey, H.H.; Youssef, R.M.; El Sayed, A.N. Design, synthesis, and anticonvulsant activity of novel quinazolinone analogues. Med. Chem. Res. 2010. [Google Scholar] [CrossRef]
- Du, X.; Jiang, Y.; Qian, W.; Lu, X.; Walsh, J.P. Fatty acids inhibit growth-factor-induced diacylglycerol kinase a activation in vascular smooth-muscle cells. Biochem. J. 2001, 357, 275–282. [Google Scholar]
- Bowman, W.R.; Elsegood, M.R.J.; Stein, T.; Weaver, G.W. Radical reactions with 3H-quinazolin-4-ones: synthesis of deoxyvasicinone, mackinazolinone, luotonin A, rutaecarpine and tryptanthrin. Org. Biomol. Chem. 2007, 5, 103–113. [Google Scholar]
- Higashi, T. NUMABS; Rigaku Corporation: Tokyo, Japan, 1999. [Google Scholar]
- Sheldrick, G.M. A short history of SHELX. Acta Cryst. 2008, A64, 112–122. [Google Scholar]
- Allen, F.H.; Kennard, O.; Watson, D.G.; Brammer, L.; Orpen, A.G.; Taylor, R. Tables of bond lengths determined by X-ray and Neutron Diffraction. Part 1. Bond lengths in Organic compounds. J. Chem. Soc. Perkin Trans. II 1987, S1–S19. [Google Scholar]
© 2011 by the authors, licensee MDPI, Basel, Switzerland. This article is an open access article distributed under the terms and conditions of the Creative Commons Attribution license (http://creativecommons.org/licenses/by/3.0/).
Share and Cite
Saeed, A.; Mahmood, S.u.; Ishida, H. Synthesis and Crystal Structure of 3-(4-Methoxyphenyl)-2-thioxo-2,3-dihydroquinazolin-4(1H)-one. Crystals 2011, 1, 171-177. https://doi.org/10.3390/cryst1030171
Saeed A, Mahmood Su, Ishida H. Synthesis and Crystal Structure of 3-(4-Methoxyphenyl)-2-thioxo-2,3-dihydroquinazolin-4(1H)-one. Crystals. 2011; 1(3):171-177. https://doi.org/10.3390/cryst1030171
Chicago/Turabian StyleSaeed, Aamer, Shams ul Mahmood, and H. Ishida. 2011. "Synthesis and Crystal Structure of 3-(4-Methoxyphenyl)-2-thioxo-2,3-dihydroquinazolin-4(1H)-one" Crystals 1, no. 3: 171-177. https://doi.org/10.3390/cryst1030171
APA StyleSaeed, A., Mahmood, S. u., & Ishida, H. (2011). Synthesis and Crystal Structure of 3-(4-Methoxyphenyl)-2-thioxo-2,3-dihydroquinazolin-4(1H)-one. Crystals, 1(3), 171-177. https://doi.org/10.3390/cryst1030171

