Hybridization of Nanodiamond and CuFe-LDH as Heterogeneous Photoactivator for Visible-Light Driven Photo-Fenton Reaction: Photocatalytic Activity and Mechanism
Abstract
:1. Introduction
2. Results and Discussion
2.1. Characterization of ND/LDH
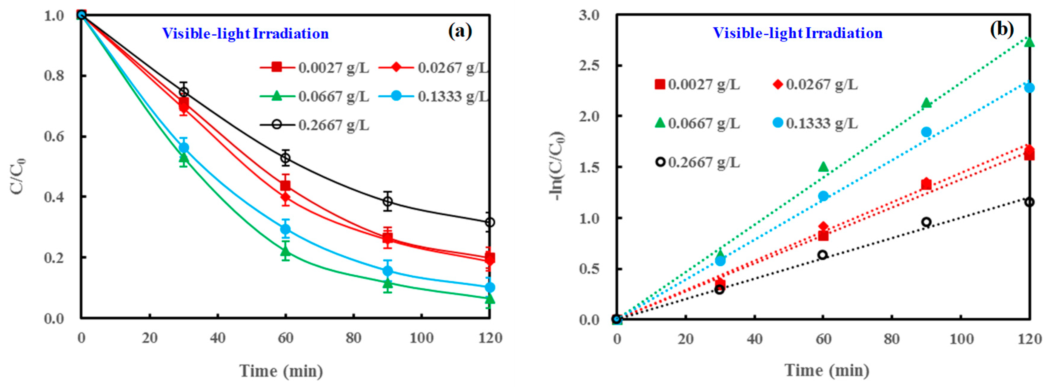
2.2. Photocatalytic Activity of ND/LDH
2.3. Photocatalytic Mechanism of ND/LDH
3. Materials and methods
3.1. Chemicals
3.2. Synthesis of Powdered ND/LDH
3.3. Characterization of ND/LDH
3.4. Photocatalytic Degradation Experiments
4. Conclusions
Author Contributions
Funding
Conflicts of Interest
References
- Ma, J.F.; Ding, J.F.; Yu, L.M.; Li, L.Y.; Kong, Y.; Komarneni, S. BiOCl dispersed on NiFe-LDH leads to enhanced photo-degradation of Rhodamine B dye. Appl. Clay Sci. 2015, 109, 76–82. [Google Scholar] [CrossRef]
- An, Y.L.; Qin, X.M. Effects of sulfamethoxazole on the denitrifying process in anoxic activated sludge and the responses of denitrifying microorganisms. Water Sci. Technol. 2018, 78, 1228–1236. [Google Scholar] [CrossRef] [PubMed]
- Ma, Y.H.; Chen, F.; Yang, Q.; Zhong, Y.; Shu, X.Y.; Yao, F.B.; Xie, T.; Li, X.M.; Wang, D.B.; Zeng, G.M. Sulfate radical induced degradation of Methyl Violet azo dye with CuFe layered doubled hydroxide as heterogeneous photoactivator of persulfate. J. Environ. Manag. 2018, 227, 406–414. [Google Scholar] [CrossRef] [PubMed]
- Akhundi, A.; Habibi-Yangjeh, A. Graphitic carbon nitride nanosheets decorated with CuCr2O4 nanoparticles: Novel photocatalysts with high performances in visible light degradation of water pollutants. J. Colloid Interface Sci. 2017, 504, 697–710. [Google Scholar] [CrossRef] [PubMed]
- Mousavi, M.; Habibi-Yangjeh, A.; Pouran, S.R. Review on magnetically separable graphitic carbon nitride-based nanocomposites as promising visible-light-driven photocatalysts. J. Mater. Sci. Mater. Electron. 2018, 29, 1719–1747. [Google Scholar] [CrossRef]
- Jawad, A.; Lang, J.; Liao, Z.W.; Khan, A.; Ifthikar, J.; Lv, Z.N.; Long, S.J.; Chen, Z.L.; Chen, Z.Q. Activation of persulfate by CuOx@Co-LDH: A novel heterogeneous system for contaminant degradation with broad pH window and controlled leaching. Chem. Eng. J. 2018, 335, 548–559. [Google Scholar] [CrossRef]
- Ensing, B.; Buda, F.; Baerends, E.J. Fenton-like chemistry in water: Oxidation catalysis by Fe(III) and H2O2. J. Phys. Chem. A 2003, 107, 5722–5731. [Google Scholar] [CrossRef]
- Zhang, M.L.; Yao, Q.F.; Guan, W.J.; Lu, C.; Lin, J.M. Layered Double Hydroxide-Supported Carbon Dots as an Efficient Heterogeneous Fenton-Like Catalyst for Generation of Hydroxyl Radicals. J. Phys. Chem. C 2014, 118, 10441–10447. [Google Scholar] [CrossRef]
- Santos, P.S.M.; Duarte, A.C. Fenton-like oxidation of small aromatic acids from biomass burning in water and in the absence of light: Implications for atmospheric chemistry. Chemosphere 2015, 119, 786–793. [Google Scholar] [CrossRef] [PubMed]
- Lei, Y.; Chen, C.S.; Tu, Y.J.; Huang, Y.H.; Zhang, H. Heterogeneous Degradation of Organic Pollutants by Persulfate Activated by CuO-Fe3O4: Mechanism, Stability, and Effects of pH and Bicarbonate Ions. Environ. Sci. Technol. 2015, 49, 6838–6845. [Google Scholar] [CrossRef] [PubMed]
- Samakchi, S.; Chaibakhsh, N.; Moradi-Shoeili, Z. Synthesis of MoS2/MnFe2O4 nanocomposite with highly efficient catalytic performance in visible light photo-Fenton-like process. J. Photochem. Photobiol. A 2018, 367, 420–428. [Google Scholar] [CrossRef]
- Bansal, P.; Verma, A.; Talwar, S. Detoxification of real pharmaceutical wastewater by integrating photocatalysis and photo-Fenton in fixed-mode. Chem. Eng. J. 2018, 349, 838–848. [Google Scholar] [CrossRef]
- Kulkarni, A.; Han, C.; Bhatkhande, D.; Dionysiou, D.D. Photocatalytic degradation of maleic anhydride using visible light-activated NF-codoped TiO2. Sep. Purif. Technol. 2015, 156, 1011–1018. [Google Scholar] [CrossRef]
- Jawad, A.; Li, Y.B.; Lu, X.Y.; Chen, Z.Q.; Liu, W.D.; Yin, G.C. Controlled leaching with prolonged activity for Co-LDH supported catalyst during treatment of organic dyes using bicarbonate activation of hydrogen peroxide. J. Hazard. Mater. 2015, 289, 165–173. [Google Scholar] [CrossRef] [PubMed]
- Fan, G.L.; Li, F.; Evans, D.G.; Duan, X. Catalytic applications of layered double hydroxides: Recent advances and perspectives. Chem. Soc. Rev. 2014, 43, 7040–7066. [Google Scholar] [CrossRef] [PubMed]
- Nayak, S.; Mohapatra, L.; Parida, K. Visible light-driven novel g-C3N4/NiFe-LDH composite photocatalyst with enhanced photocatalytic activity towards water oxidation and reduction reaction. J. Mater. Chem. A 2015, 3, 18622–18635. [Google Scholar] [CrossRef]
- Zhou, H.L.; Song, Y.X.; Liu, Y.C.; Li, H.D.; Li, W.J.; Chang, Z.D. Fabrication of CdS/Ni-Fe LDH heterostructure for improved photocatalytic hydrogen evolution from aqueous methanol solution. Int. J. Hydrogen Energy 2018, 43, 14328–14336. [Google Scholar] [CrossRef]
- Pausova, S.; Krysa, J.; Jirkovsky, J.; Forano, C.; Mailhot, G.; Prevot, V. Insight into the photocatalytic activity of ZnCr-CO3 LDH and derived mixed oxides. Appl. Catal. B-Environ. 2015, 170, 25–33. [Google Scholar] [CrossRef]
- Zhang, G.K.; Gao, Y.Y.; Zhang, Y.L.; Guo, Y.D. Fe2O3-Pillared Rectorite as an Efficient and Stable Fenton-Like Heterogeneous Catalyst for Photodegradation of Organic Contaminants. Environ. Sci. Technol. 2010, 44, 6384–6389. [Google Scholar] [CrossRef]
- Xu, L.J.; Wang, J.L. Magnetic Nanoscaled Fe3O4/CeO2 Composite as an Efficient Fenton-Like Heterogeneous Catalyst for Degradation of 4-Chlorophenol. Environ. Sci. Technol. 2012, 46, 10145–10153. [Google Scholar] [CrossRef]
- Yan, J.C.; Chen, Y.; Qian, L.B.; Gao, W.G.; Ouyang, D.; Chen, M.F. Heterogeneously catalyzed persulfate with a CuMgFe layered double hydroxide for the degradation of ethylbenzene. J. Hazard. Mater. 2017, 338, 372–380. [Google Scholar] [CrossRef]
- Kong, L.N.; Zhang, X.T.; Wang, C.H.; Wan, F.X.; Li, L. Synergic effects of CuxO electron transfer co-catalyst and valence band edge control over TiO2 for efficient visible-light photocatalysis. Chin. J. Catal. 2017, 38, 2120–2131. [Google Scholar] [CrossRef]
- Lin, Z.Y.; Xiao, J.; Li, L.H.; Liu, P.; Wang, C.X.; Yang, G.W. Nanodiamond-Embedded p-Type Copper(I) Oxide Nanocrystals for Broad-Spectrum Photocatalytic Hydrogen Evolution. Adv. Energy Mater. 2016, 6. [Google Scholar] [CrossRef]
- Pastrana-Martinez, L.M.; Morales-Torres, S.; Carabineiro, S.A.C.; Buijnsters, J.G.; Faria, J.L.; Figueiredo, J.L.; Silva, A.M.T. Nanodiamond-TiO2 Composites for Heterogeneous Photocatalysis. Chempluschem 2013, 78, 801–807. [Google Scholar] [CrossRef]
- Mochalin, V.N.; Shenderova, O.; Ho, D.; Gogotsi, Y. The properties and applications of nanodiamonds. Nat. Nanotechnol. 2012, 7, 11–23. [Google Scholar] [CrossRef] [PubMed]
- Aramesh, M.; Fox, K.; Lau, D.W.M.; Fang, J.H.; Ostrikov, K.; Prawer, S.; Cervenka, J. Multifunctional three-dimensional nanodiamond-nanoporous alumina nanoarchitectures. Carbon 2014, 75, 452–464. [Google Scholar] [CrossRef]
- Sampaio, M.J.; Pastrana-Martinez, L.M.; Silva, A.M.T.; Buijnsters, J.G.; Han, C.; Silva, C.G.; Carabineiro, S.A.C.; Dionysiou, D.D.; Faria, J.L. Nanodiamond-TiO2 composites for photocatalytic degradation of microcystin-LA in aqueous solutions under simulated solar light. RSC Adv. 2015, 5, 58363–58370. [Google Scholar] [CrossRef]
- Kim, K.D.; Dey, N.K.; Seo, H.O.; Kim, Y.D.; Lim, D.C.; Lee, M. Photocatalytic decomposition of toluene by nanodiamond-supported TiO2 prepared using atomic layer deposition. Appl. Catal. A-Gen. 2011, 408, 148–155. [Google Scholar] [CrossRef]
- Sempere, D.; Navalon, S.; Dancikova, M.; Alvaro, M.; Garcia, H. Influence of pretreatments on commercial diamond nanoparticles on the photocatalytic activity of supported gold nanoparticles under natural Sunlight irradiation. Appl. Catal. B-Environ. 2013, 142, 259–267. [Google Scholar] [CrossRef]
- Navalon, S.; Martin, R.; Alvaro, M.; Garcia, H. Gold on Diamond Nanoparticles as a Highly Efficient Fenton Catalyst. Angew. Chem. Int. Edit. 2010, 49, 8403–8407. [Google Scholar] [CrossRef]
- Navalon, S.; Sempere, D.; Alvaro, M.; Garcia, H. Influence of Hydrogen Annealing on the Photocatalytic Activity of Diamond-Supported Gold Catalysts. ACS Appl. Mater Interfaces 2013, 5, 7160–7169. [Google Scholar] [CrossRef]
- Baidakova, M.; Vul’, A. New prospects and frontiers of nanodiamond clusters. J. Phys. D Appl. Phys. 2007, 40, 6300–6311. [Google Scholar] [CrossRef]
- Shenderova, O.; Koscheev, A.; Zaripov, N.; Petrov, I.; Skryabin, Y.; Detkov, P.; Turner, S.; Van Tendeloo, G. Surface Chemistry and Properties of Ozone-Purified Detonation Nanodiamonds. J. Phys. Chem. C 2011, 115, 9827–9837. [Google Scholar] [CrossRef]
- Huang, H.; Lu, B.Q.; Liu, Y.Y.; Wang, X.Q.; Hu, J. Synthesis of LaMnO3-Diamond Composites and Their Photocatalytic Activity in the Degradation of Weak Acid Red C-3GN. Nano 2018, 13. [Google Scholar] [CrossRef]
- Gao, W.; Zhao, Y.F.; Liu, J.M.; Huang, Q.W.; He, S.; Li, C.M.; Zhao, J.W.; Wei, M. Catalytic conversion of syngas to mixed alcohols over CuFe-based catalysts derived from layered double hydroxides. Catal. Sci. Technol. 2013, 3, 1324–1332. [Google Scholar] [CrossRef]
- Jawad, A.; Li, Y.B.; Guo, L.S.; Khan, A.; Chen, Z.Q.; Wang, J.Y.; Yang, J.K.; Liu, W.D.; Yin, G.C. Bimetallic synergistic degradation of chlorophenols by CuCoOx-LDH catalyst in bicarbonate-activated hydrogen peroxide system. RSC Adv. 2016, 6, 72643–72653. [Google Scholar] [CrossRef]
- Boppella, R.; Choi, C.H.; Moon, J.; Kim, D.H. Spatial charge separation on strongly coupled 2D-hybrid of rGO/La2Ti2O7/NiFe-LDH heterostructures for highly efficient noble metal free photocatalytic hydrogen generation. Appl. Catal. B-Environ. 2018, 239, 178–186. [Google Scholar] [CrossRef]
- Brocenschi, R.F.; Hammer, P.; Deslouis, C.; Rocha, R.C. Assessments of the Effect of Increasingly Severe Cathodic Pretreatments on the Electrochemical Activity of Polycrystalline Boron-Doped Diamond Electrodes. Anal. Chem. 2016, 88, 5363–5368. [Google Scholar] [CrossRef]
- Lu, C.H.; Qi, L.M.; Yang, J.H.; Zhang, D.Y.; Wu, N.Z.; Ma, J.M. Simple template-free solution route for the controlled synthesis of Cu(OH)(2) and CuO nanostructures. J. Phys. Chem. B 2004, 108, 17825–17831. [Google Scholar] [CrossRef]
- Chen, L.F.; Guo, P.J.; Qiao, M.H.; Yan, S.R.; Li, H.X.; Shen, W.; Xu, H.L.; Fan, K.N. Cu/SiO2 catalysts prepared by the ammonia-evaporation method: Texture, structure, and catalytic performance in hydrogenation of dimethyl oxalate to ethylene glycol. J. Catal. 2008, 257, 172–180. [Google Scholar] [CrossRef]
- Gervasini, A.; Manzoli, M.; Martra, G.; Ponti, A.; Ravasio, N.; Sordelli, L.; Zaccheria, F. Dependence of copper species on the nature of the support for dispersed CuO catalysts. J. Phys. Chem. B 2006, 110, 7851–7861. [Google Scholar] [CrossRef] [PubMed]
- Marella, R.K.; Neeli, C.K.P.; Kamaraju, S.R.R.; Burri, D.R. Highly active Cu/MgO catalysts for selective dehydrogenation of benzyl alcohol into benzaldehyde using neither O2 nor H2 acceptor. Catal. Sci. Technol. 2012, 2, 1833–1838. [Google Scholar] [CrossRef]
- Kishore, D.; Rodrigues, A.E. Liquid phase catalytic oxidation of isophorone with tert-butylhydroperoxide over Cu/Co/Fe-MgAl ternary hydrotalcites. Appl. Catal. A-Gen. 2008, 345, 104–111. [Google Scholar] [CrossRef]
- Yang, Q.; Zhong, Y.; Li, X.M.; Li, X.; Luo, K.; Wu, X.Q.; Chen, H.B.; Liu, Y.; Zeng, G.M. Adsorption-coupled reduction of bromate by Fe(II)-Al(III) layered double hydroxide in fixed-bed column: Experimental and breakthrough curves analysis. J. Ind. Eng. Chem. 2015, 28, 54–59. [Google Scholar] [CrossRef]
- Yu, J.G.; Liu, S.W.; Yu, H.G. Microstructures and photoactivity of mesoporous anatase hollow microspheres fabricated by fluoride-mediated self-transformation. J. Catal. 2007, 249, 59–66. [Google Scholar] [CrossRef]
- Chen, F.; Yang, Q.; Wang, Y.L.; Zhao, J.W.; Wang, D.; Li, X.M.; Guo, Z.; Wang, H.; Deng, Y.C.; Niu, C.G.; et al. Novel ternary heterojunction photcocatalyst of Ag nanoparticles and g-C3N4 nanosheets co-modified BiVO4 for wider spectrum visible-light photocatalytic degradation of refractory pollutant. Appl. Catal. B-Environ. 2017, 205, 133–147. [Google Scholar] [CrossRef]
- Tang, X.X.; Liu, Y. Heterogeneous photo-Fenton degradation of methylene blue under visible irradiation by iron tetrasulphophthalocyanine immobilized layered double hydroxide at circumneutral pH. Dyes Pigment 2016, 134, 397–408. [Google Scholar] [CrossRef]
- Kim, J.R.; Kan, E. Heterogeneous photo-Fenton oxidation of methylene blue using CdS-carbon nanotube/TiO2 under visible light. J. Ind. Eng. Chem. 2015, 21, 644–652. [Google Scholar] [CrossRef]
- Ghanbari, F.; Moradi, M. Application of peroxymonosulfate and its activation methods for degradation of environmental organic pollutants: Review. Chem. Eng. J. 2017, 310, 41–62. [Google Scholar] [CrossRef]
- Anipsitakis, G.P.; Dionysiou, D.D. Radical generation by the interaction of transition metals with common oxidants. Environ. Sci. Technol. 2004, 38, 3705–3712. [Google Scholar] [CrossRef]
- Zhang, T.; Zhu, H.B.; Croue, J.P. Production of Sulfate Radical from Peroxymonosulfate Induced by a Magnetically Separable CuFe2O4 Spinel in Water: Efficiency, Stability, and Mechanism. Environ. Sci. Technol. 2013, 47, 2784–2791. [Google Scholar] [CrossRef] [PubMed]
- Galindo, C.; Jacques, P.; Kalt, A. Photodegradation of the aminoazobenzene acid orange 52 by three advanced oxidation processes: UV/H2O2 UV/TiO2 and VIS/TiO2—Comparative mechanistic and kinetic investigations. J. Photochem. Photobiol. A 2000, 130, 35–47. [Google Scholar] [CrossRef]
- Mohapatra, L.; Parida, K.; Satpathy, M. Molybdate/Tungstate Intercalated Oxo-Bridged Zn/Y LDH for Solar Light Induced Photodegradation of Organic Pollutants. J. Phys. Chem. C 2012, 116, 13063–13070. [Google Scholar] [CrossRef]
- Xu, Z.P.; Zeng, H.C. Decomposition Pathways of Hydrotalcite-like Compounds Mg1−xAlx(OH)2(NO3)x·nH2O as a Continuous Function of Nitrate Anions. Chem. Mater. 2001, 13, 4564–4572. [Google Scholar] [CrossRef]
- Xu, Z.P.; Zeng, H.C. Ionic interactions in crystallite growth of CoMgAl-hydrotalcite-like compounds. Chem. Mater. 2001, 13, 4555–4563. [Google Scholar] [CrossRef]
- Kustrowski, P.; Sulkowska, D.; Chmielarz, L.; Rafalska-Lasocha, A.; Dudek, B.; Dziembaj, R. Influence of thermal treatment conditions on the activity of hydrotalcite-derived Mg-Al oxides in the aldol condensation of acetone. Microporous Mesoporous Mater. 2005, 78, 11–22. [Google Scholar] [CrossRef]
- Li, H.Y.; Li, J.; Xu, C.C.; Yang, P.; Ng, D.H.L.; Song, P.; Zuo, M. Hierarchically porous MoS2/CoAl-LDH/HCF with synergistic adsorption-photocatalytic performance under visible light irradiation. J. Alloy Compd. 2017, 698, 852–862. [Google Scholar] [CrossRef]
- Yu, Q.; Li, J.; Li, H.D.; Wang, Q.L.; Cheng, S.H.; Li, L.A. Fabrication, structure, and photocatalytic activities of boron-doped ZnO nanorods hydrothermally grown on CVD diamond film. Chem. Phys. Lett. 2012, 539, 74–78. [Google Scholar] [CrossRef]
- Jorge, A.B.; Martin, D.J.; Dhanoa, M.T.S.; Rahman, A.S.; Makwana, N.; Tang, J.W.; Sella, A.; Cora, F.; Firth, S.; Darr, J.A.; et al. H-2 and O-2 Evolution from Water Half-Splitting Reactions by Graphitic Carbon Nitride Materials. J. Phys. Chem. C 2013, 117, 7178–7185. [Google Scholar] [CrossRef]
- Di, J.; Xia, J.X.; Ji, M.X.; Wang, B.; Yin, S.; Xu, H.; Chen, Z.G.; Li, H.M. Carbon Quantum Dots Induced Ultrasmall BiOI Nanosheets with Assembled Hollow Structures for Broad Spectrum Photocatalytic Activity and Mechanism Insight. Langmuir 2016, 32, 2075–2084. [Google Scholar] [CrossRef]
- Liu, H.; Cao, W.R.; Su, Y.; Wang, Y.; Wang, X.H. Synthesis, characterization and photocatalytic performance of novel visible-light-induced Ag/BiOI. Appl. Catal. B-Environ. 2012, 111, 271–279. [Google Scholar] [CrossRef]
- Nashim, A.; Parida, K. n-La2Ti2O7/p-LaCrO3: A novel heterojunction based composite photocatalyst with enhanced photoactivity towards hydrogen production. J. Mater. Chem. A 2014, 2, 18405–18412. [Google Scholar] [CrossRef]
- Li, S.; Bandy, J.A.; Hamers, R.J. Enhanced Photocatalytic Activity of Diamond Thin Films Using Embedded Ag Nanoparticles. ACS Appl. Mater. Interfaces 2018, 10, 5395–5403. [Google Scholar] [CrossRef] [PubMed]
- Hu, S.L.; Guo, Y.; Dong, Y.G.; Yang, J.L.; Liu, J.; Cao, S.R. Understanding the effects of the structures on the energy gaps in carbon nanoparticles from laser synthesis. J. Mater. Chem. 2012, 22, 12053–12057. [Google Scholar] [CrossRef]
- Terranova, M.L.; Orlanducci, S.; Rossi, M.; Tamburri, E. Nanodiamonds for field emission: Sstate of the art. Nanoscale 2015, 7, 5094–5114. [Google Scholar] [CrossRef] [PubMed]
- Liu, J.; Li, J.; Bing, X.M.; Ng, D.H.L.; Cui, X.L.; Ji, F.; Kionga, D.D. ZnCr-LDH/N-doped graphitic carbon-incorporated g-C3N4 2D/2D nanosheet heterojunction with enhanced charge transfer for photocatalysis. Mater. Res. Bull. 2018, 102, 379–390. [Google Scholar] [CrossRef]
- Di, G.L.; Zhu, Z.L.; Huang, Q.H.; Zhang, H.; Zhu, J.Y.; Qiu, Y.L.; Yin, D.Q.; Zhao, J.F. Targeted modulation of g-C3N4 photocatalytic performance for pharmaceutical pollutants in water using ZnFe-LDH derived mixed metal oxides: Structure-activity and mechanism. Sci. Total. Environ. 2019, 650, 1112–1121. [Google Scholar] [CrossRef]
- Gao, Y.W.; Li, S.M.; Li, Y.X.; Yao, L.Y.; Zhang, H. Accelerated photocatalytic degradation of organic pollutant over metal-organic framework MIL-53(Fe) under visible LED light mediated by persulfate. Appl. Catal. B-Environ. 2017, 202, 165–174. [Google Scholar] [CrossRef]
- Zhang, Y.C.; Zhang, Q.; Hong, J.M. Sulfate radical degradation of acetaminophen by novel iron-copper bimetallic oxidation catalyzed by persulfate: Mechanism and degradation pathways. Appl. Surf. Sci. 2017, 422, 443–451. [Google Scholar] [CrossRef]
- Tryba, B.; Piszcz, M.; Grzmil, B.; Pattek-Janczyk, A.; Morawski, A.W. Photodecomposition of dyes on Fe-C-TiO2 photocatalysts under UV radiation supported by photo-Fenton process. J. Hazard. Mater. 2009, 162, 111–119. [Google Scholar] [CrossRef]
- Tryba, B.; Morawski, A.W.; Inagaki, M.; Toyoda, M. Mechanism of phenol decomposition on Fe-C-TiO2 and Fe-TiO2 photocatalysts via photo-Fenton process. J. Photochem. Photobiol. A Chem. 2006, 179, 224–228. [Google Scholar] [CrossRef]
- Ramli, Z.A.C.; Asim, N.; Isahak, W.N.R.W.; Emdadi, Z.; Ahmad-Ludin, N.; Yarmo, M.A.; Sopian, K. Photocatalytic Degradation of Methylene Blue under UV Light Irradiation on Prepared Carbonaceous TiO2. Sci. World J. 2014. [Google Scholar] [CrossRef]
- Cai, A.J.; Wang, Q.; Chang, Y.F.; Wang, X.P. Graphitic carbon nitride decorated with S,N co-doped graphene quantum dots for enhanced visible-light-driven photocatalysis. J. Alloys Compd. 2017, 692, 183–189. [Google Scholar] [CrossRef]
- Ramar, V.; Moothattu, S.; Balasubramanian, K. Metal free, sunlight and white light based photocatalysis using carbon quantum dots from Citrus grandis: A green way to remove pollution. Sol. Energy 2018, 169, 120–127. [Google Scholar] [CrossRef]















| Photocatalytic Reagents | Dosage of LDH or ND/LDH (g/L) | Dosage of Radical Scavenger | Irradiation Condition | k (10−3 min−1) | r2 |
|---|---|---|---|---|---|
| H2O2 | - | - | In dark | 0.1 | 0.9786 |
| H2O2 | - | - | VLI | 3.8 | 0.9955 |
| LDH | 0.0667 | - | In dark | 0.2 | 0.9388 |
| LDH | 0.0667 | - | VLI | 0.2 | 09012 |
| ND/LDH | 0.0667 | - | In dark | 0.3 | 0.9105 |
| ND/LDH | 0.0667 | - | VLI | 0.3 | 0.9199 |
| LDH/H2O2 | 0.0667 | - | In dark | 4.1 | 0.9685 |
| LDH/H2O2 | 0.0667 | - | VLI | 12.9 | 0.9918 |
| ND/LDH/H2O2 | 0.0667 | - | In dark | 4.4 | 0.9507 |
| ND/LDH/H2O2 | 0.0667 | - | VLI | 23.3 | 0.9955 |
| ND/LDH/H2O2 | 0.0027 | - | VLI | 13.8 | 0.9919 |
| ND/LDH/H2O2 | 0.0267 | - | VLI | 14.4 | 0.9931 |
| ND/LDH/H2O2 | 0.1333 | - | VLI | 19.6 | 0.9956 |
| ND/LDH/H2O2 | 0.2667 | - | VLI | 10.0 | 0.9924 |
| ND/LDH/H2O2 | 0.0667 | 0.5 mL/L of TBA | VLI | 19.3 | 0.9929 |
| ND/LDH/H2O2 | 0.0667 | 2.0 mL/L of TBA | VLI | 10.2 | 0.9850 |
| ND/LDH/H2O2 | 0.0667 | 5.0 mL/L of TBA | VLI | 3.5 | 0.9073 |
| ND/LDH/H2O2 | 0.0667 | 0.5 mL/L of EtOH | VLI | 12.3 | 0.9963 |
| ND/LDH/H2O2 | 0.0667 | 2.0 mL/L of EtOH | VLI | 5.5 | 0.9676 |
| ND/LDH/H2O2 | 0.0667 | 5.0 mL/L of EtOH | VLI | 1.0 | 0.9461 |
© 2019 by the authors. Licensee MDPI, Basel, Switzerland. This article is an open access article distributed under the terms and conditions of the Creative Commons Attribution (CC BY) license (http://creativecommons.org/licenses/by/4.0/).
Share and Cite
Liu, L.; Li, S.; An, Y.; Sun, X.; Wu, H.; Li, J.; Chen, X.; Li, H. Hybridization of Nanodiamond and CuFe-LDH as Heterogeneous Photoactivator for Visible-Light Driven Photo-Fenton Reaction: Photocatalytic Activity and Mechanism. Catalysts 2019, 9, 118. https://doi.org/10.3390/catal9020118
Liu L, Li S, An Y, Sun X, Wu H, Li J, Chen X, Li H. Hybridization of Nanodiamond and CuFe-LDH as Heterogeneous Photoactivator for Visible-Light Driven Photo-Fenton Reaction: Photocatalytic Activity and Mechanism. Catalysts. 2019; 9(2):118. https://doi.org/10.3390/catal9020118
Chicago/Turabian StyleLiu, Lu, Shijun Li, Yonglei An, Xiaochen Sun, Honglin Wu, Junzhi Li, Xue Chen, and Hongdong Li. 2019. "Hybridization of Nanodiamond and CuFe-LDH as Heterogeneous Photoactivator for Visible-Light Driven Photo-Fenton Reaction: Photocatalytic Activity and Mechanism" Catalysts 9, no. 2: 118. https://doi.org/10.3390/catal9020118
APA StyleLiu, L., Li, S., An, Y., Sun, X., Wu, H., Li, J., Chen, X., & Li, H. (2019). Hybridization of Nanodiamond and CuFe-LDH as Heterogeneous Photoactivator for Visible-Light Driven Photo-Fenton Reaction: Photocatalytic Activity and Mechanism. Catalysts, 9(2), 118. https://doi.org/10.3390/catal9020118
