Neighboring Hetero-Atom Assistance of Sacrificial Amines to Hydrogen Evolution Using Pt-Loaded TiO2-Photocatalyst
Abstract
:1. Introduction
2. Results
2.1. Yields of H2 and CO2 Evolved from the Photocatalytic Reaction
| Sacrificial agents | H2max | CO2max | CH4max | Yield/% a | k/h−1 b | ||
|---|---|---|---|---|---|---|---|
| Run | Formula | PE | /mol mol−1 | /mol mol−1 | /mol mol−1 | ||
| Amines with all of carbons attached hetero-atom (Group A) | |||||||
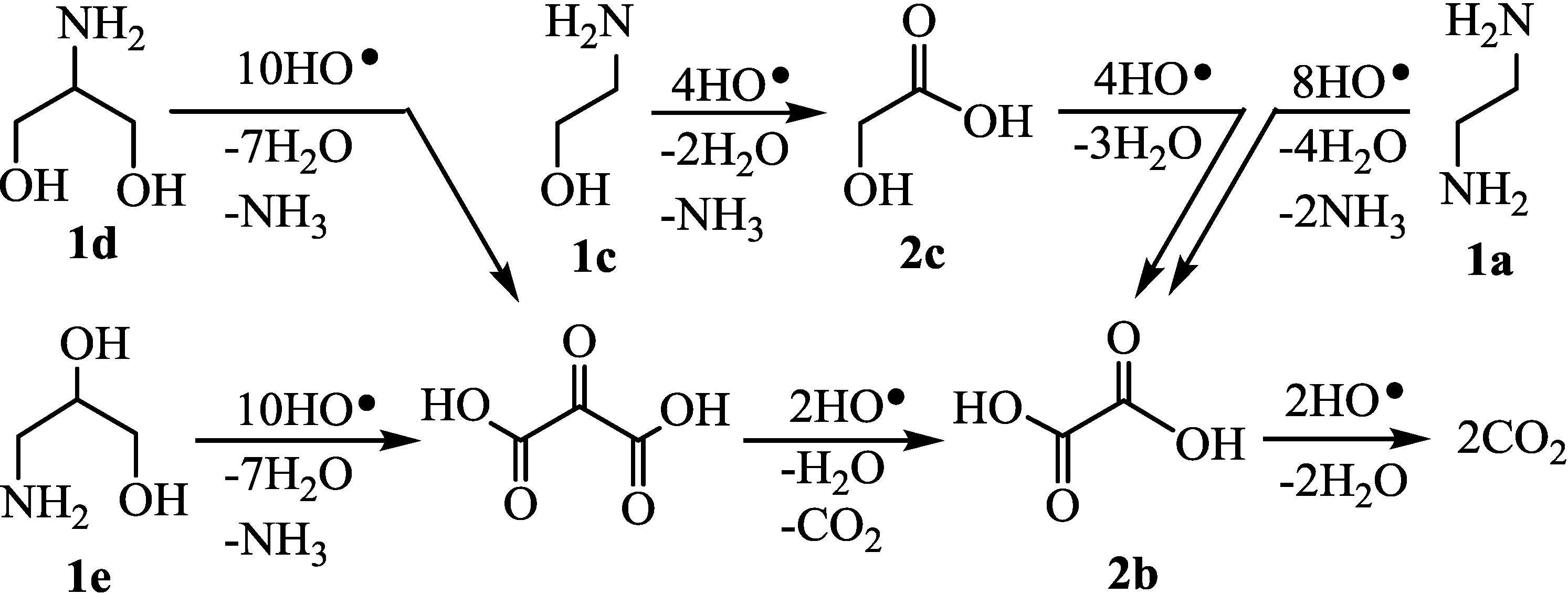
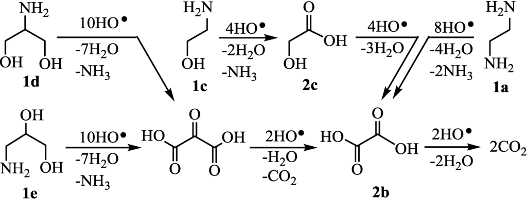
| 1 | H2NCH2CH2NH2 (1a) | 10 | 5.2 | 2.1 | 0 | 100 | 3.84 |
| 2 | MeNH2 (1b) | 6 | 2.9 | 1.0 | 0 | 97 | 3.83 |
| 3 | HOCH2CH2NH2 (1c) | 10 | 5.0 | 1.8 | 0 | 100 | 7.64 |
| 4 | (HOCH2)2CHNH2 (1d) | 14 | 7.0 | 2.5 | 0 | 100 | 6.70 |
| 5 | HOCH2CH(OH)CH2NH2 (1e) | 14 | 6.4 | 1.8 | 0 | 91 | 7.64 |
| Amines with both hetero-atoms and methyl group at β-positions (Group B) | |||||||
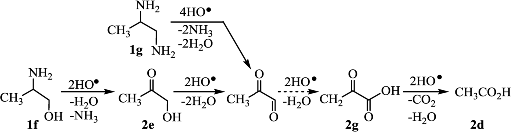
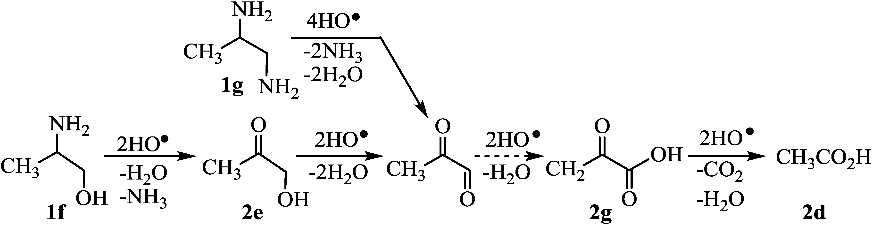
| 6 | MeCH(NH2)CH2OH (1f) | 16 | 3.8 | 0.7 | 0 | 48 | 9.43 |
| 7 | MeCH(NH2)CH2NH2 (1g) | 16 | 4.0 | 0 | 0 | 50 | 3.93 |
| Amines without hetero-atom at β-positions (Group C) | |||||||
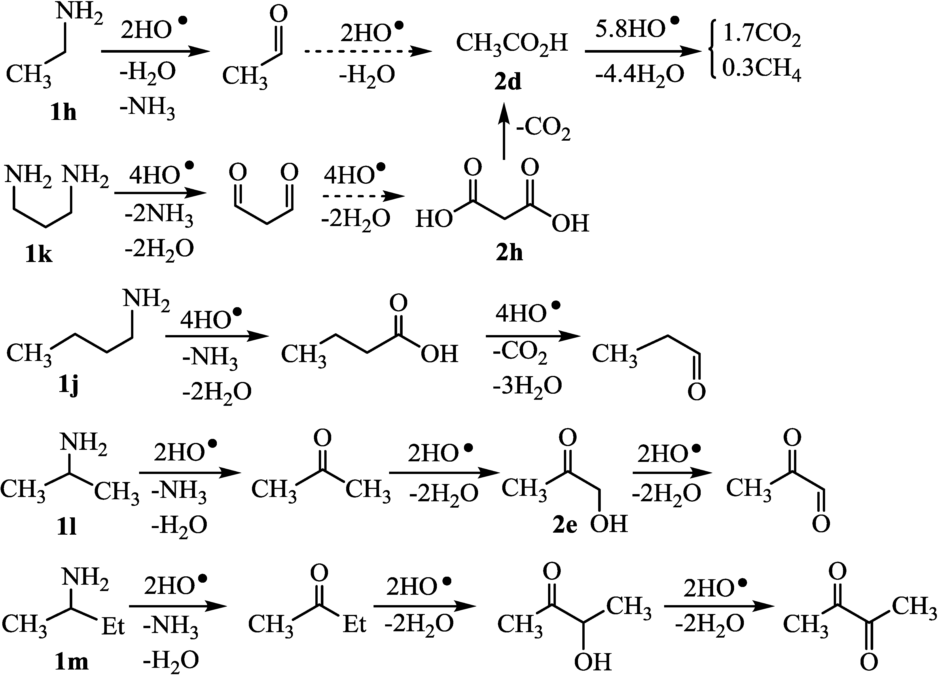
| 8 | MeCH2NH2 (1h) | 12 | 3.3 | 0.5 | 0 | 55 | 5.21 |
| 9 | MeCH2CH2NH2 (1i) | 18 | 4.0 | 0.0 | 0 | 44 | 4.09 |
| 10 | MeCH2CH2CH2NH2 (1j) | 24 | 4.1 | 0.1 | 0 | 34 | 2.53 |
| 11 | H2NCH2CH2CH2NH2 (1k) | 16 | 4.6 | 0.0 | 0 | 58 | 6.23 |
| 12 | MeCH(NH2)Me (1l) | 18 | 2.4 | 0.0 | 0 | 27 | 6.70 |
| 13 | MeCH2CH(NH2)Me (1m) | 24 | 3.3 | 0.0 | 0 | 25 | 2.40 |
| Carboxylic acids and carbonyl compounds | |||||||
| 14 | HCO2H (2a) | 2 | 1.0 | 1.0 | 0 | 100 | 4.88 |
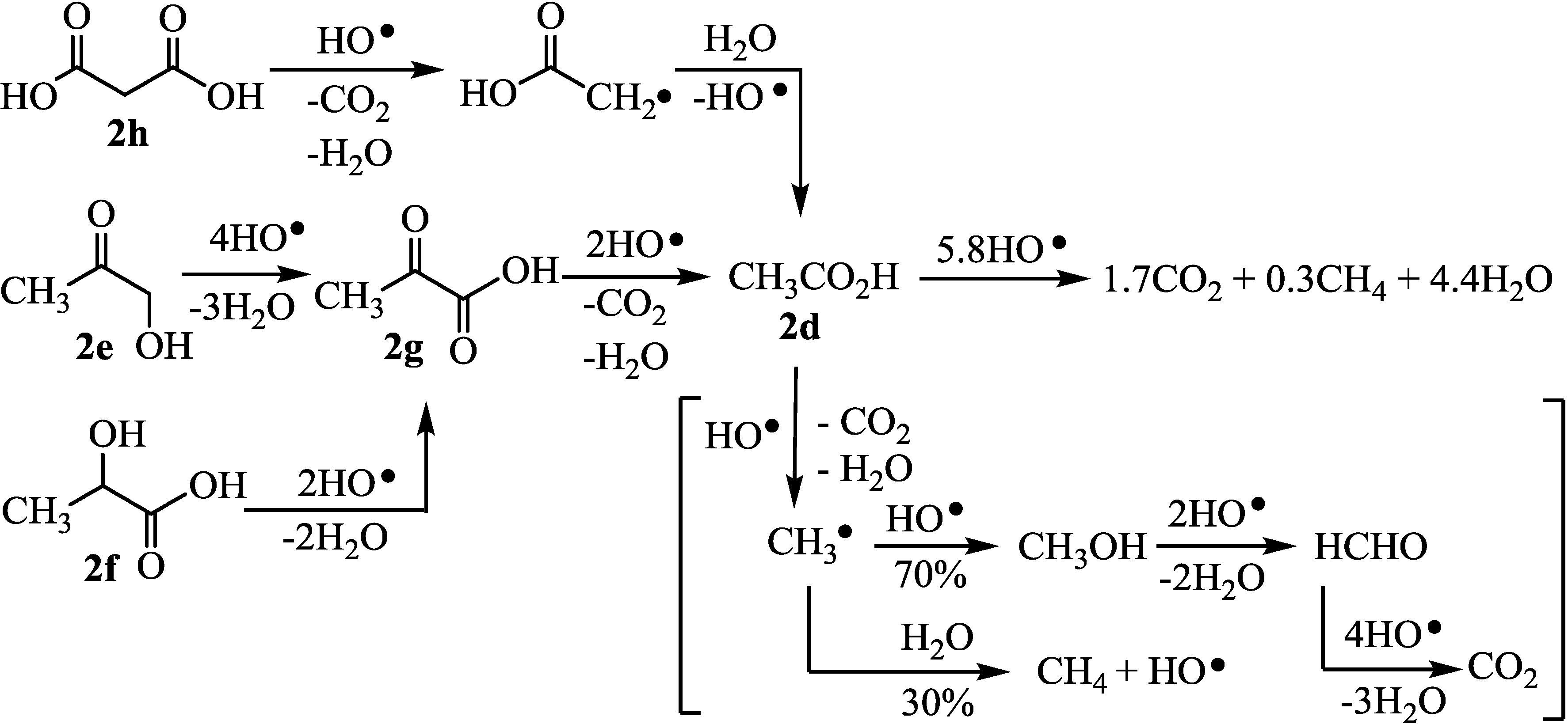
| 15 | HO2CCO2H (2b) | 2 | 1.0 | 2.0 | 0 | 100 | 0.76 |
| 16 | HO2CCH2OH (2c) | 6 | 2.8 | 1.8 | 0 | 93 | 6.38 |
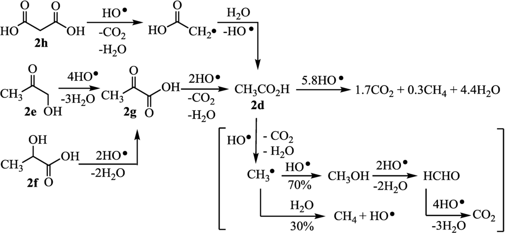
| 17 | MeCO2H (2d) | 8 | 2.9 | 1.7 | 0.27 | 100 | 0.07 |
| 18 | MeCOCH2OH (2e) | 14 | 4.9 | 2.5 | 0.30 | 89 | 0.34 |
| 19 | MeCH(OH)CO2H (2f) | 12 | 4.1 | 2.3 | 0.30 | 88 | 12.48 |
| 20 | MeCOCO2H (2g) | 10 | 3.9 | 2.7 | 0.30 | 102 | 0.37 |
| 21 | CH2(CO2H)2 (2h) | 8 | 2.6 | 2.7 | 0.31 | 96 | 0.10 |
| 22 | MeCH2CO2H (2i) | 14 | 2.3 | 1.0 | 0 | 33 | 0.18 |
PE = 4n + m − 3p − 2q


2.2. Kinetic Analysis of Hydrogen Evolution
3. Discussion
3.1. Degradation Mechanism of Carboxylic Acids (2a–i)
3.2. Degradation Mechanism of Amines (1a–i)





3.3. Rate Constants for the Hydrogen Abstraction with HO• Radical from 1 and 2


3.4. Relationship between the Actual Electron-Donating Ability and PE of Sacrificial Agents


4. Experimental Section
4.1. Preparation of the Photocatalyst

4.2. Photocatalytic Reaction
4.3. Analysis of Photolysate Solutions
5. Conclusions
Acknowledgments
Author Contributions
References
- Navarro, R.M.; Peña, M.A.; Fierro, J.L.G. Hydrogen production reactions from carbon feedstocks: Fossil fuels and biomass. Chem. Rev. 2007, 107, 3952–3991. [Google Scholar] [CrossRef]
- Fujishima, A.; Honda, K. Electrochemical photolysis of water at a semiconductor electrode. Nature 1972, 238, 37–38. [Google Scholar] [CrossRef]
- Fujishima, A.; Rao, T.N.; Tryk, D.A. Titanium dioxide photocatalysis. J. Photochem. Photobiol. C 2000, 1, 1–21. [Google Scholar]
- Galinska, A.; Walendziewski, J. Photocatalytic water splitting over Pt-TiO2 in the presence of sacrificial reagents. Energy Fuels 2005, 19, 1143–1147. [Google Scholar] [CrossRef]
- Chheda, J.N.; Huber, G.W.; Dumesic, J.A. Liquid-phase catalytic processing of biomass-derived oxygenated hydrocarbons to fuels and chemicals. Angew. Chem. Int. Ed. 2007, 46, 7164–7183. [Google Scholar] [CrossRef]
- Shiragami, T.; Tomo, T.; Tsumagari, H.; Yuki, R.; Yamashita, T.; Yasuda, M. Pentose acting as a sacrificial multi-electron source in photocatalytic hydrogen evolution from water by Pt-doped TiO2. Chem. Lett. 2012, 41, 29–30. [Google Scholar] [CrossRef]
- Shiragami, T.; Tomo, T.; Tsumagari, H.; Ishii, Y.; Yasuda, M. Hydrogen evolution from napiergrass by the combination of biological treatment and a Pt-loaded TiO2-photocatalytic reaction. Catalysis 2012, 2, 56–67. [Google Scholar]
- Shiragami, T.; Tomo, T.; Matsumoto, T.; Yasuda, M. Structural dependence of alcoholic sacrificial agents on TiO2-photocatalytic hydrogen evolution. Bull. Chem. Soc. Jpn. 2013, 86, 382–389. [Google Scholar] [CrossRef]
- Nishimoto, S.-I.; Ohtani, B.; Yoshikawa, T.; Kagiya, T. Photocatalytic conversion of primary amines to secondary amines and cyclization of polymethylene-α,ω-diamines by an aqueous suspension of TiO2/Pt. J. Am. Chem. Soc. 1983, 105, 7180–7182. [Google Scholar] [CrossRef]
- Kominami, H.; Nishimune, H.; Ohita, Y.; Arakawa, Y.; Inaba, T. Photocatalytic hydrogen formation from ammonia and methyl amine in an aqueous suspension of metal-loaded titanium(IV) oxide particles. Appl. Catal. B 2012, 111–112, 297–302. [Google Scholar] [CrossRef]
- Klare, M.; Scheen, J.; Vogelsang, K.; Jacobs, H.; Broekaert, J.A.C. Degradation of short-chain alkyl- and alkanolamines by TiO2- and Pt/TiO2-assisted photocatalysis. Chemosphere 2000, 41, 353–362. [Google Scholar] [CrossRef]
- Zheng, X.-J.; Wei, L.-F.; Zhang, Z.-H.; Jiang, Q.-J.; Wei, Y.-J.; Xie, B.; Wei, M.-B. Research on photocatalytic H2 production from acetic acid solution by Pt/TiO2 nanoparticles under UV irradiation. Int. J. Hydrog. Energy 2009, 34, 9033–9041. [Google Scholar] [CrossRef]
- Helali, S.; Puzenat, E.; Perol, N.; Safi, M.-J.; Guillard, C. Methylamine and dimethylamine photocatalytic degradation—Adsorption isotherms and kinetics. Appl. Catal. A 2011, 402, 201–207. [Google Scholar] [CrossRef]
- Chiarello, G.L.; Aguirre, M.H.; Selli, E. Hydrogen production by photocatalytic steam reforming of methanol on noble metal-modified TiO2. J. Catal. 2010, 273, 182–190. [Google Scholar]
- Al-Mazroai, L.S.; Bowker, M.; Davies, P.; Dickinson, A.; Greaves, J.; James, D.; Millard, L. The photocatalytic reforming of methanol. Catal. Today 2007, 122, 46–50. [Google Scholar] [CrossRef]
- Kim, S.; Choi, W. Kinetics and Mechanisms of Photocatalytic Degradation of (CH3)nNH4−n+ (0 ≤ n ≤ 4) in TiO2 Suspension: The Role of OH Radicals. Environ. Sci. Technol. 2002, 36, 2019–2025. [Google Scholar] [CrossRef]
- Helali, S.; Dappozze, F.; Horikoshi, S.; Bui, T.H.; Perol, N.; Guillard, C. Kinetics of the photocatalytic degradation of methylamine: Influence of pH and UV-A/UV-B radiant fluxes. J. Photochem. Photobiol. A 2013, 255, 50–57. [Google Scholar]
- Daskalaki, V.D.; Kondarides, D.I. Efficient production of hydrogen by photo-induced reforming of glycerol at ambient conditions. Catal. Today 2009, 144, 75–80. [Google Scholar] [CrossRef]
- Bahruji, H.; Bowker, M.; Davies, P.R.; Pedrono, F. New insights into the mechanism of photocatalytic reforming on Pd/TiO2. Appl. Catal. B 2011, 107, 205–209. [Google Scholar] [CrossRef]
- Yang, Y.Z.; Chang, C.-H.; Idriss, H. Photo-catalytic production of hydrogen from ethanol over M/TiO2 catalyst (M = Pd, Pt, and Rh). Appl. Catal. B 2006, 67, 217–222. [Google Scholar] [CrossRef]
- Guillard, C. Photocatalytic degradation of butanoic acid: Influence of its ionisation state on the degradation pathway: Comparison with O3/UV process. J. Photochem. Photobiol. A 2000, 135, 65–75. [Google Scholar] [CrossRef]
- Fu, X.; Long, J.; Wang, X.; Leung, Y.; Ding, Z.; Wu, L.; Zhang, Z.; Li, Z.; Fu, X. Photocatalytic reforming of biomass: A systematic study of hydrogen evolution from glucose solution. Int. J. Hydrog. Energy 2008, 33, 6484–6491. [Google Scholar] [CrossRef]
- Ohtani, B.; Kakimoto, M.; Nishimoto, S.; Kagiya, T. Photocatalytic reaction of neat alcohols by metal-loaded titanium(IV) oxide particles. J. Photochem. Photobiol. A 1993, 70, 265–272. [Google Scholar] [CrossRef]
- Kennedy, J.C., III; Datye, A.K. Photothermal heterogeneous oxidation of ethanol over Pt/TiO2. J. Catal. 1998, 179, 375–389. [Google Scholar]
© 2014 by the authors; licensee MDPI, Basel, Switzerland. This article is an open access article distributed under the terms and conditions of the Creative Commons Attribution license (http://creativecommons.org/licenses/by/3.0/).
Share and Cite
Yasuda, M.; Tomo, T.; Hirata, S.; Shiragami, T.; Matsumoto, T. Neighboring Hetero-Atom Assistance of Sacrificial Amines to Hydrogen Evolution Using Pt-Loaded TiO2-Photocatalyst. Catalysts 2014, 4, 162-173. https://doi.org/10.3390/catal4020162
Yasuda M, Tomo T, Hirata S, Shiragami T, Matsumoto T. Neighboring Hetero-Atom Assistance of Sacrificial Amines to Hydrogen Evolution Using Pt-Loaded TiO2-Photocatalyst. Catalysts. 2014; 4(2):162-173. https://doi.org/10.3390/catal4020162
Chicago/Turabian StyleYasuda, Masahide, Takayuki Tomo, Shoichi Hirata, Tsutomu Shiragami, and Tomoko Matsumoto. 2014. "Neighboring Hetero-Atom Assistance of Sacrificial Amines to Hydrogen Evolution Using Pt-Loaded TiO2-Photocatalyst" Catalysts 4, no. 2: 162-173. https://doi.org/10.3390/catal4020162
APA StyleYasuda, M., Tomo, T., Hirata, S., Shiragami, T., & Matsumoto, T. (2014). Neighboring Hetero-Atom Assistance of Sacrificial Amines to Hydrogen Evolution Using Pt-Loaded TiO2-Photocatalyst. Catalysts, 4(2), 162-173. https://doi.org/10.3390/catal4020162
