Abstract
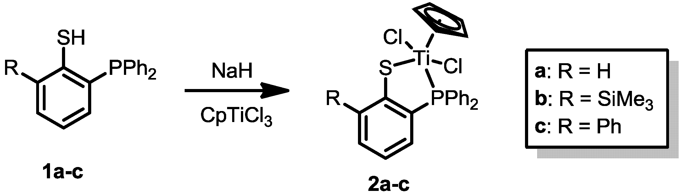
A series of novel half-titanocene complexes CpTiCl2[S-2-R-6-(PPh2)C6H3] (Cp = C5H5, 2a, R = H; 2b, R = Ph; 2c, R = SiMe3) have been synthesized by treating CpTiCl3 with the sodium of the ligands, 2-R-6-(PPh2)C6H3SNa, which were prepared by the corresponding ligands and NaH. These complexes have been characterized by 1H, 13C and 31P NMR as well as elemental analyses. Structures for 2a–b were further confirmed by X-ray crystallography. Complexes 2a–b adopt five-coordinate, distorted square-pyramid geometry around the titanium center, in which the equatorial positions are occupied by sulfur and phosphorus atoms of the chelating phosphine-thiophenolate and two chlorine atoms, and the cyclopentadienyl ring is coordinated on the axial position. The complexes 2a–c were investigated as the catalysts for ethylene polymerization and copolymerization of ethylene with norbornene in the presence of MMAO or Ph3CB(C6F5)4/iBu3Al as the cocatalyst. All complexes exhibited low to moderate activities towards homopolymerization of ethylene. However, they displayed moderate to high activities towards copolymerization of ethylene with norbornene.
1. Introduction
The development of well-defined, single-site group 4 metal catalysts has attracted much attention for olefin polymerization [1,2,3]. Many studies have also been focused on the relationship between the structure and catalytic properties of a given catalyst with respect to polymer chain composition and architecture [4,5,6,7]. Recent studies of half-metallocenes, having one cyclopentadienyl moiety and one monoanionic ligand have led to new classes of catalysts. [8,9,10,11,12,13,14,15,16,17,18,19,20,21,22,23,24,25,26,27,28,29,30,31,32,33,34,35,36,37,38,39,40] The bridged half-sandwich group 4 metal complexes “constrained geometry” catalysts (CGCs) have proven to be a very successful class of catalysts which exhibit high activities and high comonomer incorporations [8]. Recently, non-bridged half-sandwich group 4 metal complexes containing anionic ancillary donor ligands have become a hot topic because of their easy modifications and remarkable catalytic activity for olefin (co)polymerization [9,10,11,12,13,14,15,16,17,18,19,20,21,22,23,24,25,26,27,28,29,30,31,32,33,34,35,36,37,38,39,40]. For instance, Nomura et al. found that the half-titanocenes containing aryloxo ligands exhibited remarkable catalytic activity in olefin polymerization and efficient comonomer incorporation in ethylene/α-olefin copolymerization [10,29]. Gibson and his coworkers reported a series of bis(phosphanylphenoxide) group 4 metal dichloride complexes, and further suggested that the use of ancillary ligands with softer L donors, such as phosphorus and sulfur, might offer beneficial stabilization of the highly reactive metal center [41,42]. Subsequently, our group found that high-temperature living ethylene/norbornene copolymerization could be achieved by using bis(phenoxy-phosphine)-titanium complexes as the catalysts in the presence of MMAO [43].
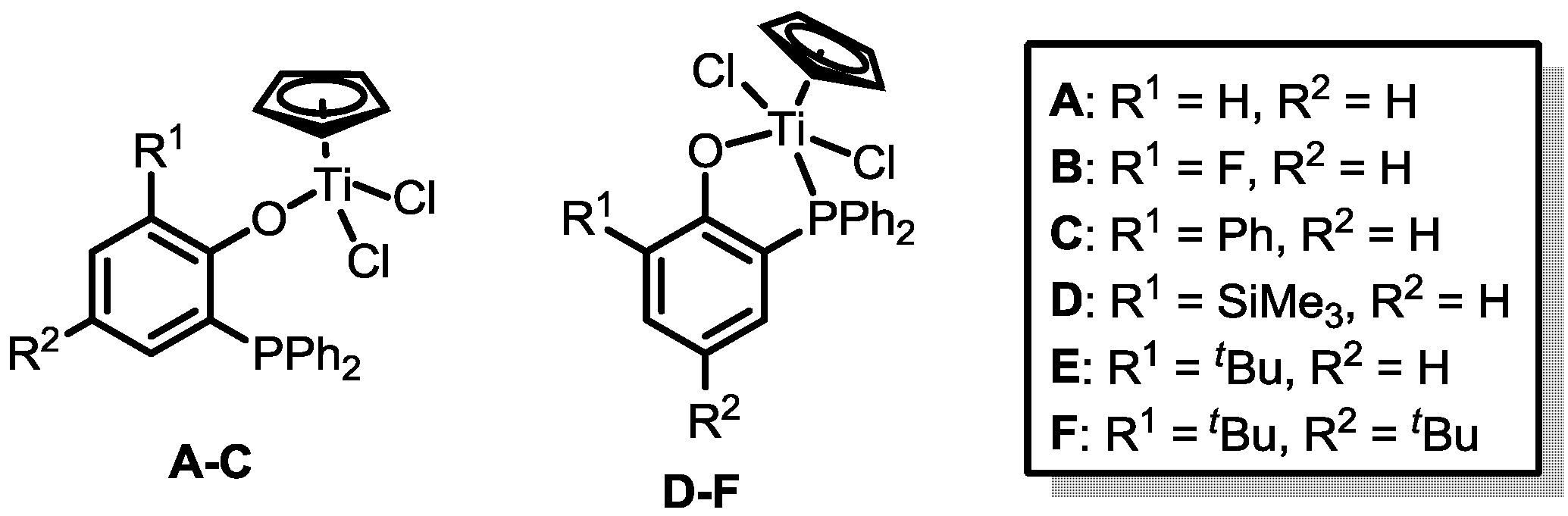
To combine the advantages of metallocene and phenoxy-phosphine ligands, we reported a series of o-di(phenyl)phosphanylphenolate-based half-titanocene complexes, CpTiCl2[O-2-R1-4-R2-6- (PPh2)C6H2] (Cp = C5H5, A: R1 = R2 = H; B: R1 = F, R2 = H; C: R1 = Ph, R2 = H; D: R1 = SiMe3, R2 = H; E: R1 = tBu, R2 = H; F: R1= R2 = tBu), supported by bidentate ligands with softer donor atoms (Chart 1) [28]. We found that all complexes exhibited low to moderate activities towards homopolymerization of ethylene, but displayed excellent ability to copolymerize ethylene with norbornene, and catalytic activity was more than 100 times greater than that of ethylene homopolymerization in the case of Ph3CB(C6F5)4/iBu3Al as cocatalyst, affording the copolymers with high comonomer incorporations. To further investigate the electronic effect of the ligand on polymerization behaviors, we synthesized some half-titanocene complexes containing phosphine-thiophenolate ligands. Herein, we thus described the synthesis and characterization of some novel phosphine-thiophenolate-based half-titanocene complexes, CpTiCl2[S-2-R-6-(PPh2) C6H3] (Cp = C5H5, 2a, R = H; 2b, R = Ph; 2c, R = SiMe3), and explored their application in ethylene polymerization and ethylene/NBE copolymerization.
Chart 1.
Structures of complexes A–F.
Chart 1.
Structures of complexes A–F.

2. Results and Discussion
A series of novel half-titanocene complexes CpTiCl2[S-2-R-6-(PPh2)C6H3] (Cp = C5H5, 2a, R = H; 2b, R = Ph; 2c, R = SiMe3) have been synthesized in high yields (76-85%) by treating CpTiCl3 with the sodium of the ligands, 2-R-6-(PPh2)C6H3SNa, which were prepared by the corresponding ligands and NaH, as shown in Scheme 1. The resultant complexes were identified by 1H, 13C and 31P NMR spectra and elemental analysis. The 1H NMR spectra of these complexes showed no complexity, and the integration of complexes confirms a 1:1 ratio of cyclopentadienyl to phosphine-thiophenolate ligand. A doublet for the Cp hydrogens was observed for complexes 2a–c (2a, δ 6.47 ppm, JHP = 2.5 Hz; 2b, δ 6.45 ppm, JHP = 2.3 Hz; 2c, δ 6.44 ppm, JHP = 2.3 Hz), which suggests phosphorus is coordinated to titanium. The observed results were an interesting contrast to those found in the analogues containing o-di(phenyl)phosphanylphenolate ligands in which the phosphorus in A and C is not coordinated to Ti. In addition, all signals in the 31P NMR spectra of complexes 2a–c (2a, δ 44.33 ppm; 2b, δ 43.32 ppm; 2c, δ 42.53 ppm) were shifted substantially downfield from the values found for the corresponding ligands 1a–c (1a, δ -13.1 ppm; 1b, δ −12.20 ppm; 1c, δ –13.6 ppm).
2.1. Synthesis and Characterization of Half-Titanocene Complexes CpTiCl2[S-2-R-6-(PPh2)C6H3]
Crystals of 2a–b suitable for crystallographic analysis were grown from the chilled concentrated CH2Cl2-hexane mixture solution. The crystallographic data together with the collection and refinement parameters are summarized in Table 1. Selected bond distances and angles for 2a–b and C–D [28] were summarized in Table 2. If the centroid of the cyclopentadienyl ring is considered as a single coordination site, complexes 2a–b adopt five-coordinate, distorted square-pyramid geometry around the titanium center, where the equatorial positions are occupied by sulfur and phosphorus atoms of the ligands and two chlorine atoms. The cyclopentadienyl group is coordinated on the axial position, as shown in Figure 1, Figure 2. The configurations of 2a–b in the solid state were in line with the results observed in the 31P NMR spectra. These results are very different from those for complexes A–F, in which the steric bulk in R position is required in generation of five-coordinate, distorted square-pyramid geometry around the titanium center. However, for phosphine-thiophenolate-based half-titanocene complexes, the steric bulk in R position is not essential to generate distorted square-pyramid geometry around the titanium center.
Scheme 1.
Synthesis of complexes 2a–c.
Scheme 1.
Synthesis of complexes 2a–c.

Ti(1)-S(1) bond distance in complex 2b (2.4359(9) Å) is slightly longer than that in 2a (2.4188(10) Å). Ti-Cp (centroid) distances in 2a–b (2d: 2.027, 2e: 2.029) are longer than that in C (2.016 Å), but somewhat shorter than that in D (2.034 Å). The five-membered C2SPTi chelate ring in 2a–b has an envelope conformation with the metal lying ca. 1.132–1.136 Å (2a: 1.136, 2b: 1.132 Å) out of the C2SP plane in the direction of Cp ring, whereas the metal lies ca. 0.549–0.603 Å (D: 0.549, E: 0.603, F: 0.593 Å) out of the C2OP plane in D–F. The Ti(1)-P(1) bond length in 2a–b is slightly affected by the R group of the ligand (2a: 2.5769(9), 2b: 2.5630(10) Å), which is shorter than that in D–F (D: 2.6446(6), E: 2.6208(12), F: 2.6285(8) Å). The Ti(1)-P(1) bond distances in 2a–b appear in the range of 2.5630–2.5769 Å, indicative of significant coordination of phosphorus atom to the metal center in the solid state. These results indicate that Ti-P bond in 2a–b is stronger than that in D–F, which is also consistent with the results of 31P NMR. However, the S(1)-C(1) and P(1)-C(2) bond lengths in 2a–b change slightly with the variation in R group, as shown in Table 2. The two Ti(1)-Cl bond lengths in 2a–b are statistically identical (2a: 2.3121(10) and 2.3139(10) Å, 2b: 2.3106(10) and 2.3207(9) Å to Cl(1) and Cl(2), respectively). The bond angles for Cl(1)-Ti(1)-Cl(2) in 2a–b (2a: 91.73(4)°, 2b: 91.87(3)°, respectively) are much smaller than that for complex C (101.45(4)°), but larger than that for complex D (88.96(2)°). The bond angles for Ti(1)-S(1)-C(1) in 2a–b (2a: 110.27(11)°, 2b: 110.66(10)°, respectively) are much smaller than that for Ti(1)-O(1)-C(1) in D (134.99(11)º). However, the bond angles for Ti(1)-P(1)-C(2) in 2a–b (2a: 107.67(11)°, 2b: 109.24(11)°, respectively) are larger than that in D (97.11(6)º).
Table 1.
Crystal data and structure refinements of complexes 2a–b.
| 2a | 2b | |
|---|---|---|
| Formula weight | 519.68 | 553.30 |
| Crystal system | Pna2(1) | P2(1) |
| Space group | orthorhombic | monoclinic |
| a (Å) | 19.6852(10) | 8.0269(7) |
| b (Å) | 22.8729(12) | 13.6834(11) |
| c (Å) | 10.3207(6) | 11.5902(9) |
| α (°) | 90.00 | 90.00 |
| β (°) | 90.00 | 97.3240(10) |
| γ (°) | 90.00 | 90.00 |
| V (Å3), Z | 4647.0(4), 8 | 1262.63(18), 2 |
| Densitycalcd (Mg/m3) | 1.486 | 1.455 |
| Absorption coefficient (mm-1) | 0.881 | 0.714 |
| F (000) | 2120 | 568 |
| Crystal size (mm) | 0.30 × 0.21× 0.15 | 0.30 × 0.24× 0.18 |
| θ range for data collection (°) | 1.78 to 26.01 | 1.77 to 26.03 |
| Reflections collected | 27237 | 8126 |
| Independent reflections | 9135 | 4698 |
| Data/restraints/ parameters | 9135/1/532 | 4698/1/307 |
| Goodness-of-fit on F2 | 1.041 | 1.030 |
| Final R indices [ I > 2σ (I)]: R1, wR2 | 0.0385, 0.0972 | 0.0350, 0.0847 |
| Largest diff. Peak and hole (e Å-3) | 0.553 and −0.366 | 0.337 and −0.191 |
Table 2.
Selected Bond Distances (Å) and Angles (deg) for complexes 2a-b and C-D [28].
| 2a | 2b | C | D | |
|---|---|---|---|---|
| Bond Distances in Å | ||||
| Ti(1)- S(1)/O(1) | 2.4188(10) | 2.4359(9) | 1.795(2) | 1.8708(13) |
| Ti(1)-P(1) | 2.5769(9) | 2.5630(10) | 2.6446(6) | |
| Ti(1)-Cl(1) | 2.3121(10) | 2.3106(10) | 2.2582(11) | 2.3320(6) |
| Ti(1)-Cl(2) | 2.3139(10) | 2.3207(9) | 2.2478(11) | 2.3453(6) |
| Ti(1)-Cp(centroid) | 2.027 | 2.029 | 2.016 | 2.034 |
| S(1)/O(1)-C(1) | 1.768(4) | 1.778(3) | 1.369(4) | 1.360(2) |
| P(1)-C(2) | 1.813(3) | 1.808(3) | 1.835(3) | 1.7994(19) |
| Bond Angles in ° | ||||
| Cl(1)-Ti(1)-Cl(2) | 91.73(4) | 91.87(3) | 101.45(4) | 88.96(2) |
| O(1)/S(1)-Ti(1)-P(1) | 73.49(3) | 72.69(3) | 72.85(4) | |
| Ti(1)-S(1)/O(1)-C(1) | 110.27(11) | 110.66(10) | 161.39(19) | 134.99(11) |
| Ti(1)-P(1)-C(2) | 107.67(11) | 109.24(11) | 97.11(6) | |
| Cl(1)-Ti(1)-S(1)/O(1) | 129.59(4) | 131.62(4) | 104.48(7) | 127.96(5) |
| Cl(2)-Ti(1)-S(1)/O(1) | 81.09(4) | 82.09(3) | 103.92(7) | 90.17(4) |
| Cl(1)-Ti(1)-P(1) | 80.08(3) | 79.39(3) | 78.40(2) | |
| Cl(2)-Ti(1)-P(1) | 138.03(4) | 135.69(4) | 144.48(2) | |
| S(1)/O(1)-C(1)-C(2) | 121.0(2) | 118.7(2) | 117.8(3) | 118.22(16) |
| P(1)-C(2)-C(1) | 111.7(2) | 112.8(2) | 117.7(2) | 111.70(14) |
Figure 1.
Molecular structure of complex 2a with thermal ellipsoids at 30% probability level. The hydrogen atoms and the solvent molecule are omitted for clarity.
Figure 1.
Molecular structure of complex 2a with thermal ellipsoids at 30% probability level. The hydrogen atoms and the solvent molecule are omitted for clarity.

Figure 2.
Molecular structure of complex 2b with thermal ellipsoids at 30% probability level. Hydrogen atoms are omitted for clarity.
Figure 2.
Molecular structure of complex 2b with thermal ellipsoids at 30% probability level. Hydrogen atoms are omitted for clarity.

2.2. Ethylene (Co)Polymerization Catalyzed by 2a–c
To explore the catalytic behaviors of complexes 2a–c, ethylene polymerizations were carried out in the presence of modified methylaluminoxane (MMAO). Complex 2a showed moderate catalytic activity (2a, 190 kg/molTi·h) for ethylene polymerization (conditions: ethylene 4 atm, MMAO/Ti = 1000, Vtotal = 50 mL, 20 °C, 10 min). Introducing bulk group in R position decreased the activity (2c: 140 kg/molTi·h). Complex 2b, bearing phenyl group in both R position, exhibited lowest activity among these catalysts (2b: 40 kg/molTi·h). These data suggested that both the steric bulk effect and the electron-donating effect of R group play a key role to the enhanced catalytic activity. Using Ph3CB(C6F5)4/iBu3Al in place of MMAO as the cocatalyst, complexes 2a–c only produced trace polymers for ethylene polymerization under the similar conditions ([Al]/[B]/[Ti] = 100/2/1). Generally, the activities of ethylene homopolymerization by complexes 2a–c were lower than those by corresponding o-di(phenyl)phosphanylphenolate-based half-titanocene complexes [28]. Ethylene copolymerization with norbornene has also be carried out by complexes 2a–c in the presence of Ph3CB(C6F5)4/iBu3Al or MMAO under similar conditions with complexes A–F. The polymerization results are depicted in Table 3.
Copolymerizations of ethylene with NBE by complex 2a/Ph3CB(C6F5)4/iBu3Al took place at different NBE concentrations in feed. The activity increased upon the increasing the NBE concentration in feed from 0.3 to 0.5 mol/L (entries 1–2, Table 3), and decreased upon further increasing the NBE concentration (entries 3–4). This result was some different from the those by A/Ph3CB(C6F5)4/iBu3Al catalyst system, in which the highest activity was observed at NBE concentration of 1.0 mol/L in feed [28].The thiophenolate catalysts were less active than the phenolate catalysts. It was assumed that the electronegativity of sulfate is higher than that of oxygen, therefore, the cationic active species of thiophenolate catalysts is less electron deficiency. In addition, the NBE incorporation was lower than that obtained by complex A, especially at NBE concentration of 1.0 mol/L (2a: 33.8%, A: 53.2%, respectively). The resultant copolymers possessed relatively high molecular weights (MWs) with unimodal molecular weight distributions (MWDs), and the MW of the copolymers decreased upon the increasing NBE concentration (entries 1–4). The trace amount of polymer was obtained if changing the molar ratio of Ph3CB(C6F5)4/iBu3Al in system. Suitable amount of both Ph3CB(C6F5)4 and iBu3Al was thus required to optimize the polymerization conditions (entries 2 vs. 5). The copolymerization by 2a/MMAO was also carried out, and the observed activity calculated on the basis of the polymer yield was almost 20 times lower than that by 2a/Ph3CB(C6F5)4/iBu3Al system. However, either the MW or the NBE incorporation by 2a/MMAO system was much higher than that by 2a/Ph3CB(C6F5)4/iBu3Al.
Table 3.
Copolymerization of ethylene with NBE using 2a–c/Ph3CB(C6F5)4/iBu3Al a.
| Entry | Cat. | Al/Ti (molar ratio) | NBE (mol/L) | Yield (mg) | Activity (kg/molTi·h) | Mw b (kg/mol) | Mw/Mn | NBE Incorp. (mol%) c |
|---|---|---|---|---|---|---|---|---|
| 1 | 2a | 100 | 0.3 | 387 | 1858 | 225 | 2.9 | 12.0 |
| 2 | 2a | 100 | 0.5 | 605 | 2904 | 169 | 2.5 | 24.3 |
| 3 | 2a | 100 | 0.7 | 337 | 1618 | 143 | 2.2 | 31.2 |
| 4 | 2a | 100 | 1.0 | 135 | 648 | 112 | 1.8 | 33.8 |
| 5 | 2a | 50 | 0.5 | trace | - | - | - | - |
| 6 d | 2a | 100 | 0.5 | 163 | 782 | 121 | 2.4 | 31.8 |
| 7 e | 2a | 1000 | 0.5 | 130 | 160 | 256 | 2.8 | 30.1 |
| 8 | 2b | 100 | 0.5 | 90 | 432 | 109 | 2.0 | 26.4 |
| 9 | 2c | 100 | 0.5 | 288 | 1382 | 299 | 1.8 | 28.5 |
a Conditions: Ph3CB(C6F5)4/iBu3Al as cocatalyst, catalyst 2.5 μmol, [B]/[Ti] = 2/1, ethylene pressure 4 atm., 20 °C, 5 min, Vtotal = 50 mL. b Weight-average molecular weights and polydispersity indexes determined by high temperature GPC at 150°C in 1,2,4-C6Cl3H3vs. narrow polystyrene standards. c NBE content (mol%) estimated by 13C NMR spectra. d 40ºC. e MMAO as cocatalyst, catalyst 5.0 μmol, 10 min.
Figure 3.
13C NMR spectra of E/NBE copolymer with different NBE incorporations produced by 2a (A, 12.0%, entry 1; B, 24.3%, entry 2; C: 33.8%, entry 4 in Table 3, respectively).
Figure 3.
13C NMR spectra of E/NBE copolymer with different NBE incorporations produced by 2a (A, 12.0%, entry 1; B, 24.3%, entry 2; C: 33.8%, entry 4 in Table 3, respectively).

Complex 2b with a phenyl group in R position showed much lower activity than complex 2a. The MWs of the resultant copolymers by 2b were also relatively lower than that those by 2a under similar condititions, whereas the NBE incorporation was higher than that by 2a (entries 2 vs. 9). Replacement of a phenyl group at the R position in complex 2b with a -SiMe3 group (2c) led to higher activity. Moreover, 2c in combination with Ph3CB(C6F5)4/iBu3Al could provide a high molecular weight ethylene-norbornene copolymer, Mw 299 × 103, with 1380 kg of polymer/mol of cat·h activity at a NBE content of 28.5 mol%.
The typical 13C NMR spectra of poly(ethylene-co-NBE)s with different NBE incorporations are illustrated in Figure 3. [44,45,46,47,48,49,50,51,52,53,54,55,56] Figure 3A showed that the microstructures of the COCs formed using 2a under low NBE concentration of 0.3 mol/L possessed alternating ethylene-NBE sequences and isolated NBE units. In contrast, resonances ascribed to NBE diads or triads were observed for the copolymers prepared at high NBE concentration of 0.5-1.0 mol/L (Figure 3B–C), and the microstructures thus possessed a mixture of NBE repeat units in addition to the alternating, isolated NBE sequences.
3. Experimental
3.1. General Procedures and Materials
All manipulation of air- and/or moisture-sensitive compounds was carried out under a dry argon atmosphere by using standard Schlenk techniques or under a dry argon atmosphere in an MBraun glovebox unless otherwise noted. All solvents were purified from an MBraun SPS system. The NMR data of the ligands and complexes used were obtained on a Bruker 300 MHz, 400 MHz or 600 MHz spectrometer at ambient temperature, with CDCl3 as the solvent (dried by MS 4Å). The NMR data of the polymers were obtained on a Varian Unity-400 MHz spectrometer at 135 °C, with O-C6D4Cl2 as a solvent. Elemental analyses were recorded on an elemental Vario EL spectrometer. Mass spectra were obtained using electron impact (EI-MS) and LDI-1700 (Linear Scientific Inc). The weight-average molecular weights (Mw) and the polydispersity indices (PDIs) of polymer samples were determined at 150 °C by a PL-GPC 220 type high-temperature chromatograph equipped with three Plgel 10-µm Mixed-B LS type columns. 1,2,4-Trichlorobenzene (TCB) was employed as the solvent at a flow rate of 1.0 mL/min. The calibration was made by polystyrene standard EasiCal PS-1 (PL Ltd., Kawasaki, Japan). CpTiCl3 were purchased from Aldrich. Modified methylaluminoxane (MMAO, 7% aluminum in heptane solution) was purchased from Akzo Nobel Chemical Inc. Commercial ethylene was directly used for polymerization without further purification. The other reagents and solvents were commercially available.
3.2. Synthesis of Half-Titanocene Complexes
3.2.1. Synthesis of Ligands 1a–c
Various Phosphine-thiophenol ([S,P]) ligands bearing different substituents on R position, 2-R-6-(PPh2)C6H3SH (1a, R = H; 1b, R = Ph; 1c, R = SiMe3), prepared according to literature procedures [44,48]. Compounds 1b (R = Ph) was prepared via a procedure similar to that for 1a and the characterizations of the compound are followed:
Synthesis of ligands 1b (2-Ph-6-(PPh2)C6H3SH). Yield: 68%. 1H NMR (300 MHz, CDCl3, 298K): δ 7.49–7.30 (m, 15H, Ar-H), 7.20 (dd, J = 7.6, 1.3 Hz, 1H, Ar-H), 7.08 (t, J = 7.6 Hz, 1H, Ar-H), 6.85–6.78 (m, 1H, Ar-H), 4.38 (s, 1H, SH). 13C NMR (101 MHz, CDCl3, 298K): δ 141.62 (d, J = 3.6 Hz), 141.19 (d, J = 2.2 Hz), 138.07, 137.78, 135.66 (d, J = 9.4 Hz), 134.10 (d, J = 19.6 Hz), 133.19, 130.88, 129.50, 129.18, 128.85 (d, J = 7.2 Hz), 128.57, 127.85, 125.06. 31P NMR (162 MHz, CDCl3, 298K): δ −12.20. Anal. Calcd. For C24H19PS: C, 77.81; H, 5.17. Found: C, 77.85; H, 5.15.
3.2.2. Synthesis of Half-Titanocene Complexes 2a–c
Synthesis of half-titanocene complex 2a (CpTiCl2[S-6-(PPh2)C6H4]). To a stirred solution of 6-(PPh2)C6H4SH (0.294 g, 1.00 mmol) in dried tetrahydrofuran (THF) (15 mL) was added NaH (0.048 g, 2.00 mmol) at 0 °C, and the mixture was allowed to warm up to room temperature and stirred for an additional 6 hours. And then the mixture was filtered to remove residual NaH, and the filtrate cooled to 0°C, and 15 mL THF solution of CpTiCl3 (0.219 g, 1.00 mmol) was added slowly. The cooler bath was removed, and the resultant mixture was warmed up to room temperature and stirred overnight. The solvents were removed under vacuum, and the residue was extracted with CH2Cl2 (3 × 10 mL). The combined filtrates were concentrated under vacuum to about 5 mL, and 20 mL hexane was layered with this solution for several days at −30 °C to precipitate dark red crystals of 2a (Yield: 85%). 1H NMR (300 MHz, CDCl3, 298K): δ 7.91–7.79 (m, 4H, Ar-H), 7.61–7.53 (m, 1H, Ar-H), 7.52—7.42 (m, 6H, Ar-H), 7.40-7.36 (m, 1H, Ar-H), 7.35–7.27 (m, 1H, Ar-H), 7.21–7.13 (m, 1H, Ar-H), 6.47 (d, J = 2.5 Hz, 5H, C5H5). 13C NMR (151 MHz, CDCl3, 298K): δ 156.71 (d, J = 34.2 Hz), 135.64, 135.28, 133.90 (d, J = 7.4 Hz), 131.74, 131.28, 131.06, 129.25 (d, J = 7.7 Hz), 128.79 (d, J = 9.0 Hz), 125.16, 120.69. 31P NMR (162 MHz, CDCl3, 298K): δ 44.33. Anal. Calcd. For C23H19Cl2PSTi: C, 57.89; H, 4.01. Found: C, 57.98; H, 4.05.
Synthesis of half-titanocene complex 2b (CpTiCl2[S-2-Ph-6-(PPh2)C6H3]) was carried out according to the same procedure as that of 2a, except that 2-Ph-6-(PPh2)C6H3SH (0.370 g, 1.00 mmol) was used in place of 6-(PPh2)C6H4OH. Complex 2b was obtained as black red crystals in 80% yield. 1H NMR (600 MHz, CDCl3, 298K): δ 7.93–7.82 (m, 4H, Ar-H), 7.55 (t, J = 6.7 Hz, 1H, Ar-H), 7.49 (m, 6H, Ar-H), 7.41–7.36 (m, 4H, Ar-H), 7.35-7.30 (m, 2H, Ar-H), 7.23 (td, J = 7.5, 1.6 Hz, 1H, Ar-H), 6.45 (d, J = 2.3 Hz, 5H, C5H5). 13C NMR (151 MHz, CDCl3, 298K): δ 154.70 (d, J = 33.6 Hz), 141.88 (d, J = 8.5 Hz), 140.38, 137.56, 137.19, 134.15, 133.53, 131.26, 130.08, 129.52, 128.77 (d, J = 9.1 Hz), 128.19, 127.72, 125.61 (d, J = 6.0 Hz), 120.47. 31P NMR (162 MHz, CDCl3, 298K): δ 43.32. Anal. Calcd. For C29H23Cl2PSTi: C, 62.95; H, 4.19. Found: C, 62.90; H, 4.23.
Synthesis of half-titanocene complex 2c (CpTiCl2[S-2-SiMe3-6-(PPh2)C6H3]) was carried out according to the same procedure as that of 2a, except that 2-SiMe3-6-(PPh2)C6H3SH (0.367, 1.00 mmol) was used in place of 6-(PPh2)C6H4SH. Complex 2c was obtained as black red crystals in 76% yield. 1H NMR (300 MHz, CDCl3, 298K): δ 7.86–7.81 (m, 4H, Ar-H), 7.61–7.32 (m, 8H, Ar-H), 7.13 (t, J = 7.4 Hz, 1H, Ar-H), 6.44 (d, J = 2.3 Hz, 5H, C5H5), 0.37 (s, 9H, Si(CH3)3). 13C NMR (151 MHz, CDCl3, 298K): δ 163.77 (d, J = 33.6 Hz), 140.98 (d, J = 4.5 Hz), 137.83, 136.26, 135.90, 134.05, 131.92, 131.14, 128.70 (d, J = 9.0 Hz), 124.45 (d, J = 4.1 Hz), 120.45, −0.17. 31P NMR (162 MHz, CDCl3, 298K): δ 42.53. Anal. Calcd. For C26H27Cl2PSSiTi: C, 56.84; H, 4.95. Found: C, 56.91; H, 4.91.
3.2.3. Ethylene (Co-)Polymerization
A 200 mL stainless steel autoclave was heated under vacuum up to 150 °C for 6 h and then was cooled to and maintained at the desired reaction temperature. The reactor was charged with toluene and comonomer if desired under vacuum, and then the stirring motor was engaged to facilitate heat transfer. For single-component trials, a toluene solution of the catalyst was injected to the reactor, for co-catalyst-activated trials, a toluene solution of MMAO or Ph3CB(C6F5)4/iBu3Al was also added, after which ethylene was fed continuously, which was manually adjusted to maintain a desired constant pressure. Temperature control was conducted by internal cooling water coils. After the prescribed reaction time, the stirring motor was stopped and the reactor was vented. The solid polyethylene was obtained by filtration after precipitation from ethanol, washed with ethanol and acetone, dried at 60 °C for 10 h under vacuum.
3.2.4. Crystallographic Studies
Single crystals of complexes 2b, 2e and 3g suitable for X-ray structure determination were grown from CH2Cl2 and hexane solution in a glove box, thus maintaining a dry, O2-free environment. The crystallographic data, collection parameters, and refinement parameters are listed in Table 1. The intensity data were collected with the ω scan mode (186 K) on a Bruker Smart APEX diffractometer with CCD detector using Mo Kα radiation (λ = 0.71073Å). Lorentz, polarization factors were made for the intensity data, and absorption corrections were performed using the SADABS program. The crystal structures were solved using the SHELXTL program and refined using full matrix least-squares. The positions of hydrogen atoms were calculated theoretically and included in the final cycles of refinement in a riding model along with attached carbons.
4. Conclusions
A series of novel half-titanocene complexes CpTiCl2[S-2-R-6-(PPh2)C6H3] (Cp = C5H5, 2a, R = H; 2b, R = SiMe3; 2c, R = Ph) have been synthesized in high yields. The 1H and 31P NMR spectra indicated that the phosphorus is coordinated to titanium in complexes 2a-c. Additionally molecular structures show that complexes 2a–b adopted five-coordinate distorted square-pyramid geometry around the titanium center. The complexes 2a–c were investigated as the catalysts for ethylene polymerization and copolymerization of ethylene with norbornene in the presence of MMAO or Ph3CB(C6F5)4/iBu3Al as the cocatalyst. All complexes exhibited low to moderate activities towards ethylene polymerization. Note that these complexes displayed moderate to high activities towards copolymerization of ethylene with norbornene, affording relatively high-molecular-weight copolymers with unimodal molecular weight distributions.
Acknowledgements
The authors are grateful for subsidy provided by the National Natural Science Foundation of China (Nos. 21074128 and 20923003). We also thank to Prof. Kotohiro Nomura (Tokyo Metropolitan University) for his kind discussion in preparing the manuscript.
References
- Nomura, K.; Liu, J.Y.; Padmanabhan, S.; Kitiyanan, B. Nonbridged half-metallocenes containing anionic ancillary donor ligands: New promising candidates as catalysts for precise olefin polymerization. J. Mol. Catal. A 2007, 267, 1–29. [Google Scholar] [CrossRef]
- Nomura, K. Half-titanocenes containing anionic ancillary donor ligands as promising new catalysts for precise olefin polymerisation. Dalton Trans. 2009, 38, 8811–8823. [Google Scholar] [CrossRef]
- Redshaw, C.; Tang, Y. Tridentate ligands and beyond in group IV metal α-olefin homo-/co-polymerization catalysis. Chem. Soc. Rev. 2012, 41, 4484–4510. [Google Scholar] [CrossRef]
- Brintzinger, H.H.; Fischer, D.; Mülhaupt, R.; Rieger, B.; Waymouth, R.M. Stereospecific Olefin Polymerization with Chiral Metallocene Catalysts. Angew. Chem. Int. Ed. Engl. 1995, 34, 1143–1170. [Google Scholar] [CrossRef]
- Kaminsky, W. New polymers by metallocene catalysis. Macromol. Chem. Phys. 1996, 197, 3907–3945. [Google Scholar] [CrossRef]
- McKnight, A.L.; Waymouth, R.M. Group 4 ansa-Cyclopentadienyl-Amido Catalysts for Olefin Polymerization. Chem. Rev. 1998, 98, 2587–2598. [Google Scholar] [CrossRef]
- Britovsek, G.J.P.; Gibson, V.C.; Wass, D.F. The Search for New-Generation Olefin Polymerization Catalysts: Life beyond Metallocenes. Angew. Chem. Int. Ed. 1999, 38, 428–447. [Google Scholar] [CrossRef]
- Braunschweig, H.; Breitling, F.M. Constrained geometry complexes—Synthesis and applications. Coord. Chem. Rev. 2006, 250, 2691–2720. [Google Scholar] [CrossRef]
- Sinn, H.; Kaminsky, W. Ziegler-Natta Catalysis. Adv. Organomet. Chem. 1980, 18, 99–149. [Google Scholar]
- Stephan, D.W.; Stewart, J.C.; Guerin, F.; Spence, R.E.; Xu, W.; Harrison, D.G. Phosphinimides as a Steric Equivalent to Cyclopentadienyl: An Approach to Ethylene Polymerization Catalyst Design. Organometallics 1999, 18, 1116–1118. [Google Scholar]
- Nomura, K.; Naga, N.; Miki, M.; Yanagi, K.; Imai, A. Synthesis of Various Nonbridged Titanium(IV) Cyclopentadienyl-Aryloxy Complexes of the Type CpTi(OAr)X2 and Their Use in the Catalysis of Alkene Polymerization. Important Roles of Substituents on both Aryloxy and Cyclopentadienyl Groups. Organometallics 1998, 17, 2152–2154. [Google Scholar] [CrossRef]
- Mahanthappa, M.K.; Cole, A.P.; Waymouth, R.M. Synthesis, Structure, and Ethylene/α-Olefin Polymerization Behavior of (Cyclopentadienyl)(nitroxide)titanium Complexes. Organometallics 2004, 23, 836–845. [Google Scholar] [CrossRef]
- Antiñolo, A.; Carrillo-Hermosilla, F.; Corrochano, A.; Fernández-Baeza, J.; Lara-Sanchez, A.; Ribeiro, M.R.; Lanfranchi, M.; Otero, A.; Pellinghelli, M.A.; Portela, M.F.; et al. Synthesis of Zirconium(IV) Monocyclopentadienyl−Aryloxy Complexes and Their Use in Catalytic Ethylene Polymerization. X-ray Structure of (η5-C5Me5)Zr{2,6-OC6H3(CH3)2}3. Organometallics 2000, 19, 2837–2843. [Google Scholar] [CrossRef]
- Tamm, M.; Randoll, S.; Herdtweck, E.; Kleigrewe, N.; Kehr, G.; Erker, G.; Rieger, B. Imidazolin-2-iminato titanium complexes: Synthesis, structure and use in ethylene polymerization catalysis. Dalton Trans. 2006, 459–467. [Google Scholar]
- Shah, S.A.A.; Dorn, H.; Voigt, A.; Roesky, H.W.; Parisini, E.; Schmidt, H.G.; Noltemeyer, M. Group 4 Metal Amido Fluorides and Chlorides: Molecular Structures and the First Comparison in Ethylene Polymerization Catalysis. Organometallics 1996, 15, 3176–3181. [Google Scholar] [CrossRef]
- Sinnema, P.J.; Spaniol, T.P.; Okuda, J. Non-bridged amido cyclopentadienyl complexes of titanium: synthesis, characterization, and olefin polymerization catalysis. J. Organomet. Chem. 2000, 598, 179–181. [Google Scholar] [CrossRef]
- Kretschmer, W.P.; Dijkhuis, C.; Meetsma, A.; Hessen, B.; Teuben, J.H. A highly efficient titanium-based olefin polymerisation catalyst with a monoanionic iminoimidazolidide π-donor ancillary ligand. Chem. Commun. 2002, 608–609. [Google Scholar]
- Zhang, S.B.; Piers, W.E.; Gao, X.L.; Parvez, M. The Mechanism of Methane Elimination in B(C6F5)3-Initiated Monocyclopentadienyl-Ketimide Titanium and Related Olefin Polymerization Catalysts. J. Am. Chem. Soc. 2000, 122, 5499–5509. [Google Scholar]
- Zhang, W.; Sita, L.R. Highly Efficient, Living Coordinative Chain-Transfer Polymerization of Propene with ZnEt2: Practical Production of Ultrahigh to Very Low Molecular Weight Amorphous Atactic Polypropenes of Extremely Narrow Polydispersity. J. Am. Chem. Soc. 2008, 130, 442–443. [Google Scholar] [CrossRef]
- Vollmerhaus, R.; Shao, P.; Taylor, N.J.; Collins, S. Synthesis of and Ethylene Polymerization Using Iminophosphonamide Complexes of Group 4. Organometallics 1999, 18, 2731–2733. [Google Scholar] [CrossRef]
- Dove, A.P.; Kiesewetter, E.T.; Ottenwaelder, X.; Waymouth, R.M. Propylene Polymerization with Cyclopentadienyltitanium(IV) Hydroxylaminato Complexes. Organometallics 2009, 28, 405–412. [Google Scholar]
- Liu, S.F.; Sun, W.H.; Zeng, Y.N.; Wang, D.; Zhang, W.J.; Li, Y. Syntheses, Characterization, and Ethylene (Co-)Polymerization Screening of Amidate Half-Titanocene Dichlorides. Organometallics 2010, 29, 2459–2464. [Google Scholar] [CrossRef]
- Bott, R.K.J.; Hughes, D.L.; Schormann, M.; Bochmann, M.; Lancaster, S.J. Monocyclopentadienyl phenoxy-imine and phenoxy-amine complexes of titanium and zirconium and their application as catalysts for 1-alkene polymerisation. J. Organomet. Chem. 2003, 665, 135–149. [Google Scholar]
- Liu, S.R.; Li, B.X.; Liu, J.Y.; Li, Y.S. Synthesis, Structure and Ethylene (Co)Polymerization Behavior of New Nonbridged Half-metallocene-type Titanium Complexes Based on Bidentate β-Enaminoketonato Ligands. Polymer 2010, 51, 1921–1925. [Google Scholar]
- Qi, C.H.; Zhang, S.B.; Sun, J.H. Synthesis, structure and ethylene polymerization behavior of titanium phosphinoamide complexes. J. Organomet. Chem. 2005, 690, 2941–2946. [Google Scholar] [CrossRef]
- Willoughby, C.A.; Duff, R.R., Jr.; Davis, W.M.; Buchwald, S.L. Preparation of Novel Titanium Complexes Bearing o-Phosphinophenol Ligands. Organometallics 1996, 15, 472–475. [Google Scholar] [CrossRef]
- Zhang, J.; Lin, Y.J.; Jin, G.X. Synthesis, Characterization, and Ethylene Polymerization of Group IV Metal Complexes with Mono-Cp and Tridentate Aryloxide or Arylsulfide Ligands. Organometallics 2007, 26, 4042–4047. [Google Scholar] [CrossRef]
- Tang, X.Y.; Wang, Y.X.; Li, B.X.; Liu, J.Y.; Li, Y.S. Highly Efficient Ethylene/Norbornene Copolymerization by O-Di(phenyl)phosphanylphenolate-Based Half-Titanocene Complexes. J. Polym. Sci. Part A 2013, 51, 1585–1594. [Google Scholar] [CrossRef]
- Stephan, D.W.; Stewart, J.C.; Guerin, F.; Courtenay, S.; Kickham, J.; Hollink, E.; Beddie, C.; Hoskin, A.; Graham, T.; Wei, P.R.; et al. An Approach to Catalyst Design: Cyclopentadienyl-Titanium Phosphinimide Complexes in Ethylene Polymerization. Organometallics 2003, 22, 1937–1947. [Google Scholar] [CrossRef]
- Nomura, K.; Tsubota, M.; Fujiki, M. Efficient Ethylene/Norbornene Copolymerization by (Aryloxo)(indenyl)titanium(IV) Complexes-MAO Catalyst System. Macromolecules 2003, 36, 3797–3799. [Google Scholar] [CrossRef]
- Nomura, K.; Fujki, K. Effect of Cyclopentadienyl and Amide Fragment in Olefin Polymerization by Nonbridged (Amide)(cyclopentadienyl)titanium(IV) Complexes of the Type Cp’TiCl2[N(R1)R2]-Methylaluminoxane (MAO) Catalyst Systems. Macromolecules 2003, 36, 2633–2641. [Google Scholar] [CrossRef]
- Wang, W.; Tanaka, T.; Tsubota, M.; Fujiki, M.; Yamanaka, S.; Nomura, K. Effect of Cyclopentadienyl Fragment in Copolymerization of Ethylene with Cyclic Olefins Catalyzed by Non-Bridged (Aryloxo)(cyclopentadienyl)titanium(IV) Complexes. Adv. Synth. Catal. 2005, 347, 433–446. [Google Scholar] [CrossRef]
- Keaton, R.J.; Jayaratne, K.C.; Henningsen, D.A.; Koterwas, L.A.; Sita, L.R. Dramatic Enhancement of Activities for Living Ziegler-Natta Polymerizations Mediated by Exposed” Zirconium Acetamidinate Initiators: The Isospecific Living Polymerization of Vinylcyclohexane. J. Am. Chem. Soc. 2001, 123, 6197–6198. [Google Scholar]
- Jayaratne, K.C.; Keaton, R.J.; Henningsen, D.A.; Sita, L.R. Living Ziegler−Natta Cyclopolymerization of Nonconjugated Dienes: New Classes of Microphase-Separated Polyolefin Block Copolymers via a Tandem Polymerization/Cyclopolymerization Strategy. J. Am. Chem. Soc. 2000, 122, 10490–10491. [Google Scholar] [CrossRef]
- Jayaratne, K.C.; Sita, L.R. Stereospecific Living Ziegler−Natta Polymerization of 1-Hexene. J. Am. Chem. Soc. 2000, 122, 958–959. [Google Scholar] [CrossRef]
- Zhang, W.; Sita, L.R. Investigation of Dynamic Intra- and Intermolecular Processes within a Tether-Length Dependent Series of Group 4 Bimetallic Initiators for Stereomodulated Degenerative Transfer Living Ziegler–Natta Propene Polymerization. Adv. Synth. Catal. 2008, 350, 439–447. [Google Scholar] [CrossRef]
- Doherty, S.; Errington, R.J.; Jarvis, A.P.; Collins, S.; Clegg, W.; Elsegood, M.R.J. Polymerization of Ethylene by the Electrophilic Mixed Cyclopentadienylpyridylalkoxide Complexes [CpM{NC5H4(CR2O)-2}Cl2] (M = Ti, Zr, R = Ph, Pri). Organometallics 1998, 17, 3408–3410. [Google Scholar] [CrossRef]
- Dove, A.P.; Xie, X.; Waymouth, R.M. Cyclopentadienyl titanium hydroxylaminato complexes as highly active catalysts for the polymerization of propylene. Chem. Commun. 2005, 16, 2152–2154. [Google Scholar] [CrossRef]
- Liu, J.Y.; Liu, S.R.; Li, B.X.; Li, Y.G.; Li, Y.S. Synthesis and Characterization of Novel Half-Metallocene-Type Group IV Complexes Containing Phosphine Oxide-Phenolate Chelating Ligands and Their Application to Ethylene Polymerization. Organometallics 2011, 30, 4052–4059. [Google Scholar] [CrossRef]
- Hu, P.; Lin, Y.J.; Jin, G.X. Syntheses, Characterization, and Ethylene Polymerization of Half-Sandwich Zirconium Complexes with Tridentate Imino-Quinolinol Ligands. Organometallics 2011, 30, 1008–1012. [Google Scholar] [CrossRef]
- Long, R.J.; Gibson, V.C.; White, A.J.P.; Williams, D.J. Combining Hard and Soft Donors in Early-Transition-Metal Olefin Polymerization Catalysts. Inorg. Chem. 2006, 45, 511–513. [Google Scholar] [CrossRef]
- Long, R.J.; Gibson, V.C.; White, A.J.P. Group 4 Metal Olefin Polymerization Catalysts Stabilized by Bidentate O,P Ligands. Organometallics 2008, 27, 235–245. [Google Scholar]
- He, L.P.; Liu, J.Y.; Li, Y.G.; Liu, S.R.; Li, Y.S. High-Temperature Living Copolymerization of Ethylene with Norbornene by Titanium Complexes Bearing Bidentate [O, P] Ligands. Macromolecules 2009, 42, 8566–8570. [Google Scholar] [CrossRef]
- McKnight, A.L.; Waymouth, R.M. Ethylene/Norbornene Copolymerizations with Titanium CpA Catalysts. Macromolecules 1999, 32, 2816–2825. [Google Scholar] [CrossRef]
- Yoshida, Y.; Saito, J.; Mitani, M.; Takagi, Y.; Matsui, S.; Ishii, S.; Nakano, T.; Kashiwa, N.; Fujita, T. Living ethylene/norbornene copolymerisation catalyzed by titanium complexes having two pyrrolide-imine chelate ligands. Chem. Commun. 2002, 1298–1299. [Google Scholar]
- Ruchatz, D.; Fink, G. Ethene-Norbornene Copolymerization Using Homogenous Metallocene and Half-Sandwich Catalysts: Kinetics and Relationships between Catalyst Structure and Polymer Structure. 1. Kinetics of the Ethene-Norbornene Copolymerization Using the [(Isopropylidene)(η5-inden-1-ylidene-η5-cyclopentadienyl)]zirconium Dichloride/Methylaluminoxane Catalyst. Macromolecules 1998, 31, 4669–4673. [Google Scholar] [CrossRef]
- Provasoli, A.; Ferro, D.R.; Tritto, I.; Boggioni, L. The Conformational Characteristics of Ethylene-Norbornene Copolymers and Their Influence on the 13C NMR Spectra. Macromolecules 1999, 32, 6697–6706. [Google Scholar] [CrossRef]
- Hasan, T.; Ikeda, T.; Shiono, T. Ethene-Norbornene Copolymer with High Norbornene Content Produced by ansa-Fluorenylamidodimethyltitanium Complex Using a Suitable Activator. Macromolecules 2004, 37, 8503–8509. [Google Scholar] [CrossRef]
- Li, X.F.; Dai, K.; Ye, W.P.; Pan, L.; Li, Y.S. New Titanium Complexes with Two β-Enaminoketonato Chelate Ligands: Syntheses, Structures, and Olefin Polymerization Activities. Organometallics 2004, 23, 1223–1230. [Google Scholar] [CrossRef]
- Yoshida, Y.; Mohri, J.; Ishii, S.; Mitani, M.; Saito, J.; Matsui, S.; Makio, H.; Nakano, T.; Tanaka, H.; Onda, M.; et al. Living Copolymerization of Ethylene with Norbornene Catalyzed by Bis(Pyrrolide−Imine) Titanium Complexes with MAO. J. Am. Chem. Soc. 2004, 126, 12023–12032. [Google Scholar] [CrossRef]
- Ruchatz, D.; Fink, G. Ethene-Norbornene Copolymerization Using Homogenous Metallocene and Half-Sandwich Catalysts: Kinetics and Relationships between Catalyst Structure and Polymer Structure. 2. Comparative Study of Different Metallocene- and Half-Sandwich/Methylaluminoxane Catalysts and Analysis of the Copolymers by 13C Nuclear Magnetic Resonance Spectroscopy. Macromolecules 1998, 31, 4674–4680. [Google Scholar] [CrossRef]
- Ruchatz, D.; Fink, G. Ethene-Norbornene Copolymerization with Homogeneous Metallocene and Half-Sandwich Catalysts: Kinetics and Relationships between Catalyst Structure and Polymer Structure. 3. Copolymerization Parameters and Copolymerization Diagrams. Macromolecules 1998, 31, 4681–4683. [Google Scholar] [CrossRef]
- Ruchatz, D.; Fink, G. Ethene-Norbornene Copolymerization with Homogeneous Metallocene and Half-Sandwich Catalysts: Kinetics and Relationships between Catalyst Structure and Polymer Structure. 4. Development of Molecular Weights. Macromolecules 1998, 31, 4684–4686. [Google Scholar] [CrossRef]
- Tritto, I.; Marestin, C.; Boggioni, L.; Zetta, L.; Provasoli, A.; Ferro, D.R. Ethylene-Norbornene Copolymer Microstructure. Assessment and Advances Based on Assignments of 13C NMR Spectra. Macromolecules 2000, 33, 8931–8944. [Google Scholar]
- Tritto, I.; Marestin, C.; Boggioni, L.; Sacchi, M.C.; Brintzinger, H.H.; Ferro, D.R. Stereoregular and Stereoirregular Alternating Ethylene-Norbornene Copolymers. Macromolecules 2001, 34, 5770–5777. [Google Scholar]
- Tritto, I.; Boggioni, L.; Jansen, J.C.; Thorshaug, K.; Sacchi, M.C.; Ferro, D.R. Ethylene-Norbornene Copolymers from Metallocene-Based Catalysts: Microstructure at Tetrad Level and Reactivity Ratios. Macromolecules 2002, 35, 616–623. [Google Scholar]
© 2013 by the authors; licensee MDPI, Basel, Switzerland. This article is an open access article distributed under the terms and conditions of the Creative Commons Attribution license (http://creativecommons.org/licenses/by/3.0/).