Synthesis of Nitrogen-Doped Biomass-Based Activated-Carbon-Supported Nickel Nanoparticles for Hydrazine Oxidation
Abstract
1. Introduction
2. Results
2.1. Microstructure and Morphology Studies
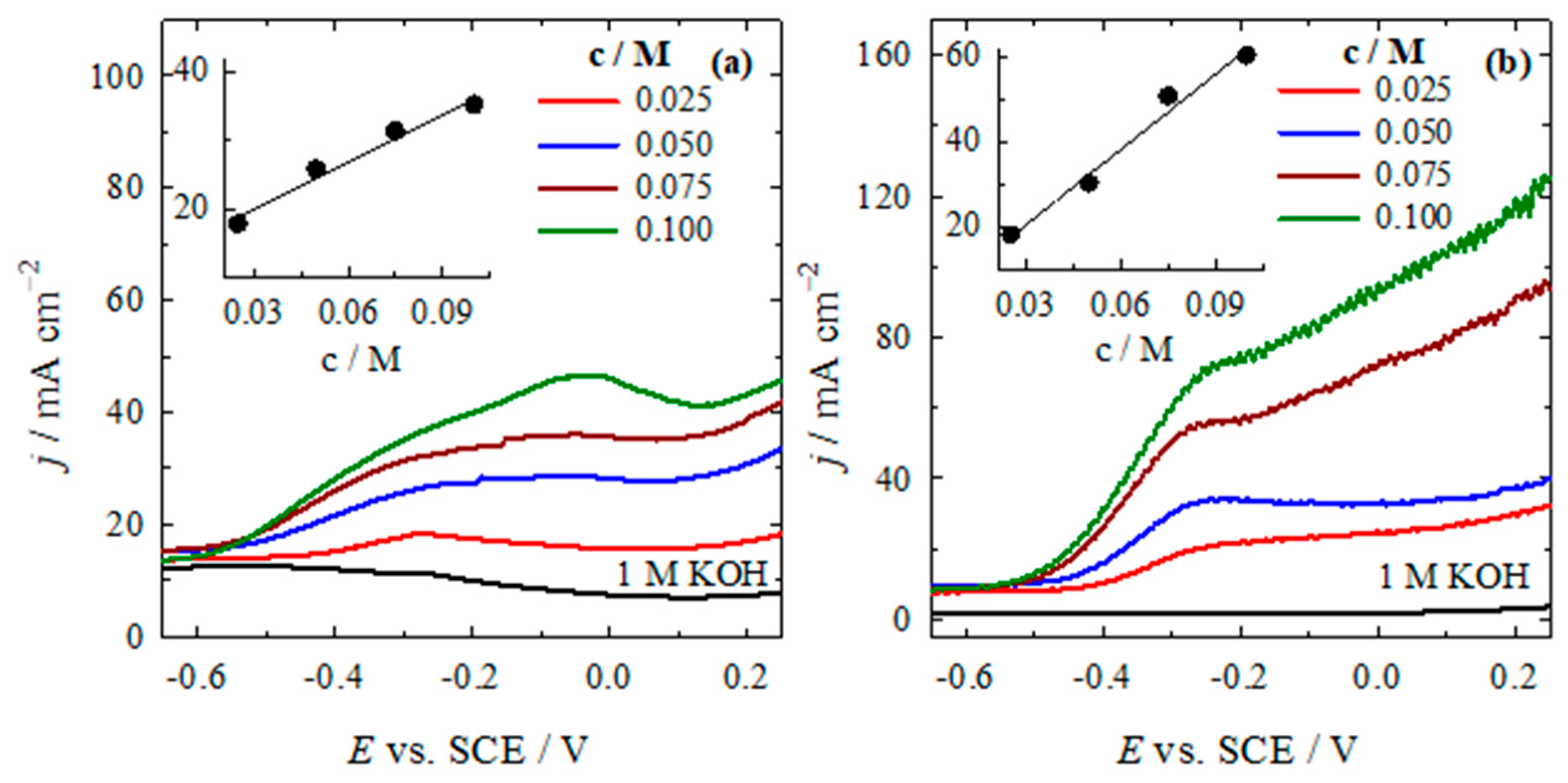
2.2. Determination of Electroactivity of Catalysts for the HzOR
2.3. Performance of Direct N2H4-H2O2 Fuel Cell
3. Materials and Methods
3.1. Preparation of Nitrogen-Doped Activated-Carbon-Supported Nickel Particles
3.2. Characterization of Catalysts
3.3. Electrochemical Measurements
3.4. Fuel-Cell Test Experiments
4. Conclusions
Author Contributions
Funding
Data Availability Statement
Acknowledgments
Conflicts of Interest
References
- Kong, Z.; Zhang, H.; Zhou, T.; Xie, L.; Wang, B.; Jiang, X. Biomass-derived functional materials: Preparation, functionalization, and applications in adsorption and catalytic separation of carbon dioxide and other atmospheric pollutants. Sep. Purif. Technol. 2025, 354, 129099. [Google Scholar] [CrossRef]
- Upskuvienė, D.; Balčiūnaitė, A.; Drabavičius, A.; Jasulaitienė, V.; Niaura, G.; Talaikis, M.; Plavniece, A.; Dobele, G.; Volperts, A.; Zhurinsh, A.; et al. Synthesis of nitrogen-doped carbon catalyst from hydrothermally carbonized wood chips for oxygen reduction. Catal. Commun. 2023, 184, 106797. [Google Scholar] [CrossRef]
- Zhang, X.; Li, S.; Zhao, G.; Zhao, H.; Zhou, M. Single-atom catalysts toward electrochemical water treatment. Appl. Catal. B Environ. Energy 2025, 363, 124783. [Google Scholar] [CrossRef]
- Zhu, Z.; Men, Y.; Zhang, W.; Yang, W.; Wang, F.; Zhang, Y.; Zhang, Y.; Zeng, X.; Xiao, J.; Tang, C.; et al. Versatile carbon-based materials from biomass for advanced electrochemical energy storage systems. Escience 2024, 4, 100249. [Google Scholar] [CrossRef]
- Fu, Q.; Li, N.; Lu, K.; Dong, Z.; Yang, Y. The emerging development of nitrogen and sulfur co-doped carbon dots: Synthesis methods, influencing factors and applications. Mater. Today Chem. 2024, 37, 102032. [Google Scholar] [CrossRef]
- Palm, I.; Kibena-Põldsepp, E.; Mooste, M.; Kozlova, J.; Käärik, M.; Kikas, A.; Treshchalov, A.; Leis, J.; Kisand, V.; Tamm, A.; et al. Nitrogen and sulphur co-doped carbon-based composites as electrocatalysts for the anion-exchange membrane fuel cell cathode. Int. J. Hydrogen Energy 2024, 55, 805–814. [Google Scholar] [CrossRef]
- Volperts, A.; Upskuvienė, D.; Balčiūnaitė, A.; Jasulaitienė, V.; Niaura, G.; Drabavičius, A.; Plavniece, A.; Dobele, G.; Zhurinsh, A.; Lin, Y.-C.; et al. Copper-nitrogen dual-doped activated carbon derived from alder wood as an electrocatalyst for oxygen reduction. Catal. Commun. 2023, 182, 106743. [Google Scholar] [CrossRef]
- Pereira, G.M.; Cellet, T.S.P.; Winkler, M.E.G.; Rubira, A.F.; Silva, R. Printing specific active sites for ORR and hydrazine oxidation on N-doped carbon. Mater. Chem. Phys. 2023, 307, 128102. [Google Scholar] [CrossRef]
- Song, S.; Li, Y.; Shi, Y.; Xu, Y.; Niu, Y. Oxygen-doped MoS2 nanoflowers with sulfur vacancies as electrocatalyst for efficient hydrazine oxidation. J. Electroanal. Chem. 2022, 906, 115986. [Google Scholar] [CrossRef]
- Taghaddosi, S.; Rezaee, S.; Shahrokhian, S. Facile synthesis of N-doped hollow carbon nanospheres wrapped with transition metal oxides nanostructures as non-precious catalysts for the electro-oxidation of hydrazine. J. Electroanal. Chem. 2020, 873, 114437. [Google Scholar] [CrossRef]
- Chen, S.; Wang, C.; Liu, S.; Huang, M.; Lu, J.; Xu, P.; Tong, H.; Hu, L.; Chen, Q. Boosting hydrazine oxidation reaction on CoP/Co Mott-Schottky electrocatalyst through engineering active sites. J. Phys. Chem. Lett. 2021, 12, 4769–5044. [Google Scholar] [CrossRef] [PubMed]
- Burshtein, T.Y.; Yasman, Y.; Muñoz-Moene, L.; Zagal, J.H.; Eisenberg, D. Hydrazine oxidation electrocatalysis. ACS Catalysis 2024, 14, 2264–2283. [Google Scholar] [CrossRef]
- Dong, Q.; Li, Y.; Ji, S.; Wang, H.; Kan, Z.; Linkov, V.; Wang, R. Directional manipulation of electron transfer in copper/nitrogen doped carbon by Schottky barrier for efficient anodic hydrazine oxidation and cathodic oxygen reduction. J. Colloid Interf. Sci. 2023, 652 Pt A, 57–68. [Google Scholar] [CrossRef]
- Zhang, C.M.; Zhou, B.; Gong, Y.; Shang, M.; Xiao, W.; Wang, J.; Dai, C.; Zhang, H.; Wu, Z.; Wang, L. Regulating Mo-based alloy-oxide active interfaces for efficient alkaline hydrogen evolution assisted by hydrazine oxidation. J. Colloid Interf. Sci. 2024, 667, 73–81. [Google Scholar] [CrossRef] [PubMed]
- Askari, M.B.; Salarizadeh, P.; Beitollahi, H.; Tajik, S.; Eshghi, A.; Azizi, S. Electro-oxidation of hydrazine on NiFe2O4-rGO as a high-performance nano-electrocatalyst in alkaline media. Mater. Chem. Phys. 2022, 275, 125313. [Google Scholar] [CrossRef]
- Zhang, Z.; Wen, H.; Liu, J.; Wang, P. Ni-W solid solution alloy as a high-performance catalyst for hydrazine oxidation. Electrochim. Acta 2023, 471, 143356. [Google Scholar] [CrossRef]
- Gopi, S.; Yun, K. Synergistic sulfur-doped tri-metal phosphide electrocatalyst for efficient hydrazine oxidation in water electrolysis: Toward high-performance hydrogen fuel generation. J. Alloys Compn. 2024, 986, 174044. [Google Scholar] [CrossRef]
- Wei, X.; Wang, T.; Dai, H.; Li, S. Multifold nanotwin-enhanced catalytic activity of Ni-Zn-Cu for hydrazine oxidation. J. Alloys Compd. 2024, 997, 174898. [Google Scholar] [CrossRef]
- Zhao, Y.; Sun, Y.; Li, H.; Zeng, S.; Li, R.; Yao, Q.; Chen, H.; Zheng, Y.; Qu, K. Highly enhanced hydrazine oxidation on bifunctional Ni tailored by alloying for energy-efficient hydrogen production. J. Colloid Interf. Sci. 2023, 652, 1848–1856. [Google Scholar] [CrossRef]
- Guo, R.; Zhang, Y.; Zhang, X.; Ma, M.; Hu, T. Enhanced catalytic oxidation of hydrazine of CoO/Co3O4 heterojunction on N-doped carbon. Electrochim. Acta 2023, 458, 142537. [Google Scholar] [CrossRef]
- Filanovsky, B.; Granot, E.; Presman, I.; Kuras, I.; Patolsky, F. Long-term room-temperature hydrazine/air fuel cells based on low-cost nanotextured Cu–Ni catalysts. J. Power Sources 2014, 246, 423–429. [Google Scholar] [CrossRef]
- Liu, H.; Liu, Y.; Li, M.; Liu, X.; Luo, J. Transition-metal-based electrocatalysts for hydrazine-assisted hydrogen production. Mater. Today Adv. 2020, 7, 100083. [Google Scholar] [CrossRef]
- Hu, X.; Wang, X.; Liu, T.; Liang, Z.; Zhang, X.; Tian, J. Fine-tuning catalytic performance of ultrafine bimetallic nickel-platinum on metal-organic framework derived nanoporous carbon/metal oxide toward hydrous hydrazine decomposition. Int. J. Hydrogen Energy 2023, 48, 16001–16006. [Google Scholar] [CrossRef]
- Men, Y.; Su, J.; Wang, X.; Cai, P.; Cheng, G.; Luo, W. NiPt nanoparticles supported on CeO2 nanospheres for efficient catalytic hydrogen generation from alkaline solution of hydrazine. Chinese Chem. Lett. 2019, 30, 634–637. [Google Scholar] [CrossRef]
- Khan, S.; Shah, S.S.; Ahmad, A.; Yurtcan, A.B.; Jabeen, E.; Alshgari, R.A.; Janjua, N.K. Ruthenium and palladium oxide promoted zinc oxide nanoparticles: Efficient electrocatalysts for hydrazine oxidation reaction. J. Electroanal. Chem. 2022, 917, 116422. [Google Scholar] [CrossRef]
- Hanindriyoa, A.T.; Prawiraa, T.Y.Y.; Agustaa, M.K.; Maezonob, R.; Dipojono, H.K. Computational design of Ni-Zn based catalyst for direct hydrazine fuel cell catalyst using density functional theory. Procedia Engineer. 2017, 170, 148–153. [Google Scholar] [CrossRef]
- Tamašauskaitė-Tamašiūnaitė, L.; Šimkūnaitė, D.; Nacys, A.; Balčiūnaitė, A.; Zabielaitė, A.; Norkus, E. Chapter 11-Direct hydrazine fuel cells (DHFCs). In Direct Liquid Fuel Cells Fundamentals, Advances and Future; Academic Press: Cambridge, MA, USA, 2021; pp. 233–248. [Google Scholar]
- Ma, J.; Choudhury, N.A.; Sahai, Y. A comprehensive review of direct borohydride fuel cells. Renew. Sust. Energy Rev. 2010, 14, 183–199. [Google Scholar] [CrossRef]
- Abdolmaleki, M.; Ahadzadeh, I.; Goudarziafshar, H. Direct hydrazine-hydrogen peroxide fuel cell using carbon supported Co@Au core-shell nanocatalyst. Int. J. Hydrogen Energy 2017, 42, 15623–15631. [Google Scholar] [CrossRef]
- Bedin, K.C.; Cazetta, A.L.; Souza, I.P.A.F.; Spessato, L.; Zhang, T.; Araújo, R.A.; Silva, R.; Asefa, T.; Almeida, V.C. N-doped spherical activated carbon from dye adsorption: Bifunctional electrocatalyst for hydrazine oxidation and oxygen reduction. J. Environ. Chem. Engineer. 2022, 10, 107458. [Google Scholar] [CrossRef]
- Serov, A.; Kwak, C. Direct hydrazine fuel cells: A review. App. Catal. B-Environ. 2010, 98, 1–9. [Google Scholar] [CrossRef]
- Vorms, E.A.; Papaefthymiou, V.; Faverge, T.; Bonnefont, A.; Chatenet, M.; Savinova, E.R.; Oshchepkov, A.G. Mechanism of the hydrazine hydrate electrooxidation reaction on metallic Ni electrodes in alkaline media as revealed by electrochemical methods, online DEMS and ex situ XPS. Electrochim. Acta 2024, 507, 145056. [Google Scholar] [CrossRef]
- Sakamoto, T.; Asazawa, K.; Martinez, U.; Halevi, B.; Suzuki, T.; Arai, S.; Matsumura, D.; Nishihata, Y.; Atanassov, P.; Tanaka, H. Electrooxidation of hydrazine hydrate using Ni–La catalyst for anion exchange membrane fuel cells. J. Power Sources 2013, 234, 252–259. [Google Scholar] [CrossRef]
- Ong, B.C.; Kamarudin, S.K.; Basri, S. Direct liquid fuel cells: A review. Int. J. Hydrogen Energy 2017, 42, 10142–10157. [Google Scholar] [CrossRef]
- Dekel, D.R. Review of cell performance in anion exchange membrane fuel cells. J. Power Sources 2018, 375, 158–169. [Google Scholar] [CrossRef]
- Hosseini, M.G.; Rashidi, N.; Mahmoodi, R.; Omer, M. Preparation of Pt/G and PtNi/G nanocatalysts with high electrocatalytic activity for borohydride oxidation and investigation of different operation condition on the performance of direct borohydride-hydrogen peroxide fuel cell. Mater. Chem. Phys. 2018, 208, 207–219. [Google Scholar] [CrossRef]
- Oliveira, R.C.P.; Vasić, M.; Santos, D.M.F.; Babić, B.; Hercigonja, R.; Sequeira, C.A.C.; Šljukić, B. Performance assessment of a direct borohydride-peroxide fuel cell with Pd-impregnated faujasite X zeolite as anode electrocatalyst. Electrochim. Acta 2018, 269, 517–525. [Google Scholar] [CrossRef]
- Mayuri, P.; Huang, S.-T.; Mani, V.; Kumar, A.S. A new organic redox species-indole tetraone trapped MWCNT modified electrode prepared by in-situ electrochemical oxidation of indole for a bifunctional electrocatalysis and simultaneous flow injection electroanalysis of hydrazine and hydrogen peroxide. Electrochim. Acta 2018, 268, 150–162. [Google Scholar] [CrossRef]
- Li, M.; Li, N.; Shao, W.; Zhou, C. Synthesis of carbon nanofibers by CVD as a catalyst support material using atomically ordered Ni3C nanoparticles. Nanotechnology 2016, 27, 505706. [Google Scholar] [CrossRef]
- Saconsint, S.; Sae-tang, N.; Srifa, A.; Koo-Amornpattana, W.; Assabumrungrat, S.; Fukuhara, C.; Ratchahat, S. Development of high-performance nickel-based catalysts for production of hydrogen and carbon nanotubes from biogas. Sci. Rep. 2022, 12, 15195. [Google Scholar] [CrossRef]
- Bansal, R.C.; Goyal, M. Activated Carbon Adsorption; Taylor & Francis: Abingdon, UK, 2005. [Google Scholar]
- Plavniece, A.; Volperts, A.; Dobele, G.; Zhurinsh, A.; Kaare, K.; Kruusenberg, I.; Kaprans, K.; Knoks, A.; Kleperis, J. Wood and black liquor-based N-doped activated carbon for energy application. Sustainability 2021, 13, 9237. [Google Scholar] [CrossRef]
- Cançado, L.G.; Jorio, A.; Fereira, E.H.M.; Stavale, F.; Achete, C.A.; Capaz, R.B.; Moutinho, M.V.O.; Lombardo, A.; Kulmala, T.S.; Ferrari, A.C. Quantifying defects in graphene via Raman spectroscopy at different excitation energies. Nano Lett. 2011, 11, 3190–3196. [Google Scholar] [CrossRef] [PubMed]
- Ribeiro-Soares, J.; Oliveros, M.E.; Garin, C.; David, M.V.; Martins, L.G.P.; Almeida, C.A.; Martins-Ferreira, E.H.; Takai, K.; Enoki, T.; Margalhães-Paniago, R.; et al. Structural analysis of polycrystalline graphene by Raman spectroscopy. Carbon 2015, 95, 646–652. [Google Scholar] [CrossRef]
- Jorio, A.; Cançado, L.G. Perspectives on Raman spectroscopy of graphene-based systems: From the perfect two-dimensional surface to charcoal. Phys. Chem. Chem. Phys. 2012, 14, 15246–15256. [Google Scholar] [CrossRef]
- Jorio, A.; Filho, A.G.S. Raman studies of carbon nanostructures. Annu. Rev. Mater. Res. 2016, 46, 357–382. [Google Scholar] [CrossRef]
- Trusovas, R.; Ratautas, K.; Račiukaitis, G.; Niaura, G. Graphene layer formation in pinewood by nanosecond and picosecond laser. Appl. Surf. Sci. 2019, 471, 154–161. [Google Scholar] [CrossRef]
- Biesinger, M.C. Accessing the robustness of adventitious carbon for charge referencing (correction) purposes in XPS analysis: Insights from a multi-user facility data review. Appl. Surf. Sci. 2022, 597, 153681. [Google Scholar] [CrossRef]
- Baccile, N.; Laurent, G.; Babonneau, F.; Fayon, F.; Titirici, M.M.; Antonietti, M. Structural characterization of hydrothermal carbon spheres by advanced solid-state MAS 13C NMR investigations. J. Phys. Chem. C 2009, 113, 9644–9654. [Google Scholar] [CrossRef]
- Xue, Y.; Gao, B.; Yao, Y.; Inyang, M.; Zhang, M.; Zimmerman, A.R.; Ro, K.S. Hydrogen peroxide modification enhances the ability of biochar (hydrochar) produced from hydrothermal carbonization of peanut hull to remove aqueous heavy metals: Batch and column tests. Chem. Eng. J. 2012, 200–202, 673–680. [Google Scholar] [CrossRef]
- Gonçalves, L.P.L.; Serov, A.; McCool, G.; Dicome, M.; Sousa, J.P.S.; Soares, O.S.G.P.; Bondarchuk, O.; Petrovykh, D.Y.; Lebedev, O.I.; Pereira, M.F.R.; et al. New opportunity for carbon-supported Ni-based electrocatalysts: Gas-phase CO2 methanation. ChemCatChem 2021, 13, 4770–4779. [Google Scholar] [CrossRef]
- Biesinger, M.C.; Payne, B.P.; Lau, L.W.M.; Gerson, A.; Smart, R.S.C. X-ray photoelectron spectroscopy chemical state quantification of mixed nickel metal, oxide and hydroxide system. Surf. Interf. Anal. 2009, 41, 324–332. [Google Scholar] [CrossRef]
- Biesinger, M.C.; Payne, B.P.; Grosvenor, A.P.; Lau, L.W.M.; Gerson, A.R.; Smart, R.S.C. Resolving surface chemical states in XPS analysis of first row transition metals, oxides and hydroxides: Cr, Mn, Fe, Co and Ni. Appl. Surf. Sci. 2011, 257, 2717–2730. [Google Scholar] [CrossRef]
- Naumkin, A.V.; Kraut-Vass, A.; Gaarenstroom, S.W.; Powel, C.J. NIST X-Ray Photoelectron Spectroscopy Database (SRD 20), Version 5.0 (Web Version). 2023. Available online: https://srdata.nist.gov/xps/ (accessed on 9 March 2025).
- Wang, G.; Chen, J.; Cai, P.; Jia, J.; Wen, Z. A self-supported Ni–Co perselenide nanorod array as a high-activity bifunctional electrode for a hydrogen-producing hydrazine fuel cell. J. Mater. Chem. A 2018, 6, 17763–17770. [Google Scholar] [CrossRef]
- Hosseini, M.G.; Daneshvari-Esfahlan, V.; Aghajani, H.; Wolf, S.; Hacker, V. Palladium-Nickel electrocatalysts on nitrogen-doped reduced graphene oxide nanosheets for direct hydrazine/hydrogen peroxide fuel cells. Catalysts 2021, 11, 1372. [Google Scholar] [CrossRef]
- Crisafulli, R.; De Barros, V.V.S.; Rodrigues De Oliveira, F.E.; De Araújo Rocha, T.; Zignani, S.; Spadaro, L.; Palella, A.; Dias, J.A.; Linares, J.J. On the promotional effect of Cu on Pt for hydrazine electrooxidation in alkaline medium. Appl. Catal. B Environ. 2018, 236, 36–44. [Google Scholar] [CrossRef]
- Feng, G.; Kuang, Y.; Li, P.; Han, N.; Sun, M.; Zhang, G.; Sun, X. Single crystalline ultrathin nickel–cobalt alloy nanosheets array for direct hydrazine fuel cells. Adv. Sci. 2017, 4, 1600179. [Google Scholar] [CrossRef]
- Lei, Y.; Liu, Y.; Fan, B.; Mao, L.; Yu, D.; Huang, Y.; Guo, F. Facile fabrication of hierarchically porous Ni foam@ Ag-Ni catalyst for efficient hydrazine oxidation in alkaline medium. J. Taiwan Inst. Chem. Eng. 2019, 105, 75–84. [Google Scholar] [CrossRef]










| Sample | Specific Surface Area, m2 g−1 | Pore Volume, cm3 g−1 | Average Pore Width, nm | Mesopores from Vt, % | ||||
|---|---|---|---|---|---|---|---|---|
| BET | DR | DFT | Total | Micro | Meso | |||
| AWC-N | 2217 | 1921 | 1496 | 1.6 | 0.7 | 0.9 | 2.9 | 56.6 |
| AWC-Ni-N | 2050 | 1791 | 1387 | 1.3 | 0.6 | 0.6 | 2.5 | 49.7 |
| Sample | FWHM(G) (cm−1) | La (nm) | I(D″)/I(G) |
|---|---|---|---|
| AWC-N | 55.7 | 13.6 | 0.51 |
| AWC-Ni-N | 49.8 | 16.1 | 0.55 |
| Sample | C 1s | N 1s | O 1s | Ni 2p3/2 | ||||
|---|---|---|---|---|---|---|---|---|
| Eb, eV | at. % | Eb, eV | at. % | Eb, eV | at. % | Eb, eV | at. % | |
| AWC-N | 284.2 | 10.49 | 398.7 | 48.38 | 530.7 | 14.89 | ||
| 284.7 | 59.27 | 400.8 | 42.72 | 532.2 | 61.86 | |||
| 285.3 | 23.13 | 403.3 | 8.90 | 533.5 | 23.25 | |||
| 286.2 | 7.11 | |||||||
| AWC-Ni-N | 284.2 | 11.02 | 399.0 | 64.79 | 530.6 | 10.91 | 853.0 | 27.71 |
| 284.7 | 46.92 | 401.1 | 35.21 | 531.8 | 31.82 | 854.6 | 41.55 | |
| 285.3 | 26.00 | 532.4 | 37.26 | 856.0 | 30.75 | |||
| 286.3 | 16.06 | 533.7 | 20.00 | |||||
| Catalyst | T (°C) | Peak Power Density (mW cm−2) | j at Peak Power Density (mA cm−2) | E at Peak Power Density (V) |
|---|---|---|---|---|
| AWC-N | 25 | 4.4 | 7.3 | 0.60 |
| 35 | 5.0 | 8.4 | 0.60 | |
| 45 | 6.0 | 9.9 | 0.60 | |
| 55 | 7.0 | 11.7 | 0.60 | |
| AWC-Ni-N | 25 | 10.8 | 27.0 | 0.40 |
| 35 | 19.3 | 32.2 | 0.60 | |
| 45 | 25.1 | 38.6 | 0.65 | |
| 55 | 31.1 | 47.9 | 0.65 |
| Anode | Cathode | Anolyte | Catholyte | Pmax, mW cm−2 | T, (°C) | Ref. |
|---|---|---|---|---|---|---|
| AWC-N | AWC-N | 1 M N2H4 + 1 M KOH | 5 M H2O2 + 1.5 M HCl | 4.4 7.0 | 25 55 | [This work] |
| AWC-Ni-N | AWC-Ni-N | 1 M N2H4 + 1 M KOH | 5 M H2O2 + 1.5 M HCl | 10.8 31.1 | 25 55 | [This work] |
| Ni0.5Co0.5Se2 | Ni0.5Co0.5Se2 | 4.0 M KOH | 0.5 H2SO4 | 13.3 | 25 | [55] |
| Pd–Ni/NrGO (1.0 mg cm−2) | Pt/C (0.5 mg cm−2) | 1.0 M N2H4 + 2.0 M NaOH | 2 M H2O2 + 0.5 M H2SO4 | 187.9 216.7 | 25 60 | [56] |
| Pt53Cu47/C (0.5 mg cm−2) | Pt/C (20 wt.%) (1.0 mg cm−2) | 1.0 M N2H4 + 1.0 M KOH | O2 flow rate: 30 SCCM | 56.1 | 80 | [57] |
| Ni0.6Co0.4 nanosheets (1.4 mg cm−2) | Pt/C (40.0 wt.%) | 20wt% M N2H4 + 4.0 M KOH | 20.0% H2O2 + 0.5 M H2SO4 | 107.1 | 80 | [58] |
| Ni foam@Ag–Ni | Pd/CFC | 0.045 M N2H4 + 1 M KOH | 1 M H2O2 +2 M H2SO4 | 6.7 | - | [59] |
| Ni foam@Ni | Pd/CFC | 0.045 M N2H4 + 1 M KOH | 1 M H2O2 +2 M H2SO4 | 4.1 | - | [59] |
Disclaimer/Publisher’s Note: The statements, opinions and data contained in all publications are solely those of the individual author(s) and contributor(s) and not of MDPI and/or the editor(s). MDPI and/or the editor(s) disclaim responsibility for any injury to people or property resulting from any ideas, methods, instructions or products referred to in the content. |
© 2025 by the authors. Licensee MDPI, Basel, Switzerland. This article is an open access article distributed under the terms and conditions of the Creative Commons Attribution (CC BY) license (https://creativecommons.org/licenses/by/4.0/).
Share and Cite
Ulevičienė, V.; Balčiūnaitė, A.; Upskuvienė, D.; Plavniece, A.; Volperts, A.; Dobele, G.; Zhurinsh, A.; Niaura, G.; Tamašauskaitė-Tamašiūnaitė, L.; Norkus, E. Synthesis of Nitrogen-Doped Biomass-Based Activated-Carbon-Supported Nickel Nanoparticles for Hydrazine Oxidation. Catalysts 2025, 15, 400. https://doi.org/10.3390/catal15040400
Ulevičienė V, Balčiūnaitė A, Upskuvienė D, Plavniece A, Volperts A, Dobele G, Zhurinsh A, Niaura G, Tamašauskaitė-Tamašiūnaitė L, Norkus E. Synthesis of Nitrogen-Doped Biomass-Based Activated-Carbon-Supported Nickel Nanoparticles for Hydrazine Oxidation. Catalysts. 2025; 15(4):400. https://doi.org/10.3390/catal15040400
Chicago/Turabian StyleUlevičienė, Virginija, Aldona Balčiūnaitė, Daina Upskuvienė, Ance Plavniece, Aleksandrs Volperts, Galina Dobele, Aivars Zhurinsh, Gediminas Niaura, Loreta Tamašauskaitė-Tamašiūnaitė, and Eugenijus Norkus. 2025. "Synthesis of Nitrogen-Doped Biomass-Based Activated-Carbon-Supported Nickel Nanoparticles for Hydrazine Oxidation" Catalysts 15, no. 4: 400. https://doi.org/10.3390/catal15040400
APA StyleUlevičienė, V., Balčiūnaitė, A., Upskuvienė, D., Plavniece, A., Volperts, A., Dobele, G., Zhurinsh, A., Niaura, G., Tamašauskaitė-Tamašiūnaitė, L., & Norkus, E. (2025). Synthesis of Nitrogen-Doped Biomass-Based Activated-Carbon-Supported Nickel Nanoparticles for Hydrazine Oxidation. Catalysts, 15(4), 400. https://doi.org/10.3390/catal15040400

