Insight into the Au/CoAlOx Catalyst with Spinel Structure for Efficient Oxidation of Benzyl Alcohol
Abstract
1. Introduction
2. Results and Discussion
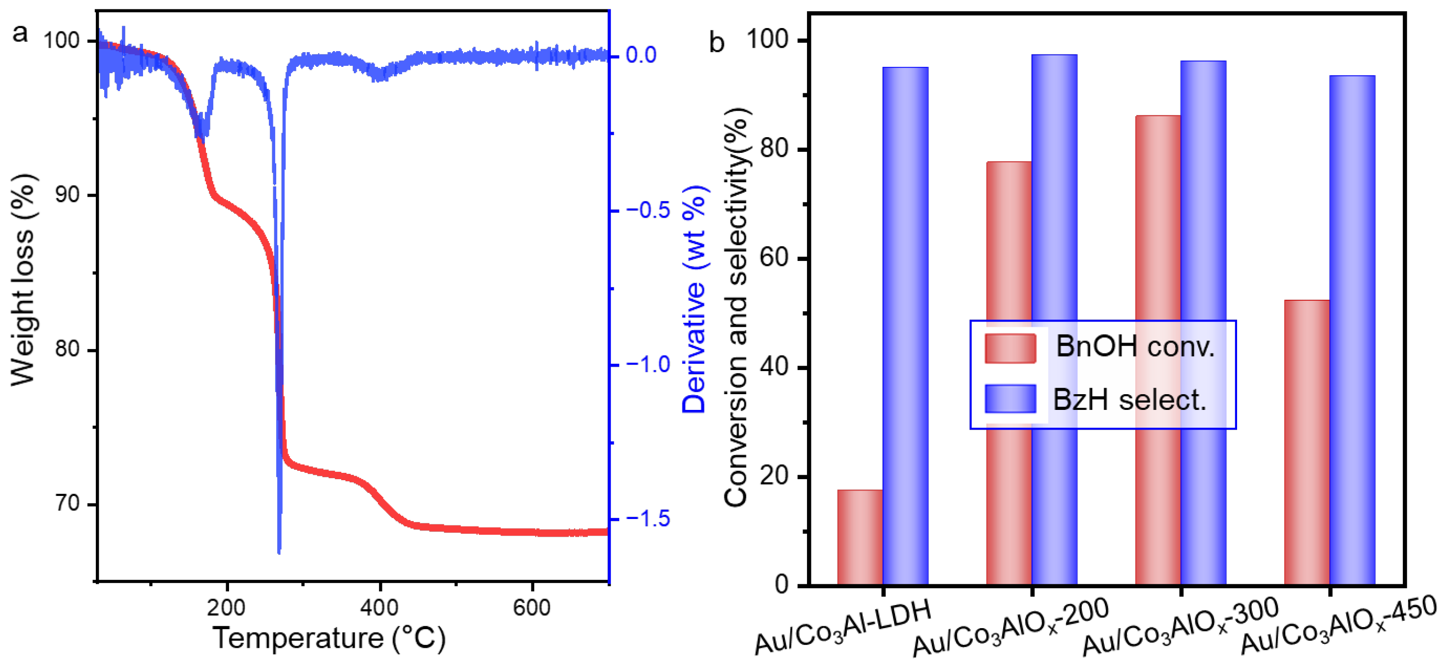
2.1. Fast Selection for Catalyst Design and Synthesis
2.2. Catalytic Performances of Au/ConAlOx Catalysts for Alcohol Oxidation
2.3. Chemical Structure and Composition of Au/ConAlOx Catalysts
2.4. Discussion on the Catalytic Performance-Structure Relationship

3. Materials and Methods
3.1. Chemical Reagents
3.2. Catalyst Synthesis
3.3. Alkali-Free Oxidation of Benzyl Alcohol
3.4. Characterization
4. Conclusions
Supplementary Materials
Author Contributions
Funding
Data Availability Statement
Conflicts of Interest
References
- Zheng, Z.; Li, K.; Lin, L.; Jiang, Z.; Wang, Y.; Yan, K. Recent advances on the electrocatalytic oxidation of biomass-derived aldehydes. Green Energy Environ. 2025, 10, 898–916. [Google Scholar] [CrossRef]
- Van der Ham, M.P.J.M.; Creus, J.; Bitter, J.H.; Koper, M.T.M.; Pescarmona, P.P. Electrochemical and Non-Electrochemical Pathways in the Electrocatalytic Oxidation of Monosaccharides and Related Sugar Alcohols into Valuable Products. Chem. Rev. 2024, 124, 11915–11961. [Google Scholar] [CrossRef]
- Zheng, Z.; Ma, X.; Cheng, X.; Zhao, K.; Gutman, K.; Li, T.; Zhang, L. Homogeneous Gold-Catalyzed Oxidation Reactions. Chem. Rev. 2021, 121, 8979–9038. [Google Scholar] [CrossRef]
- Asmaul Hoque, M.; Schweinzer, C.; Martinez, J.J.; Tewes, F.; Sacchetti, V.; Grützmacher, H.; Stahl, S.S. Heterogeneous Fe-N-C Cocatalyst for Hydroquinone Oxidation Enables Aerobic Oxidation of Primary Alcohols to Aldehydes. Angew. Chem. Int. Ed. 2025, 64, e202424778. [Google Scholar] [CrossRef]
- Luo, J.; Zhang, C.; Liu, W.; Xie, B.; Zhang, J. TEMPO immobilization on activated carbon by a novel surface-formylation tactic for long-term aerobic oxidation of alcohols. Chem. Eng. J. 2023, 471, 144454. [Google Scholar] [CrossRef]
- Dong, Y.; Luo, J.; Li, S.; Liang, C. CeO2 decorated Au/CNT catalyst with constructed Au-CeO2 interfaces for benzyl alcohol oxidation. Catal. Commun. 2020, 133, 105843. [Google Scholar] [CrossRef]
- Kwon, Y.; Lai, S.C.S.; Rodriguez, P.; Koper, M.T.M. Electrocatalytic Oxidation of Alcohols on Gold in Alkaline Media: Base or Gold Catalysis? J. Am. Chem. Soc. 2011, 133, 6914–6917. [Google Scholar] [CrossRef]
- Liu, J.; Zou, S.; Wu, J.; Kobayashi, H.; Zhao, H.; Fan, J. Green catalytic oxidation of benzyl alcohol over Pt/ZnO in base-free aqueous medium at room temperature. Chin. J. Catal. 2018, 39, 1081–1089. [Google Scholar] [CrossRef]
- Luo, J.; Zhou, Y.; Yang, S.; Zhu, W.; Li, S.; Liang, C. Structural Construction of Au–Pd Nanocomposite for Alkali-Free Oxidation of Benzyl Alcohol. ACS Appl. Mater Interf. 2023, 15, 22025–22035. [Google Scholar] [CrossRef]
- Zhang, X.H.; Sun, Z.H.; Jin, R.; Zhu, C.W.; Zhao, C.L.; Lin, Y.; Guan, Q.Q.; Cao, L.N.; Wang, H.W.; Li, S.; et al. Conjugated dual size effect of core-shell particles synergizes bimetallic catalysis. Nat. Commun. 2023, 14, 530. [Google Scholar] [CrossRef] [PubMed]
- Li, X.; Zhao, L.; Douthwaite, M.; Wang, K.; Akdim, O.; Daniel, I.T.; Oh, R.; Liu, L.; Wang, Z.; Meng, F.; et al. Solvent-Free Benzyl Alcohol Oxidation Using Spatially Separated Carbon-Supported Au and Pd Nanoparticles. ACS Catal. 2024, 14, 16551–16561. [Google Scholar] [CrossRef]
- Liu, Y.; Li, L.; Liu, L.L.; Wang, L.Y.; Zang, M.L.; Zhou, X.J.; Azam, M.; Tai, X.S. Bimetallic Au-Ru nanoparticles supported on zeolitic imidazolate framework-67 as highly efficient catalysts for the selective oxidation of benzyl alcohol. Sci. Rep. 2025, 15, 12145. [Google Scholar] [CrossRef]
- Jin, Q.; Bao, J.; Sakiyama, H.; Tsubaki, N. Preparation, structure and performance of TS-1 zeolite-coated Au–Pd/TiO2–SiO2 capsule catalyst for propylene epoxidation with oxygen and hydrogen. Res. Chem. Intermediat. 2011, 37, 177–184. [Google Scholar] [CrossRef]
- Nakayama, A.; Yoshida, A.; Aono, C.; Honma, T.; Sakaguchi, N.; Taketoshi, A.; Fujita, T.; Murayama, T.; Shimada, T.; Takagi, S.; et al. Preparation and Catalytic Properties of Gold Single-Atom and Cluster Catalysts Utilizing Nanoparticulate Mg-Al Layered Double Hydroxides. ChemPlusChem 2025, 90, e202400465. [Google Scholar] [CrossRef]
- Bo, S.; Zhang, X.; Wang, C.; Wang, H.; Chen, X.; Zhou, W.; Cheng, W.; Liu, Q. Inorganic–organic hybrid cobalt spinel oxides for catalyzing the oxygen evolution reaction. Nat. Commun. 2025, 16, 2483. [Google Scholar] [CrossRef]
- Zhang, S.; Du, Z.; Bao, M.; Gao, N.; Luo, J.; Liang, C. Catalytic Oxidation of Benzyl Alcohol by Gold Nanoparticles on Carbon Residue–Modified CoAlOx Spinel. Ind. Eng. Chem. Res. 2024, 63, 16154–16163. [Google Scholar] [CrossRef]
- Paul, R.; Maity, N.; Das, B.; Rani, S.; Ghosh, K.; Lisenkov, S.; Ponomareva, I.; Ghosh, R. Controllable oxygen vacancy defect engineering of BiVO4 porous structures for room temperature NH3 detection. Chem. Eng. J. 2025, 515, 163814. [Google Scholar] [CrossRef]
- Yang, Y.; Si, W.; Peng, Y.; Chen, J.; Wang, Y.; Chen, D.; Tian, Z.; Wang, J.; Li, J. Oxygen vacancy engineering on copper-manganese spinel surface for enhancing toluene catalytic combustion: A comparative study of acid treatment and alkali treatment. Appl. Catal. B-Environ. 2024, 340, 123142. [Google Scholar] [CrossRef]
- Luo, J.; Yang, S.; Ling, Y.; Yang, W.; Niu, H.; Li, W.; Liu, H.; Liang, C. Defective Au nanoparticles manipulated by Au-MgxAl-LDH interplay for alkali-free oxidation of benzyl alcohol. Chem. Eng. J. 2023, 473, 145171. [Google Scholar] [CrossRef]
- Tan, L.; Wang, Q.; Cheng, Z.; Hu, Z.; Liu, K.; Wang, Y.; Chang, Q. Research on the low-temperature synthesis of cobalt aluminum spinel type blue pigments. J. Alloys Comp. 2021, 864, 158625. [Google Scholar] [CrossRef]
- Choi, Y.; Jung, H.; Kim, S.; Han, J.W.; Lee, K.B. Structural changes of hydrotalcite-based Co-containing mixed oxides with calcination temperature and their effects on NOx adsorption: A combined experimental and DFT study. Chem. Eng. J. 2022, 437, 135209. [Google Scholar] [CrossRef]
- Luo, J.J.; Shan, F.X.; Yang, S.H.; Zhou, Y.X.; Liang, C.H. Boosting the catalytic behavior and stability of a gold catalyst with structure regulated by ceria. RSC Adv. 2022, 12, 1384–1392. [Google Scholar] [CrossRef]
- Menezes, J.P.d.S.Q.; Duarte, K.R.; Manfro, R.L.; Souza, M.M.V.M. Effect of niobia addition on cobalt catalysts supported on alumina for glycerol steam reforming. Renew. Energy 2020, 148, 864–875. [Google Scholar] [CrossRef]
- Bergadà, O.; Vicente, I.; Salagre, P.; Cesteros, Y.; Medina, F.; Sueiras, J.E. Microwave effect during aging on the porosity and basic properties of hydrotalcites. Microp. Mesop. Mater. 2007, 101, 363–373. [Google Scholar] [CrossRef]
- Song, J.; Yu, G.; Li, X.; Yang, X.; Zhang, W.; Yan, W.; Liu, G. Oxidative coupling of alcohols and amines to an imine over Mg-Al acid-base bifunctional oxide catalysts. Chin. J. Catal. 2018, 39, 309–318. [Google Scholar] [CrossRef]
- Du, E.; Yang, J.; Huai, L.; Hao, P.; Lv, M.; Chen, Z.; Chen, Y.; Zhang, J. Quantifying Interface-Dependent Active Sites Induced by Strong Metal–Support Interactions on Au/TiO2 in 2,5-Bis(hydroxymethyl)furan Oxidation. ACS Catal. 2025, 15, 54–62. [Google Scholar] [CrossRef]
- Sankar, M.; He, Q.; Engel, R.V.; Sainna, M.A.; Logsdail, A.J.; Roldan, A.; Willock, D.J.; Agarwal, N.; Kiely, C.J.; Hutchings, G.J. Role of the Support in Gold-Containing Nanoparticles as Heterogeneous Catalysts. Chem. Rev. 2020, 120, 3890–3938. [Google Scholar] [CrossRef] [PubMed]
- Anandkumar, M.; Vinothkumar, G.; Suresh Babu, K. Synergistic effect of gold supported on redox active cerium oxide nanoparticles for the catalytic hydrogenation of 4-nitrophenol. New J. Chem. 2017, 41, 6720–6729. [Google Scholar] [CrossRef]
- Santra, C.; Pramanik, M.; Bando, K.K.; Maity, S.; Chowdhury, B. Gold nanoparticles on mesoporous Cerium-Tin mixed oxide for aerobic oxidation of benzyl alcohol. J. Mol. Catal. A Chem. 2016, 418–419, 41–53. [Google Scholar] [CrossRef]
- Liu, Y.R.; Chen, Y.; Li, Y.W.; Guan, W.; Xia, Q.H.; Cao, M.X.; Huo, P.W.; Zhang, Y.L. Oxygen vacancy-driven strong metal-support interactions on AuPd/TiO2 catalysts for high-efficient air-oxidation of 5-hydroxymethylfurfural. Chem. Eng. J. 2023, 476, 146874. [Google Scholar] [CrossRef]
- Li, X.; Li, C.; Xu, Y.; Liu, Q.; Bahri, M.; Zhang, L.; Browning, N.D.; Cowan, A.J.; Tang, J. Efficient hole abstraction for highly selective oxidative coupling of methane by Au-sputtered TiO2 photocatalysts. Nat. Energy 2023, 8, 1013–1022. [Google Scholar] [CrossRef]
- Liu, Z.; Xiang, Q.; Zhang, H.; Zhang, X.; Tan, H.; Zhao, Y. Supercritical CO2-driven mechanochemical synthesis for spinel oxides with high electrochemical performance. J. Mater Sci. Technol. 2025, 243, 321–330. [Google Scholar] [CrossRef]
- Liu, X.; Li, Y.; Fan, X.; Zhang, F.; Zhang, G.; Peng, W. Photo-accelerated Co3+/Co2+ transformation on cobalt and phosphorus co-doped g-C3N4 for Fenton-like reaction. J. Mater Chem. A 2021, 9, 22399–22409. [Google Scholar] [CrossRef]
- Luo, J.J.; Dong, Y.N.; Yang, S.H.; Shan, F.X.; Jiang, Q.; Ma, Y.; Liang, C.H. Au Nanoparticles Anchored on Sulfonated Carbon Nanotubes for Benzyl Alcohol Oxidation. ACS Appl. Nano Mater. 2022, 5, 4887–4895. [Google Scholar] [CrossRef]
- Li, Y.; Chen, T.; Zhao, S.; Wu, P.; Chong, Y.; Li, A.; Zhao, Y.; Chen, G.; Jin, X.; Qiu, Y.; et al. Engineering Cobalt Oxide with Coexisting Cobalt Defects and Oxygen Vacancies for Enhanced Catalytic Oxidation of Toluene. ACS Catal. 2022, 12, 4906–4917. [Google Scholar] [CrossRef]
- Lv, X.L.; Hao, X.H.; Xu, W.J.; Shao, S.T.; Li, X.L.; Zhang, Y.; Jia, H.P. Constructing robust Ru/CoAlOx catalyst with superior lead resistance and thermal stability for chlorobenzene catalytic oxidation utilizing the anchoring effect of surface Al sites. Appl. Catal. B-Environ. 2025, 366, 125010. [Google Scholar] [CrossRef]
- Tao, L.G.; Zhang, Z.Q.; Chen, P.J.; Zhao, G.F.; Liu, Y.; Lu, Y. Thin-felt Al-fiber-structured Pd-Co-MnOx/Al2O3 catalyst with high moisture resistance for high-throughput O3 decomposition. Appl. Surf. Sci. 2019, 481, 802–810. [Google Scholar] [CrossRef]
- Xiao, Y.; Zhou, W.Y.; Ji, S.L.; Lu, W.M.Z.; Hua, X.J.; He, M.Y.; Chen, Q.; Liu, Y.P. CoAl metahydrotalcite-B efficiently catalyzes the aerobic oxidative cleavage of 1,2-diols without any additives. Appl. Catal. A-Gen. 2023, 649, 118944. [Google Scholar] [CrossRef]
- Shen, W.; Hu, T.; Liu, X.; Zha, J.; Meng, F.; Wu, Z.; Cui, Z.; Yang, Y.; Li, H.; Zhang, Q.; et al. Defect engineering of layered double hydroxide nanosheets as inorganic photosensitizers for NIR-III photodynamic cancer therapy. Nat. Commun. 2022, 13, 3384. [Google Scholar] [CrossRef]
- An, Z.; Ma, H.; Han, H.; Huang, Z.; Jiang, Y.; Wang, W.; Zhu, Y.; Song, H.; Shu, X.; Xiang, X.; et al. Insights into the Multiple Synergies of Supports in the Selective Oxidation of Glycerol to Dihydroxyacetone: Layered Double Hydroxide Supported Au. ACS Catal. 2020, 10, 12437–12453. [Google Scholar] [CrossRef]
- Chen, X.; Wang, J.; Patel, S.B.; Ye, S.; Wu, Y.; Zhou, Z.; Qiao, L.; Wang, Y.; Marinkovic, N.; Li, M.; et al. Atomic dynamics of gas-dependent oxide reducibility. Nature 2025, 644, 927–932. [Google Scholar] [CrossRef]
- Marelli, M.; Jouve, A.; Villa, A.; Psaro, R.; Balerna, A.; Prati, L.; Evangelisti, C. Hybrid Au/CuO Nanoparticles: Effect of Structural Features for Selective Benzyl Alcohol Oxidation. J. Phys. Chem. C 2019, 123, 2864–2871. [Google Scholar] [CrossRef]
- Stucchi, M.; Cattaneo, S.; Cappella, A.; Wang, W.; Wang, D.; Villa, A.; Prati, L. Catalytic Oxidation of Methoxy Substituted Benzyl Alcohols as Model for Lignin Valorisation. Catal. Today 2020, 357, 15–21. [Google Scholar] [CrossRef]
- Hong, Y.; Jing, X.; Huang, J.; Sun, D.; Odoom-Wubah, T.; Yang, F.; Du, M.; Li, Q. Biosynthesized Bimetallic Au–Pd Nanoparticles Supported on TiO2 for Solvent-Free Oxidation of Benzyl Alcohol. Acs Sustain. Chem. Eng. 2014, 2, 1752–1759. [Google Scholar] [CrossRef]
- Cao, E.; Sankar, M.; Nowicka, E.; He, Q.; Morad, M.; Miedziak, P.J.; Taylor, S.H.; Knight, D.W.; Bethell, D.; Kiely, C.J.; et al. Selective suppression of disproportionation reaction in solvent-less benzyl alcohol oxidation catalysed by supported Au–Pd nanoparticles. Catal. Today 2012, 203, 146–152. [Google Scholar] [CrossRef]
- Xu, Y.; Li, J.; Zhou, J.; Liu, Y.; Wei, Z.; Zhang, H. Layered double hydroxides supported atomically precise Aun nanoclusters for air oxidation of benzyl alcohol: Effects of size and active site structure. J. Catal. 2020, 389, 409–420. [Google Scholar] [CrossRef]
- Liu, M.; Fan, G.; Yu, J.; Yang, L.; Li, F. Defect–rich Ni–Ti layered double hydroxide as a highly efficient support for Au nanoparticles in base–free and solvent–free selective oxidation of benzyl alcohol. Dalton Trans. 2018, 47, 5226–5235. [Google Scholar] [CrossRef]
- Du, Z.; Zhang, S.; Yang, S.; Yang, W.; Luo, J.; Liang, C. Promotion of Au nanoparticles on carbon frameworks for alkali-free aerobic oxidation of benzyl alcohol. Front. Chem. Eng. 2023, 4, 1116366. [Google Scholar] [CrossRef]








Disclaimer/Publisher’s Note: The statements, opinions and data contained in all publications are solely those of the individual author(s) and contributor(s) and not of MDPI and/or the editor(s). MDPI and/or the editor(s) disclaim responsibility for any injury to people or property resulting from any ideas, methods, instructions or products referred to in the content. |
© 2025 by the authors. Licensee MDPI, Basel, Switzerland. This article is an open access article distributed under the terms and conditions of the Creative Commons Attribution (CC BY) license (https://creativecommons.org/licenses/by/4.0/).
Share and Cite
Bao, M.; Zhang, S.; Yang, W.; Liu, H.; Li, S.; Luo, J.; Liang, C. Insight into the Au/CoAlOx Catalyst with Spinel Structure for Efficient Oxidation of Benzyl Alcohol. Catalysts 2025, 15, 1053. https://doi.org/10.3390/catal15111053
Bao M, Zhang S, Yang W, Liu H, Li S, Luo J, Liang C. Insight into the Au/CoAlOx Catalyst with Spinel Structure for Efficient Oxidation of Benzyl Alcohol. Catalysts. 2025; 15(11):1053. https://doi.org/10.3390/catal15111053
Chicago/Turabian StyleBao, Meihui, Sen Zhang, Wenhao Yang, Hao Liu, Shaojie Li, Jingjie Luo, and Changhai Liang. 2025. "Insight into the Au/CoAlOx Catalyst with Spinel Structure for Efficient Oxidation of Benzyl Alcohol" Catalysts 15, no. 11: 1053. https://doi.org/10.3390/catal15111053
APA StyleBao, M., Zhang, S., Yang, W., Liu, H., Li, S., Luo, J., & Liang, C. (2025). Insight into the Au/CoAlOx Catalyst with Spinel Structure for Efficient Oxidation of Benzyl Alcohol. Catalysts, 15(11), 1053. https://doi.org/10.3390/catal15111053

