Correlation between Zeolitic SiO2/Al2O3 Ratio and the Low-Temperature NOx Adsorption Capacity of Pd/SSZ-13 under Realistic Exhaust Conditions
Abstract
1. Introduction
2. Results
2.1. Chemical Compositions and Structure Characteristics
2.2. Zeolite Acidity Distribution
2.3. Pd Distribution
2.4. NOx Adsorption Desorption Capacity
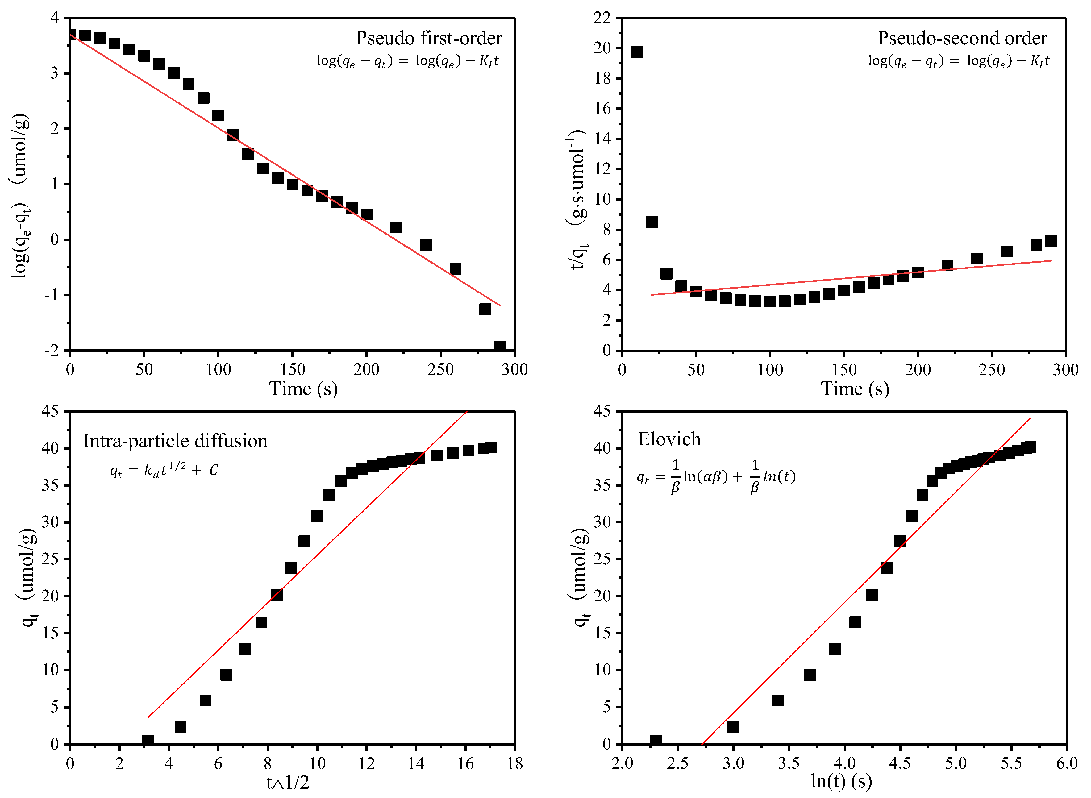
2.5. Kinetic Study
3. Experimental Section
3.1. Catalyst Preparation
3.2. Characterization
3.3. NOx Adsorption Desorption Test
4. Conclusions
Supplementary Materials
Author Contributions
Funding
Data Availability Statement
Conflicts of Interest
References
- Li, D.; Meng, Y.; Hao, D.P.; Ding, Q.Z.; Pang, L.; Yang, G.J.; Guo, Y.B.; Yu, J.H.; Li, T. Deactivation of Pd/SSZ-13 passive NOx adsorber from the perspectives of phosphorus poisoning and hydrothermal aging. Chem. Eng. J. 2022, 446, 136779. [Google Scholar] [CrossRef]
- Ghambarian, M.; Azizi, Z.; Ghashghaee, M. Diversity of monomeric dioxo chromium species in Cr/silicalite-2 catalysts: A hybrid density functional study. Comput. Mater. Sci. 2016, 118, 147–154. [Google Scholar] [CrossRef]
- Borfecchia, E.; Beato, P.; Svelle, S.; Olsbye, U.; Lamberti, C.; Bordiga, S. Cu-CHA a model system for applied selective redox catalysis. Chem. Soc. Rev. 2018, 22, 8097–8133. [Google Scholar] [CrossRef] [PubMed]
- Ma, Y.; Cheng, S.Q.; Wu, X.D.; Shi, Y.Z.; Cao, L.; Liu, L.P.; Ran, R.; Si, Z.C.; Liu, J.B.; Weng, D. Low-Temperature Solid-State Ion-Exchange Method for Preparing Cu-SSZ-13 Selective Catalytic Reduction Catalyst. ACS Catal. 2019, 9, 6962–6973. [Google Scholar] [CrossRef]
- Martínez-Franco, R.; Moliner, M.; Thogersen, J.R.; Corma, A. Efficient One-Pot Preparation of Cu-SSZ-13 Materials using Cooperative OSDAs for their Catalytic Application in the SCR of NOx. ChemCatChem 2013, 5, 3316–3323. [Google Scholar] [CrossRef]
- Lundström, A.; Andersson, B.; Olsson, L. Urea thermolysis studied under flow reactor conditions using DSC and FT-IR. Chem. Eng. J. 2009, 150, 544–550. [Google Scholar] [CrossRef]
- Wang, A.Y.; Xie, K.P.; Kumar, A.; Kamasamudram, K.; Olsson, L. Layered Pd/SSZ-13 with Cu/SSZ-13 as PNA-SCR dual-layer monolith catalyst for NOx abatement. Catal. Today 2021, 360, 356–366. [Google Scholar] [CrossRef]
- Chen, H.Y.; Collier, J.E.; Liu, D.X.; Mantarosie, L.; Durán-Martín, D.; Novák, V.; Rajaram, R.R.; Thompsett, D. Low Temperature NO Storage of Zeolite Supported Pd for Low Temperature Diesel Engine Emission Control. Catal. Lett. 2016, 146, 1706–1711. [Google Scholar] [CrossRef]
- Chen, H.Y.; Mulla, S.; Weigert, E.; Camm, K.; Ballinger, T.; Cox, J.; Blakeman, P. Cold Start Concept (CSC™): A Novel Catalyst for Cold Start Emission Control. SAE Int. J. Fuels Lubr. 2014, 6, 372–381. [Google Scholar] [CrossRef]
- Moliner, M.; Corma, A. From metal-supported oxides to well-defined metal site zeolites: The next generation of passive NOx adsorbers for low-temperature control of emissions from diesel engines. React. Chem. Eng. 2019, 4, 223–234. [Google Scholar] [CrossRef]
- Kunal, P.; Toops, T.J.; Kidder, M.K.; Lance Michael, J. Deactivation trends of Pd/SSZ-13 under the simultaneous presence of NO, CO, hydrocarbons and water for passive NOx adsorption. Appl. Catal. B Environ. 2021, 299, 120591. [Google Scholar] [CrossRef]
- Li, D.; Ding, Q.Z.; Meng, Y.; Guo, Y.B.; Pang, L.; Li, T. Effects of alkali and alkaline earth metals on the activity and stability of Pd/SSZ-13 for passive NOx adsorption. Sep. Purif. Technol. 2023, 322, 124344. [Google Scholar] [CrossRef]
- Yao, D.W.; Ilmasani, R.F.; Wurzenberger, J.C.; Glatz, T.; Han, J.; Ho, P.H.; Creaser, D.; Olsson, L. Insight into CO induced degradation mode of Pd/SSZ-13 in NOx adsorption and release: Experiment and modeling. Chem. Eng. J. 2022, 439, 135714. [Google Scholar] [CrossRef]
- Lee, J.; Kim, Y.; Hwang, S.; Lee, E.; Lee, H.; Kim, C.H.; Kim, D.H. Deactivation of Pd/Zeolites passive NOx adsorber induced by NO and H2O: Comparative study of Pd/ZSM-5 and Pd/SSZ-13. Catal. Today 2021, 360, 350–355. [Google Scholar] [CrossRef]
- Kim, Y.; Hwang, S.; Lee, J.; Ryou, Y.; Lee, H.; Kim, C.H.; Kim, D.H. Comparison of NOx Adsorption/Desorption Behaviors over Pd/CeO2 and Pd/SSZ-13 as Passive NOx Adsorbers for Cold Start Application. Emiss. Control Sci. Technol. 2019, 5, 172–182. [Google Scholar] [CrossRef]
- Shan, Y.L.; Sun, Y.; Li, Y.B.; Shi, X.Y.; Shan, W.P.; Yu, Y.B.; He, H. Passive NO Adsorption on Hydrothermally Aged Pd–Based Small–Pore Zeolites. Top. Catal. 2020, 63, 944–953. [Google Scholar] [CrossRef]
- Zheng, Y.; Kovarik, L.; Engelhard, M.H.; Wang, Y.L.; Wang, Y.; Gao, F.; Szanyi, J. Low-Temperature Pd/Zeolite Passive NOx, Adsorbers: Structure, Performance, and Adsorption Chemistry. J. Phys. Chem. C. 2017, 121, 15793–15803. [Google Scholar] [CrossRef]
- Lee, J.; Ryou, Y.; Cho, S.J.; Lee, H.; Kim, C.H.; Kim, D.H. Investigation of the active sites and optimum Pd/Al of Pd/ZSM-5 passive NO adsorbers for the cold-start application: Evidence of isolated-Pd species obtained after a high-temperature thermal treatment. Appl. Catal. B Environ. 2018, 226, 71–82. [Google Scholar] [CrossRef]
- Khivantsev, K.; Jaegers, N.R.; Kovarik, L.; Hanson, J.C.; Tao, F.; Tang, Y.; Zhang, X.Y.; Koleva, I.Z.; Aleksandrov, H.A.; Vayssilov, G.N.; et al. Achieving Atomic Dispersion of Highly Loaded Transition Metals in Small-Pore Zeolite SSZ-13: High-Capacity and High-Efficiency Low-Temperature CO and Passive NOx Adsorbers. Angew. Chem. Int. Ed. 2018, 130, 16672–16677. [Google Scholar] [CrossRef]
- Chen, Z.X.; Wang, M.D.; Wang, J.; Wang, C.; Wang, J.Q.; Li, W.; Shen, M.Q. Investigation of crystal size effect on the NOx storage performance of Pd/SSZ-13 passive NOx adsorbers. Appl. Catal. B Environ. 2021, 291, 120026. [Google Scholar] [CrossRef]
- Wang, C.X.; Ren, D.Z.; Harle, G.; Qin, Q.G.; Guo, L.; Zheng, T.T.; Yin, X.M.; Du, J.C.; Zhao, Y.K. Ammonia removal in selective catalytic oxidation: Influence of catalyst structure on the nitrogen selectivity. J. Hazard. Mater. 2021, 416, 125782. [Google Scholar] [CrossRef]
- Katada, N.; Igi, H.; Kim, J.H.; Niwa, M. Determination of the acidic properties of zeolite by theoretical analysis of temperature-programmed desorption of ammonia based on adsorption equilibrium. J. Phys. Chem. B 1997, 101, 5969–5977. [Google Scholar] [CrossRef]
- Niwa, M.; Katada, N. Measurements of acidic property of zeolites by temperature programmed desorption of ammonia. Catal. Surv. Asia 1997, 1, 215–226. [Google Scholar] [CrossRef]
- Barthos, R.; Lónyi, F.; Onyestyák, G.; Valyon, J. An IR, FR, and TPD Study on the Acidity of H-ZSM-5, Sulfated Zirconia, and Sulfated Zirconia−Titania Using Ammonia as the Probe Molecule. J. Phys. Chem. B 2000, 104, 7311–7319. [Google Scholar] [CrossRef]
- Huang, S.S.; Wang, Q.; Shan, Y.L.; Shi, X.Y.; Liu, Z.Q.; He, H. Effects of Si/Al Ratio on Passive NOx Adsorption Performance over Pd/Beta Zeolites. Molecules 2023, 28, 3501. [Google Scholar] [CrossRef]
- Aylor, A.W.; Lobree, L.J.; Reimer, J.A.; Bell, A.T. Investigations of the dispersion of Pd in H-ZSM-5. J. Catal. 1997, 172, 453–462. [Google Scholar] [CrossRef]
- Ren, S.X.; Schmieg, S.J.; Koch, C.K.; Qi, G.S.; Li, W. Investigation of Ag-based low temperature NOx adsorbers. Catal. Today 2015, 258, 378–385. [Google Scholar] [CrossRef]
- Zhao, H.W.; Chen, X.Y.; Bhat, A.; Li, Y.D.; Schwank, J.W. Insight into hydrothermal aging effect on deactivation of Pd/SSZ-13 as low-temperature NO adsorption catalyst: Effect of dealumination and Pd mobility. Appl. Catal. B Environ. 2021, 286, 119874. [Google Scholar] [CrossRef]
- Ilmasani, R.F.; Woo, J.; Creaser, D.; Olsson, L. Influencing the NOx stability by metal oxide addition to Pd/BEA for passive NOx adsorbers. Ind. Eng. Chem. Res. 2020, 59, 9830–9840. [Google Scholar] [CrossRef]
- Kyriakidou, E.A.; Lee, J.; Choi, J.S.; Lance, M.; Toops, T.J. A comparative study of silver- and palladium-exchanged zeolites in propylene and nitrogen oxide adsorption and desorption for cold-start applications. Catal. Today 2021, 360, 220–233. [Google Scholar] [CrossRef]
- Zhang, B.B.; Shen, M.Q.; Wang, J.Q.; Wang, J.M.; Wang, J. Investigation of various Pd species in Pd/BEA for cold start application. Catalysts 2019, 9, 247. [Google Scholar] [CrossRef]
- Song, J.; Wang, Y.L.; Walter, E.D.; Washton, N.M.; Mei, D.H.; Kovarik, L.; Engelhard, M.H.; Prodinger, S.; Wang, Y.; Peden, C.H.F.; et al. Toward Rational Design of Cu/SSZ-13 Selective Catalytic Reduction Catalysts: Implications from Atomic-Level Understanding of Hydrothermal Stability. ACS Catal. 2017, 7, 8214–8227. [Google Scholar] [CrossRef]
- Beale, A.M.; Gao, F.; Lezcano-Gonzalez, I.; Peden, C.H.F.; Szanyi, J. Recent advances in automotive catalysis for NOx emission control by small-pore microporous materials. Chem. Soc. Rev. 2015, 44, 7371–7405. [Google Scholar] [CrossRef] [PubMed]
- Malamis, S.; Harold, M.P.; Epling, W.S. Coupled NO and C3H6 Trapping, Release and Conversion on Pd-BEA: Evaluation of the Lean Hydrocarbon NOx Trap. Ind. Eng. Chem. Res. 2019, 58, 22912–22923. [Google Scholar] [CrossRef]
- Khivantsev, K.; Jaegers, N.R.; Kovarik, L.; Prodinger, S.; Derewinski, M.A.; Wang, Y.; Gao, F.; Szanyi, J. Palladium/Beta zeolite passive NOx adsorbers (PNA): Clarification of PNA chemistry and the effects of CO and zeolite crystallite size on PNA performance. Appl. Catal. A Gen. 2019, 569, 141–148. [Google Scholar] [CrossRef]








| Catalyst | Specific Surface Area (m2·g−1) | Total Pore Volume (cm3·g−1) | Average Pore Diameter (nm) | Pd Loadings (wt.%) | Content of Oxides in Catalysts (wt.%) | |
|---|---|---|---|---|---|---|
| Al2O3 | SiO2 | |||||
| Pd/SSZ-13-11 | 737.527 | 0.3104 | 1.684 | 0.731 | 13.81 | 86.11 |
| Pd/SSZ-13-17 | 699.371 | 0.3149 | 1.801 | 0.790 | 9.23 | 90.70 |
| Pd/SSZ-13-25 | 676.834 | 0.3264 | 1.929 | 0.747 | 6.43 | 93.49 |
| Pd/SSZ-13-11-A | 701.719 | 0.3575 | 2.038 | 0.744 | - | - |
| Pd/SSZ-13-17-A | 672.604 | 0.3511 | 2.027 | 0.794 | - | - |
| Pd/SSZ-13-25-A | 653.965 | 0.3132 | 1.916 | 0.798 | - | - |
Disclaimer/Publisher’s Note: The statements, opinions and data contained in all publications are solely those of the individual author(s) and contributor(s) and not of MDPI and/or the editor(s). MDPI and/or the editor(s) disclaim responsibility for any injury to people or property resulting from any ideas, methods, instructions or products referred to in the content. |
© 2024 by the authors. Licensee MDPI, Basel, Switzerland. This article is an open access article distributed under the terms and conditions of the Creative Commons Attribution (CC BY) license (https://creativecommons.org/licenses/by/4.0/).
Share and Cite
Ren, D.; Zhu, J.; Dai, X.; Chang, S.; Yu, F.; Yang, D.; Zhao, Y. Correlation between Zeolitic SiO2/Al2O3 Ratio and the Low-Temperature NOx Adsorption Capacity of Pd/SSZ-13 under Realistic Exhaust Conditions. Catalysts 2024, 14, 503. https://doi.org/10.3390/catal14080503
Ren D, Zhu J, Dai X, Chang S, Yu F, Yang D, Zhao Y. Correlation between Zeolitic SiO2/Al2O3 Ratio and the Low-Temperature NOx Adsorption Capacity of Pd/SSZ-13 under Realistic Exhaust Conditions. Catalysts. 2024; 14(8):503. https://doi.org/10.3390/catal14080503
Chicago/Turabian StyleRen, Dezhi, Jingfang Zhu, Xin Dai, Shiying Chang, Fei Yu, Dongxia Yang, and Yunkun Zhao. 2024. "Correlation between Zeolitic SiO2/Al2O3 Ratio and the Low-Temperature NOx Adsorption Capacity of Pd/SSZ-13 under Realistic Exhaust Conditions" Catalysts 14, no. 8: 503. https://doi.org/10.3390/catal14080503
APA StyleRen, D., Zhu, J., Dai, X., Chang, S., Yu, F., Yang, D., & Zhao, Y. (2024). Correlation between Zeolitic SiO2/Al2O3 Ratio and the Low-Temperature NOx Adsorption Capacity of Pd/SSZ-13 under Realistic Exhaust Conditions. Catalysts, 14(8), 503. https://doi.org/10.3390/catal14080503

