BiVO4-Based Photocatalysts for the Degradation of Antibiotics in Wastewater: Calcination Role after Solvothermal Synthesis
Abstract
1. Introduction
2. Results and Discussion
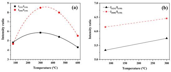
2.1. X-ray Diffraction (XRD)
2.2. Nitrogen Adsorption–Desorption Isotherms at 77 K
2.3. UV-Visible Diffuse Reflectance Spectroscopy (UV-Vis DRS)
2.4. Scanning Electron Microscopy (SEM)
2.5. High-Resolution Transmission Electron Microscopy (HRTEM)
2.6. X-ray Photoelectron Spectroscopy (XPS)
2.7. Photodegradation Results
2.8. Mathematical Model of Photodegradation Results
3. Materials and Methods
3.1. Synthesis of Materials
3.2. Photodegradation Study
3.3. Sulfamethoxazole Determination
3.4. Characterizations Techniques
4. Conclusions
Author Contributions
Funding
Data Availability Statement
Acknowledgments
Conflicts of Interest
References
- Ben, W.; Zhu, B.; Yuan, X.; Zhang, Y.; Yang, M.; Qiang, Z. Occurrence, Removal and Risk of Organic Micropollutants in Wastewater Treatment Plants across China: Comparison of Wastewater Treatment Processes. Water Res. 2018, 130, 38–46. [Google Scholar] [CrossRef] [PubMed]
- Cook, M.A.; Wright, G.D. The Past, Present, and Future of Antibiotics. Sci. Transl. Med. 2022, 14, eabo7793. [Google Scholar] [CrossRef] [PubMed]
- Tangcharoensathien, V.; Chanvatik, S.; Sommanustweechai, A. Complex Determinants of Inappropriate Use of Antibiotics. Bull. World Health Organ. 2018, 96, 141–144. [Google Scholar] [CrossRef] [PubMed]
- Rokesh, K.; Sakar, M. Emerging Hybrid Nanocomposite Photocatalysts for the Degradation of Antibiotics: Insights into Their Designs and Mechanisms. Nanomaterials 2021, 11, 572. [Google Scholar] [CrossRef] [PubMed]
- Pepper, I.L.; Brooks, J.P.; Gerba, C.P. Antibiotic Resistant Bacteria in Municipal Wastes: Is There Reason for Concern? Environ. Sci. Technol. 2018, 52, 3949–3959. [Google Scholar] [CrossRef] [PubMed]
- Kümmerer, K. Emerging Contaminants. In Treatise on Water Science; Newnes: Oxford, UK, 2011; Volume 3, ISBN 9780444531933. [Google Scholar]
- Rizvi, H.; Ahmad, N.; Yasar, A.; Bukhari, K.; Khan, H. Disinfection of UASB-Treated Municipal Wastewater by H2O2, UV, Ozone, PAA, H2O2/Sunlight, and Advanced Oxidation Processes: Regrowth Potential of Pathogens. Pol. J. Environ. Stud. 2013, 22, 1153–1161. [Google Scholar]
- de Cezaro, A.M.; Ballen, S.C.; Hoehne, L.; Steffens, J.; Steffens, C. Cantilever Nanobiosensors Applied for Endocrine Disruptor Detection in Water: A Review. Water Air Soil Pollut. 2021, 232, 225. [Google Scholar] [CrossRef]
- dos S. Grignet, R.; Barros, M.G.A.; Panatta, A.A.S.; Bernal, S.P.F.; Ottoni, J.R.; Passarini, M.R.Z.; da C. S. Gonçalves, C. Medicines as an Emergent Contaminant: The Review of Microbial Biodegration Potential. Folia Microbiol. 2022, 67, 157–174. [Google Scholar] [CrossRef] [PubMed]
- Lodeiro, P.; Rey-Castro, C.; David, C.; Humphreys, M.P.; Gledhill, M. Proton Binding Characteristics of Dissolved Organic Matter Extracted from the North Atlantic. Environ. Sci. Technol. 2023, 57, 21136–21144. [Google Scholar] [CrossRef] [PubMed]
- Berendonk, T.U.; Manaia, C.M.; Merlin, C.; Fatta-Kassinos, D.; Cytryn, E.; Walsh, F.; Bürgmann, H.; Sørum, H.; Norström, M.; Pons, M.N.; et al. Tackling Antibiotic Resistance: The Environmental Framework. Nat. Rev. Microbiol. 2015, 13, 310–317. [Google Scholar] [CrossRef]
- Pärnänen, K.M.M.; Narciso-Da-Rocha, C.; Kneis, D.; Berendonk, T.U.; Cacace, D.; Do, T.T.; Elpers, C.; Fatta-Kassinos, D.; Henriques, I.; Jaeger, T.; et al. Antibiotic Resistance in European Wastewater Treatment Plants Mirrors the Pattern of Clinical Antibiotic Resistance Prevalence. Sci. Adv. 2019, 5, eaau9124. [Google Scholar] [CrossRef]
- Ateia, M.; Wei, H.; Andreescu, S. Sensors for Emerging Water Contaminants: Overcoming Roadblocks to Innovation. Environ. Sci. Technol. 2024, 58, 2636–2651. [Google Scholar] [CrossRef]
- Thavarajah, W.; Verosloff, M.S.; Jung, J.K.; Alam, K.K.; Miller, J.D.; Jewett, M.C.; Young, S.L.; Lucks, J.B. A Primer on Emerging Field-Deployable Synthetic Biology Tools for Global Water Quality Monitoring. NPJ Clean Water 2020, 3, 18. [Google Scholar] [CrossRef]
- Sharma, A.; Singh, G.; Saini, S.; Kaur, N.; Singh, N. Preconcentration through Self-Assembled Structure: Highly Selective Detection of Aminoglycoside Antibiotic in the Contaminated Water. Sens. Actuators B Chem. 2023, 389, 133870. [Google Scholar] [CrossRef]
- Zheng, Q.; Unruh, D.K.; Hutchins, K.M. Cocrystallization of Trimethoprim and Solubility Enhancement via Salt Formation. Cryst. Growth Des. 2021, 21, 1507–1517. [Google Scholar] [CrossRef]
- Zagui, G.S.; Moreira, N.C.; Santos, D.V.; Paschoalato, C.F.P.R.; Sierra, J.; Nadal, M.; Domingo, J.L.; Darini, A.L.C.; Andrade, L.N.; Segura-Muñoz, S.I. Multidrug-Resistant Enterobacter spp. in Wastewater and Surface Water: Molecular Characterization of β-Lactam Resistance and Metal Tolerance Genes. Environ. Res. 2023, 233, 116443. [Google Scholar] [CrossRef]
- Yao, Q.; Fan, B.; Xiong, Y.; Jin, C.; Sun, Q.; Sheng, C. 3D Assembly Based on 2D Structure of Cellulose Nanofibril/Graphene Oxide Hybrid Aerogel for Adsorptive Removal of Antibiotics in Water. Sci. Rep. 2017, 7, 45914. [Google Scholar] [CrossRef] [PubMed]
- Alexander, J.; Hembach, N.; Schwartz, T. Evaluation of Antibiotic Resistance Dissemination by Wastewater Treatment Plant Effluents with Different Catchment Areas in Germany. Sci. Rep. 2020, 10, 8952. [Google Scholar] [CrossRef]
- Pacholak, A.; Żur-Pińska, J.; Piński, A.; Nguyen, Q.A.; Ligaj, M.; Luczak, M.; Nghiem, L.D.; Kaczorek, E. Potential Negative Effect of Long-Term Exposure to Nitrofurans on Bacteria Isolated from Wastewater. Sci. Total Environ. 2023, 872, 162199. [Google Scholar] [CrossRef]
- Hendriksen, R.S.; Munk, P.; Njage, P.; van Bunnik, B.; McNally, L.; Lukjancenko, O.; Röder, T.; Nieuwenhuijse, D.; Pedersen, S.K.; Kjeldgaard, J.; et al. Global Monitoring of Antimicrobial Resistance Based on Metagenomics Analyses of Urban Sewage. Nat. Commun. 2019, 10, 1124. [Google Scholar] [CrossRef]
- Sharma, S.K.; Ranjani, P.; Mamane, H.; Kumar, R. Preparation of Graphene Oxide-Doped Silica Aerogel Using Supercritical Method for Efficient Removal of Emerging Pollutants from Wastewater. Sci. Rep. 2023, 13, 16448. [Google Scholar] [CrossRef] [PubMed]
- Gong, H.; Chu, W. Photodegradation of Sulfamethoxazole with a Recyclable Catalyst. Ind. Eng. Chem. Res. 2015, 54, 12763–12769. [Google Scholar] [CrossRef]
- Abellán, M.N.; Giménez, J.; Esplugas, S. Photocatalytic Degradation of Antibiotics: The Case of Sulfamethoxazole and Trimethoprim. Catal. Today 2009, 144, 131–136. [Google Scholar] [CrossRef]
- Tulková, T.; Fučík, J.; Kozáková, Z.; Procházková, P.; Krčma, F.; Gargošová, H.Z.; Mravcová, L.; Sovová, K. Impact of Various Oxidation Processes Used for Removal of Sulfamethoxazole on the Quality of Treated Wastewater. Emerg. Contam. 2023, 9, 100231. [Google Scholar] [CrossRef]
- Martini, J.; Orge, C.A.; Faria, J.L.; Pereira, M.F.R.; Soares, O.S.G.P. Sulfamethoxazole Degradation by Combination of Advanced Oxidation Processes. J. Environ. Chem. Eng. 2018, 6, 4054–4060. [Google Scholar] [CrossRef]
- Nagai, T.; Matsui, H.; Fujioka, H.; Homma, Y.; Otsuki, A.; Ito, H.; Ohmura, S.; Miyamoto, T.; Shichi, D.; Tomohisa, W.; et al. Low-Dose vs. Conventional-Dose Trimethoprim-Sulfamethoxazole Treatment for Pneumocystis Pneumonia in Non-HIV-Infected Patients. Chest 2023, 165, 58–67. [Google Scholar] [CrossRef] [PubMed]
- Zhang, S.; Zheng, H.; Tratnyek, P.G. Advanced Redox Processes for Sustainable Water Treatment. Nat. Water 2023, 1, 666–681. [Google Scholar] [CrossRef]
- Delgado-Vargas, C.A.; Espinosa-Barrera, P.A.; Villegas-Guzman, P.; Martínez-Pachón, D.; Moncayo-Lasso, A. An Efficient Simultaneous Degradation of Sulfamethoxazole and Trimethoprim by Photoelectro-Fenton Process under Non-Modified PH Using a Natural Citric Acid Source: Study of Biodegradability, Ecotoxicity, and Antibacterial Activity. Environ. Sci. Pollut. Res. 2022, 29, 42275–42289. [Google Scholar] [CrossRef] [PubMed]
- Mendiola-Alvarez, S.Y.; Palomino-Cabello, C.; Hernández-Ramírez, A.; Turnes-Palomino, G.; Guzmán-Mar, J.L.; Hinojosa-Reyes, L. Coupled Heterogeneous Photocatalysis Using a P-TiO2-AFe2O3 Catalyst and K2S2O8 for the Efficient Degradation of a Sulfonamide Mixture. J. Photochem. Photobiol. A Chem. 2020, 394, 112485. [Google Scholar] [CrossRef]
- Yashas, S.R.; Shivaraju, H.P.; Sandeep, S.; Kumara Swamy, N.; Gurupadayya, B. Application of Yttrium Molybdate Tethered Polypyrrole Nanocomposite for the Photocatalytic Remediation of Nitrofurantoin in Water. Surf. Interfaces 2022, 32, 102102. [Google Scholar] [CrossRef]
- Pan, L.; Ai, M.; Huang, C.; Yin, L.; Liu, X.; Zhang, R.; Wang, S.; Jiang, Z.; Zhang, X.; Zou, J.J.; et al. Manipulating Spin Polarization of Titanium Dioxide for Efficient Photocatalysis. Nat. Commun. 2020, 11, 418. [Google Scholar] [CrossRef] [PubMed]
- Li, K.; De Rancourt De Mimérand, Y.; Jin, X.; Yi, J.; Guo, J. Metal Oxide (ZnO and TiO2) and Fe-Based Metal-Organic-Framework Nanoparticles on 3D-Printed Fractal Polymer Surfaces for Photocatalytic Degradation of Organic Pollutants. ACS Appl. Nano Mater. 2020, 3, 2830–2845. [Google Scholar] [CrossRef]
- Desipio, M.M.; Bramer, S.E.V.; Thorpe, R.; Saha, D. Photocatalytic and Photo-Fenton Activity of Iron Oxide-Doped Carbon Nitride in 3D Printed and LED Driven Photon Concentrator. J. Hazard. Mater. 2019, 376, 178–187. [Google Scholar] [CrossRef] [PubMed]
- Yoon, T.P.; Ischay, M.A.; Du, J. Visible Light Photocatalysis as a Greener Approach to Photochemical Synthesis. Nat. Chem. 2010, 2, 527–532. [Google Scholar] [CrossRef] [PubMed]
- Tahir, M.B.; Riaz, K.N.; Rafique, M.; Rafique, M.S.; Yousaf, N.; Sagir, M. Photocatalysis Fundamentals; Elsevier Inc.: Amsterdam, The Netherlands, 2020; ISBN 9780128211922. [Google Scholar]
- Li, G.; Bai, Y.; Zhang, W.F. Difference in Valence Band Top of BiVO4 with Different Crystal Structure. Mater. Chem. Phys. 2012, 136, 930–934. [Google Scholar] [CrossRef]
- Tokunaga, S.; Kato, H.; Kudo, A. Selective Preparation of Monoclinic and Tetragonal BiVO4 with Scheelite Structure and Their Photocatalytic Properties. Chem. Mater. 2001, 13, 4624–4628. [Google Scholar] [CrossRef]
- Xu, X.; Zou, Q.; Yuan, Y.; Ji, F.; Fan, Z.; Zhou, B. Preparation of BiVO4-Graphene Nanocomposites and Their Photocatalytic Activity. J. Nanomater. 2014, 2014, 401697. [Google Scholar] [CrossRef]
- Ni, S.; Zhou, T.; Zhang, H.; Cao, Y.; Yang, P. BiOI/BiVO4 Two-Dimensional Heteronanostructures for Visible-Light Photocatalytic Degradation of Rhodamine B. ACS Appl. Nano Mater. 2018, 1, 5128–5141. [Google Scholar] [CrossRef]
- Pham, M.Q.; Ngo, T.M.; Nguyen, V.H.; Nong, L.X.; Vo, D.V.N.; Tran, T.V.; Nguyen, T.D.; Bui, X.T.; Nguyen, T.D. Facile Solvothermal Synthesis of Highly Active Monoclinic Scheelite BiVO4 for Photocatalytic Degradation of Methylene Blue under White LED Light Irradiation. Arab. J. Chem. 2020, 13, 8388–8394. [Google Scholar] [CrossRef]
- Liu, Y.; Zhou, C.; Xiang, R.; Xiong, D.; Li, D.; Qin, T.; Dong, X.; Muddassir, M.; Pan, Y. A New Ag-Based Photocatalyst for Efficient Degradation of Antibiotic Nitrofurantoin. Appl. Organomet. Chem. 2024, 38, e7517. [Google Scholar] [CrossRef]
- Tsoumachidou, S.; Lambropoulou, D.; Poulios, I. Homogeneous Photocatalytic Oxidation of UV Filter Para-Aminobenzoic Acid in Aqueous Solutions. Environ. Sci. Pollut. Res. 2017, 24, 1113–1121. [Google Scholar] [CrossRef] [PubMed]
- Khaenamkaew, P.; Manop, D.; Tanghengjaroen, C.; Ayuthaya, W.P.N. Effect of Temperature Treatment on Electrical Property, Crystal Structures and Lattice Strains of Precipitated CaCO3 nanoparticles. Mater. Res. 2019, 22, e20190461. [Google Scholar] [CrossRef]
- Muller, F.L.; Fielding, M.; Black, S. A Practical Approach for Using Solubility to Design Cooling Crystallisations. Org. Process Res. Dev. 2009, 13, 1315–1321. [Google Scholar] [CrossRef]
- Qi, Y.; Wang, M.; Zhang, Y.; Zhu, T. Effect of Calcination Temperature on the Structure and Photocatalytic Performance of BiVO4 Prepared via an Improved Solution Combustion Method. Micro Nano Lett. 2018, 13, 1017–1020. [Google Scholar] [CrossRef]
- Wang, K.; Shao, C.; Li, X.; Zhang, X.; Lu, N.; Miao, F.; Liu, Y. Hierarchical Heterostructures of P-Type BiOCl Nanosheets on Electrospun n-Type TiO2 Nanofibers with Enhanced Photocatalytic Activity. Catal. Commun. 2015, 67, 6–10. [Google Scholar] [CrossRef]
- Moral-Rodríguez, A.I.; Ramírez-Valencia, L.D.; Bailón-García, E.; Carrasco-Marín, F.; Pérez-Cadenas, A.F. Green Synthesis of BiVO4/Eco-Graphene Nanostructures for the Elimination of Sulfamethoxazole by Adsorption and Photo-Degradation Using Blue LED Light. Environ. Res. 2024, 247, 118120. [Google Scholar] [CrossRef] [PubMed]
- Chen, L.; Wang, J.; Meng, D.; Xing, Y.; Wang, C.; Li, F.; Wang, Y.; Wu, X. Enhanced Photocatalytic Activity of Hierarchically Structured BiVO4 Oriented along {040} Facets with Different Morphologies. Mater. Lett. 2015, 147, 1–3. [Google Scholar] [CrossRef]
- Chen, L.; Wang, J.; Meng, D.; Wu, X.; Wang, Y.; Zhong, E. The PH-Controlled {040} Facets Orientation of BiVO4 Photocatalysts with Different Morphologies for Enhanced Visible Light Photocatalytic Performance. Mater. Lett. 2016, 162, 150–153. [Google Scholar] [CrossRef]
- Li, B.; Tan, G.; Wang, M.; Zhang, D.; Dang, M.; Lv, L.; Ren, H.; Xia, A.; Liu, Y.; Liu, W. Electric Fields and Local Magnetic Field Enhance Ag-BiVO4-MnOx Photoelectrochemical and Photocatalytic Performance. Appl. Surf. Sci. 2020, 511, 145534. [Google Scholar] [CrossRef]
- Holzwarth, U.; Gibson, N. The Scherrer Equation versus the “Debye-Scherrer Equation”. Nat. Nanotechnol. 2011, 6, 534. [Google Scholar] [CrossRef]
- Cai, Y.; Yang, X.; Li, Y.; Ling, R.; Sun, G. Preparation and Effects of Calcining Temperature and PH on the Photocatalytic Activity of BiVO4 Microcrystal for Degrading Methylene Blue. Ionics 2024, 30, 2333–2344. [Google Scholar] [CrossRef]
- Phuruangrat, A.; Wannapop, S.; Sakhon, T.; Kuntalue, B.; Thongtem, T.; Thongtem, S. Characterization and Photocatalytic Properties of BiVO4 Synthesized by Combustion Method. J. Mol. Struct. 2023, 1274, 134420. [Google Scholar] [CrossRef]
- Abd-Rabboh, H.S.M.; Benaissa, M.; Hamdy, M.S.; Ahmed, M.A.; Glal, M. Synthesis of an Efficient, and Recyclable Mesoporous BiVO4/TiO2 Direct Z-Scheme Heterojunction by Sonochemical Route for Photocatalytic Hydrogen Production and Photodegradation of Rhodamine B Dye in the Visible Region. Opt. Mater. 2021, 114, 110761. [Google Scholar] [CrossRef]
- Zhang, W.; Tao, Y.; Li, C. Effects of PEG4000 Template on Sol-Gel Synthesis of Porous Cerium Titanate Photocatalyst. Solid State Sci. 2018, 78, 16–21. [Google Scholar] [CrossRef]
- Kubelka, P. New Contributions to the Optics of Intensely Light-Scattering Materials. J. Opt. Soc. Am. 1954, 44, 330. [Google Scholar] [CrossRef]
- Dong, Q.; Yang, F.; Liang, F.; Zhang, Y.; Xia, D.; Zhao, W.; Wu, L.; Liu, X.; Jiang, Z.; Sun, C. Silver Particle on BiVO4 Nanosheet Plasmonic Photocatalyst with Enhanced Photocatalytic Oxidation Activity of Sulfadiazine. J. Mol. Liq. 2021, 331, 115751. [Google Scholar] [CrossRef]
- Van Aert, S. Model-Based Electron Microscopy; Springer: Berlin/Heidelberg, Germany, 2019; ISBN 9783030000684. [Google Scholar]
- Le-Duy, N.; Hoang, L.A.T.; Nguyen, T.D.; Lee, T. Pt/PtOx Nanoparticle-Decorated BiVO4 Pinelike Structure for Enhanced Sulfamethoxazole Mineralization under Visible Light Irradiation. ACS Appl. Nano Mater. 2023, 6, 14798–14809. [Google Scholar] [CrossRef]
- Rohilla, P.; Pal, B.; Das, R.K. Improved Photocatalytic Degradation of Rhodamine B by G-C3N4 Loaded BiVO4 Nanocomposites. Heliyon 2023, 9, e21900. [Google Scholar] [CrossRef]
- Dwivedi, N.; Yeo, R.J.; Satyanarayana, N.; Kundu, S.; Tripathy, S.; Bhatia, C.S. Understanding the Role of Nitrogen in Plasma-Assisted Surface Modification of Magnetic Recording Media with and without Ultrathin Carbon Overcoats. Sci. Rep. 2015, 5, 7772. [Google Scholar] [CrossRef]
- Etim, U.J.; Zhang, C.; Zhong, Z. Impacts of the Catalyst Structures on CO2 Activation on Catalyst Surfaces. Nanomaterials 2021, 11, 3265. [Google Scholar] [CrossRef]
- Álvarez, A.; Borges, M.; Corral-Pérez, J.J.; Olcina, J.G.; Hu, L.; Cornu, D.; Huang, R.; Stoian, D.; Urakawa, A. CO2 Activation over Catalytic Surfaces. ChemPhysChem 2017, 18, 3135–3141. [Google Scholar] [CrossRef] [PubMed]
- Maheskumar, V.; Lin, Y.M.; Jiang, Z.; Vidhya, B.; Ghosal, A. New Insights into the Structural, Optical, Electronic and Photocatalytic Properties of Sulfur Doped Bulk BiVO4 and Surface BiVO4 on {0 1 0} and {1 1 0} via a Collective Theoretical and Experimental Investigation. J. Photochem. Photobiol. A Chem. 2022, 426, 113757. [Google Scholar] [CrossRef]
- Stathi, P.; Solakidou, M.; Deligiannakis, Y. Lattice Defects Engineering in W-, Zr-Doped BiVO4 by Flame Spray Pyrolysis: Enhancing Photocatalytic O2 Evolution. Nanomaterials 2021, 11, 501. [Google Scholar] [CrossRef] [PubMed]
- Kiran John, U.; Peechat, R.J.; Mathew, S. XPS and Thermal Studies of Silver Doped SiO2 Matrices for Plasmonic Applications. Mater. Today Proc. 2019, 33, 1263–1267. [Google Scholar] [CrossRef]
- Hoflund, G.B.; Hazos, Z.F.; Salaita, G.N. Surface Characterization Study of Ag, AgO, and Ag2O Using X-ray Photoelectron Spectroscopy and Electron Energy-Loss Spectroscopy. Phys. Rev. B—Condens. Matter Mater. Phys. 2000, 62, 11126–11133. [Google Scholar] [CrossRef]
- Villarreal, R.C.; Luque-Morales, M.; Chinchillas-Chinchillas, M.J.; Luque, P.A. Langmuir-Hinshelwood-Hougen-Watson Model for the Study of Photodegradation Properties of Zinc Oxide Semiconductor Nanoparticles Synthetized by Peumus Boldus. Results Phys. 2022, 36, 105421. [Google Scholar] [CrossRef]
- Li, X.; Zhao, X. A Hybrid Conjugate Gradient Method for Optimization Problems. Nat. Sci. 2011, 3, 85–90. [Google Scholar] [CrossRef]
- Scotti, G.; Nilsson, S.M.E.; Haapala, M.; Pöhö, P.; Boije Af Gennäs, G.; Yli-Kauhaluoma, J.; Kotiaho, T. A Miniaturised 3D Printed Polypropylene Reactor for Online Reaction Analysis by Mass Spectrometry. React. Chem. Eng. 2017, 2, 299–303. [Google Scholar] [CrossRef]
- Mendoza-Mendoza, E.; Nuñez-Briones, A.G.; Ysiwata-Rivera, A.P.; Moral-Rodríguez, A.I.; García-Cerda, L.A.; Peralta-Rodríguez, R.D.; Rodríguez-Hernández, J.; Rodríguez-López, J.L. Novel Silver and Bismuth Tungstate-Based Nanostructures Synthesized by a Green Route and Their Application to Dye Photodegradation. Water Air Soil Pollut. 2020, 231, 219. [Google Scholar] [CrossRef]
- Barrett, E.P.; Joyner, L.G.; Halenda, P.P. The Determination of Pore Volume and Area Distributions in Porous Substances. I. Computations from Nitrogen Isotherms. J. Am. Chem. Soc. 1951, 73, 373–380. [Google Scholar] [CrossRef]













| Photocatalyst | dp | Band Gap |
|---|---|---|
| nm | eV | |
| BiV/80 | 16 | 2.37 |
| BiV/300 | 18 | 2.40 |
| BiV/450 | 19 | 2.49 |
| BiV/600 | 20 | 2.45 |
| Ag/BiV/80 | 23 | 2.48 |
| Ag/BiV/300 | 22 | 2.47 |
| Photocatalyst | SBET | SDR | Smic | Wo (N2) | W0.95 | Vmeso | Lo (N2) |
|---|---|---|---|---|---|---|---|
| m2 g−1 | m2 g−1 | m2 g−1 | cm3 g−1 | cm3 g−1 | cm3 g−1 | nm | |
| BiV/80 | 5.1 | 5.8 | 0.0 | 0.002 | 0.005 | 0.003 | 3.3 |
| BiV/300 | 2.2 | 2.9 | 0.2 | 0.001 | 0.002 | 0.001 | 1.9 |
| BiV/80/Ag | 5.3 | 5.5 | 0.0 | 0.002 | 0.005 | 0.003 | 3.1 |
| BiV/300/Ag | 2.0 | 2.8 | 0.0 | 0.001 | 0.002 | 0.001 | 2.0 |
| Photocatalyst | C1s | Peak | C | C | O1s | Peak | O | O | V2p3/2 | Peak | V | V | Bi4f7/2 | Peak | Bi | Bi | Ag3d5/2 | Ag | Ag |
|---|---|---|---|---|---|---|---|---|---|---|---|---|---|---|---|---|---|---|---|
| eV | % | wt.% | at.% | eV | % | wt.% | at.% | eV | % | wt.% | at.% | eV | % | wt.% | at.% | eV | wt.% | at.% | |
| BiV/80 | 284.6 | 81 | 12.5 | 44.0 | 529.3 | 80 | 13.4 | 35.2 | 516.2 | 44 | 9.3 | 7.7 | 158.7 | 45 | 64.8 | 13.1 | n.a. | n.a. | n.a. |
| 285.9 | 13 | 530.7 | 18 | 516.6 | 29 | 159.4 | 12 | ||||||||||||
| 288.2 | 6 | 532.5 | 2 | ||||||||||||||||
| BiV/300 | 284.6 | 80 | 14.4 | 48.0 | 529.2 | 78 | 13.2 | 32.9 | 516.1 | 47 | 8.8 | 6.9 | 158.8 | 43 | 63.5 | 12.1 | n.a. | n.a. | n.a. |
| 285.8 | 12 | 530.6 | 18 | 516.6 | 25 | 159.4 | 14 | ||||||||||||
| 288.2 | 7 | 532.7 | 4 | ||||||||||||||||
| BiV/450 | 284.6 | 79 | 12.1 | 43.4 | 529.3 | 77 | 13.2 | 35.4 | 516.2 | 40 | 9.1 | 7.7 | 158.7 | 45 | 65.6 | 13.5 | n.a. | n.a. | n.a. |
| 285.8 | 15 | 530.7 | 20 | 516.5 | 34 | 159.4 | 13 | ||||||||||||
| 288.0 | 7 | 532.6 | 3 | ||||||||||||||||
| BiV/600 | 284.6 | 74 | 14.8 | 48.7 | 529.3 | 80 | 12.9 | 31.9 | 516.2 | 44 | 9.6 | 7.5 | 158.7 | 46 | 62.7 | 11.9 | n.a. | n.a. | n.a. |
| 285.8 | 18 | 530.5 | 17 | 516.7 | 30 | 159.6 | 12 | ||||||||||||
| 288.1 | 7 | 532.3 | 4 | ||||||||||||||||
| Ag/BiV/80 | 284.6 | 79 | 11.8 | 42.1 | 529.4 | 80 | 13.6 | 36.2 | 516.2 | 35 | 9.9 | 8.3 | 158.8 | 46 | 63.4 | 12.9 | 367.8 | 1.3 | 0.5 |
| 285.8 | 14 | 530.6 | 18 | 516.5 | 37 | 159.5 | 11 | ||||||||||||
| 288.2 | 7 | 532.5 | 2 | ||||||||||||||||
| 284.6 | 76 | 14.9 | 48.6 | 529.3 | 79 | 13.2 | 32.1 | 516.2 | 38 | 9.7 | 7.4 | 158.8 | 43 | 60.4 | 11.3 | 367.9 | 1.8 | 0.6 | |
| Ag/BiV/300 | 285.9 | 16 | 530.6 | 18 | 516.5 | 35 | 159.3 | 14 | |||||||||||
| 288.2 | 8 | 532.4 | 3 |
| Photocatalyst | % SMX Photodegradation | Reaction Order (n) | A | B | R2 |
|---|---|---|---|---|---|
| (10−3) | (10−3) | ||||
| BiV/80 | 10.1 | 2 | 56.6186 | 0.0029 | 0.9643 |
| BiV/300 | 46.0 | 1 | 198.6829 | 0.3980 | 0.9969 |
| BiV/450 | 44.9 | 1 | 164.4503 | 0.6171 | 0.9986 |
| BiV/600 | 14.7 | 1 | 193.5677 | 0.0234 | 0.9849 |
| Ag/BiV/80 | 34.6 | 1 | 94.8051 | 0.4769 | 0.9959 |
| Ag/BiV/300 | 69.7 | 2 | 20.3644 | 0.8087 | 0.9992 |
| n | Power-Law | LHHW |
|---|---|---|
| 0 | ||
| 1 | ||
| 2 |
Disclaimer/Publisher’s Note: The statements, opinions and data contained in all publications are solely those of the individual author(s) and contributor(s) and not of MDPI and/or the editor(s). MDPI and/or the editor(s) disclaim responsibility for any injury to people or property resulting from any ideas, methods, instructions or products referred to in the content. |
© 2024 by the authors. Licensee MDPI, Basel, Switzerland. This article is an open access article distributed under the terms and conditions of the Creative Commons Attribution (CC BY) license (https://creativecommons.org/licenses/by/4.0/).
Share and Cite
Aguirre-Cortes, J.M.; Moral-Rodríguez, A.I.; Bailón-García, E.; Carrasco-Marín, F.; Pérez-Cadenas, A.F. BiVO4-Based Photocatalysts for the Degradation of Antibiotics in Wastewater: Calcination Role after Solvothermal Synthesis. Catalysts 2024, 14, 474. https://doi.org/10.3390/catal14080474
Aguirre-Cortes JM, Moral-Rodríguez AI, Bailón-García E, Carrasco-Marín F, Pérez-Cadenas AF. BiVO4-Based Photocatalysts for the Degradation of Antibiotics in Wastewater: Calcination Role after Solvothermal Synthesis. Catalysts. 2024; 14(8):474. https://doi.org/10.3390/catal14080474
Chicago/Turabian StyleAguirre-Cortes, Jhon Mauricio, Adriana Isabel Moral-Rodríguez, Esther Bailón-García, Francisco Carrasco-Marín, and Agustín Francisco Pérez-Cadenas. 2024. "BiVO4-Based Photocatalysts for the Degradation of Antibiotics in Wastewater: Calcination Role after Solvothermal Synthesis" Catalysts 14, no. 8: 474. https://doi.org/10.3390/catal14080474
APA StyleAguirre-Cortes, J. M., Moral-Rodríguez, A. I., Bailón-García, E., Carrasco-Marín, F., & Pérez-Cadenas, A. F. (2024). BiVO4-Based Photocatalysts for the Degradation of Antibiotics in Wastewater: Calcination Role after Solvothermal Synthesis. Catalysts, 14(8), 474. https://doi.org/10.3390/catal14080474

