Staphylococcus aureus Alkaline Protease: A Promising Additive for Industrial Detergents
Abstract
1. Introduction
2. Results and Discussion
2.1. Optimization of Medium Compounds for Protease Production
2.1.1. Incubation Time
2.1.2. Effect of pH and Temperature on Protease Production
2.1.3. Effect of Carbon and Nitrogen Sources on Protease Production
2.2. Purification of S. aureus Protease S. aureus Pr
| Purification Step | Total (a) Activity (Units) | Protein (b) (mg) | Specific Activity (U/mg) | Activity Recovery (%) | Purification Factor |
|---|---|---|---|---|---|
| Culture supernatant | 840,000 | 1028 | 817.1 | 100 | 1 |
| Heat and pH treatment (10 min at 80 °C and pH 3) | 714,000 | 215 | 3320.9 | 85 | 4 |
| (NH4)2SO4 Precipitation (25–65%) | 535,500 | 49 | 11,900 | 63.4 | 14.6 |
| Mono Q-Sephadex | 321,300 | 5 | 64,270 | 38.2 | 78.6 |
| Protease Origin | pH Optimal | Optimal Temperature (°C) | Molecular Weight (kDa) | References |
|---|---|---|---|---|
| S. epidermidis BP9 | 6.0 | 50 | 24.0 | [24] |
| S. simulans QB7 | 7.0 | 50 | 47 | [19] |
| S. xylosus | 6.0 | 50 | 21.5 | [30] |
| S. saprophyticus | 11.0 | 30–60 | 28 | [31] |
| S. sciuri | 5.6 | 70 | ND | [20] |
| S. aureus S2 | 8.0 | 50 | 30 | [23] |
2.3. Biochemical Characterization of S. aureus Pr
2.3.1. Effect of pH and Temperature on S. aureus Pr Activity and Stability
2.3.2. Effect of Stabilizers Addition on S. aureus Pr Thermal Stability
2.3.3. Stability Study
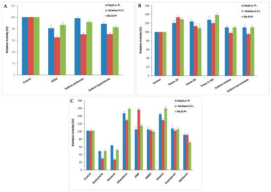
Impacts of Inhibitors, Reducing Agents, and Metallic Ions on S. aureus Pr Stability
Impacts of Surfactants, Oxidizing Agents, and Organic Solvents on S. aureus Pr Stability
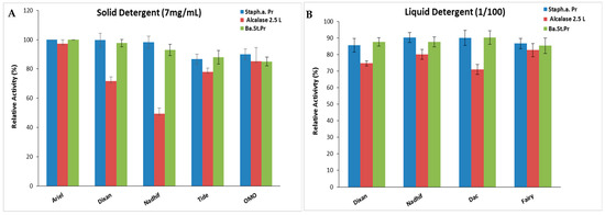
Stability and Compatibility of S. aureus Pr with Solid and Liquid Commercial Laundry Detergents
3. Materials and Methods
3.1. Protease Activity Assay
3.2. Optimization of S. aureus Culture Conditions
3.2.1. Effects of Incubation Time
3.2.2. Effects of pH and Temperature
3.2.3. Effects of Carbon and Nitrogen Sources
3.3. Protease Purification
3.4. Protein Analysis
3.5. Biochemical Characterization of Purified S. aureus Pr
3.5.1. Effects of pH and Temperature on Activity and Stability
3.5.2. Stability Study
Impact of Organic Solvents
Impact of Surfactants and Oxidizing Agents
Impact of Liquid and Solid Detergent
4. Conclusions
Funding
Data Availability Statement
Acknowledgments
Conflicts of Interest
References
- Abu-Khudir, R.; Salem, M.M.; Allam, N.G.; Ali, E.M. Production, Partial Purification, and Biochemical Characterization of a Thermotolerant Alkaline Metallo-Protease from Staphylococcus sciuri. Appl. Biochem. Biotechnol. 2019, 189, 87–102. [Google Scholar] [CrossRef] [PubMed]
- Song, P.; Zhang, X.; Wang, S.; Xu, W.; Wang, F.; Fu, R.; Wei, F. Microbial Proteases and Their Applications. Front. Microbiol. 2023, 14, 1236368. [Google Scholar] [CrossRef] [PubMed]
- Barzkar, N.; Homaei, A.; Hemmati, R.; Patel, S. Thermostable Marine Microbial Proteases for Industrial Applications: Scopes and Risks. Extremophiles 2018, 22, 335–346. [Google Scholar] [CrossRef] [PubMed]
- Bansal, P.; Sharma, A.K.; Kumar, R.; Chanalia, P.; Gupta, B. Serine Proteases: Classification, Catalytic Mechanism, Types, and Industrial Applications. In Serine Proteases: Role in Human Health and Disease; De Gruyter: Berlin, Germany, 2023; Volume 1. [Google Scholar]
- Patel, S. A Critical Review on Serine Protease: Key Immune Manipulator and Pathology Mediator. Allergol. Immunopathol. 2017, 45, 579–591. [Google Scholar] [CrossRef] [PubMed]
- Dadshahi, Z.; Homaei, A.; Zeinali, F.; Sajedi, R.H.; Khajeh, K. Extraction and Purification of a Highly Thermostable Alkaline Caseinolytic Protease from Wastes Penaeus vannamei Suitable for Food and Detergent Industries. Food Chem. 2016, 202, 110–115. [Google Scholar] [CrossRef] [PubMed]
- Bizuye, A.; Sago, A.; Admasu, G.; Getachew, H.; Kassa, P.; Amsaya, M. Isolation, Optimization and Characterization of Protease Producing Bacteria from Soil and Water in Gondar Town, North West Ethiopia. Int. J. Bacteriol. Virol. Immunol. 2014, 1, 020–024. [Google Scholar]
- Razzaq, A.; Shamsi, S.; Ali, A.; Ali, Q.; Sajjad, M.; Malik, A.; Ashraf, M. Microbial Proteases Applications. Front. Bioeng. Biotechnol. 2019, 7, 110. [Google Scholar] [CrossRef] [PubMed]
- Dubey, C.K.; Mishra, J.; Nagar, A.; Gupta, M.; Sharma, A.; Kumar, S.; Mishra, V.; Pandey, H.P. Microbial Protease: An Update on Sources, Production Methods, and Applications. In Bioactive Microbial Metabolites; Elsevier: Amsterdam, The Netherlands, 2024; pp. 233–260. [Google Scholar]
- Veloorvalappil, N.J.; Robinson, B.S.; Selvanesan, P.; Sasidharan, S.; Kizhakkepawothail, N.U.; Sreedharan, S.; Prakasan, P.; Moolakkariyil, S.J.; Sailas, B. Versatility of Microbial Proteases. Adv. Enzym. Res. 2013, 2013, 36957. [Google Scholar]
- Niyonzima, F.N.; More, S. Detergent-Compatible Proteases: Microbial Production, Properties, and Stain Removal Analysis. Prep. Biochem. Biotechnol. 2015, 45, 233–258. [Google Scholar] [CrossRef]
- Kamran, A.; Rehman, H.U.; Qader, S.A.U.; Baloch, A.H.; Kamal, M. Purification and Characterization of Thiol Dependent, Oxidation-Stable Serine Alkaline Protease from Thermophilic Bacillus sp. J. Genet. Eng. Biotechnol. 2015, 13, 59–64. [Google Scholar] [CrossRef]
- Banik, R.M.; Prakash, M. Laundry Detergent Compatibility of the Alkaline Protease from Bacillus cereus. Microbiol. Res. 2004, 159, 135–140. [Google Scholar] [CrossRef] [PubMed]
- Banerjee, G.; Ray, A.K. Impact of Microbial Proteases on Biotechnological Industries. Biotechnol. Genet. Eng. Rev. 2017, 33, 119–143. [Google Scholar] [CrossRef] [PubMed]
- Solanki, P.; Putatunda, C.; Kumar, A.; Bhatia, R.; Walia, A. Microbial Proteases: Ubiquitous Enzymes with Innumerable Uses. 3 Biotech 2021, 11, 428. [Google Scholar] [CrossRef] [PubMed]
- Dubin, G. Extracellular Proteases of Staphylococcus spp. Biol. Chem. 2002, 383, 1075–1086. [Google Scholar] [CrossRef]
- Sharma, M.; Gat, Y.; Arya, S.; Kumar, V.; Panghal, A.; Kumar, A. A Review on Microbial Alkaline Protease: An Essential Tool for Various Industrial Approaches. Ind. Biotechnol. 2019, 15, 69–78. [Google Scholar] [CrossRef]
- Ben Bacha, A.; Moubayed, N.M.; Al-Assaf, A. An Organic Solvent-Stable Lipase from a Newly Isolated Staphylococcus aureus ALA1 Strain with Potential for Use as an Industrial Biocatalyst. Biotechnol. Appl. Biochem. 2016, 63, 378–390. [Google Scholar] [CrossRef] [PubMed]
- Li, H.; Fan, H.; Lu, K.; Zhu, Q.; Wu, J. Purification of Extracellular Protease from Staphylococcus simulans QB7and Its Ability in Generating Antioxidant and Anti-inflammatory Peptides from Meat Proteins. Nutrients 2022, 15, 65. [Google Scholar] [CrossRef] [PubMed]
- Sony, I. Optimization of Culture Conditions for Protease Production from Staphylococcus sciuri (TKMFT 8). Int. J. Adv. Sci. Res. Manag. 2019, 4, 1–7. [Google Scholar]
- Navarro Llorens, J.M.; Tormo, A.; Martínez-García, E. Stationary Phase in Gram-Negative Bacteria. FEMS Microbiol. Rev. 2010, 34, 476–495. [Google Scholar] [CrossRef]
- Lindsay, S.; Oates, A.; Bourdillon, K. The Detrimental Impact of Extracellular Bacterial Proteases on Wound Healing. Int. Wound J. 2017, 14, 1237–1247. [Google Scholar] [CrossRef]
- Akram, M.; Shafaat, S.; Bukhari, D.A.; Rehman, A. Characterization of a Thermostable Alkaline Protease from Staphylococcus aureus S-2 Isolated from Chicken Waste. Pak. J. Zool. 2014, 46, 1125–1132. [Google Scholar]
- Wang, H.; Liu, J.; Chen, Q.; Kong, B.; Sun, F. Biochemical Properties of Extracellular Protease from Staphylococcus epidermidis Isolated from Harbin Dry Sausages and Its Hydrolysis of Meat Protein. Food Biosci. 2021, 42, 101130. [Google Scholar] [CrossRef]
- Bholay, A.; More, S.; Patil, V.; Niranjan, P. Bacterial Extracellular Alkaline Proteases and Its Industrial Applications. Int. Res. J. Biol. Sci 2012, 1, 1–5. [Google Scholar]
- Gupta, A.; Khare, S. Enhanced Production and Characterization of a Solvent Stable Protease from Solvent Tolerant Pseudomonas aeruginosa PseA. Enzym. Microb. Technol. 2007, 42, 11–16. [Google Scholar] [CrossRef]
- Jadhav, H.; Sayyed, R.; Shaikh, S.; Bhamre, H.; Sunita, K.; El Enshasy, H. Statistically Designed Bioprocess for Enhanced Production of Alkaline Protease in Bacillus cereus HP_RZ17. J. Sci. Ind. Res. 2020, 79, 491–498. [Google Scholar]
- Qureshi, A.S.; Dahot, M.U. Production of Proteases by Staphylococcus epidermidis EFRL 12 Using Cost Effective Substrate (Molasses) as a Carbon. Pak. J. Biotechnol. 2009, 6, 55–60. [Google Scholar]
- Alonazi, M.; Krayem, N.; Alzahrani, A.A.; Horchani, H.; Ben Bacha, A. Novel Phospholipase C with High Catalytic Activity from a Bacillus stearothermophilus Strain: An Ideal Choice for the Oil Degumming Process. Processes 2023, 11, 3310. [Google Scholar] [CrossRef]
- Wang, H.; Xu, J.; Kong, B.; Liu, Q.; Xia, X.; Sun, F. Purification and Characterization of the Protease from Staphylococcus xylosus A2 Isolated from Harbin Dry Sausages. Foods 2022, 11, 1094. [Google Scholar] [CrossRef] [PubMed]
- Uttatree, S.; Charoenpanich, J. Purification and Characterization of a Harsh Conditions-Resistant Protease from a New Strain of Staphylococcus saprophyticus. Agric. Nat. Resour. 2018, 52, 16–23. [Google Scholar] [CrossRef]
- Bradford, M.M. A Rapid and Sensitive Method for the Quantitation of Microgram Quantities of Protein Utilizing the Principle of Protein-Dye Binding. Anal. Biochem. 1976, 72, 248–254. [Google Scholar] [CrossRef]
- Pandhare, J.; Zog, K.; Deshpande, V.V. Differential Stabilities of Alkaline Protease Inhibitors from Actinomycetes: Effect of Various Additives on Thermostability. Bioresour. Technol. 2002, 84, 165–169. [Google Scholar] [CrossRef] [PubMed]
- Iyer, P.V.; Ananthanarayan, L. Enzyme Stability and Stabilization—Aqueous and Non-Aqueous Environment. Process Biochem. 2008, 43, 1019–1032. [Google Scholar] [CrossRef]
- Steuer, C.; Heinonen, K.H.; Kattner, L.; Klein, C.D. Optimization of Assay Conditions for Dengue Virus Protease: Effect of Various Polyols and Nonionic Detergents. J. Biomol. Screen. 2009, 14, 1102–1108. [Google Scholar] [CrossRef] [PubMed]
- Spier, M.R.; Siepmann, F.B.; Staack, L.; Souza, P.Z.; Kumar, V.; Medeiros, A.B.; Soccol, C.R. Impact of Microbial Growth Inhibition and Proteolytic Activity on the Stability of a New Formulation Containing a Phytate-Degrading Enzyme Obtained from Mushroom. Prep. Biochem. Biotechnol. 2016, 46, 725–733. [Google Scholar] [CrossRef] [PubMed]
- Si, J.-B.; Jang, E.-J.; Charalampopoulos, D.; Wee, Y.-J. Purification and Characterization of Microbial Protease Produced Extracellularly from Bacillus subtilis FBL-1. Biotechnol. Bioprocess Eng. 2018, 23, 176–182. [Google Scholar] [CrossRef]
- Salem, R.B.; Abbassi, M.S.; Cayol, J.-l.; Bourouis, A.; Mahrouki, S.; Fardeau, M.-L.; Belhadj, O. Thermophilic Bacillus Licheniformis Rbs 5 Isolated from Hot Tunisian Spring Co-Producing Alkaline and Thermostable [α]-Amylase and Protease Enzymes. J. Microbiol. Biotechnol. Food Sci. 2016, 5, 557. [Google Scholar]
- Esakkiraj, P.; Meleppat, B.; Lakra, A.K.; Ayyanna, R.; Arul, V. Cloning, Expression, Characterization and Application of Protease Produced by Bacillus cereus PMW8. RSC Adv. 2016, 6, 38611–38616. [Google Scholar] [CrossRef]
- Sharma, A.K.; Kikani, B.A.; Singh, S.P. Biochemical, Thermodynamic and Structural Characteristics of a Biotechnologically Compatible Alkaline Protease from a Haloalkaliphilic, Nocardiopsis dassonvillei OK-18. Int. J. Biol. Macromol. 2020, 153, 680–696. [Google Scholar] [CrossRef] [PubMed]
- Deng, A.; Wu, J.; Zhang, Y.; Zhang, G.; Wen, T. Purification and Characterization of a Surfactant-Stable High-Alkaline Protease from Bacillus sp. B001. Bioresour. Technol. 2010, 101, 7100–7106. [Google Scholar] [CrossRef]
- Sun, F.; Li, Q.; Liu, H.; Kong, B.; Liu, Q. Purification and Biochemical Characteristics of the Protease from Lactobacillus brevis R4 Isolated from Harbin Dry Sausages. LWT 2019, 113, 108287. [Google Scholar] [CrossRef]
- Abu-Tahon, M.A.; Arafat, H.H.; Isaac, G.S. Laundry Detergent Compatibility and Dehairing Efficiency of Alkaline Thermostable Protease Produced from Aspergillus terreus under Solid-State Fermentation. J. Oleo Sci. 2020, 69, 241–254. [Google Scholar] [CrossRef] [PubMed]
- Gürkök, S. Microbial Enzymes in Detergents: A Review. Int. J. Sci. Eng. Res. 2019, 10, 75–81. [Google Scholar]
- McDonald, C.; Chen, L.L. The Lowry Modification of the Folin Reagent for Determination of Proteinase Activity. Anal. Biochem. 1965, 10, 175–177. [Google Scholar] [CrossRef] [PubMed]
- Akhavan Sepahy, A.; Jabalameli, L. Effect of Culture Conditions on the Production of an Extracellular Protease by Bacillus sp. Isolated from Soil Sample of Lavizan Jungle Park. Enzym. Res. 2011, 2011, 219628. [Google Scholar] [CrossRef]
- Hewick, R.M.; Hunkapiller, M.W.; Hood, L.E.; Dreyer, W.J. A Gas-Liquid Solid Phase Peptide and Protein Sequenator. J. Biol. Chem. 1981, 256, 7990–7997. [Google Scholar] [CrossRef]








| Relative Activity (%) | ||
|---|---|---|
| 1 h | 2 h | |
| Control (without additives) | 34.5 ± 2.12 | 8.5 ± 2.11 |
| Mannitol 10% | 91 ± 4.24 | 51.5 ± 3.51 |
| Mannitol 10% + 3 mM Ca2+ | 100 ± 0.5 | 70 ± 4.23 |
| Inhibitors/Reducing Agents | Concentration | Residual Activity (%) |
|---|---|---|
| None | - | 100 ± 5.65 |
| PMSF | 5 mM | 8 ± 1.41 |
| BTNB | 10 mM | 104.5 ± 4.94 |
| Benzamidine | 10 mM | 87.5 ± 3.53 |
| DFB | 5 mM | 6 ± 1.41 |
| EGTA | 2 mM | 100 ± 5.65 |
| EDTA | 10 mM | 102 ± 4.24 |
| βME | 5 mM | 98.5 ± 2.12 |
| DTT | 10 mM | 100 ± 4.24 |
| Urea | 6 M | 63.5 ± 3.53 |
| SDS | 60 mM | 89 ± 2.82 |
| Metalic Ions (3 mM) | Relative Activity (%) |
|---|---|
| None | 100 |
| Ca2+ | 220.5 ± 6.30 |
| Cu2+ | 110 ± 3.50 |
| Cd2+ | 34 ± 2.80 |
| Co2+ | 104 ± 5.65 |
| Fe2+ | 108.5 ± 2.12 |
| Hg2+ | 21 ± 2.8 |
| Mg2+ | 202.5 ± 6.36 |
| Mn2+ | 111.5 ± 4.94 |
| Ni2+ | 12 ± 1.41 |
| Zn2+ | 162 ± 4.24 |
Disclaimer/Publisher’s Note: The statements, opinions and data contained in all publications are solely those of the individual author(s) and contributor(s) and not of MDPI and/or the editor(s). MDPI and/or the editor(s) disclaim responsibility for any injury to people or property resulting from any ideas, methods, instructions or products referred to in the content. |
© 2024 by the author. Licensee MDPI, Basel, Switzerland. This article is an open access article distributed under the terms and conditions of the Creative Commons Attribution (CC BY) license (https://creativecommons.org/licenses/by/4.0/).
Share and Cite
Alonazi, M. Staphylococcus aureus Alkaline Protease: A Promising Additive for Industrial Detergents. Catalysts 2024, 14, 446. https://doi.org/10.3390/catal14070446
Alonazi M. Staphylococcus aureus Alkaline Protease: A Promising Additive for Industrial Detergents. Catalysts. 2024; 14(7):446. https://doi.org/10.3390/catal14070446
Chicago/Turabian StyleAlonazi, Mona. 2024. "Staphylococcus aureus Alkaline Protease: A Promising Additive for Industrial Detergents" Catalysts 14, no. 7: 446. https://doi.org/10.3390/catal14070446
APA StyleAlonazi, M. (2024). Staphylococcus aureus Alkaline Protease: A Promising Additive for Industrial Detergents. Catalysts, 14(7), 446. https://doi.org/10.3390/catal14070446

