The Potential of Microwave Technology for Glycerol Transformation: A Comprehensive Review
Abstract
1. Introduction
2. General Aspects of Microwave Assistance as an Instrument for Organic Synthesis and Catalytic Processes
3. Catalytic Transformation of Glycerol Under Microwave Irradiation
3.1. The Acetalization of Glycerol with an Aldehyde
3.1.1. Synthesis of Acetals and Ketals from Glycerol
3.1.2. Synthesis of Solketal from Glycerol and Acetone
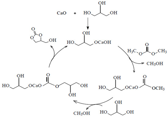
3.2. Synthesis of Glycerol Carbonate
3.2.1. The Main Methods for the Synthesis of Glycerol Carbonate
3.2.2. Synthesis of Glycerol Carbonate from Glycerol and Dimethyl Carbonate
| № | Catalyst | Advantages | Disadvantages | |
|---|---|---|---|---|
| 1 | Catalysts based on metal oxides | CaO, MgO, CaO-Al2O3, MgO/ZrO2, etc. | - High activity - Low cost of catalyst preparation - High reaction efficiency | - The need for activation - Leaching of the active component is possible - Fast decontamination |
| 2 | Catalysts based on salts | NaAlO2, Na3PO4, K2CO3, etc. | - High activity and process efficiency - Low cost of catalyst preparation | - Dissolution in the reaction mass - Problems with separation from the reaction mass - Problems with reuse |
| 3 | Catalysts based on hydrotalcite | Hydrotalcite HTC-Ni modified with Ni, etc. | - Easy separation from the reaction mass - It is possible to regulate the physicochemical properties - High stability | - Average activity |
| 4 | Ionic liquids | [TMG][TFE], [Bmin]Im, etc. | - High stability - Reusable | - High material cost - The complexity of the process |
| 5 | Enzymatic catalysts | Lipase of Aspergillus niger, enzyme Novozym 435, etc. | - Mild reaction conditions - No toxic residues | - Complex cooking - High material cost - Fast decontamination |
| № | Catalyst | Properties | Catalytic Method | Catalytic Properties * | |||
|---|---|---|---|---|---|---|---|
| Ca/Al (mol/mol) | SBET (m2/g) | Conversion of Gly (%) | Selectivity (%) | ||||
| GC | GD | ||||||
| Ca2Al(OH)6Cl·2H2O (10.0 < H- < 13.4) ** | |||||||
| 1 | HC1R24 | 1.98 | 13 | MW | 88 | 84 | 8 |
| TH | 71 | 61 | 10 | ||||
| 2 | HC1RMw6 | 1.87 | 10 | MW | 82 | 86 | 13 |
| TH | 78 | 63 | 11 | ||||
| 3 | HC1USR24 | 1.97 | 6 | MW | 86 | 78 | 8 |
| TH | 84 | 65 | 10 | ||||
| 4 | HC1USRMw6 | 1.88 | 7 | MW | 85 | 74 | 13 |
| TH | 78 | 59 | 11 | ||||
| Ca2Al(OH)6NO3·2H2O (10.0 < H- < 13.4) ** | |||||||
| 5 | HC2R24 | 1.79 | 9 | MW | 88 | 73 | 19 |
| TH | 70 | 52 | 14 | ||||
| 6 | HC2RMw6 | 1.63 | 9 | MW | 86 | 92 | 8 |
| TH | 81 | 65 | 7 | ||||
| 7 | HC2USR24 | 1.78 | 16 | MW | 86 | 85 | 13 |
| TH | 79 | 60 | 12 | ||||
| 8 | HC2USRMw6 | 1.85 | 25 | MW | 86 | 87 | 8 |
| TH | 82 | 59 | 10 | ||||
| Amorphous phase Ca(Al)Ox (6.8 < H- < 8.2) ** | |||||||
| 9 | cHC1R24-450 | 1.98 | 11 | MW | 64 | 78 | 15 |
| TH | 61 | 58 | 14 | ||||
| Amorphous phase Ca(Al)Ox + CaCO3 (6.8 < H- < 8.2) ** | |||||||
| 10 | cHC1RMw6-450 | 1.87 | 12 | MW | 78 | 75 | 10 |
| TH | 76 | 65 | 14 | ||||
| 11 | cHC2R24-450 | 1.79 | 9 | MW | 63 | 77 | 8 |
| TH | 60 | 58 | 14 | ||||
| 12 | cHC2RMw6-450 | 1.63 | 10 | MW | 87 | 53 | 2 |
| TH | 84 | 30 | 14 | ||||
| Mayenite + CaO (13.4 < H- < 15.0) ** | |||||||
| 13 | cHC1R24-750 | 1.98 | 4 | MW | 95 | 87 | 12 |
| TH | 91 | 80 | 12 | ||||
| 14 | cHC1RMw6-750 | 1.87 | 5 | MW | 87 | 88 | 12 |
| TH | 85 | 70 | 13 | ||||
| № | DMC/Gly (mol/mol) | CaO (wt.%) | T (oC) | P (MPa) | Time (min) | Yield of GC (%) | Ref. | |
|---|---|---|---|---|---|---|---|---|
| 1 | MW/bio-Gly | 2 | 1 | 65 | 0.1 | 5 | 94.2 | [58] |
| 2 | Water bath/Gly | 2 | 2 | 75 | 0.1 | 30 | 90.2 | [60] |
| 3 | Water bath/Gly | 5 | 6 | 75 | 0.1 | 90 | 64.1 | [61] |
| 4 | Authoclave/Gly | 3.5 | 3.6 | 95 | 0.6 | 90 | 95.3 | [60] |
3.2.3. Synthesis of Glycerol Carbonate from Glycerol and Urea
3.3. One-Pot Synthesis of Glycidol from Glycerol and Dimethyl Carbonate
3.4. Preparation of Other Products from Glycerol (Acrylonitrile, Acrolein, Ethers, Esters of Glycerol)
3.5. Synthesis of Fuel Components and Synthesis Gas from Glycerol Under Microwave Conditions
3.6. Other Valuable Products of Microwave Glycerol Conversion
3.7. Synthesis of Polymers Based on Glycerol
4. Summary and Outlook
Author Contributions
Funding
Data Availability Statement
Conflicts of Interest
Abbreviations
| MW | Microwave irradiation |
| TH | Thermal heating |
| HT | Hydrothermal synthesis |
| Gly | Glycerol |
| DMC | Dimethyl carbonate |
| GC | Glycerol carbonate |
| GD | Glycidol |
| 5-M | Acetal obtained from glycerol and aldehyde/ketone |
| 6-M | Ketal obtained from glycerol and aldehyde/ketone |
| 5-S | Solketal, acetal obtained from glycerol and acetone |
| 6-S | Ketal obtained from glycerol and acetone |
| AlPO | Aluminophosphate |
| p-TSA | p-Toluenesulfonic acid, tosylic acid |
| DMSO | Dimethyl sulfoxide |
| DMF | Dimethylformamide |
| TWT | Traveling wave lamp |
| MAOS | Microwave-assisted organic synthesis |
| SAFACAM | Sulfonic-acid-functionalized carbonaceous material |
| MAPA | Musa acuminata peel ash |
| LDH | Layered double hydroxide |
| NHC complexes | N-heterocyclic carbene complexes |
References
- Checa, M.; Nogales-Delgado, S.; Montes, V.; Encinar, J.M. Recent Advances in Glycerol Catalytic Valorization: A Review. Catalysts 2020, 10, 1279. [Google Scholar] [CrossRef]
- Bagnato, G.; Iulianelli, A.; Sanna, A.; Basile, A. Glycerol Production and Transformation: A Critical Review with Particular Emphasis on Glycerol Reforming Reaction for Producing Hydrogen in Conventional and Membrane Reactors. Membranes 2017, 7, 17. [Google Scholar] [CrossRef] [PubMed]
- Nanda, M.R.; Yuan, Z.; Qin, W.; Xu, C. Recent Advancements in Catalytic Conversion of Glycerol into Propylene Glycol: A Review. Cat. Rev. Sci. Eng. 2016, 58, 309–336. [Google Scholar] [CrossRef]
- da Costas, A.A.F.; Oliveira, A.d.N.d.; Esposito, R.; Auvigne, A.; Len, C.; Luque, R.; Noronha, R.C.R.; Nascimento, L.A.S.D. Glycerol and microwave-assisted catalysis: Recent progress in batch and flow devices. Sustain. Energy Fuels 2023, 7, 1768–1792. [Google Scholar] [CrossRef]
- Chernousov, Y.D.; Ivannikov, V.I.; Shebolaev, I.V.; Bolotov, V.A.; Tanashev, Y.Y.; Parmon, V.N. Characteristics of a Chemical Reactor that is a Loaded Microwave Resonator. J. Commun. Technol. Electron. 2009, 54, 231–233. [Google Scholar] [CrossRef]
- Cellencor Inc. Microwave Components. Available online: https://www.cellencor.com/en/products/solid_state_generators/ (accessed on 25 August 2023).
- Browne, J. Microwave Energy Powers Many Industrial Applications. Available online: https://www.mwrf.com/technologies/embedded/systems/article/21848252/microwave-energy-powers-many-industrial-applications (accessed on 28 August 2023).
- Kappe, C.O.; Stadler, A.; Dallinger, D. Microwaves in Organic and Medicinal Chemistry; Wiley-VCH: Weinheim, Germany, 2012; p. 668. [Google Scholar]
- Hoz, A.; Loupy, A. Microwaves in Organic Synthesis; Wiley-VCH: Weinheim, Germany, 2012; p. 1251. [Google Scholar]
- Horikoshi, S.; Serpone, N. Microwaves in Catalysis: Methodology and Applications; John Wiley & Sons: Hoboken, NJ, USA, 2015; p. 454. [Google Scholar]
- Priece, P.; Lopez-Sanchez, J.A. Advantages and Limitations of Microwave Reactors: From Chemical Synthesis to the Catalytic Valorization of Biobased Chemicals. CS Sustain. 2018, 7, 3–21. [Google Scholar] [CrossRef]
- Wan, J.K.S. Microwaves and Chemistry: The catalysis of an Exciting Marriage. Res. Chem. Intermed. 1993, 19, 147–158. [Google Scholar] [CrossRef]
- Campos, D.C.; Dall’Oglio, E.L.; de Sousa, P.T.; Vasconcelos, L.G.; Kuhnen, C.A. Investigation of Dielectric Properties of the Reaction Mixture during the Acid-Catalyzed Transesterification of Brazil Nut Oil for Biodiesel Production. Fuel 2014, 117, 957–965. [Google Scholar] [CrossRef]
- Bolotov, V.A.; Kibilyuk, A.E.; Parmon, V.N.; Panchenko, V.N.; Timofeeva, M.N. Microwave-assisted Synthesis of Solketal from Glycerol and Acetone. Catal. Ind. 2024, 24, 60–61. [Google Scholar] [CrossRef]
- Maksimov, A.L.; Nekhaev, A.I.; Ramazanov, D.N. Ethers and Acetals, Promising Petrochemicals from Renewable Sources. Pet. Chem. 2015, 55, 1–21. [Google Scholar] [CrossRef]
- Correa, I.; Faria, R.P.V.; Rodrigues, A.E. Continuous Valorization of Glycerol into Solketal: Recent Advances on Catalysts, Processes, and Industrial Perspectives. Sustain. Chem. 2021, 2, 286–324. [Google Scholar] [CrossRef]
- Serafim, H.; Fonseca, I.M.; Ramos, A.M.; Vital, J.; Castanheiro, J.E. Valorization of Glycerol into Fuel Additives over Zeolites as Catalysts. Chem. Eng. J. 2011, 178, 291–296. [Google Scholar] [CrossRef]
- Guemez, M.B.; Requies, J.; Agirre, I.; Arias, P.L.; Barrio, V.L.; Cambra, J.F. Acetalization Reaction between Glycerol and n-Butyraldehyde using an Acidic Ion Exchange Resin Kinetic Modelling. Chem. Eng. J. 2013, 228, 300–307. [Google Scholar] [CrossRef]
- Crotti, C.; Farnetti, E.; Guidolin, N. Alternative Intermediates for Glycerol Valorization: Iridium-Catalyzed Formation of Acetalsand Ketals. Green Chem. 2010, 12, 2225–2231. [Google Scholar] [CrossRef]
- Pawar, R.R.; Jadhav, V.S.; Baja, C.H. Microwave-assisted Rapid Valorization of Glycerol towards Acetals and Ketals. Chem. Eng. J. 2014, 235, 61–66. [Google Scholar] [CrossRef]
- Hansch, C.; Leo, A.; Taft, R.W. A Survey of Hammett Substituent Constants and Resonance and Field Parameters. Chem. Rev. 1991, 91, 165–195. [Google Scholar] [CrossRef]
- Agirre, I.; Güemez, M.B.; Ugarte, A.; Requies, J.; Barrio, V.L.; Cambra, J.F.; Arias, P.L. Glycerol acetals as diesel additives: Kinetic study of the reaction between glycerol and acetaldehyde. Fuel Process. Technol. 2013, 116, 182–188. [Google Scholar] [CrossRef]
- Castro, G.A.D.; Santos, A.L.Q.; Sathicq, Á.G.; Palermo, V.; Romanelli, G.P.; Fernandes, S.A. Sustainable Synthesis of Acetals from Glycerol as Potential Additives for Biofuels under Solvent-free Conditions. React. Chem. Eng. 2022, 7, 2132–2140. [Google Scholar] [CrossRef]
- Mota, C.J.A.; Silva, C.X.A.; Rosenbach, N.J.; Costa, J.; Silva, F. Glycerin Derivatives as Fuel Additives: The Addition of Glycerol/Acetone Ketal (Solketal) in Gasolines. Energy Fuels 2010, 24, 2733–2736. [Google Scholar] [CrossRef]
- Kousemaker, M.A.; Thiele, K.D. Method for Producing an Oxygen-Containing Compound Used as Fuel Additive, in Particular in Diesel Fuels, Gasoline, and Rapeseed Methyl ester. Patent US 20090270643 A1, 29 October 2009. [Google Scholar]
- Varfolomeev, S.D.; Nikiforov, G.A.; Voleva, V.B.; Makarov, G.G.; Trusov, L.I. Octane-increasing Additive to Petrol. Patent RU 2365617 C1, 27 August 2009. [Google Scholar]
- Data Bridge Market Research. Global Solketal Market—Industry Trends and Forecast to 2028. Available online: https://www.databridgemarketresearch.com/reports/global-solketal-market (accessed on 29 August 2023).
- Calvino-Casilda, V.; Stawicka, K.; Trejda, M.; Ziolek, M.; Banares, M.A. Real-time Raman monitoring and control of the catalytic acetalization of glycerol with acetone over modified mesoporous cellular foams. J. Phys. Chem. C 2014, 118, 10780–10791. [Google Scholar] [CrossRef]
- Marton, G.I.; Iancu, P.; Plesu, V.; Marton, A.; Soriga, S.G. Solketal—A quantum mechanics study of the reaction mechanism of ketalization. Rev. Chim. 2015, 66, 750–753. Available online: http://bch.ro/pdfRC/MARTON%20G.pdf%205%2015.pdf (accessed on 1 December 2024).
- Zeng, X.; Wang, W.; Ou-Yang, L.L.; Zhang, P.; Zhang, X. Research Progress of Catalysts and Reaction Mechanism in Glycerol Condensation to Acetone Glycidol. J. Fuel Chem. Technol. 2021, 49, 1768–1779. [Google Scholar] [CrossRef]
- Cablewski, T.; Faux, A.F.; Strauss, C.R. Development and Application of a Continuous Microwave Reactor for Organic Synthesis. J. Org. Chem. 1994, 59, 3408–3412. [Google Scholar] [CrossRef]
- Leadbeater, N.E. Microwave Heating as a Tool for Sustainable Chemistry; CRC Press: Boca Raton, FL, USA, 2010; p. 290. [Google Scholar]
- Aguado-Deblas, L.; Estevez, R.; Russo, M.; La Parola, V.; Bautista, F.M.; Testa, M.L. Sustainable Microwave-Assisted Solketal Synthesis over Sulfonic Silica-Based Catalysts. J. Environ. Chem. Eng. 2022, 10, 108628. [Google Scholar] [CrossRef]
- Priya, S.S.; Selvakannana, P.R.; Chary, K.V.R.; Kantam, M.L.; Bhargava, S.K. Solvent-Free Microwave-Assisted Synthesis of Solketal from Glycerol Using Transition Metal Ions Promoted Mordenite Solid Acid Catalysts. Mol. Catal. 2017, 434, 184–193. [Google Scholar] [CrossRef]
- Filho, E.G.R.T.; Dall’Oglio, E.L.; de Sousa, J.P.T.; Ribeiro, F.; Marques, M.Z.; de Vasconcelos, L.G.; de Amorim, M.P.N.; Kuhnen, C.A. Solketal Production in Mmicrowave Monomode Batch Reactor: The Role of Dielectric Properties in Glycerol Ketalization with Acetone. Braz. J. Chem. Eng. 2022, 39, 691–703. [Google Scholar] [CrossRef]
- Ao, S.; Alghamdi, L.A.; Kress, T.; Selvaraj, M.; Halder, G.; Wheatley, A.E.H.; Rokhum, S.L. Microwave-Aassisted Valorization of Glycerol to Solketal Using Biomass-Derived Heterogeneous Catalyst. Fuel 2023, 345, 128190. [Google Scholar] [CrossRef]
- Prasad, K.S.; Shamshuddin, S.Z.M.; Pratap, S.R. Microwave Synthesis of Fuel Additive over Modified Amorphous Aluminophosphate: Kinetics. Chem. Data Collect. 2022, 38, 100818. [Google Scholar] [CrossRef]
- da Silva, C.X.A.; Mota, C.J.A. The Influence of Impurities on the Acid-Catalyzed Reaction of Glycerol with Acetone. Biomass Bioenergy 2011, 35, 3547–3551. [Google Scholar] [CrossRef]
- Moreira, M.N.; Faria, R.P.V.; Ribeiro, A.M.; Rodrigues, A.E. Solketal Production from Glycerol Ketalization with Acetone: Catalyst Selection and Thermodynamic and Kinetic Reaction Study. Ind. Eng. Chem. Res. 2019, 58, 17746–17759. [Google Scholar] [CrossRef]
- Maximize Market Research. Glycerol Carbonate Market—Global Industry Analysis and Forecast (2022–2029). Available online: https://www.maximizemarketresearch.com/market-report/global-glycerol-carbonate-market/119135/ (accessed on 31 August 2023).
- Nemirowsky, J. Ueber die einwirkung von chlorkohlenoxyd auf glycolchlorhydrin. J. Prakt. Chem. 1885, 31, 173. [Google Scholar] [CrossRef]
- Franklin, S. Carbonate-Haloformate of Glycerol and Method of Producing Same. Patent US 2446145 A, 27 July 1948. [Google Scholar]
- Sonnati, M.O.; Amigoni, S.; de Givenchy, E.P.T.; Darmanin, T.; Choulet, O.; Sonnati, F.G. Glycerol Carbonate as a Versatile Building Block for Tomorrow: Synthesis, Reactivity, Properties and Applications. Green Chem. 2013, 15, 283–306. [Google Scholar] [CrossRef]
- Noh, N.M. Catalytic Route for the Synthesis of Cyclic Organic Carbonates from Renewable Polyols. Available online: https://livrepository.liverpool.ac.uk/3012167/1/200610250_February2017.pdf (accessed on 31 August 2023).
- Christy, C.S.; Noschese, A.; Lomeli-Rodriguez, M.; Greeves, N.; Lopez-Sanchez, J.A. Recent Progress in the Synthesis and Applications of Glycerol Carbonate. Curr. Opin. Green Sustain. Chem. 2018, 14, 99–107. [Google Scholar] [CrossRef]
- Climent, M.J.; Corma, A.; Frutos, P.; Iborra, S.; Noy, M.; Velty, A.; Concepcion, P. Chemicals from Biomass: Synthesis of Glycerol Carbonate by Transesterification and Carbonylation with Urea with Hydrotalcite Catalysts. The Role of Acid-Base Pairs. J. Catal. 2014, 269, 140–149. [Google Scholar] [CrossRef]
- Nomanbhay, S.; Ong, M.Y.; Chew, K.W.; Show, P.-L.; Lam, M.K.; Chen, W.-H. Organic Carbonate Production Utilizing Crude Glycerol Derived as by-Product of Biodiesel Production: A Review. Energies 2020, 16, 1483–1506. [Google Scholar] [CrossRef]
- Hu, C.; Yoshida, M.; Chen, H.-C.; Tsunekawa, S.; Lin, Y.-F.; Huang, J.-H. Production of Glycerol Carbonate from Carboxylation of Glycerol with CO2 Using ZIF-67 as a Catalyst. Chem. Eng. Sci. 2021, 235, 116451–116461. [Google Scholar] [CrossRef]
- Hu, C.; Chang, C.-W.; Yoshida, M.; Wang, K.-H. Lanthanum Nanocluster/ZIF-8 for Boosting Catalytic CO2/Glycerol Conversion Using MgCO3 as a Dehydrating Agent. J. Mater. Chem. 2021, 9, 7048–7058. [Google Scholar] [CrossRef]
- Aresta, M.; Dibenedetto, A.; Nocito, F.; Pastore, C. A study on the Carboxylation of Glycerol to Glycerol Carbonate with Carbon Dioxide: The Role of the Catalyst, Solvent and Reaction Conditions. J. Mol. Catal. A Chem. 2006, 257, 149–153. [Google Scholar] [CrossRef]
- Caro, P.D.; Bandres, M.; Urrutigoity, M.; Cecutti, C.; Thiebaud-Roux, S. Recent Progress in Synthesis of Glycerol Carbonate and Evaluation of its Plasticizing Properties. Front. Chem. 2019, 7, 308. [Google Scholar] [CrossRef]
- Ilham, Z.; Saka, S. Esterification of Glycerol from Biodiesel Production to Glycerol Carbonate in Non-Catalytic Supercritical Dimethyl Carbonate. SpringerPlus 2016, 5, 923. [Google Scholar] [CrossRef] [PubMed]
- Siddh, S.S.; Upadhyay, N.; Sharma, Y.C. Critical Review on Production of Glycerol Carbonate from Byproduct Glycerol through Transesterification. Ind. Eng. Chem. Res. 2021, 60, 67–88. [Google Scholar] [CrossRef]
- Teng, W.K.; Ngoh, G.C.; Yusoff, R.; Aroua, M.K. A Review on the Performance of Glycerol Carbonate Production via Catalytic Transesterification: Effects of Influencing Parameters. Energy Convers. Manag. 2014, 88, 484–497. [Google Scholar] [CrossRef]
- Li, J.; Wang, T. On the Deactivation of Alkali Solid Catalysts for the Synthesis of Glycerol Carbonate from Glycerol and Dimethyl Carbonate. Reac. Kinet. Mech. Cat. 2011, 102, 113–126. [Google Scholar] [CrossRef]
- Ji, Y. Recent Development of Heterogeneous Catalysis in the Transesterification of Glycerol to Glycerol Carbonate. Catalysts 2019, 9, 581–603. [Google Scholar] [CrossRef]
- Granados-Reyes, J.; Salagre, P.; Cesteros, Y. Boosted Selectivity towards Glycerol Carbonate Using Microwaves vs Conventional Heating for the Catalytic Transesterification of Glycerol. Appl. Clay Sci. 2018, 156, 110–115. [Google Scholar] [CrossRef]
- Teng, W.K.; Ngoh, G.C.; Yusoff, R.; Aroua, M.K.; Heng, J.S. Microwave Assisted Solvent-Free Catalytic Transesterification of Glycerol to Glycerol Carbonate. Int. J. Sci. Res. Innov. 2015, 9, 1140–1143. [Google Scholar] [CrossRef]
- Simanjuntak, F.S.H.; Kim, T.K.; Lee, S.D.; Ahn, B.S.; Kim, H.S.; Lee, H. CaO-Catalyzed Synthesis of Glycerol Carbonate from Glycerol and Dimethyl Carbonate: Isolation and Characterization of an Active Ca species. Appl. Catal. A Gen. 2011, 401, 220–225. [Google Scholar] [CrossRef]
- Ochoa-Gómez, J.R.; Gómez-Jiménez-Aberasturi, O.; Maestro-Madurga, B.; Pesquera-Rodríguez, A.; Ramírez-López, C.; Lorenzo-Ibarreta, L.; Torrecilla-Soria, J.; Villarán-Velasco, M.C. Synthesis of Glycerol Carbonate from Glycerol and Dimethyl Carbonate by Transesterification: Catalyst Screening and Reaction Optimization. Appl. Catal. A Gen. 2009, 366, 315–324. [Google Scholar] [CrossRef]
- Changmai, B.; Laskar, I.B.; Rokhum, L. Microwave-Assisted Synthesis of Glycerol Carbonate by the Transesterification of Glycerol with Dimethyl Carbonate Using Musa Acuminate Peel Ash Catalyst. J. Taiwan Inst. Chem. Eng. 2019, 102, 276–282. [Google Scholar] [CrossRef]
- Das, A.; Shi, D.; Halder, G.; Rokhum, S.L. Microwave-Assisted Synthesis of Glycerol Carbonate by Transesterification of Glycerol Using Mangifera Indica Peel Calcined Ash as Catalyst. Fuel 2022, 330, 125511. [Google Scholar] [CrossRef]
- Luo, D.; Xie, M.; Zhou, X. Microwave Assisted Rapid Synthesis of Glycerol Carbonate from Glycerol Catalyzed by Anhydrous Sodium Silicate. IOP Conf. Ser. Earth Environ. Sci. 2021, 687, 012077. [Google Scholar] [CrossRef]
- Wang, S.; Xu, L.; Okoye, P.U.; Li, S.; Tian, C. Microwave-Assisted Transesterification of Glycerol with Dimethyl Carbonate over Sodium Silicate Catalyst in the Sealed Reaction System. Energy Convers. Manag. 2018, 164, 543–551. [Google Scholar] [CrossRef]
- Prakruthi, H.R.; Prakash, B.S.J.; Bhat, Y.S. Microwave Assisted Synthesis of Glycerol Carbonate over LDH Catalyst: Activity Restoration through Rehydration and Reconstruction. J. Mol. Catal. A Chem. 2015, 408, 214–220. [Google Scholar] [CrossRef]
- Deshmukh, G.P.; Yadav, G.D. Tuneable Transesterification of Glycerol with Dimethyl Carbonate for Synthesis of Glycerol Carbonate and Glycidol on MnO2 Nanorods and Efficacy of Different Polymorphs. Mol. Catal. 2021, 515, 111934. [Google Scholar] [CrossRef]
- Zhang, L.; Zhang, Z.; Wu, C.; Qian, Q.; Ma, J.; Jiang, L.; Han, B. Microwave Assisted Synthesis of Glycerol Carbonate from Glycerol and Urea. Pure Appl. Chem. 2018, 90, 1–6. [Google Scholar] [CrossRef]
- Gupta, P.; Behera, B.; Chhibber, V.K.; Ray, S.S. Microwave Assisted Synthesis of Glycerol Carbonate Over Zinc Incorporated Mesoporous Hydrotalcite Catalyst. Curr. Microwave Chem. 2018, 5, 13–22. [Google Scholar] [CrossRef]
- Danov, S.M.; Sulimov, A.V.; Ovcharov, A.A.; Sulimova, A.V.; Sesorova, O.A.; Russkina, A.V. Method of Producing Glycidol. Patent RU 2434859 C1, 27 November 2011. [Google Scholar]
- Method for Producing Glycidol. Patent NL 174722 (C); Assigned to Degussa, 1 August 1984.
- Sirotin, L.B.; Vladykin, V.I.; Matygyllin, V.S.; Sibgatyllina, V.T.; Kykakova, P.S. Method of Producing Glycidol. Patent RU 2130452 C1, 20 May 1999. [Google Scholar]
- Lee, H.J.; Ahn, B.S.; Lee, S.D.; Choi, J.S.; Lee, H.; Lee, H.J. Method for Preparing Glycidol Using Glycerol and Glycidol Obtained thereby. Patent US 9518035 B2, 13 December 2016. [Google Scholar]
- Uni, M.; Okutsu, M. Process for Production of Glycidol. Patent US 7888517 B2, 15 February 2011. [Google Scholar]
- Lee, H.J.; Ahn, B.S.; Lee, S.D.; Jae, J.; Choi, J.S. Method for Preparing Glycidol by Successive Catalytic Reactions. Patent US 9199950 B2, 1 December 2015. [Google Scholar]
- Gomez, J.R.O.; de Aberastui, O.G.M.J.; Perez, N.B.; Madurga, B.M.; Fernandez, S.P. Glycidol Synthesis Method. Patent US 0319756 A1, 8 November 2018. [Google Scholar]
- Malkemus, J.D.; Currier, V.A. Method for Preparing Glycidol. Patent US 2856413, 14 October 1958. [Google Scholar]
- Lee, H.J.; Lee, S.D.; Ahn, B.S.; Kim, C.S.; Choi, J.S. Method for Producing Glycidol. Patent US 0135512 A1, 15 May 2014. [Google Scholar]
- Bai, R.; Li, G.; Mei, F.M.; Wang, S. Catalyst Used for Synthesizing Glycidol from Glycerol and Dimethyl Carbonate by Employing One-Step Mmethod. Patent CN 103554060 A, 5 February 2014. [Google Scholar]
- Kondawar, S.E.; Patil, C.R.; Rode, C.V. Tandem Synthesis of Glycidol via Transesterification of Glycerol with DMC over Ba-mixed Metal Oxide Catalysts. ACS Sustain. Chem. Eng. 2017, 5, 1763–1774. [Google Scholar] [CrossRef]
- Algoufi, Y.T.; Akpan, U.G.; Asif, M.; Hameed, B.H. One-pot Synthesis of Glycidol from Glycerol and Dimethyl Carbonate over KF/Sepiolite Catalyst. Appl. Catal. A Gen. 2014, 487, 181–188. [Google Scholar] [CrossRef]
- Devi, S.K.R.; Prasanna, V.; D’sa, F.; Shetty, K.R.; Miranda, J.R.; Pinheiro, D.; Shanbhag, G.V. Response Surface Optimization and Process Design for Glycidol Synthesis Using Potassium Modified Rice Husk Silica. Mater. Today 2021, 41, 506–512. [Google Scholar] [CrossRef]
- Elhaj, E.; Wang, H.; Imran, M.; Hegazi, S.E.F.; Hassan, M.; Eldoma, M.A.; Hakami, J.; Wani, W.A.; Chaudhary, A.A. Nanocatalyst-Assisted Facile One-pot Synthesis of Glycidol from Glycerol and Dimethyl Carbonate. ACS Omega 2022, 7, 31778–31788. [Google Scholar] [CrossRef]
- Zhou, Y.; Ouyang, F.; Song, Z.-B.; Yang, Z.; Tao, D.-J. Facile One-pot Synthesis of Glycidol from Glycerol and Dimethyl Carbonate Catalyzed by Tetraethylammonium Amino acid Ionic Liquids. Catal. Commun. 2015, 66, 25–29. [Google Scholar] [CrossRef]
- Timofeeva, M.N.; Lukoyanov, I.A.; Kalashnikova, G.O.; Panchenko, V.N.; Shefer, K.I.; Gerasimov, E.Y.; Mel’gunov, M.S. Synthesis of Glycidol via Transesterification Glycerol with Dimethylcarbonate in the Presence of Composites Based on a Layered Titanosilicate AM-4 and ZIF-8. Mol. Catal. 2023, 539, 113014. [Google Scholar] [CrossRef]
- Ha, J.H.; Kim, J.S.; Kim, M.H.; Lee, K.Y.; Lee, M.S. Synthesis of Glycidol by Decarboxylation of Glycerol Carbonate over Zn-La Catalysts with Different Molar Ratio. J. Nanosci. Nanotechnol. 2016, 16, 10898–10902. [Google Scholar] [CrossRef]
- Zhou, X.; Dai, Y.; Hu, J.; Zhang, Z.; Yao, Z. Method for Synthetizing Glycidol. Patent CN 103242266 A, 14 August 2013. [Google Scholar]
- Abdullah, A.; Abdullah, A.Z.; Ahmed, M.; Khan, J.; Shahadat, M.; Umar, K.; Alim, M.A. A Review on Recent Developments and Progress in Sustainable Acrolein Production through Catalytic Dehydration of Bio-Renewable Gycerol. J. Clean. Prod. 2022, 341, 130876. [Google Scholar] [CrossRef]
- Xie, Q.; Li, S.; Gong, R.; Zheng, G.; Wang, Y.; Xu, P.; Duan, Y.; Yu, S.; Lu, M.; Ji, W.; et al. Microwave-Assisted Catalytic Dehydration of Glycerol for Sustainable production of Acrolein over a Microwave Absorbing Catalyst. Appl. Catal. B 2019, 243, 455–462. [Google Scholar] [CrossRef]
- Xie, Q.; Pan, T.; Zheng, G.; Zhou, Y.; Yu, S.; Duan, Y.; Nie, Y. Microwave Fixed-Bed Reactor for Gas-Phase Glycerol Dehydration: Experimental and Simulation Studies. Ind. Eng. Chem. Res. 2022, 61, 10723–10735. [Google Scholar] [CrossRef]
- Estevez, R.; Iglesias, I.; Luna, D.; Bautista, F.M. Sulfonic Acid Functionalization of Different Zeolites and their Use as Catalysts in the Microwave-Assisted Etherification of Glycerol with tert-Butyl Alcohol. Molecules 2017, 22, 2206. [Google Scholar] [CrossRef] [PubMed]
- Estevez, R.; Lopez-Pedrajas, S.; Luna, D.; Bautista, F.M. Microwave-Assisted Eetherification of Glycerol with tert-Butyl Alcohol over Amorphous Organosilica-Aluminum Phosphates. Appl. Catal. B 2017, 213, 42–52. [Google Scholar] [CrossRef]
- Aguado-Deblas, L.; Estevez, R.; Russo, M.; La Parola, V.; Bautista, F.M.; Testa, M.L. Microwave-Assisted Glycerol Etherification over Sulfonic Acid Catalysts. Materials 2020, 13, 1584. [Google Scholar] [CrossRef] [PubMed]
- Estevez, R.; Aguado-Deblas, L.; Montes, V.; Caballero, A.; Bautista, F.M. Sulfonated Carbons from Olive Stones as Catalysts in the Microwave-Assisted Etherification of Glycerol with tert-Butyl alcohol. Mol. Catal. 2020, 488, 110921. [Google Scholar] [CrossRef]
- Shyam Prasad, K.; Mohamed Shamshuddin, S.Z. Highly Efficient Conversion of Glycerol and t-Butanol to Biofuel Additives over AlPO Solid Acid Catalyst under Microwave Irradiation Technique: Kinetic Study. Comptes Rendus Chim. 2022, 25, 149–170. [Google Scholar] [CrossRef]
- Luque, R.; Budarin, V.; Clark, J.H.; Macquarrie, D.J. Glycerol Transformations on Polysaccharide Derived Mesoporous Materials. Appl. Catal. B 2008, 82, 157–162. [Google Scholar] [CrossRef]
- Khan, N.; Khan, M.U.; Sriddiqui, Z.N. Selective Esterification of Glycerol over Ionic Liquid Functionalized Cellulose (IMD-Si/H2SO4@Cellulose) under Energy-efficient Microwave Irradiation. Mater. Adv. 2022, 3, 3972–3979. [Google Scholar] [CrossRef]
- Dill, L.P.; Kochepka, D.M.; Melinski, A.; Wypych, F.; Cordeiro, C.S. Microwave-Irradiated Acetylation of Glycerol Catalyzed by Acid Activated Clays. React. Kinet. Mech. Catal. 2019, 127, 991–1004. [Google Scholar] [CrossRef]
- Marwan, M.; Indarti, E.; Darmadi, D.; Rinaldi, W.; Hamzah, D.; Rinaldi, T. Production of Triacetin by Microwave Assisted Esterification of Glycerol Using Activated Natural Zeolite. Bull. Chem. React. Eng. Catal. 2019, 14, 672–677. [Google Scholar] [CrossRef]
- Troncea, S.B.; Wuttke, S.; Kemnitz, E.; Coman, S.M.; Parvulescu, V.I. Hydroxylated Magnesium Fluorides as Environmentally Friendly Catalysts for Glycerol Acetylation. Appl. Catal. B Environ. 2011, 107, 260–267. [Google Scholar] [CrossRef]
- Umrigar, V.; Chakraborty, M.; Parikh, P. Esterification and Ketalization of Levulinic Acid with Desilicated Zeolite β and Pseudo-Homogeneous Model for Reaction Kinetics. Int. J. Chem. Kinet. 2019, 51, 299–308. [Google Scholar] [CrossRef]
- Mohod, A.V.; Gogate, P.R. Intensified Synthesis of Medium Chain Triglycerides Using Novel Approaches Based on Ultrasonic and Microwave Irradiations. Chem. Eng. J. 2017, 317, 687–698. [Google Scholar] [CrossRef]
- Qadariyah, L.; Kusuma, R.A.; Saskara, F.Y. Manufacture of Glycerol Monostearate Surfactant Using Microwave. AIP Conf. Proc. 2023, 2667, 080004. [Google Scholar] [CrossRef]
- Qadariyah, L.; Fadilah, A.N.; Vincentius, V. Esterification of Glycerol Monooleate from Glycerol and Oleic Acid Using Microwave heating. AIP Conf. Proc. 2023, 2667, 080003. [Google Scholar] [CrossRef]
- Kong, P.S.; Aroua, M.K.; Daud, W.M.A.W.; Cognet, P.; Pérès, Y. Enhanced Microwave Catalytic-Esterification of Industrial Grade Glycerol over Brønsted-Based Methane Ssulfonic Acid in Production of Biolubricant. Process Saf. Environ. Prot. 2016, 104, 323–333. [Google Scholar] [CrossRef]
- Gole, V.L.; Gogate, P.R. Intensification of Glycerolysis Reaction of Higher Free Fatty Acid Containing Sustainable Feedstock Using Microwave Irradiation. Fuel Process. Technol. 2014, 118, 110–116. [Google Scholar] [CrossRef]
- Chen, Y.; Xu, X.; Xu, B.; Jin, Z.; Lim, R.; Bashari, M.; Yang, N. Microwave-Assisted Biosynthesis of Glycerol Monolaurate in Reverse Microemulsion System: Key Parameters and Mechanism. Eur. Food Res. Technol. 2010, 231, 719–726. [Google Scholar] [CrossRef]
- Fernández, Y.; Menéndez, J.A. Influence of Feed Characteristics on the Microwave-Assisted Pyrolysis Used to Produce Syngas from Biomass Wastes. J. Anal. Appl. Pyrolysis 2011, 91, 316–322. [Google Scholar] [CrossRef]
- Fernandez, Y.; Arenillas, A.; Diez, M.A.; Pis, J.J.; Menéndez, J.A. Pyrolysis of Glycerol over Activated Carbons for Syngas Production. J. Anal. Appl. Pyrolysis 2009, 84, 145–150. [Google Scholar] [CrossRef]
- Fernández, Y.; Arenillas, A.; Bermúdez, J.M.; Menéndez, J.A. Comparative Study of Conventional and Microwave-Assisted Pyrolysis, Steam and Dry Reforming of Glycerol for Syngas Production, Using a Carbonaceous Catalyst. J. Anal. Appl. Pyrolysis 2010, 88, 155–159. [Google Scholar] [CrossRef]
- Husin, H.; Mahidin, M.; Pontas, K.; Ahmadi, A.; Ridho, M.; Erdiwansyah, E.; Nasution, F.; Hasfita, F.; Hussin, M.H. Microwave-Assisted Catalysis of Water-Glycerol Solutions for Hydrogen Production over NiO/zeolite Catalyst. Heliyon 2021, 7, e07557. [Google Scholar] [CrossRef]
- Husin, H.; Erdiwansyah, E.; Ahmadi, A.; Nasution, F.; Rinaldi, W.; Abnisa, F.; Mamat, R. Efficient Hydrogen Production by Microwave-Assisted Catalysis for Glycerol-Water Solutions via NiO/zeolite-CaO Catalyst. S. Afr. J. Chem. Eng. 2022, 41, 43–50. [Google Scholar] [CrossRef]
- Leong, S.K.; Ani, F.N.; Chong, C.T. Production of Syngas from Controlled Microwave-Assisted Pyrolysis of Crude Glycerol. Key Eng. Mat. 2017, 723, 584–588. [Google Scholar] [CrossRef]
- Hawangchu, Y.; Atong, D.; Sricharoenchaikul, V. Enhanced Microwave Induced Thermochemical Conversion of Waste Glycerol for Syngas Production. Int. J. Chem. React. Eng. 2010, 8, A65. [Google Scholar] [CrossRef]
- Hawangchu, Y.; Atong, D.; Sricharoenchaikul, V. Effect of Silicon Carbide Susceptor and Nickel Catalyst Content on Microwave Enhanced Thermal Conversion of Glycerol Waste. Mater. Sci. Forum 2010, 658, 73–76. [Google Scholar] [CrossRef]
- Okoye, P.U.; Longoria, A.; Sebastian, P.J.; Wang, S.; Li, S.; Hameed, B.H. A Review on Recent Trends in Reactor Systems and Azeotrope Separation Strategies for Catalytic Conversion of Biodiesel-Derived Glycerol. Sci. Total Environ. 2020, 719, 134595. [Google Scholar] [CrossRef] [PubMed]
- Leong, S.K.; Lam, S.S.; Ani, F.N.; Ng, J.-H.; Chong, C.T. Production of Pyrolyzed Oil from Crude Glycerol Using a Microwave heating Technique. Int. J. Technol. 2016, 7, 323–331. [Google Scholar] [CrossRef]
- Ng, J.-H.; Leong, S.K.; Lam, S.S.; Ani, F.N.; Chong, C.T. Microwave-Assisted and Carbonaceous Catalytic Pyrolysis of Crude Glycerol from Biodiesel Waste for Energy Production. Energy Convers. Manag. 2017, 143, 399–409. [Google Scholar] [CrossRef]
- del Mundo, I.C.; Cavarlez, J.M.; Pe, A.M.; Roces, S. Microwave Assisted Glycerolysis of Neem Oil. ASEAN J. Chem. Eng. 2018, 18, 17–23. Available online: https://journal.ugm.ac.id/v3/AJChE/article/view/8988 (accessed on 25 August 2023).
- Bordoloi, M. Montmorillonite K-10 as a Reusable Catalyst for Fischer Type of Glycosylation under Microwave Irradiation. J. Carbohydr. Chem. 2008, 27, 300–307. [Google Scholar] [CrossRef]
- Cozzi, I.S.; Crotti, C.; Farnetti, E. Microwave-Assisted Green Oxidation of Alcohols with Hydrogen Peroxide Catalyzed by Iron Complexes with Nitrogen Ligands. J. Organomet. Chem. 2018, 878, 38–47. [Google Scholar] [CrossRef]
- Ros, D.; Gianferrara, T.; Crotti, C.; Farnetti, E. Iron-Catalyzed Oxidation of 1-Phenylethanol and Glycerol with Hydrogen Peroxide in Water Medium: Effect of the Nitrogen Ligand on Catalytic Activity and Selectivity. Front. Chem. 2020, 8, 810. [Google Scholar] [CrossRef] [PubMed]
- Finn, M.; Ridenour, J.A.; Heltzel, J.; Cahill, C.; Voutchkova-Kostal, A. Next-Generation Water-Soluble Homogeneous Catalysts for Conversion of Glycerol to Lactic Acid. Organometallics 2018, 37, 1400–1409. [Google Scholar] [CrossRef]
- Remón, J.; Zhu, G.; Budarin, V.L.; Clark, J.H. Analysis and Optimisation of a Microwave-Assisted Hydrothermal Process for the Production of Value-added Chemicals from Glycerol. Green Chem. 2018, 20, 2624–2636. [Google Scholar] [CrossRef]
- Luo, C.-W.; Feng, X.-Y.; Chao, Z.-S. Microwave-Accelerated Direct Synthesis of 3-Picoline from Glycerol through a Phase Reaction Pathway. New J. Chem. 2016, 40, 8863–8871. [Google Scholar] [CrossRef]
- Ainembabazi, D.; Wang, K.; Finn, M.; Ridenour, J.; Voutchkova-Kostal, A. Efficient Transfer Hydrogenation of Carbonate Salts from Glycerol Using Water-Soluble Iridium N-Heterocyclic Carbene Catalysts. Green Chem. 2020, 22, 6093–6104. [Google Scholar] [CrossRef]
- Bookong, P.; Ruchirawat, S.; Boonyarattanakalin, S. Optimization of Microwave-Assisted Etherification of Glycerol to Polyglycerols by Sodium Carbonate as Catalyst. Chem. Eng. J. 2015, 275, 253–261. [Google Scholar] [CrossRef]
- Aydin, H.M.; Salimi, K.; Rzayev, Z.M.O.; Piskin, E. Microwave-Assisted Rapid Synthesis of Poly(glycerol-sebacate) Elastomers. Biomater. Sci. 2013, 1, 503–509. [Google Scholar] [CrossRef] [PubMed]
- Nguyen, R.; Galy, N.; Singh, A.K.; Paulus, F.; Stöbener, D.; Schlesener, C.; Sharma, S.; Haag, R.; Len, C. A Simple and Efficient Process for Large Scale Glycerol Oligomerization by Microwave Irradiation. Catalysts 2017, 7, 123. [Google Scholar] [CrossRef]
- Nguyen, R.; Galy, N.; Alasmary, F.A.; Len, C. Microwave-Assisted Continuous Flow for the Selective Oligomerization of Glycerol. Catalysts 2021, 11, 166. [Google Scholar] [CrossRef]
- Sajid, M.; Ayoub, M.; Uemura, Y.; Suzana, Y.; Saleem, M.; Abdullah, B.; Khan, A.U. Comparative Study of Glycerol Conversion to Polyglycerol via Conventional and Microwave Irradiation Reactor. Mater. Today Proc. 2019, 16, 2101–2107. [Google Scholar] [CrossRef]
- Ayoub, M.; Yusoff, M.H.M.; Yusup, S.B.; Danish, M.; Ullah, S.; Farrukh, S. Effect of Microwave Irradiation on the Etherification of Biodiesel-Derived Glycerol in a Solvent Free Process. IOP Conf. Ser. Earth Environ. Sci. 2020, 460, 012043. [Google Scholar] [CrossRef]
- Sajid, M.; Ayoub, M.; Yusup, S.; Abdullah, B.; Shamsuddin, R.; Bilad, M.; Chong, C.C.; Aqsha, A. Short-chain Polyglycerol Production via Microwave-Assisted Solventless Glycerol Polymerization Process over LiOH-modified Aluminium Pillared Clay Catalyst: Parametric Study. Processes 2020, 8, 1093. [Google Scholar] [CrossRef]
- Sajid, M.; Ayoub, M.; Uemura, Y.; Yusup, S.; Abdullah, B.; Ullah, S.; Aqsha, A. Catalytic Activity of Intercalated Montmorillonite Clay for Glycerol Conversion to Oligomers via Microwave Irradiation. J. Jpn. Inst. Energy 2020, 99, 16–19. [Google Scholar] [CrossRef]















| Reagent | The Dielectric Constant (ε′) | Dielectric Loss Factor (ε″) | Loss Tangent (tan δ) |
|---|---|---|---|
| Organic compounds | |||
| Glycerol | 6.47 | 3.31 | 0.512 |
| Acetone | 20.3 | 1.14 | 0.056 |
| Dimethylcarbonate | 3.15 | 0.09 | 0.030 |
| Formic acid | 58.5 | 42.24 | 0.722 |
| Acetic acid | 6.2 | 1.08 | 0.174 |
| Solvents | |||
| Water | 80.1 | 9.93 | 0.124 |
| Methanol | 32.3 | 21.16 | 0.655 |
| DMSO | 45.0 | 37.13 | 0.825 |
| Acetonitrile | 37.5 | 2.33 | 0.062 |
| Hexane | 1.9 | 0.04 | 0.020 |
| Catalysts | |||
| 0.25 M HCl/MM | 2.06 | 0.09 | 0.042 |
| H2SO4 | 29.10 | 112.20 | 3.856 |
| № | Aldehyde/Ketone | Conversion of Gly, (%) | Selectivity, (%) | |
|---|---|---|---|---|
| 5-M | 6-M | |||
| X | ![]() | |||
| 1 | H | 95 | 56 | 44 |
| 2 | −OCH3 | 59 | 65 | 35 |
| 3 | −CH3 | 70 | 55 | 45 |
| 4 | −Cl | 84 | 54 | 46 |
| 5 | −Br | 83 | 53 | 47 |
| Other aldehydes and ketones | ||||
| 6 | ![]() | 96 | 53 | 47 |
| 7 | ![]() | 98 | 60 | 40 |
| 8 | ![]() | 75 | 45 | 55 |
| 9 | ![]() | 68 | 96 | 4 |
| 10 | ![]() | 90 | 98 | 2 |
| 11 | ![]() | 77 | 99 | 1 |
| 12 | ![]() | 60 | 22 | 78 |
| 13 | ![]() | 65 | 48 | 52 |
| 14 | ![]() | 79 | 46 | 54 |
![]() | ||||
| № | Catalyst | Conversion of Gly (%) | Selectivity (%) | |
| 5-M | 6-M | |||
| 1 | Without catalyst | 95 | 56 | 44 |
| 2 | p-TSA | 67 | 47 | 53 |
| 3 | Nafion SAC-13 | 81 | 56 | 44 |
| 4 | Amberlyst-15 | 80 | 55 | 45 |
| 5 | Montmorillonite K10 | 84 | 56 | 44 |
| 6 | H-beta | 85 | 55 | 45 |
| 7 | ZSM-5 | 62 | 53 | 47 |
| 8 | SBA-15 | 85 | 53 | 47 |
| 9 | MCM-41 | 78 | 57 | 43 |
| № | Catalyst | Experimental Conditions | Catalytic Properties | EF ** (g/g) | Ref. | ||||
|---|---|---|---|---|---|---|---|---|---|
| Catalyst * (wt.%) | Acetone/Gly (mol/mol) | Conversion of Gly (%) | Selectivity of 5-S (%) | ||||||
| 1 | H2SO4 | 0.22 | 6/1 | - | 20 | 99.9 | >90 | - | [35] |
| 2 | FeCl3 | 0.22 | 6/1 | - | 1 (15) | 81.2 (99.9) | >90 | - | [35] |
| 3 | Am-SO3H | 5 | 12/1 | 40 | 2 | 74 | 92 | 13.6 | [33] |
| 4 | KIT-SO3H | 5 | 12/1 | 40 | 2 | 55 | 87 | 9.6 | [33] |
| 5 | SBA-SO3H | 5 | 12/1 | 40 | 2 | 90 | 97 | 17.5 | [33] |
| 6 | Am-PrSO3H | 5 | 12/1 | 40 | 2 | 78 | 94 | 14.7 | [33] |
| 7 | KIT-PrSO3H | 5 | 12/1 | 40 | 2 | 74 | 93 | 13.8 | [33] |
| 8 | SBA-PrSO3H | 5 | 12/1 | 40 | 2 | 72 | 98 | 14.1 | [33] |
| 9 | Am-PrSO3H TH | 5 | 12/1 | 40 | 2 | 89 (82) | 96 (93) | [33] | |
| 10 | KIT-PrSO3H TH | 5 | 12/1 | 40 | 2 | 91 (90) | 98 (92) | 17.8 | [33] |
| 11 | SBA-PrSO3H TH | 5 | 12/1 | 40 | 2 | 90 (85) | 98 (96) | 17.6 | [33] |
| 12 | 22%H2SO4/SiO2 (commercial) | 5 | 12/1 | 40 | 2 | 90 (0) | 98 (0) | 17.8 | [33] |
| 13 | SAFACAM (C-SO3H) | 8 | 5/1 | 70 | 10 | 98.1 | 100 | 12.3 | [36] |
| 14 | 1%Cu-MOR | 4 | 1/1 | 100 | 15 | 81 | 79 | 16.0 | [34] |
| 15 | 1%Cu-MOR | 4 | 2/1 | 100 | 15 | 86 | 88 | 18.9 | [34] |
| 16 | 1%Cu-MOR | 4 | 3/1 | 100 | 15 | 95 | 98 | 23.3 | [34] |
| 17 | 1%Cu-MOR | 5 | 3/1 | 25 | 120 | 75 | 80 | 12.0 | [34] |
| 18 | Fe-AlPO | 6 | 2.5/1 | 60 | 30 | 94 | 96 | 15.0 | [37] |
| 19 | 0.25 M HCl/montmorillonite | 1.8 | 2.0/1 | 50 | 15 | 87.3 | 96.7 | 46.7 | [14] |
| 20 | 0.25 M HCl/montmorillonite *** | 2.8 | 2.4/1 | 50 | 15 | 79.1 | 99.2 | 28.0 | [14] |
| 21 | 0.25 M HCl/montmorillonite *** | 2.28 | 6.24/1 | 56 | 15 | 93.0 | 98.1 | 40.0 | [14] |
| № | Conversion of Gly (%) | Selectivity of GC (%) | |
|---|---|---|---|
| 1 | Without catalyst | - | - |
| 2 | Na2SiO3-200 | 93 | 98 |
| 3 | Na2SiO3-300 | 93 | 98 |
| 4 | Na2SiO3-400 | 92 | 98 |
| 5 | Na2SiO3·9H2O | 73 | 97 |
| 6 | NaOH | 98 | 99 |
| № | Catalyst | Experimental Conditions | Conversion of Gly (%) | Yield of GC (%) | Ref. |
|---|---|---|---|---|---|
| 1 | ZnCl2 | 2.8 wt.% of the catalyst (based on weight of glycerol), 150 °C, 40 min, 600 W, 15 kPa, urea/glycerol—1:1 mol/mol | 60.7 | 60.3 | [67] |
| 2 | MgSO4 | 58.1 | 57.2 | [67] | |
| 3 | CuSO4 | 55.8 | 53.1 | [67] | |
| 4 | ZnSO4 | 81.8 | 80.6 | [67] | |
| 5 | ZnO | 2 wt.% of the catalyst (based on weight of glycerol), 120 °C, 60 min, N2 atmosphere, MW irradiation, urea/glycerol—43.5:43.51 mol/mol | 63.0 | 35.8 | [68] |
| 6 | MgO | 61.5 | 33.3 | [68] | |
| 7 | Al2O3 | 58.1 | 30.0 | [68] | |
| 8 | HT-2C | 40.1 | 63.8 | [68] | |
| 9 | HT-1C | 63.2 | 85.5 | [68] |
| № | Catalyst | Experimental Conditions (°C, h, Solvent) | Conversion of Gly (%) | Selectivity (%) | Ref. | ||
|---|---|---|---|---|---|---|---|
| GC | GD | ||||||
| One-pot process | |||||||
| 1 | [N2222][Pipe] | 130, 2.0, DMF | 96 | 18 | 82 | [83] | |
| 2 | [N2222][H-pyr] | 130, 2.0, DMF | 12 | 75 | 25 | [83] | |
| 3 | [N2222][Thio] | 130, 2.0, DMF | 11 | 90 | 10 | [83] | |
| 4 | [N2222][Pro] | 130, 2.0, DMF | 94 | 32 | 68 | [83] | |
| 5 | Ba:Ce (1:1) | 120, 1.5, DMF | 98 | 18 | 80 | [79] | |
| 6 | Ba:La (1:1) | 120, 1.5, DMF | 97 | 45 | 52 | [79] | |
| 7 | Ba:Ce (1:1) | 120, 1.5, DMF | 98 | 34 | 63 | [79] | |
| 8 | BaO | 120, 1.5, DMF | 98 | 70 | 29 | [79] | |
| 9 | K-RHA | 90, 1.0, DMF | 60.8 | - | 62.9 | [79] | |
| 10 | Amberlite-IRA400 | 130, 2.0, DMF | 87 | 48 | 52 | [83] | |
| 11 | 30%KNO3/Al2O3 (800 °C) | 70, 2.0, - | 95.1 | 33.2 | 66.8 | [82] | |
| 12 | 15%KNO3/Al2O3 (800 °C) | 70, 2.0, - | 94.0 | 53.5 | 43.1 | [82] | |
| 13 | 40%KNO3/Al2O3 (800 °C) | 70, 2.0, - | 93.5 | 51.5 | 44.9 | [82] | |
| 14 | 30%KNO3/Al2O3 (700 °C) | 70, 2/0, - | 91.6 | 41.4 | 58.6 | [82] | |
| 15 | 30%KNO3/Al2O3(900 °C) | 70, 2.0, - | 90.3 | 50.6 | 44.0 | [82] | |
| 16 | 0.5%ZIF-8/AM-4 | 100, 8, - | 94.2 | 21.6 | 78.4 | [84] | |
| Two-step method * | |||||||
| 17 | Zn(NO3)2 | 130, 90, - | 95 | - | 85.6 | [70] | |
| 18 | ZnCl2 | 130, 90, - | 95 | – | 84.9 | [70] | |
| 19 | ZnO | 180, -, DMF | 86.5 | – | 53.6 | [85] | |
| 20 | Zn:La (1:9) | 180, -, DMF | 97.9 | – | 77.9 | [85] | |
| 21 | [BMIM]NO3/Zn(NO)2 1/1 | 175, 45, - | 98 | – | 78.0 | [70] | |
; [N2222][Pro]
; [N2222][H-pyr]
; [N2222][Thio]
.| № | Catalyst (wt.%) | Experimental Conditions | Method of Synthesis | Catalytic Properties | Yield of GD (%) | ||||||
|---|---|---|---|---|---|---|---|---|---|---|---|
| DMC (mmol) | Gly (mmol) | DMC/Gly (mol/mol) | T (oC) | Time (min) | Conversion of Gly (%) | Selectivity (%) | |||||
| GC | GD | ||||||||||
| 1 | 4.35 | 0.15 | 0.05 | 3/1 | 90 | 5 | MW | 85 | 38 | 62 | 52.7 |
| 2 | 8 | 0.1 | 0.05 | 2/1 | 90 | 5 | MW | 90 | 35 | 65 | 58.5 |
| 3 | 4.35 | 0.15 | 0.05 | 3/1 | 90 | 3 | MW | 90 | 31 | 69 | 62,.1 |
| 4 | 4.35 | 0.15 | 0.05 | 3/1 | 50 | 30 | MW | >99 | 32 | 68 | 67.3 |
| 5 | 4.35 | 0.15 | 0.05 | 3/1 | 250 | 30 | Autoclave | 56 | 35 | 65 | 36.4 |
| 6 | 0.5 | 0.15 | 0.05 | 3/1 | 90 | 90 | Autoclave | 60 | 45 | 55 | 33.0 |
| 7 | 4.35 | 0.15 | 0.05 | 3/1 | 90 | 90 | Flow-circulation reactor | >99 | 28 | 72 | 71.3 |
| 8 | 15 | 0.25 | 0.05 | 5/1 | 100 | 180 | Flow-circulation reactor | >99 | 22 | 78 | 77.2 |
| 9 | 2 | 0.4 | 0.05 | 8/1 | 120 | 10 | Flow-circulation reactor | >99 | 33 | 67 | 66.3 |
Disclaimer/Publisher’s Note: The statements, opinions and data contained in all publications are solely those of the individual author(s) and contributor(s) and not of MDPI and/or the editor(s). MDPI and/or the editor(s) disclaim responsibility for any injury to people or property resulting from any ideas, methods, instructions or products referred to in the content. |
© 2024 by the authors. Licensee MDPI, Basel, Switzerland. This article is an open access article distributed under the terms and conditions of the Creative Commons Attribution (CC BY) license (https://creativecommons.org/licenses/by/4.0/).
Share and Cite
Timofeeva, M.N.; Makova, A.S.; Bolotov, V.A.; Panchenko, V.N.; Kustov, L.M.; Parmon, V.N. The Potential of Microwave Technology for Glycerol Transformation: A Comprehensive Review. Catalysts 2024, 14, 921. https://doi.org/10.3390/catal14120921
Timofeeva MN, Makova AS, Bolotov VA, Panchenko VN, Kustov LM, Parmon VN. The Potential of Microwave Technology for Glycerol Transformation: A Comprehensive Review. Catalysts. 2024; 14(12):921. https://doi.org/10.3390/catal14120921
Chicago/Turabian StyleTimofeeva, Maria N., Anna S. Makova, Vasily A. Bolotov, Valentina N. Panchenko, Leonid M. Kustov, and Valentin N. Parmon. 2024. "The Potential of Microwave Technology for Glycerol Transformation: A Comprehensive Review" Catalysts 14, no. 12: 921. https://doi.org/10.3390/catal14120921
APA StyleTimofeeva, M. N., Makova, A. S., Bolotov, V. A., Panchenko, V. N., Kustov, L. M., & Parmon, V. N. (2024). The Potential of Microwave Technology for Glycerol Transformation: A Comprehensive Review. Catalysts, 14(12), 921. https://doi.org/10.3390/catal14120921












