GPpred: A Novel Sequence-Based Tool for Predicting Glutamic Proteases Using Optimized Hybrid Encodings
Abstract
1. Introduction
2. Results
2.1. Overview of the Dataset
2.2. Amino Acid Composition Comparison Between Glutamic and Non-Glutamic Proteases
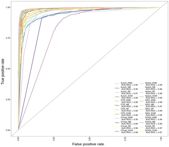
2.3. Assessment of ML Classifiers Utilizing the Original Feature Sets
2.4. Assessment of ML Classifiers After Feature Selection
2.5. Assessment of ML Classifiers Using Optimal Feature Encodings on Independent Validation Datasets
2.6. Availability as a Standalone Program
3. Discussion
4. Methods
4.1. Dataset Construction
4.2. Feature Encodings
4.2.1. Amino Acid Composition (AAC)
4.2.2. Autocorrelation (AutoC)
4.2.3. Composition (C), Transition (T), and Distribution (D) (CTD)
4.2.4. Conjoint Triad (CTriad)
4.2.5. Quasi-Sequence Order (QSO)
4.2.6. Sequence Order Coupling Number (SOCN)
4.3. Feature Selection
4.4. Machine Learning Classifiers
4.4.1. K-Nearest Neighbor (KNN)
4.4.2. Naïve Bayes (NB)
4.4.3. Random Forest (RF)
4.4.4. Support Vector Machine (SVM)
4.5. Evaluation Metrics
5. Conclusions
Supplementary Materials
Author Contributions
Funding
Data Availability Statement
Conflicts of Interest
References
- Rawlings, N.D.; Barrett, A.J.; Thomas, P.D.; Huang, X.; Bateman, A.; Finn, R.D. The MEROPS database of proteolytic enzymes, their substrates and inhibitors in 2017 and a comparison with peptidases in the PANTHER database. Nucleic Acids Res. 2018, 46, D624–D632. [Google Scholar] [CrossRef] [PubMed]
- Kos, J. Peptidases: Role and Function in Health and Disease. Int. J. Mol. Sci. 2023, 24, 7823. [Google Scholar] [CrossRef] [PubMed]
- Rawlings, N.D.; Bateman, A. How to use the MEROPS database and website to help understand peptidase specificity. Protein Sci. 2021, 30, 83–92. [Google Scholar] [CrossRef] [PubMed]
- Fujinaga, M.; Cherney, M.M.; Oyama, H.; Oda, K.; James, M.N. The molecular structure and catalytic mechanism of a novel carboxyl peptidase from Scytalidium lignicolum. Proc. Natl. Acad. Sci. USA 2004, 101, 3364–3369. [Google Scholar] [CrossRef] [PubMed]
- Sims, A.H.; Dunn-Coleman, N.S.; Robson, G.D.; Oliver, S.G. Glutamic protease distribution is limited to filamentous fungi. FEMS Microbiol. Lett. 2004, 239, 95–101. [Google Scholar] [CrossRef]
- Jensen, K.; Oestergaard, P.R.; Wilting, R.; Lassen, S.F. Identification and characterization of a bacterial glutamic peptidase. BMC Biochem. 2010, 11, 47. [Google Scholar] [CrossRef]
- Mann Krin, S.; Chisholm, J.; Sanfaçon, H. Strawberry Mottle Virus (Family Secoviridae, Order Picornavirales) Encodes a Novel Glutamic Protease to Process the RNA2 Polyprotein at Two Cleavage Sites. J. Virol. 2019, 93, e01679-18. [Google Scholar] [CrossRef]
- Xiang, Y.; Leiman, P.G.; Li, L.; Grimes, S.; Anderson, D.L.; Rossmann, M.G. Crystallographic Insights into the Autocatalytic Assembly Mechanism of a Bacteriophage Tail Spike. Mol. Cell 2009, 34, 375–386. [Google Scholar] [CrossRef]
- Lee, L.; Zhang, Y.; Ozar, B.; Sensen, C.W.; Schriemer, D.C. Carnivorous Nutrition in Pitcher Plants (Nepenthes spp.) via an Unusual Complement of Endogenous Enzymes. J. Proteome Res. 2016, 15, 3108–3117. [Google Scholar] [CrossRef]
- Ting, T.Y.; Baharin, A.; Ramzi, A.B.; Ng, C.-L.; Goh, H.-H. Neprosin belongs to a new family of glutamic peptidase based on in silico evidence. Plant Physiol. Biochem. 2022, 183, 23–35. [Google Scholar] [CrossRef]
- Morar, M.; Pengelly, K.; Koteva, K.; Wright, G.D. Mechanism and Diversity of the Erythromycin Esterase Family of Enzymes. Biochemistry 2012, 51, 1740–1751. [Google Scholar] [CrossRef] [PubMed]
- Zhang, X.; Abreu, J.G.; Yokota, C.; MacDonald, B.T.; Singh, S.; Coburn, K.L.; Cheong, S.M.; Zhang, M.M.; Ye, Q.Z.; Hang, H.C.; et al. Tiki1 Is Required for Head Formation via Wnt Cleavage-Oxidation and Inactivation. Cell 2012, 149, 1565–1577. [Google Scholar] [CrossRef] [PubMed]
- Sanchez-Pulido, L.; Ponting, C.P. Tiki, at the head of a new superfamily of enzymes. Bioinformatics 2013, 29, 2371–2374. [Google Scholar] [CrossRef] [PubMed]
- Zhang, X.; MacDonald, B.T.; Gao, H.; Shamashkin, M.; Coyle, A.J.; Martinez, R.V.; He, X. Characterization of Tiki, a New Family of Wnt-Specific Metalloproteases. J. Biol. Chem. 2016, 291, 2435–2443. [Google Scholar] [CrossRef] [PubMed]
- Hampton, S.E.; Dore, T.M.; Schmidt, W.K. Rce1: Mechanism and inhibition. Crit. Rev. Biochem. Mol. Biol. 2018, 53, 157–174. [Google Scholar] [CrossRef]
- Bouaïcha, N.; Miles, C.O.; Beach, D.G.; Labidi, Z.; Djabri, A.; Benayache, N.Y.; Nguyen-Quang, T. Structural Diversity, Characterization and Toxicology of Microcystins. Toxins 2019, 11, 714. [Google Scholar] [CrossRef]
- Xu, Q.; Fan, J.; Yan, H.; Ahmad, S.; Zhao, Z.; Yin, C.; Liu, X.; Liu, Y.; Zhang, H. Structural basis of microcystinase activity for biodegrading microcystin-LR. Chemosphere 2019, 236, 124281. [Google Scholar] [CrossRef]
- Antic, I.; Biancucci, M.; Zhu, Y.; Gius, D.R.; Satchell, K.J.F. Site-specific processing of Ras and Rap1 Switch I by a MARTX toxin effector domain. Nat. Commun. 2015, 6, 7396. [Google Scholar] [CrossRef]
- Jang, S.Y.; Hwang, J.; Kim, B.S.; Lee, E.-Y.; Oh, B.-H.; Kim, M.H. Structural basis of inactivation of Ras and Rap1 small GTPases by Ras/Rap1-specific endopeptidase from the sepsis-causing pathogen Vibrio vulnificus. J. Biol. Chem. 2018, 293, 18110–18122. [Google Scholar] [CrossRef]
- Oda, K.; Wlodawer, A. Overview of the Properties of Glutamic Peptidases That Are Present in Plant and Bacterial Pathogens and Play a Role in Celiac Disease and Cancer. Biochemistry 2023, 62, 672–694. [Google Scholar] [CrossRef]
- Altschul, S.F.; Gish, W.; Miller, W.; Myers, E.W.; Lipman, D.J. Basic local alignment search tool. J. Mol. Biol. 1990, 215, 403–410. [Google Scholar] [CrossRef] [PubMed]
- Camacho, C.; Coulouris, G.; Avagyan, V.; Ma, N.; Papadopoulos, J.; Bealer, K.; Madden, T.L. BLAST+: Architecture and applications. BMC Bioinform. 2009, 10, 421. [Google Scholar] [CrossRef] [PubMed]
- Apweiler, R.; Bairoch, A.; Wu, C.H.; Barker, W.C.; Boeckmann, B.; Ferro, S.; Gasteiger, E.; Huang, H.; Lopez, R.; Magrane, M.; et al. UniProt: The Universal Protein Knowledgebase. Nucleic Acids Res. 2004, 32, 115–119. [Google Scholar] [CrossRef] [PubMed]
- Oda, K. New families of carboxyl peptidases: Serine-carboxyl peptidases and glutamic peptidases. J. Biochem. 2012, 151, 13–25. [Google Scholar] [CrossRef]
- Murdoch, W.J.; Singh, C.; Kumbier, K.; Abbasi-Asl, R.; Yu, B. Definitions, methods, and applications in interpretable machine learning. Proc. Natl. Acad. Sci. USA 2019, 116, 22071–22080. [Google Scholar] [CrossRef]
- Jumper, J.; Evans, R.; Pritzel, A.; Green, T.; Figurnov, M.; Ronneberger, O.; Tunyasuvunakool, K.; Bates, R.; Žídek, A.; Potapenko, A.; et al. Highly accurate protein structure prediction with AlphaFold. Nature 2021, 596, 583–589. [Google Scholar] [CrossRef]
- Firoz, A.; Malik, A.; Ali, H.M.; Akhter, Y.; Manavalan, B.; Kim, C.B. PRR-HyPred: A two-layer hybrid framework to predict pattern recognition receptors and their families by employing sequence encoded optimal features. Int. J. Biol. Macromol. 2023, 234, 123622. [Google Scholar] [CrossRef]
- Dao, F.-Y.; Liu, M.L.; Su, W.; Lv, H.; Zhang, Z.Y.; Lin, H.; Liu, L. AcrPred: A hybrid optimization with enumerated machine learning algorithm to predict Anti-CRISPR proteins. Int. J. Biol. Macromol. 2023, 228, 706–714. [Google Scholar] [CrossRef]
- Kurata, H.; Tsukiyama, S.; Manavalan, B. iACVP: Markedly enhanced identification of anti-coronavirus peptides using a dataset-specific word2vec model. Brief. Bioinform. 2022, 23, bbac265. [Google Scholar] [CrossRef]
- Manavalan, B.; Patra, M.C. MLCPP 2.0: An Updated Cell-penetrating Peptides and Their Uptake Efficiency Predictor. J. Mol. Biol. 2022, 434, 167604. [Google Scholar] [CrossRef]
- Firoz, A.; Malik, A.; Joplin, K.H.; Ahmad, Z.; Jha, V.; Ahmad, S. Residue propensities, discrimination and binding site prediction of adenine and guanine phosphates. BMC Biochem. 2011, 12, 20. [Google Scholar] [CrossRef] [PubMed]
- Malik, A.; Ahmad, S. Sequence and structural features of carbohydrate binding in proteins and assessment of predictability using a neural network. BMC Struct. Biol. 2007, 7, 1. [Google Scholar] [CrossRef] [PubMed][Green Version]
- Ullah, M.; Han, K.; Hadi, F.; Xu, J.; Song, J.; Yu, D.J. PScL-HDeep: Image-based prediction of protein subcellular location in human tissue using ensemble learning of handcrafted and deep learned features with two-layer feature selection. Brief. Bioinform. 2021, 22, bbab278. [Google Scholar] [CrossRef] [PubMed]
- Deng, J.; Yang, Z.; Ojima, I.; Samaras, D.; Wang, F. Artificial intelligence in drug discovery: Applications and techniques. Brief. Bioinform. 2021, 23, bbab430. [Google Scholar] [CrossRef]
- Malik, A.; Subramaniyam, S.; Kim, C.B.; Manavalan, B. SortPred: The first machine learning based predictor to identify bacterial sortases and their classes using sequence-derived information. Comput. Struct. Biotechnol. J. 2022, 20, 165–174. [Google Scholar] [CrossRef]
- Malik, A.; Kamli, M.R.; Sabir, J.S.; Rather, I.A.; Phan, L.T.; Kim, C.-B.; Manavalan, B. APLpred: A machine learning-based tool for accurate prediction and characterization of asparagine peptide lyases using sequence-derived optimal features. Methods 2024, 229, 133–146. [Google Scholar] [CrossRef]
- Malik, A.; Mahajan, N.; Dar, T.A.; Kim, C.-B. C10Pred: A First Machine Learning Based Tool to Predict C10 Family Cysteine Peptidases Using Sequence-Derived Features. Int. J. Mol. Sci. 2022, 23, 9518. [Google Scholar] [CrossRef]
- Jeon, H.; Oh, S. Hybrid-Recursive Feature Elimination for Efficient Feature Selection. Appl. Sci. 2020, 10, 3211. [Google Scholar] [CrossRef]
- Qiu, W.-R.; Xu, A.; Xu, Z.-C.; Zhang, C.-H.; Xiao, X. Identifying Acetylation Protein by Fusing Its PseAAC and Functional Domain Annotation. Front. Bioeng. Biotechnol. 2019, 7, 311. [Google Scholar] [CrossRef]
- Fu, L.; Niu, B.; Zhu, Z.; Wu, S.; Li, W. CD-HIT: Accelerated for clustering the next-generation sequencing data. Bioinformatics 2012, 28, 3150–3152. [Google Scholar] [CrossRef]
- Kuhn, M. Building Predictive Models in R Using the Caret Package. J. Stat. Softw. 2008, 28, 1–26. [Google Scholar] [CrossRef]
- Xiao, N.; Cao, D.S.; Zhu, M.F.; Xu, Q.S. protr/ProtrWeb: R package and web server for generating various numerical representation schemes of protein sequences. Bioinformatics 2015, 31, 1857–1859. [Google Scholar] [CrossRef] [PubMed]
- Chou, K.-C. Prediction of Protein Subcellular Locations by Incorporating Quasi-Sequence-Order Effect. Biochem. Biophys. Res. Commun. 2000, 278, 477–483. [Google Scholar] [CrossRef] [PubMed]
- Chou, K.-C. Prediction of protein cellular attributes using pseudo-amino acid composition. Proteins Struct. Funct. Bioinform. 2001, 43, 246–255. [Google Scholar] [CrossRef]
- Dubchak, I.; Muchnik, I.; Holbrook, S.R.; Kim, S.H. Prediction of protein folding class using global description of amino acid sequence. Proc. Natl. Acad. Sci. USA 1995, 92, 8700–8704. [Google Scholar] [CrossRef]
- Malik, A.; Kamli, M.R.; Sabir, J.S.; Phan, L.T.; Kim, C.-B.; Manavalan, B. RDR100: A Robust Computational Method for Identification of Krüppel-like Factors. Curr. Bioinform. 2024, 19, 584–599. [Google Scholar] [CrossRef]
- Chen, C.; Zhang, Q.; Ma, Q.; Yu, B. LightGBM-PPI: Predicting protein-protein interactions through LightGBM with multi-information fusion. Chemom. Intell. Lab. Syst. 2019, 191, 54–64. [Google Scholar] [CrossRef]
- Dubchak, I.; Muchnik, I.; Mayor, C.; Dralyuk, I.; Kim, S.H. Recognition of a protein fold in the context of the SCOP classification. Proteins Struct. Funct. Bioinform. 1999, 35, 401–407. [Google Scholar] [CrossRef]
- Shen, J.; Zhang, J.; Luo, X.; Zhu, W.; Yu, K.; Chen, K.; Li, Y.; Jiang, H. Predicting protein–protein interactions based only on sequences information. Proc. Natl. Acad. Sci. USA 2007, 104, 4337–4341. [Google Scholar] [CrossRef]
- Akbar, S.; Hayat, M.; Tahir, M.; Chong, K.T. cACP-2LFS: Classification of anticancer peptides using sequential discriminative model of KSAAP and two-level feature selection approach. IEEE Access 2020, 8, 131939–131948. [Google Scholar] [CrossRef]
- Ong, S.A.K.; Lin, H.H.; Chen, Y.Z.; Li, Z.R.; Cao, Z. Efficacy of different protein descriptors in predicting protein functional families. BMC Bioinform. 2007, 8, 300. [Google Scholar] [CrossRef] [PubMed]
- van den Berg, B.A.; Reinders, M.J.; Roubos, J.A.; Ridder, D. de SPiCE: A Web-Based Tool for Sequence-Based Protein Classification and Exploration. BMC Bioinform. 2014, 15, 93. [Google Scholar] [CrossRef] [PubMed]
- R Core Team. R: A Language and Environment for Statistical Computing; R Foundation for Statistical Computing: Vienna, Austria, 2021. [Google Scholar]
- Ahmad, A.; Akbar, S.; Hayat, M.; Ali, F.; Khan, S.; Sohail, M. Identification of Antioxidant Proteins Using a Discriminative Intelligent Model of K-Spaced Amino Acid Pairs Based Descriptors Incorporating with Ensemble Feature Selection. Biocybern. Biomed. Eng. 2020, 42, 727–735. [Google Scholar] [CrossRef]
- Shen, H.; Chou, K.C. Using optimized evidence-theoretic K-nearest neighbor classifier and pseudo-amino acid composition to predict membrane protein types. Biochem. Biophys. Res. Commun. 2005, 334, 288–292. [Google Scholar] [CrossRef]
- Rish, I. An Empirical Study of the Naive Bayes Classifier; T.J. Watson Research Cente: Yorktown Heights, NY, USA, 2001. [Google Scholar]
- Abbas, Z.; Tayara, H.; Chong, K.T. Alzheimer’s disease prediction based on continuous feature representation using multi-omics data integration. Chemom. Intell. Lab. Syst. 2022, 223, 104536. [Google Scholar] [CrossRef]
- Breiman, L. Random Forests. Mach. Learn. 2001, 45, 5–32. [Google Scholar] [CrossRef]
- Jo, T.; Cheng, J. Improving protein fold recognition by random forest. BMC Bioinform. 2014, 15, S14. [Google Scholar] [CrossRef]
- Li, J.; Wu, J.; Chen, K. PFP-RFSM: Protein fold prediction by using random forests and sequence motifs. J. Biomed. Sci. Eng. 2013, 6, 10. [Google Scholar] [CrossRef]
- Waris, M.; Ahmad, K.; Kabir, M.; Hayat, M. Identification of DNA binding proteins using evolutionary profiles position specific scoring matrix. Neurocomputing 2016, 199, 154–162. [Google Scholar] [CrossRef]
- Hayat, M.; Khan, A.; Yeasin, M. Prediction of membrane proteins using split amino acid and ensemble classification. Amino Acids 2012, 42, 2447–2460. [Google Scholar] [CrossRef]
- Ma, X.; Guo, J.; Sun, X. DNABP: Identification of DNA-Binding Proteins Based on Feature Selection Using a Random Forest and Predicting Binding Residues. PLoS ONE 2016, 11, e0167345. [Google Scholar] [CrossRef] [PubMed]
- Sabooh, M.F.; Iqbal, N.; Khan, M.; Khan, M.; Maqbool, H. Identifying 5-methylcytosine sites in RNA sequence using composite encoding feature into Chou’s PseKNC. J. Theor. Biol. 2018, 452, 1–9. [Google Scholar] [CrossRef] [PubMed]
- Ahmed, S.; Arif, M.; Kabir, M.; Khan, K.; Khan, Y.D. PredAoDP: Accurate identification of antioxidant proteins by fusing different descriptors based on evolutionary information with support vector machine. Chemom. Intell. Lab. Syst. 2022, 228, 104623. [Google Scholar] [CrossRef]
- Akbar, S.; Hayat, M. iMethyl-STTNC: Identification of N6-methyladenosine sites by extending the idea of SAAC into Chou’s PseAAC to formulate RNA sequences. J. Theor. Biol. 2018, 455, 205–211. [Google Scholar] [CrossRef]
- Ali, F.; Arif, M.; Khan, Z.U.; Kabir, M.; Ahmed, S.; Yu, D.-J. SDBP-Pred: Prediction of single-stranded and double-stranded DNA-binding proteins by extending consensus sequence and K-segmentation strategies into PSSM. Anal. Biochem. 2020, 589, 113494. [Google Scholar] [CrossRef]







| Method | Features | Accuracy | Sensitivity | Specificity | MCC |
|---|---|---|---|---|---|
| SVM | Hybrid | 0.973 | 0.970 | 0.977 | 0.947 |
| SVM | QSO | 0.964 | 0.964 | 0.964 | 0.928 |
| SVM | CTD | 0.964 | 0.960 | 0.967 | 0.927 |
| RF | CTD | 0.961 | 0.958 | 0.965 | 0.923 |
| RF | Hybrid | 0.961 | 0.964 | 0.957 | 0.922 |
| KNN | QSO | 0.960 | 0.962 | 0.958 | 0.921 |
| SVM | AAC | 0.958 | 0.965 | 0.951 | 0.916 |
| KNN | AAC | 0.956 | 0.970 | 0.941 | 0.911 |
| KNN | CTD | 0.954 | 0.959 | 0.949 | 0.908 |
| RF | QSO | 0.954 | 0.957 | 0.951 | 0.908 |
| RF | AAC | 0.950 | 0.951 | 0.949 | 0.900 |
| SVM | AutoC | 0.948 | 0.951 | 0.944 | 0.895 |
| SVM | CTriad | 0.942 | 0.937 | 0.946 | 0.883 |
| KNN | Hybrid | 0.939 | 0.977 | 0.901 | 0.881 |
| RF | CTriad | 0.934 | 0.926 | 0.942 | 0.868 |
| NB | AAC | 0.930 | 0.923 | 0.936 | 0.859 |
| SVM | SOCN | 0.929 | 0.933 | 0.926 | 0.858 |
| NB | CTD | 0.927 | 0.920 | 0.933 | 0.853 |
| RF | SOCN | 0.920 | 0.929 | 0.911 | 0.840 |
| KNN | SOCN | 0.905 | 0.945 | 0.866 | 0.813 |
| NB | Hybrid | 0.906 | 0.910 | 0.902 | 0.812 |
| RF | AutoC | 0.906 | 0.895 | 0.918 | 0.812 |
| NB | QSO | 0.900 | 0.900 | 0.900 | 0.799 |
| KNN | CTriad | 0.884 | 0.960 | 0.808 | 0.777 |
| NB | CTriad | 0.851 | 0.903 | 0.799 | 0.705 |
| NB | AutoC | 0.831 | 0.835 | 0.827 | 0.663 |
| NB | SOCN | 0.813 | 0.907 | 0.720 | 0.638 |
| KNN | AutoC | 0.580 | 0.162 | 0.998 | 0.291 |
| Method | Features | Accuracy | Sensitivity | Specificity | MCC |
|---|---|---|---|---|---|
| RF | Hybrid | 0.971 | 0.967 | 0.975 | 0.942 |
| SVM | Hybrid | 0.971 | 0.968 | 0.974 | 0.942 |
| SVM | CTD | 0.966 | 0.966 | 0.965 | 0.931 |
| SVM | QSO | 0.963 | 0.962 | 0.963 | 0.926 |
| RF | CTD | 0.962 | 0.960 | 0.963 | 0.923 |
| KNN | Hybrid | 0.961 | 0.975 | 0.948 | 0.923 |
| KNN | QSO | 0.959 | 0.967 | 0.951 | 0.918 |
| KNN | CTD | 0.956 | 0.963 | 0.950 | 0.913 |
| RF | QSO | 0.954 | 0.957 | 0.951 | 0.909 |
| SVM | AutoC | 0.951 | 0.951 | 0.950 | 0.901 |
| SVM | CTriad | 0.948 | 0.947 | 0.948 | 0.895 |
| NB | Hybrid | 0.933 | 0.923 | 0.944 | 0.867 |
| RF | CTriad | 0.933 | 0.925 | 0.942 | 0.867 |
| NB | CTD | 0.931 | 0.925 | 0.937 | 0.862 |
| SVM | SOCN | 0.929 | 0.931 | 0.927 | 0.857 |
| NB | QSO | 0.920 | 0.914 | 0.926 | 0.840 |
| RF | SOCN | 0.918 | 0.928 | 0.909 | 0.837 |
| KNN | SOCN | 0.910 | 0.945 | 0.876 | 0.823 |
| RF | AutoC | 0.906 | 0.903 | 0.909 | 0.812 |
| KNN | CTriad | 0.884 | 0.960 | 0.807 | 0.776 |
| NB | AutoC | 0.882 | 0.864 | 0.900 | 0.764 |
| NB | CTriad | 0.875 | 0.914 | 0.836 | 0.752 |
| KNN | AutoC | 0.808 | 0.623 | 0.993 | 0.662 |
| NB | SOCN | 0.810 | 0.906 | 0.714 | 0.632 |
| Method | Features | Accuracy | Sensitivity | Specificity | MCC |
|---|---|---|---|---|---|
| SVM | Hybrid | 0.972 | 0.972 | 0.971 | 0.944 |
| RF | Hybrid | 0.970 | 0.970 | 0.970 | 0.940 |
| SVM | QSO | 0.969 | 0.973 | 0.965 | 0.938 |
| SVM | CTD | 0.966 | 0.970 | 0.962 | 0.933 |
| RF | CTD | 0.962 | 0.963 | 0.960 | 0.923 |
| KNN | Hybrid | 0.961 | 0.976 | 0.946 | 0.923 |
| KNN | QSO | 0.961 | 0.970 | 0.952 | 0.922 |
| KNN | CTD | 0.958 | 0.972 | 0.944 | 0.916 |
| RF | QSO | 0.955 | 0.970 | 0.940 | 0.910 |
| SVM | AutoC | 0.951 | 0.961 | 0.942 | 0.903 |
| SVM | CTriad | 0.945 | 0.945 | 0.945 | 0.891 |
| NB | Hybrid | 0.939 | 0.941 | 0.937 | 0.878 |
| RF | CTriad | 0.938 | 0.938 | 0.938 | 0.876 |
| NB | CTD | 0.938 | 0.940 | 0.936 | 0.876 |
| SVM | SOCN | 0.931 | 0.941 | 0.921 | 0.862 |
| NB | QSO | 0.923 | 0.934 | 0.913 | 0.847 |
| RF | SOCN | 0.915 | 0.934 | 0.897 | 0.831 |
| RF | AutoC | 0.914 | 0.923 | 0.905 | 0.828 |
| KNN | SOCN | 0.906 | 0.950 | 0.863 | 0.816 |
| NB | AutoC | 0.889 | 0.880 | 0.899 | 0.779 |
| KNN | CTriad | 0.880 | 0.972 | 0.787 | 0.773 |
| NB | CTriad | 0.859 | 0.933 | 0.784 | 0.725 |
| KNN | AutoC | 0.818 | 0.645 | 0.991 | 0.678 |
| NB | SOCN | 0.797 | 0.907 | 0.687 | 0.608 |
Disclaimer/Publisher’s Note: The statements, opinions and data contained in all publications are solely those of the individual author(s) and contributor(s) and not of MDPI and/or the editor(s). MDPI and/or the editor(s) disclaim responsibility for any injury to people or property resulting from any ideas, methods, instructions or products referred to in the content. |
© 2024 by the authors. Licensee MDPI, Basel, Switzerland. This article is an open access article distributed under the terms and conditions of the Creative Commons Attribution (CC BY) license (https://creativecommons.org/licenses/by/4.0/).
Share and Cite
Firoz, A.; Malik, A.; Mahajan, N.; Ali, H.M.; Kamli, M.R.; Kim, C.-B. GPpred: A Novel Sequence-Based Tool for Predicting Glutamic Proteases Using Optimized Hybrid Encodings. Catalysts 2024, 14, 894. https://doi.org/10.3390/catal14120894
Firoz A, Malik A, Mahajan N, Ali HM, Kamli MR, Kim C-B. GPpred: A Novel Sequence-Based Tool for Predicting Glutamic Proteases Using Optimized Hybrid Encodings. Catalysts. 2024; 14(12):894. https://doi.org/10.3390/catal14120894
Chicago/Turabian StyleFiroz, Ahmad, Adeel Malik, Nitin Mahajan, Hani Mohammed Ali, Majid Rasool Kamli, and Chang-Bae Kim. 2024. "GPpred: A Novel Sequence-Based Tool for Predicting Glutamic Proteases Using Optimized Hybrid Encodings" Catalysts 14, no. 12: 894. https://doi.org/10.3390/catal14120894
APA StyleFiroz, A., Malik, A., Mahajan, N., Ali, H. M., Kamli, M. R., & Kim, C.-B. (2024). GPpred: A Novel Sequence-Based Tool for Predicting Glutamic Proteases Using Optimized Hybrid Encodings. Catalysts, 14(12), 894. https://doi.org/10.3390/catal14120894

