Next Article in Journal
Co-Ce Clay-Based Materials: Their Feasibility as Catalysts for Soot and CO Oxidation Reactions
Previous Article in Journal
Transition-Metal-Catalyzed C(sp3)–H Alkylation of Methyl Heteroarenes with Alcohols
 
 
Font Type:
Arial Georgia Verdana
Font Size:
Aa Aa Aa
Line Spacing:
Column Width:
Background:
Article

Enhanced Visible-Light Photocatalysis Activity of TiO2/Ag Nanocomposites Prepared by the Ultrasound-Assisted Sol–Gel Method: Characterization and Degradation–Mineralization of Cationic and Anionic Dyes

1
Department of Process Engineering, Faculty of Sciences and Technology, Djilali Bounaama University of Khemis-Miliana, Theniat El-Had Road, Khemis-Miliana, Ain-Defla 44225, Algeria
2
Laboratory of Reaction Engineering, Faculty of Mechanical Engineering and Process Engineering, University of Science and Technology Houari Boumediene (USTHB), BP 32 El Alia, Algiers 16111, Algeria
3
Department of Industrial Engineering, University of Salerno, Via Giovanni Paolo II, 132, 84084 Fisciano, SA, Italy
4
Laboratory of Storage and Valorization of Renewable Energies, Faculty of Chemistry, University of Science and Technology Houari Boumediene (USTHB), BP 32 El Alia, Algiers 16111, Algeria
*
Author to whom correspondence should be addressed.
Catalysts 2024, 14(12), 883; https://doi.org/10.3390/catal14120883
Submission received: 1 November 2024 / Revised: 24 November 2024 / Accepted: 27 November 2024 / Published: 3 December 2024

Abstract

Coupling TiO2 with various elements could enhance its photocatalytic activity. In this study, an innovative ultrasound-assisted sol–gel method was used to synthesize TiO2/Ag(x%) by varying Ag–support mass (x = 9.3, 17.1, and 23.6%), followed by calcination at 450 °C for 30 min. The aim was to demonstrate that Ag compositing improves photoactivity under visible light (>400 nm). The synthesized photocatalysts were assessed for their effectiveness in the degradation and mineralization of Methylene Blue (MB) and Acid Orange 7 (AO7) using visible lamps emitting in the range of 400–800 nm. Characterization of the prepared photocatalysts was performed by using Raman spectroscopy, SEM/EDS, pHpzc, and UV–visible spectroscopy. Raman spectroscopy confirmed the predominance of the anatase phase in all the photocatalysts. The photodegradation efficiencies of the selected dyes, MB and AO7, reached 99% (pH 6) and 95% (pH 3) after 180 min of irradiation, respectively. The best performance for the degradation of the two dyes was observed with TiO2/Ag9.3%, showing optimal kinetics at this doping concentration. The improved photoactivity of the TiO2/Ag composite is due to a decrease in the recombination rate of electron/hole (e/h+) and a decrease in the band gap from 3.13 to 2.49 eV. The mineralization rate of both dyes under visible light is about 9.3%, indicating the presence of refractory by-products that resist complete degradation. Under UVA irradiation, complete mineralization is obtained. This study confirms the potential of TiO2/Ag composite as a high-performance and cost-effective photocatalyst for solar environmental remediation, highlighting the role of silver in extending light absorption into the visible region and improving charge separation.

1. Introduction

The contamination of water resources by industrial effluents, particularly synthetic dyes, has become a critical environmental concern in recent years. Industrial processes such as textiles, leather production, plastics manufacturing, and paper industries contribute significantly to the release of refractory organic dyes into water bodies, leading to long-term environmental and health risks [1,2].
Methylene Blue (MB), a cationic dye, and Acid Orange 7 (AO7), an anionic dye, are among the most persistent and toxic dyes [3,4]; they are detected in industrial wastewater due to their widespread use and resistance to conventional wastewater treatment processes [5,6]. Their diverse ionic nature presents a significant challenge in treatment methods and represents the spectrum of contaminants typically found in wastewater, making their removal essential [7,8].
Conventional wastewater treatment methods such as chemical precipitation, coagulation, and biological degradation are often ineffective for the complete removal of these dyes, especially at low concentrations, where their complex aromatic structures make them highly resistant to biodegradation [9]. The persistence of these dyes in the aquatic environment not only poses direct toxicity to aquatic organisms but also results in severe impacts on human health, including carcinogenicity and mutagenicity [10,11]. To address these challenges, advanced oxidation processes (AOPs) have emerged as an effective alternative for the degradation of recalcitrant organic compounds in aqueous environments [12,13]. Among these, heterogeneous photocatalysis has been highlighted as a green and sustainable method, driven by the use of semiconductor materials to generate reactive oxygen species (ROS), such as hydroxyl radicals (OH), that degrade organic pollutants into less harmful by-products [14,15].
Titanium dioxide (TiO2) is one of the most widely studied photocatalysts due to its excellent chemical stability, strong oxidative potential, and low toxicity [16,17]. However, its practical application for wastewater treatment is constrained by its wide band gap (~3.2 eV), which restricts its photocatalytic activity to the ultraviolet (UV) region, representing only about 5% of solar radiation [18,19]. This limitation has prompted significant research efforts aimed at enhancing the visible-light response of TiO2-based photocatalysts by various doping and structural modification strategies [20,21,22].
One of the most promising approaches to extending TiO2 activity into the visible spectrum is the development of core–shell nanocomposites incorporating noble metals such as silver (Ag), gold (Au), and platinum (Pt) [23,24,25]. These metals can exploit localized surface plasmon resonance (LSPR) effects, which generate energetic electrons under visible-light irradiation. These “hot electrons” can be transferred to the TiO2 shell, extending its light absorption into the visible range and improving photocatalytic activity [26,27,28,29]. Ag/TiO2 core–shell photocatalysts, in particular, have shown considerable promise for the remotion of various pollutants due to their unique electronic properties and high efficiency [30,31,32,33,34].
Numerous studies have demonstrated the effectiveness of noble metal-TiO2 core–shell composites for the degradation of both cationic and anionic dyes. For instance, Yang et al. (2013) showed that methyl orange was degraded by over 92% in 50 min using Ag/TiO2 core–shell structures irradiated by UV light [33].
Similarly, Chen et al. (2014) reported a 99% degradation of Methylene Blue within 120 min using Ag/TiO2 composites under visible-light irradiation, showcasing its potential for cationic pollutant removal [34]. This system benefits from the plasmonic effect of silver, which enhances the photocatalytic reaction by facilitating charge separation and reducing electron–hole recombination [35].
The application of noble metal-TiO2 core–shell composites extends beyond dye degradation, with significant progress in addressing various organic pollutants. For instance, Wu et al. (2020) achieved over 95% degradation of methyl orange, a cationic dye, within 60 min using Au/TiO2 nanocomposites under ultraviolet light irradiation [36]. Similarly, Alshammari et al. (2020) reported an 86% reduction in 4-nitrophenol to 4-aminophenol within 10 min using Pd/TiO2 core–shell structures [37]. Furthermore, a recent study investigated the effectiveness of a Pt/TiO2 composite for phenol removal using a continuous flow trickle-bed photoreactor, achieving a high and stable phenol degradation with 97% conversion maintained over 52 h [38]. These findings underscore the versatility of noble metal core–shell photocatalysts in treating a wide range of organic contaminants in aqueous environments.
Advancements in the design and optimization of core–shell photocatalysts have further enhanced their photocatalytic performance. Adjustments in silver nanoparticle size and TiO2 shell thickness have been shown to significantly influence the efficiency of Ag/TiO2 composites, with smaller core sizes and thinner shells resulting in faster reaction rates due to more efficient charge transfer [39,40]. Additionally, bimetallic core–shell structures, such as Ag-Au/TiO2, have been investigated for their superior plasmonic properties, leading to improved degradation of dyes and pharmaceuticals [41,42]. These innovations are paving the way for more efficient and scalable water treatment technologies. Despite significant progress in this field, challenges remain in optimizing the synthesis, stability, and scalability of noble metal-TiO2 core–shell photocatalysts for large-scale wastewater treatment applications. This study focuses on the photocatalytic degradation of Methylene Blue and Acid Orange 7 using Ag/TiO2 core–shell nanocomposites under visible-light irradiation. This work aims to provide new insights into the structural and functional parameters that influence photocatalytic efficiency and to explore the potential of these materials for practical wastewater treatment applications.

2. Experimental

2.1. Chemicals

Reagents used for the preparation of the visible-light active TiO2/Ag composite nanoparticles are titanium (IV) isopropoxide TTIP (>97%, Sigma-Aldrich, St. Louis, MO, USA) and spherical silver nano-powder (30–50 nm, 99.99%, nano-shell). The two pollutants selected for this study were Methylene Blue (MB, cationic dye) and Acid Orange (AO7, anionic dye), both of high purity ≥ 99%, supplied both by Sigma-Aldrich. Deionized (DI) water (obtained with Milli-Q, from Millipore Corporation, Burlington, MA, USA) was used to prepare all electrolytic solutions.

2.2. Preparation of TiO2/Ag Composite Photocatalysts

TiO2/Ag composite core–shell nanoparticles were synthesized using an ultrasound-assisted sol–gel method. Various amounts of Ag powder nanoparticles (337.33 mg, 674.66 mg, and 1.012 g) were dispersed in 50 mL of distilled water and subjected to ultrasonication for 20 min at a room temperature of 20 °C to achieve TiO2/Ag photocatalysts with weight percentages of 9.3%, 17.1%, and 23.6% of Ag relative to TiO2. Subsequently, 12.5 mL of TTIP solution was added dropwise to the Ag suspension under sonication for 10 min at 20 °C. The resulting mixture was then transferred to a crucible, dried at 105 °C for 4 h, and, finally, calcined at 450 °C for 30 min. The samples were named in Table 1.

2.3. Nanoparticles Characterization

The point of zero charge (pHpzc) of prepared semiconductors was determined following the method described elsewhere [43]. The mass titration method was for the determination of the net charge of nanoparticles in solution. This technique consists of measuring the pH value that becomes constant with the increasing mass of the solid in a volume of water. Under these conditions, it has been observed that the pH of the nanoparticle suspension depends on the amount of powder in DI water up to a final value.
The structure, crystallinity, and defects of the synthesized nanoparticles were examined using a Renishaw InVia Raman microscope (Wotton-under-Edge, UK) with a 633 nm excitation from a He-Ne laser. The chemical composition was evaluated by Scanning Electron Microscopy (SEM, JEOL-JSM 6360, Tokyo, Japan) combined with energy-dispersive X-ray spectroscopy (EDS). The specific surface area, volume, and pore diameter were measured from the N2 adsorption isotherms at 77 K using the BET methodology and a Costech Sorptometer 1042 instrument (Costech International, Pioltello (MI) Italy) on powder samples. Additionally, the UV–visible diffuse reflectance spectra (UV-Vis DRS) of the samples were measured with a Perkin Elmer Lambda 35 spectrophotometer (Waltham, MA, USA) equipped with a reflectance spectroscopy accessory (RSA-PE-20, Labsphere Inc., North Sutton, NH, USA). The band gap values were determined by plotting [F(R)∙hν]2 against hν (eV), where F(R) represents the Kubelka–Munk function and R is the absolute reflectance of the samples.
F ( R )   = ( 1 R ) 2 2 R  

2.4. Photocatalysis Tests of BM and AO7 Under Visible Light

The photocatalytic activity of TiO2/Ag composite was evaluated for its ability to degrade MB and AO7 under visible light. Photocatalytic experiments were conducted in a cylindrical open beaker (200 mL capacity, ∅ = 8 cm). Two visible-light lamps (Osram Lumilux T5 8W—640 Blanc Froid 29 cm, Osram, Milano, Italy), each with a power of 8 W and emitting light in the range (400–800 nm), were positioned around the reactor to ensure a uniform illumination of the solution (30 mW/cm2). Oxygen was supplied to the solution thanks to an air distributor at a flow rate of 150 Ncm3/min. Continuous stirring prevented the catalyst from settling to the bottom of the photoreactor during illumination; a cooling fan kept the temperature below 30 °C.
The initial concentrations of MB and AO7 were 7 and 10 mg/L, respectively, treating a 100 mL solution with a photocatalyst dose of 3 g/L. Prior to initiating the photocatalytic reaction, the suspension was kept in the dark for 60 min to achieve adsorption/desorption equilibrium on the photocatalyst surface. Then, the visible-light lamps were turned on for 180 min. At regular intervals, samples (3 mL) were removed from the reactor and the remaining concentrations of MB and AO7 were analyzed by UV-Vis spectrophotometry (Thermo Fisher Scientific, Waltham, MA, USA). The decolorization of the solutions was evaluated by measuring their maximum absorbance of AO7 (λmax = 485 nm) and MB (λmax = 663 nm). The photocatalytic efficiency is calculated using the following relation:
%     photocatalytic   efficiency   = ( C 0 C t ) C 0 100  
where C0 is the initial dye concentration (mg L−1) and Ct is the concentration at time t (mg L−1).
The photoactivity was assessed by measuring the total organic carbon (TOC) of AO7 and MB, a parameter that quantifies the extent of the dye mineralization and was measured over irradiation time. The physical TOC of the solution was determined from CO2 produced by catalytic combustion at a temperature of 680 °C The gas-phase analysis of CO and CO2 emitted from the photoreactor was continuously monitored using specific on-line analyzers (ABB Advance Optima, ABB, Milano, Italy). CO2 generated in the gas phase was monitored using continuous analyzers that measured the concentrations of CO2, CO (Uras 14, ABB), and O2 (Magnos 106, ABB) [44,45]. The extent of dye mineralization was calculated from the following equation:
%   Mineralization   efficiency = ( T O C 0 T O C t ) T O C 0 100  
where TOC0 is the initial value and TOCt is the value at time t.

3. Results and Discussion

3.1. Characterization of TiO2/Ag Composites

3.1.1. pHPZC

Since photocatalysis occurs at the catalyst surface, the pH is a critical parameter for the photocatalytic degradation of dyes. Identifying pHpzc (point of zero charge) is essential for accurately predicting the surface charge of nanoparticles during photodegradation. Indeed, the performance of the photocatalyst is significantly influenced by the solution pH, as it affects the catalyst’s ability to adsorb pollutants. The pHpzc values of TiO2, TiO2/Ag(9.3%), TiO2/Ag(17.1%), and TiO2/Ag(23.6%) were found to be 5.48, 6.55, 7.29, and 7.14, respectively (Figure 1 and Table 2). The high pHpzc values of TiO2/Ag composite compared to pure TiO2 are likely due to the presence of additional surface OH groups introduced by the Ag doping. Below pHpzc, the catalyst surface is positively charged, while it becomes negative above pHpzc.
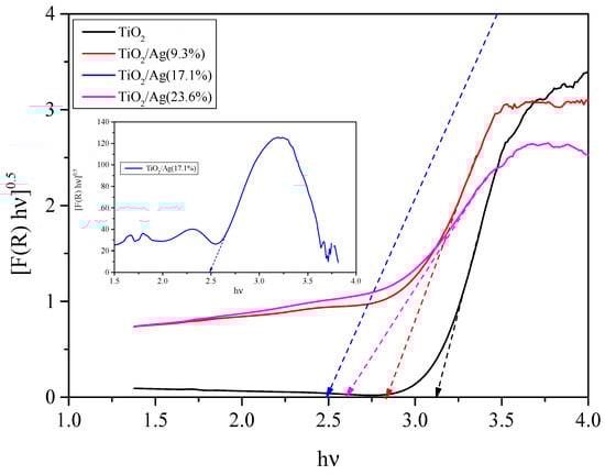
The impact of Ag in the TiO2 heterojunction was investigated by UV–Vis spectrophotometry. The UV–Vis absorbance spectra for bare TiO2 and TiO2 doped with 9.3%, 17.1%, and 23.6% Ag are illustrated in Figure 2. Unlike TiO2, which absorbs in the UV region, TiO2/Ag shifts the absorbance toward the visible-light region (>380 nm, red shift) [46]. This shift indicates that TiO2/Ag composites perform better as light harvesters, showing a more pronounced UV transmittance peak and enhanced visibility due to increased absorption in the visible region. Increasing the silver percentage from 9.3 to 23.6% enhances the photoactivity of TiO2/Ag composite, which absorbs the visible light with a reduction in the band gap energy for all doped TiO2 (Figure 3). The band gap of TiO2 is 3.13 eV, which is larger compared to 2.84 eV, 2.62 eV, and 2.49 eV for the 9.3%, 17.1%, and 23.3% TiO2/Ag composite, respectively, shifting the photo activity in the visible region (Table 2). The presence of Ag introduces a Schottky heterojunction barrier at the interface, which improves charge separation and enhances photocatalytic activity by trapping photogenerated electrons from TiO2 and preventing recombination. The decrease in the band gap can be due to the effect of Ag NPs that act as an electron trap, altering charge recombination dynamics and indirectly affecting the band structure.
Excessive Ag content leads to a higher agglomeration of metallic Ag nanoparticles, which may increase electron–hole recombination, slightly increasing the effective band gap.

3.1.2. SEM/EDX

The morphologies of undoped TiO2 and TiO2/Ag composite with different proportions of Ag nanoparticles (9.3, 17.1, and 23.6%) were visualized by SEM analysis. In Figure 4a–c, the nanostructures of undoped TiO2 and TiO2/Ag with 9.3 and 17.1% are shown as small nanoparticles forming aggregates. Both are distributed unevenly across the surface, with varying sizes of agglomerations. Comparative analysis reveals no significant differences among these samples, suggesting that Ag nanoparticles have been effectively incorporated into TiO2 shell structures [47]. In contrast, Figure 4d shows the TiO2/Ag23.6% composite, where Ag excess is apparent on the surface of some particles. This finding is corroborated by the EDS spectra, which display distinct energy peaks for Ag, confirming its presence on the surface.
EDS was used to analyze the elemental composition of as-prepared nanoparticles, providing details on the percentage of each element. Figure 4 shows the EDS spectra for both pristine and TiO2/Ag composites. The spectra confirm the presence of pure TiO2 nanoparticles, evident from distinct peaks corresponding to Ti and O. For TiO2 doped with 9.3 and 17.1% Ag, the EDS results do not clearly show Ag on the surface, suggesting that Ag is well incorporated into the TiO2. Conversely, the EDX spectrum for the TiO2/Ag23.6% composite displays a prominent Ag peak, showing that excess Ag is present on the sample’s surface. No additional peaks were observed in the EDS spectra of either doped or undoped samples, confirming the absence of impurities. These results align with the Raman spectroscopy findings, which support the phase purity of TiO2-based photocatalysts.

3.1.3. Raman Spectroscopy

The Raman spectra provide valuable insights into the surface stoichiometry and microstructural characteristics of materials, and they are crucial for identifying structural changes due to doping; Figure 5 illustrates the spectra, which reveal significant structural details. The spectra confirm that all samples correspond to the anatase TiO2 phase with no inorganic crystalline structures like the rutile. For both pristine TiO2 and TiO2/Ag composite, the prominent peak at 144 cm−1 and the less intense peaks at 197 cm−1 and 637 cm−1 are associated with the Eg vibrational mode of TiO2 [48,49,50]. On the other hand, for bare TiO2 NPs, additional bands are observed at 250 cm−1 (A1g) and 322 cm−1 (B1g), which can be attributed to a brookite phase of TiO2 [51]. The peaks at 396 cm−1 and 515 cm−1 correspond to the B1g and (A1g + B1g) vibrational modes, respectively. The E1g mode is related to the (101) crystallographic direction and the symmetric bending vibration of O-Ti-O along the c-axis [49,52]. With Ag compositing, no Raman-active bands from Ag are observed due to the crystal symmetry of Ag. Similar results have been observed in the literature [53]. Additionally, the intensity of Raman bands decreases, due to the thinning of the TiO2 lattice in the presence of the higher amount of Ag nanoparticles support. Anatase with a small amount of brookite was found in the XRD of TiO2 NPs and TiO2/Ag(9.1%) sample, with additional Ag peaks for the latter [40].

3.2. Photocatalytic Activity

3.2.1. Effect of Ag-Doping TiO2 Nanoparticle on Photocatalytic Degradation of MB and AO7 Dyes Under Visible-Light Irradiation

The photoactivity of TiO2 coatings on Ag nanoparticle supports was evaluated for the degradation of MB and AO7 under white light illumination. Prior to these experiments, the stability of both dyes MB and AO7 was investigated to assess their degradation in the absence of doping under the same illumination conditions used in the photocatalytic tests. The measurements indicated minimal photolysis of the tested molecules after 1 h of illumination, with degradation levels within the experimental error margin (<1%). Furthermore, adsorption of MB and AO7 on the composites was also carried out in the dark.
Figure 6 illustrates the compositing effect of TiO2 on Ag photocatalysts on the adsorption and photodegradation processes of two dyes. Specifically, the adsorption of the dyes increases from 4 to 30% as the Ag percentage increases from 0 to 9.3% for MB, and from 7 to 14% for AO7. These results can be explained by the effect of electrostatic interactions, following the ionization of the AO7 molecules at pH 3 (R–SO3), which suggests that AO7 forms a bidentate inner-sphere complex with two protonated hydroxyl groups via its sulfonate group [54,55]. This interaction is influenced by the positive charge on the TiO2/Ag composite surfaces at pH < pHpzc [56]. Additionally, the increased adsorption may also be due to the smaller particle size and therefore a larger surface area, as indicated by BET analysis. For the adsorption of MB on TiO2/Ag composite, the enhanced interaction is attributed to π-π interactions between the aromatic rings of MB and TiO2/Ag composite [57].
A preliminary analysis of the recorded curves indicates that the photodegradation of MB and AO7 increases with irradiation time, and the photoactivity is significantly enhanced when TiO2 is combined with Ag. With Ag9.3%/TiO2 nanophotocatalysts, 99% degradation of MB was achieved after 3 h under white light exposure, while AO7 saw a 95% degradation in the same time frame. However, beyond this level of Ag doping, specifically at 17.1% and 23.6% Ag, the photoactivity for both dyes is significantly diminished over a period of 180 min. The presence of silver in the TiO2 nano-powders enhances absorption in the visible range, which is attributed to oxygen defects acting as trapping centers for photogenerated electron/hole (e/h+) pairs. This enhancement reduces the recombination of photogenerated electron pairs, leading to higher degradation rates of MB and AO7. The improved efficiency is further attributed to the lower band gap energies and smaller crystallite sizes of the TiO2/Ag composite samples compared to the undoped specimen [58].
A photocatalytic mechanism of TiO2/Ag composite nanoparticles may be hypothesized by combining the results of this research work with those existing in the literature. Ag nanoparticles present in the TiO2 crystal lattice play a crucial role in the dye photocatalytic degradation. The electrons of the conduction band (CB) of TiO2 generated by light are transferred to the Ag sites, which reduces the recombination of charge carriers (h+ and e) and increases the electrochemical rates by decreasing the over-potential (ηAg ~ 0.5 V for the current density of 10 mA cm−2). Electrons from the conduction band are more likely to accumulate on the Ag particles or clusters (sub-nanoscale) due to Fermi level equalization between the metal and TiO2. This effective charge separation enables the trapped holes on the surface to more efficiently react with H2O and OH, forming OH radicals that subsequently react with dye molecules, thereby enhancing the overall photocatalytic degradation. However, an excessive amount of Ag nanoparticles, either individually or in sub-nanoscale clusters, could have the opposite effect by occupying the active sites on TiO2, thus hindering the photocatalytic activity [59].

3.2.2. Kinetic Studies

To analyze the influence of Ag on the photodegradation of MB and AO7, the kinetic parameters were calculated assuming a pseudo-first-order mechanism for the degradation (Equation (1)). The apparent rate constants (kapp) and correlation coefficients (R2) were determined by linear fitting over the experimental time interval, and the results are presented in Table 3.
d C d t = k a p p   C
kapp (mn−1) is the apparent rate constant. The integration of Equation (3) gives the following:
ln ( C 0 C ) = k a p p   t
The results for the degradation of both dyes are consistent with a first-order kinetic reaction, as confirmed by the R2 values. The evolution of the rate constant (kapp) for different Ag doping in TiO2 shows that kapp for the photocatalysis of both dyes increases within the presence of Ag support, reaching an optimal value of 2.451 × 10−2 min−1 for MB with a half-life of 28 min (TiO2/Ag9.3% composite) and 1.895 × 10−2 min−1 for AO7 with a half-life of 37 min (TiO2/Ag9.3% composite), evinced in bold in Table 3. The constant kapp for MB is higher than that for AO7, which can be attributed to the lower molecular weight of MB (373.90 g·mol−1) compared to AO7 (350.32 g·mol−1), resulting in faster degradation [60]. However, beyond these values, a decrease in photoactivity is observed, indicating that the excess of supporting Ag nanoparticles is less effective in the degradation of the dyes.
As shown in Table 3, the current research demonstrates that TiO2/Ag nanoparticles exhibit a superior catalytic activity compared to those reported in the literature (see Table 4). The core–shell structure of TiO2/Ag nanoparticles enhances charge separation efficiency, with the Ag core extending the lifetime of photogenerated electron–hole (e/h+) pairs, thus reducing recombination. Additionally, the plasmonic properties of Ag create ‘hot spots’ at the core–shell interface, which improve the light absorption and facilitate the electron transfer to TiO2 [61]. The high Fermi energy of Ag also enhances the charge transfer kinetics; indeed, the work function of Ag is 4.26 eV. Furthermore, Ag may increase the performance of reactive oxygen species (ROS) such as hydroxyl radicals (OH) and superoxide radicals (O2•−), leading to more effective dye degradation. Overall, these factors enhance the photocatalytic performance of TiO2/Ag nanoparticles, boosting their efficiency for dye degradation under visible light.

3.2.3. Stability Tests

Fifth stability cycles with the TiO2/Ag9.3% photocatalyst were conducted (Figure 7, Table 5), using the same operating conditions as the previous experimental tests. The results showed an initial slight deactivation of the photocatalyst, observed in both the degradation and mineralization of the MB pollutant. By the third cycle, the photocatalytic activity stabilized, although lower, with a mineralization efficiency of approximately 20% and an apparent kinetic constant of MB degradation of 0.0185 min−1 after three hours of visible-light irradiation. Similarly, the photocatalyst demonstrated stable activity, in terms of AO7 mineralization, achieving an efficiency of about 24% after three hours of visible-light exposure. However, the degradation kinetics of AO7 revealed an initial decline, before stabilizing from the fourth cycle onward, with an apparent kinetic constant of dye degradation of 0.0181 min−1.

3.2.4. Effect of Water Matrix Nature on Photocatalytic Activity

Inorganic ions present in the water to be treated are known to influence photocatalytic performance [68,69,70]. To investigate this effect, additional experiments were conducted using tap water (characteristics detailed in Table 6) contaminated with MB or AO7. These tests aimed to evaluate the impact of the water matrix on photocatalytic efficiency.
The results, presented in Figure 8, demonstrate the system’s efficacy in degrading MB (Figure 8a) and AO7 (Figure 8b) even in tap water. After 180 min of visible-light irradiation, the degradation efficiencies for MB and AO7 in tap water reached 92% and 89%, respectively.
However, the apparent kinetic constant for degradation in the tap water matrix was approximately 40% lower than that observed in distilled water (DW). This reduction is likely due to the presence of ions in tap water (TW), which may act as radical scavengers, diminishing the availability of photogenerated reactive oxygen species (ROS) during the photocatalytic reaction [71].

3.2.5. Proposed Photocatalytic Reaction Mechanism on TiO2/Ag9.3%: Role of Reactive Oxygen Species in AO7 and MB Degradation

The TiO2/Ag9.3% photocatalyst was investigated to elucidate the role of reactive oxygen species (ROS), including hydroxyl radicals (OH), superoxide anions (O2•−), and positive holes (h+), in the photocatalytic degradation of Methylene Blue (MB) and Acid Orange 7 (AO7). Specific scavenger molecules were employed to probe the contributions of individual ROS: isopropanol (IPA, 10 mM) for hydroxyl radicals [72], benzoquinone (BQ, 1 μM) for superoxide anions [40], disodium ethylenediaminetetraacetate (EDTA, 10 mM) for positive holes [73], and potassium bromate (KBrO3, 1 mM) [74] for other ROS.
Figure 9 demonstrates significant reductions in photocatalytic activity when the production of hydroxyl and superoxide radicals is suppressed. For instance, in the presence of IPA, which specifically scavenges hydroxyl radicals, the apparent degradation rate constants for MB and AO7 decreased by approximately 95% compared to control experiments without scavengers. These findings strongly suggest that the degradation of these dyes predominantly involves hydroxyl radicals generated via both h+ and O2•− pathways.
Additionally, the Ag(0) core within the TiO2/Ag9.3% nanoparticles facilitates electron trapping, enhancing H2O2 formation and subsequently increasing hydroxyl radical generation [41]. This synergistic mechanism significantly amplifies the photocatalytic oxidation of organic pollutants.
The proposed mechanism for the mineralization of MB and AO7 is as follows [41,72,75]:
T i O 2 / A g 9.3 % + h ν h + + e
O 2 + e O 2
O H + h + O H
O 2 + H + H O 2
H O 2 + H O 2 H 2 O 2 + O 2
H 2 O 2 + e O H + O H
A O 7 / M B + O H i n t e r m e d i a t e s C O 2 + H 2 O
e + h + E + N
where N is a neutral center, and E denotes the energy released during the recombination of photoexcited electron–hole pairs. This energy may be emitted as light (hν′ ≤ hν) or dissipated as heat.

3.2.6. Mineralization Studies by TOC Analysis

To monitor the mineralization of each dye during photocatalytic treatment, evolved TOC measurements were conducted. As shown in Figure 10, there was a gradual increase in dye mineralization and a corresponding reduction in TOC over time. After 3 h, mineralization was observed at 21% for MB, while MB exhibited 27% mineralization. The mineralization rates of MB and AO7 are significantly lower than their photodegradation rates, and this clearly indicates that the photocatalytic process generated intermediate by-products [76]. In addition, the wavelength of light (>400 nm) has a significant impact on the photocatalytic performance of Ag/TiO2. In some works, it is worth mentioning that extending the illumination time increases photomineralization, reaching up to 20 h of irradiation [77].
The same trends were obtained by [78] in neutral red dye photocatalytic degradation by a Gd atom-doped TiO2, which found a mineralization of 41% for 90 min irradiation under a UV light source. Mottola et al. investigated the mineralization of MB and AO7 under visible and UV irradiation using Fe-N-TiO2, Fe-N-TiO2 with β-CD, and Fe-N-TiO2 combined with β-CD micronized by supercritical antisolvent process. For AO7 mineralization, the best efficiency (∼26%) was achieved using Fe-N-TiO2 after 180 min of visible-light exposure. However, Fe-N-TiO2/β-CD120 showed the highest TOC removal (~19%) compared to the other hybrid materials [79].

3.2.7. Photocatalytic Mineralization of MB and AO7 Dyes Under UV-A Irradiation

Figure 11 illustrates the photocatalytic behavior of TiO2/Ag(9.3%) under UV-A irradiation with respect to both of the two dyes. Discoloration occurs at a high level after 120 min of irradiation, with values higher than 90% for both dyes. Correspondently, TOC removal was enhanced by UV-A radiation, as shown in the right part of Figure 9; however, 180 was needed to achieve more than 90% of mineralization.
A final comparison of MB and AO7 photoefficiencies is reported in Figure 12. Meanwhile, the discoloration of both dyes is efficiently achieved after 180 min, the mineralization appears strongly dependent on the energy of exciting radiation, and, with the more energetic UV-A, is faster and almost completely accomplished.
These results indicate that under solar light, composed of UV-A and visible light, the nanocomposite can well perform in the removal of cationic and anionic dyes.

4. Conclusions

The present study investigated the impact of TiO2 compositing with Ag nanoparticles at various concentrations, detailing the preparation of TiO2/Ag x% (x = 0, 9.3, 17.1, and 23.6%) photocatalysts, using a simple and cost-effective ultrasound-assisted sol–gel method. The characteristics of these TiO2/Ag composite nanoparticles were analyzed using Raman spectroscopy, SEM/EDS, and DRS analysis, which provided insights into their structure and crystallinity, particle morphology, and changes in band gap and light absorption properties, respectively. This study further explores the role of these photocatalysts in the visible-light (>400 nm)-driven degradation of Methylene Blue (MB) and Acid Orange 7 (AO7) dyes as model pollutants. The reduction in band gap (Eg) with increasing Ag load in TiO2, down to 2.49 eV for TiO2/Ag17.1% compared to 3.13 eV for undoped TiO2, indicates a significant enhancement in photocatalytic activity under visible light. The maximum photoactivity results demonstrated that the TiO2/Ag 9.3% nanocatalyst achieved 99% degradation of BM and 95% degradation of AO7 within 180 min. Despite these high degradation rates, the mineralization of BM and AO7 was only 21 and 27%, respectively. This is attributed to the formation of highly refractory by-products during the photocatalytic degradation process. The degradation of MB and AO7 follows first-order kinetics, with apparent rate constants of kapp = 2.451 × 10−2  min−1 and 1.895 × 10−2  min−1, respectively. The synthesized TiO2/Ag composite nanoparticles showed efficient separation of photo-generated (e/h+) pairs, high reactivity, and stability under visible light. The photoactivity of nanocomposite photocatalysts can be boosted by UV-A radiation, giving rise to almost total TOC removal after 180 min, showing that the optimal photocatalyst is prone to be applied in solar photocatalysis.

Author Contributions

Conceptualization D.S.; Data Curation, N.B., N.M., K.M., Z.S. and M.T.; Formal Analysis, Z.S.; Funding Acquisition, N.B. and M.T.; Investigation, N.B., N.M. and K.M.; Methodology, N.M. and D.S.; Supervision, D.S. and M.T.; Validation, N.M.; Writing—Original Draft, N.B. and Z.S.; Writing—Review and Editing, D.S. and K.M. All authors have read and agreed to the published version of the manuscript.

Funding

The authors gratefully acknowledge the financial support from the Thematic Research Agency for Science and Technology (ATRST) through the national research program (PRFU Project No. A16N01UN160420210001) and the Directorate-General for Scientific Research and Technological Development (DGRSDT) of Algeria.

Data Availability Statement

The data will be available on request from the corresponding author.

Acknowledgments

The authors wish to thank Said Abdi (Faculty of Mechanical Engineering and Process Engineering, USTHB) for the SEM/EDX analysis.

Conflicts of Interest

The authors declare no conflicts of interest.

References

  1. Jan, S.; Mishra, A.K.; Bhat, M.A.; Bhat, M.A.; Jan, A.T. Pollutants in Aquatic System: A Frontier Perspective of Emerging Threat and Strategies to Solve the Crisis for Safe Drinking Water. Environ. Sci. Pollut. Res. Int. 2023, 30, 113242–113279. [Google Scholar] [CrossRef] [PubMed]
  2. Zaharia, C.; Musteret, C.P.; Afrasinei, M.A. The Use of Coagulation–Flocculation for Industrial Colored Wastewater Treatment—(I) The Application of Hybrid Materials. Appl. Sci. 2024, 14, 2184. [Google Scholar] [CrossRef]
  3. Jerin, I.; Rahman, M.A.; Khan, A.H.; Hossain, M.M. Photocatalytic Degradation of Methylene Blue under Visible Light Using Carbon-Doped Titanium Dioxide as Photocatalyst. Desalination Water Treat. 2024, 320, 100711. [Google Scholar] [CrossRef]
  4. Cardito, A.; Carotenuto, M.; Sacco, O.; Albarano, L.; Vaiano, V.; Iannece, P.; Libralato, G.; Spica, V.R.; Lofrano, G. UV Light Assisted Degradation of Acid Orange Azo Dye by ZVI-ZnS and Effluent Toxicity Effects. Environ. Pollut. 2024, 343, 123226. [Google Scholar] [CrossRef]
  5. Sannino, D.; Morante, N.; Sacco, O.; Mancuso, A.; De Guglielmo, L.; Di Capua, G.; Femia, N.; Vaiano, V. Visible Light-Driven Degradation of Acid Orange 7 by Light Modulation Techniques. Photochem. Photobiol. Sci. 2023, 22, 185–193. [Google Scholar] [CrossRef]
  6. Liyanaarachchi, H.; Thambiliyagodage, C.; Liyanaarachchi, C.; Samarakoon, U. Efficient Photocatalysis of Cu Doped TiO2/g-C3N4 for the Photodegradation of Methylene Blue. Arab. J. Chem. 2023, 16, 104749. [Google Scholar] [CrossRef]
  7. Nabeel, M.I.; Hussain, D.; Ahmad, N.; Xiao, H.-M.; Musharra, S.G. Improved Visible Light-Driven Photocatalytic Degradation of an Industrial Dye Acid Orange 7 Using Metal-Free Sulfur-Doped Graphitic Carbon Nitride. Environ. Sci. Nano 2023, 10, 2810–2830. [Google Scholar] [CrossRef]
  8. Zheng, Y.; Wu, X.; Zhang, Y.; Li, Y.; Shao, W.; Fu, J.; Lin, Q.; Tan, J.; Gao, S.; Ye, W.; et al. Highly Efficient Harvesting of Vibration Energy for Complex Wastewater Purification Using Bi5Ti3FeO15 with Controlled Oxygen Vacancies. Chem. Eng. J. 2023, 453, 139919. [Google Scholar] [CrossRef]
  9. Fitch, A.; Balderas-Hernandez, P.; Ibanez, J.G. Electrochemical Technologies Combined with Physical, Biological, and Chemical Processes for the Treatment of Pollutants and Wastes: A Review. J. Environ. Chem. Eng. 2022, 10, 107810. [Google Scholar] [CrossRef]
  10. Islam, T.; Repon, M.R.; Islam, T.; Sarwar, Z.; Rahman, M.M. Impact of Textile Dyes on Health and Ecosystem: A Review of Structure, Causes, and Potential Solutions; Springer: Berlin/Heidelberg, Germany, 2023; Volume 30, ISBN 0123456789. [Google Scholar]
  11. Dutta, S.; Adhikary, S.; Bhattacharya, S.; Roy, D.; Chatterjee, S.; Chakraborty, A.; Banerjee, D.; Ganguly, A.; Nanda, S.; Rajak, P. Contamination of Textile Dyes in Aquatic Environment: Adverse Impacts on Aquatic Ecosystem and Human Health, and Its Management Using Bioremediation. J. Environ. Manag. 2024, 353, 120103. [Google Scholar] [CrossRef]
  12. Khader, E.H.; Muslim, S.A.; Saady, N.M.C.; Ali, N.S.; Salih, I.K.; Mohammed, T.J.; Albayati, T.M.; Zendehboudi, S. Recent Advances in Photocatalytic Advanced Oxidation Processes for Organic Compound Degradation: A Review. Desalination Water Treat. 2024, 318, 100384. [Google Scholar] [CrossRef]
  13. Manna, M.; Sen, S. Advanced Oxidation Process: A Sustainable Technology for Treating Refractory Organic Compounds Present in Industrial Wastewater. Environ. Sci. Pollut. Res. 2023, 30, 25477–25505. [Google Scholar] [CrossRef] [PubMed]
  14. Rocha, V.; Lago, A.; Silva, B.; Barros, Ó.; Neves, I.C.; Tavares, T. Immobilization of Biogenic Metal Nanoparticles on Sustainable Materials—Green Approach Applied to Wastewater Treatment: A Systematic Review. Environ. Sci. Nano 2024, 11, 36–60. [Google Scholar] [CrossRef]
  15. Ahtasham Iqbal, M.; Akram, S.; Khalid, S.; Lal, B.; Hassan, S.U.; Ashraf, R.; Kezembayeva, G.; Mushtaq, M.; Chinibayeva, N.; Hosseini-Bandegharaei, A. Advanced Photocatalysis as a Viable and Sustainable Wastewater Treatment Process: A Comprehensive Review. Environ. Res. 2024, 253, 118947. [Google Scholar] [CrossRef] [PubMed]
  16. Arun, J.; Nachiappan, S.; Rangarajan, G.; Alagappan, R.P.; Gopinath, K.P.; Lichtfouse, E. Synthesis and Application of Titanium Dioxide Photocatalysis for Energy, Decontamination and Viral Disinfection: A Review. Environ. Chem. Lett. 2023, 21, 339–362. [Google Scholar] [CrossRef]
  17. Van Thuan, D.; Ngo, H.L.; Thi, H.P.; Chu, T.T.H. Photodegradation of Hazardous Organic Pollutants Using Titanium Oxides -Based Photocatalytic: A Review. Environ. Res. 2023, 229, 116000. [Google Scholar] [CrossRef]
  18. Kubiak, A. Impact of LED Radiation Intensity on Gold Nanoparticles Photodeposition on TiO2 with Physicochemical and Photocatalytic Characterization. Sci. Rep. 2024, 14, 20563. [Google Scholar] [CrossRef]
  19. Rossi, L.; Villabrille, P.I.; Pastrana-Martínez, L.M.; Caregnato, P.; Rosso, J.A. Photocatalytic Performance of Palladium and Carbon Modified TiO2 Using Solar Radiation. J. Photochem. Photobiol. A Chem. 2023, 437, 114461. [Google Scholar] [CrossRef]
  20. Rashid, R.; Shafiq, I.; Gilani, M.R.H.S.; Maaz, M.; Akhter, P.; Hussain, M.; Jeong, K.E.; Kwon, E.E.; Bae, S.; Park, Y.K. Advancements in TiO2-Based Photocatalysis for Environmental Remediation: Strategies for Enhancing Visible-Light-Driven Activity. Chemosphere 2024, 349, 140703. [Google Scholar] [CrossRef]
  21. Mohsin, M.; Bhatti, I.A.; Zeshan, M.; Yousaf, M.; Iqbal, M. Prospects, Challenges, and Opportunities of the Metals-Modified TiO2 Based Photocatalysts for Hydrogen Generation under Solar Light Irradiation: A Review. FlatChem 2023, 42, 100547. [Google Scholar] [CrossRef]
  22. Khan, H.; Shah, M.U.H. Modification Strategies of TiO2 Based Photocatalysts for Enhanced Visible Light Activity and Energy Storage Ability: A Review. J. Environ. Chem. Eng. 2023, 11, 111532. [Google Scholar] [CrossRef]
  23. Wang, X.; Wang, P.; Li, M.; Li, J. Advances in the Preparation and Biological Applications of Core@shell Nanocrystals Based on Quantum Dots and Noble Metal. RSC Adv. 2024, 14, 26308–26324. [Google Scholar] [CrossRef] [PubMed]
  24. Harun-Ur-Rashid, M.; Pal, K.; Imran, A.B. Hybrid Nanocomposite Fabrication of Nanocatalyst with Enhanced and Stable Photocatalytic Activity. Top. Catal. 2024, 67, 17–45. [Google Scholar] [CrossRef]
  25. Piwoński, J.; Kisielewska, A.; Piwoński, I. Preparation and Photocatalytic Activity of TiO2 Photonic Crystals Modified by Bimetallic Ag–Pt Nanostructures. Catal. Sci. Technol. 2024, 14, 4274–4292. [Google Scholar]
  26. Zhou, G.; Meng, H.; Cao, Y.; Kou, X.; Duan, S.; Fan, L.; Xiao, M.; Zhou, F.; Li, Z.; Xing, Z. Surface Plasmon Resonance-Enhanced Solar-Driven Photocatalytic Performance from Ag Nanoparticles-Decorated Ti3+ Self-Doped Porous Black TiO2 Pillars. J. Ind. Eng. Chem. 2018, 64, 188–193. [Google Scholar] [CrossRef]
  27. Nie, J.; Schneider, J.; Sieland, F.; Zhou, L.; Xia, S.; Bahnemann, D.W. New Insights into the Surface Plasmon Resonance (SPR) Driven Photocatalytic H2 Production of Au-TiO2. RSC Adv. 2018, 8, 25881–25887. [Google Scholar] [CrossRef]
  28. Wang, J.; Fazil, P.; Ali Shah, M.I.; Zada, A.; Anwar, N.; Zain, G.G.; Khan, W.; Jan, F.; Lei, T.; Ateeq, M. Surface Plasmon Assisted Photocatalytic Hydrogen Generation with Ag Decorated G-C3N4 Coupled SnO2 Nanophotocatalyst under Visible-Light Driven Photocatalysis. Int. J. Hydrogen Energy 2023, 48, 21674–21685. [Google Scholar] [CrossRef]
  29. Humayun, M.; Ullah, H.; Cheng, Z.E.; Tahir, A.A.; Luo, W.; Wang, C. Au Surface Plasmon Resonance Promoted Charge Transfer in Z-Scheme System Enables Exceptional Photocatalytic Hydrogen Evolution. Appl. Catal. B Environ. 2022, 310, 121322. [Google Scholar] [CrossRef]
  30. Li, J.; Duan, Y.; Wang, L.; Ma, J. Preparation of Core-Shell Structure Ag@TiO2 Plasma Photocatalysts and Reduction of Cr(VI): Size Dependent and LSPR Effect. Environ. Res. 2024, 248, 118265. [Google Scholar] [CrossRef]
  31. Parvathiraja, C.; Shailajha, S. Plasmonic Core–Shell Nanoparticles of Ag@TiO2 for Photocatalytic Degradation of Rhodamine B. Appl. Nanosci. 2023, 13, 3677–3692. [Google Scholar] [CrossRef]
  32. Xu, H.; Li, G.; Liu, N.; Zhu, K.; Zhu, G.; Jin, S. Ag @ Hierarchical TiO2 Core-Shell Nanostructures for Enhanced Photocatalysis. Mater. Lett. 2015, 142, 324–327. [Google Scholar] [CrossRef]
  33. Yang, X.H.; Fu, H.T.; Wong, K.; Jiang, X.C.; Yu, A.B. Hybrid Ag@TiO2 Core-Shell Nanostructures with Highly Enhanced Photocatalytic Performance. Nanotechnology 2013, 24, 415601. [Google Scholar] [CrossRef] [PubMed]
  34. Chen, Y.-W.; Lee, D.-S. Photocatalytic Destruction of Methylene Blue on Ag@TiO2 with Core/Shell Structure. OALib 2014, 1, 1–14. [Google Scholar] [CrossRef]
  35. Khan, M.R.; Chuan, T.W.; Yousuf, A.; Chowdhury, M.N.K.; Cheng, C.K. Schottky Barrier and Surface Plasmonic Resonance Phenomena towards the Photocatalytic Reaction: Study of Their Mechanisms to Enhance Photocatalytic Activity. Catal. Sci. Technol. 2015, 5, 2522–2531. [Google Scholar] [CrossRef]
  36. Wu, L.; Ma, S.; Chen, P.; Li, X. The Mechanism of Enhanced Charge Separation and Photocatalytic Activity for Au@TiO2 Core-Shell Nanocomposite. Int. J. Environ. Anal. Chem. 2023, 103, 201–211. [Google Scholar] [CrossRef]
  37. Dimitratos, N.; Alshammari, K.; Niu, Y.; Palmer, R.E.; Dimitratos, N. Optimization of Sol-Immobilized Bimetallic Au–Pd/TiO2 Catalysts: Reduction of 4-Nitrophenol to 4-Aminophenol for Wastewater Remediation. Philos. Trans. R. Soc. A 2020, 24, 20200057. [Google Scholar]
  38. Yilleng, M.T.; Artioli, N.; Rooney, D.; Manyar, H. Continuous Flow Photocatalytic Degradation of Phenol Using Palladium@Mesoporous TiO2 Core@Shell Nanoparticles. Water 2023, 15, 2975. [Google Scholar] [CrossRef]
  39. He, Z.; Zhang, C.; Meng, R.; Luo, X.; Chen, M.; Lu, H.; Yang, Y. Influence of Ag@SiO2 with Different Shell Thickness on Photoelectric Properties of Hole-Conductor-Free Perovskite Solar Cells. Nanomaterials 2020, 10, 2364. [Google Scholar] [CrossRef]
  40. Morante, N.; Folliero, V.; Dell’Annunziata, F.; Capuano, N.; Mancuso, A.; Monzillo, K.; Galdiero, M.; Sannino, D.; Franci, G. Characterization and Photocatalytic and Antibacterial Properties of Ag- and TiOx-Based (x = 2, 3) Composite Nanomaterials under UV Irradiation. Materials 2024, 17, 2178. [Google Scholar] [CrossRef]
  41. Yang, X.; Liang, J.; Fu, H.; Ran, X.; An, X. Fabrication of Au-Ag@TiO2 Ternary Core-Shell Nanostructures with Enhanced Sunlight Photocatalytic Activity. Powder Technol. 2022, 404, 117463. [Google Scholar] [CrossRef]
  42. Misra, M.; Singh, N.; Gupta, R.K. Enhanced Visible-Light-Driven Photocatalytic Activity of Au@Ag Core-Shell Bimetallic Nanoparticles Immobilized on Electrospun TiO2 Nanofibers for Degradation of Organic Compounds. Catal. Sci. Technol. 2017, 7, 570–580. [Google Scholar] [CrossRef]
  43. Bernal, V.; Giraldo, L.; Moreno-Piraján, J. Physicochemical Properties of Activated Carbon: Their Effect on the Adsorption of Pharmaceutical Compounds and Adsorbate–Adsorbent Interactions. C—J. Carbon Res. 2018, 4, 62. [Google Scholar] [CrossRef]
  44. Sacco, O.; Vaiano, V.; Sannino, D.; Ciambelli, P. Visible Light Driven Mineralization of Spiramycin over Photostructured N-Doped TiO2 on up Conversion Phosphors. J. Environ. Sci. 2017, 54, 268–276. [Google Scholar] [CrossRef] [PubMed]
  45. Vaiano, V.; Sacco, O.; Sannino, D.; Ciambelli, P. Photocatalytic Removal of Spiramycin from Wastewater under Visible Light with N-Doped TiO2 Photocatalysts. Chem. Eng. J. 2015, 261, 3–8. [Google Scholar] [CrossRef]
  46. Liza, T.Z.; Tusher, M.M.H.; Anwar, F.; Monika, M.F.; Amin, K.F.; Asrafuzzaman, F.N.U. Effect of Ag-Doping on Morphology, Structure, Band Gap and Photocatalytic Activity of Bio-Mediated TiO2 Nanoparticles. Results Mater. 2024, 22, 100559. [Google Scholar] [CrossRef]
  47. Jaihindh, D.P.; Chen, C.C.; Fu, Y.P. Reduced Graphene Oxide-Supported Ag-Loaded Fe-Doped TiO2 for the Degradation Mechanism of Methylene Blue and Its Electrochemical Properties. RSC Adv. 2018, 8, 6488–6501. [Google Scholar] [CrossRef]
  48. Suriya, P.; Prabhu, M.; Jagannathan, K. Synthesis and Structural, Optical and Photovoltaic Characteristics of Pure and Ag Doped TiO2 Nanoparticles for Dye Sensitized Solar Cell Application. Mater. Today Proc. 2022, 65, 100–105. [Google Scholar] [CrossRef]
  49. Tzevelekidis, P.; Theodosiou, M.; Papadopoulou, A.; Sakellis, E.; Boukos, N.; Alexandros, K.; Bikogiannakis, G.K.; Efthimiadou, E.K.; Mitsopoulou, C.A. Visible-Light-Activated Antibacterial and Antipollutant Properties of Biocompatible Cu-Doped and Ag-Decorated TiO2 Nanoparticles. Heliyon 2019, 10, 115147. [Google Scholar] [CrossRef]
  50. Tian, F.; Zhang, Y.; Zhang, J.; Pan, C. Raman Spectroscopy: A New Approach to Measure the Percentage of Anatase TiO2 Exposed (001) Facets. J. Phys. Chem. C 2012, 116, 7515–7519. [Google Scholar] [CrossRef]
  51. Ceballos-Chuc, M.C.; Ramos-Castillo, C.M.; Alvarado-Gil, J.J.; Oskam, G.; Rodríguez-Gattorno, G. Influence of Brookite Impurities on the Raman Spectrum of TiO2 Anatase Nanocrystals. J. Phys. Chem. C 2018, 122, 19921–19930. [Google Scholar] [CrossRef]
  52. Tao, X.; Ruan, P.; Zhang, X.; Sun, H.; Zhou, X. Microsphere Assembly of TiO2 Mesoporous Nanosheets with Highly Exposed (101) Facets and Application in a Light-Trapping Quasi-Solid-State Dye-Sensitized Solar Cell. Nanoscale 2015, 7, 3539–3547. [Google Scholar] [CrossRef] [PubMed]
  53. Santos, L.M.; Machado, W.A.; França, M.D.; Borges, K.A.; Paniago, R.M.; Patrocinio, A.O.T.; Machado, A.E.H. Structural Characterization of Ag-Doped TiO2 with Enhanced Photocatalytic Activity. RSC Adv. 2015, 5, 103752–103759. [Google Scholar] [CrossRef]
  54. Mills, A.; O’Rourke, C.; Kalousek, V.; Rathousky, J. Adsorption and Photocatalytic and Photosensitised Bleaching of Acid Orange 7 on Multilayer Mesoporous Films of TiO2. J. Hazard. Mater. 2012, 211–212, 182–187. [Google Scholar] [CrossRef] [PubMed]
  55. Belayachi, H.; Bestani, B.; Benderdouche, N.; Belhakem, M. The Use of TiO2 Immobilized into Grape Marc-Based Activated Carbon for RB-5 Azo Dye Photocatalytic Degradation. Arab. J. Chem. 2019, 12, 3018–3027. [Google Scholar] [CrossRef]
  56. Bibi, S.; Shah, S.S.; Muhammad, F.; Siddiq, M.; Kiran, L.; Aldossari, S.A.; Sheikh Saleh Mushab, M.; Sarwar, S. Cu-Doped Mesoporous TiO2 Photocatalyst for Efficient Degradation of Organic Dye via Visible Light Photocatalysis. Chemosphere 2023, 339, 139583. [Google Scholar] [CrossRef]
  57. Chakhtouna, H.; Ouhssain, A.; Kadmiri, I.M.; Benzeid, H.; Zari, N.; Qaiss, A.; Bouhfid, R. Photocatalytic and Bactericidal Behaviors of Ag/TiO2 Doped Biochar through Ball–Milling Approach. J. Photochem. Photobiol. A Chem. 2023, 444, 114971. [Google Scholar] [CrossRef]
  58. Asrafuzzaman, F.N.U.; Amin, K.F.; Gafur, M.A.; Gulshan, F. Mangifera Indica Mediated Biogenic Synthesis of Undoped and Doped TiO2 Nanoparticles and Evaluation of Their Structural, Morphological, and Photocatalytic Properties. Results Mater. 2023, 17, 100384. [Google Scholar] [CrossRef]
  59. Radić, N.; Ilić, M.; Stojadinović, S.; Milić, J.; Avdalović, J.; Šaponjić, Z. Photocatalytically Active Ag-Doped TiO2 Coatings Developed by Plasma Electrolytic Oxidation in the Presence of Colloidal Ag Nanoparticles. J. Phys. Chem. Solids 2024, 188, 111918. [Google Scholar] [CrossRef]
  60. Bellè, U.; Pelizzari, F.; Lucotti, A.; Castiglioni, C.; Ormellese, M.; Pedeferri, M.; Diamanti, M.V. Immobilized Nano-TiO2 Photocatalysts for the Degradation of Three Organic Dyes in Single and Multi-Dye Solutions. Coatings 2020, 10, 919. [Google Scholar] [CrossRef]
  61. Rathi, V.H.; Jeice, A.R.; Jayakumar, K. Green Synthesis of Ag/CuO and Ag/TiO2 Nanoparticles for Enhanced Photocatalytic Dye Degradation, Antibacterial, and Antifungal Properties. Appl. Surf. Sci. Adv. 2023, 18, 100476. [Google Scholar] [CrossRef]
  62. Mancuso, A.; Sacco, O.; Vaiano, V.; Bonelli, B.; Esposito, S.; Freyria, F.S.; Blangetti, N.; Sannino, D. Visible Light-Driven Photocatalytic Activity and Kinetics of Fe-Doped TiO2 Prepared by a Three-Block Copolymer Templating Approach. Materials 2021, 14, 3105. [Google Scholar] [CrossRef] [PubMed]
  63. Li, Y.; Zhou, X.; Chen, W.; Li, L.; Zen, M.; Qin, S.; Sun, S. Photodecolorization of Rhodamine B on Tungsten-Doped TiO2/Activated Carbon under Visible-Light Irradiation. J. Hazard. Mater. 2012, 227–228, 25–33. [Google Scholar] [CrossRef] [PubMed]
  64. Hossain, M.A.; Elias, M.; Sarker, D.R.; Diba, Z.R.; Mithun, J.M.; Azad, M.A.K.; Siddiquey, I.A.; Rahman, M.M.; Uddin, J.; Uddin, M.N. Synthesis of Fe- or Ag-Doped TiO2–MWCNT Nanocomposite Thin Films and Their Visible-Light-Induced Catalysis of Dye Degradation and Antibacterial Activity. Res. Chem. Intermed. 2018, 44, 2667–2683. [Google Scholar] [CrossRef]
  65. Ratshiedana, R.; Fakayode, O.J.; Mishra, A.K.; Kuvarega, A.T. Visible-Light Photocatalytic Degradation of Tartrazine Using Hydrothermal Synthesized Ag-Doped TiO2 Nanoparticles. J. Water Process Eng. 2021, 44, 102372. [Google Scholar] [CrossRef]
  66. Ye, X.; Zhang, Y.; Chen, L.; Chen, S.; Ma, L.; Wu, Y.; Wang, Q. Construction of Ternary Ag/Ti3C2/TiO2 Photocatalysts for Rhodamine B Degradation under Visible Light Radiation. Opt. Mater. 2022, 134, 113201. [Google Scholar] [CrossRef]
  67. Garg, S.; Kataria, J.; Sharma, S.; Choudhary, M.K. Kinetic Investigation of Invigorated Photocatalytic Performance of Phytogenically Prepared Ag@TiO2 Composites. Mater. Chem. Phys. 2023, 294, 127005. [Google Scholar] [CrossRef]
  68. Nieto-Sandoval, J.; Torres-Pinto, A.; Pedrosa, M.; Munoz, M.; de Pedro, Z.M.; Silva, C.G.; Faria, J.L.; Casas, J.A.; Silva, A.M.T. Application of G-C3N4-PVDF Membrane for the Photocatalytic Degradation of Micropollutants in Continuous Flow Mode: Impact of Water Matrix. J. Environ. Chem. Eng. 2023, 11, 110586. [Google Scholar] [CrossRef]
  69. Durán-Álvarez, J.C.; Cortés-Lagunes, S.; Mahjoub, O.; Serrano-Lázaro, A.; Garduño-Jiménez, A.; Zanella, R. Tapping the Tunisian Sunlight’s Potential to Remove Pharmaceuticals in Tap Water and Secondary Effluents: A Comparison of Ag2O/TiO2 and BiOI Photocatalysts and Toxicological Insights. Sep. Purif. Technol. 2024, 335, 126221. [Google Scholar] [CrossRef]
  70. Bhuyan, A.; Ahmaruzzaman, M. Ternary 3D/2D/3D Direct Dual Z-Scheme MOF-on-MOF-Derived α-Fe2O3/g-C3N4/Fe-MOF Photocatalyst for Boosted Sunlight-Driven Removal of Metronidazole: Effect of Coexisting Ions, Mechanistic Insights, and Water Matrices. Environ. Sci. Nano 2024. [Google Scholar] [CrossRef]
  71. Mishra, S.R.; Gadore, V.; Ahmaruzzaman, M. Inorganic–Organic Hybrid Quantum Dots for AOP-Mediated Photodegradation of Ofloxacin and Para-Nitrophenol in Diverse Water Matrices. NPJ Clean Water 2023, 6, 78. [Google Scholar] [CrossRef]
  72. Hernández-Laverde, M.; Morante, N.; Gutiérrez, B.L.; Murcia, J.J.; Monzillo, K.; Sannino, D.; Vaiano, V. Solar Light Elimination of Bacteria, Yeast and Organic Pollutants by Effective Photocatalysts Based on Ag/Cr-TiO2 and Pd/Cr-TiO2. Nanomaterials 2024, 14, 1730. [Google Scholar] [CrossRef] [PubMed]
  73. Zhang, J.; Ying, Z.; Li, H.; Liu, X.; Ma, D.; Yu, H. Preparation of Soybean Dreg-Based Biochar@TiO2 Composites and the Photocatalytic Degradation of Aflatoxin B1 Exposed to Simulated Sunlight Irradiation. Toxins 2024, 16, 429. [Google Scholar] [CrossRef] [PubMed]
  74. Almulhem, N.K.; Awada, C.; Shaalan, N.M. Study of Phenol Red Photocatalytic Decomposition on KBrO3-Supported TiO2 Nanoparticles for Wastewater Treatment. Separations 2023, 10, 162. [Google Scholar] [CrossRef]
  75. Cheng, H.; Luo, K.; Wen, X.; Yang, J.; Li, J. AgTNP@TiO2@Ag Core-Satellite Composites for Sensitive Sensing and in Situ Monitoring Photodegradation of Organic Dyes by Portable Raman Spectrometer. Spectrochim. Acta Part A Mol. Biomol. Spectrosc. 2024, 306, 123562. [Google Scholar] [CrossRef] [PubMed]
  76. Pei, X.; An, W.; Zhao, H.; He, H.; Fu, Y.; Shen, X. Enhancing Visible-Light Degradation Performance of g-C3N4 on Organic Pollutants by Constructing Heterojunctions via Combining Tubular g-C3N4 with Bi2O3 Nanosheets. J. Alloys Compd. 2023, 934, 167928. [Google Scholar] [CrossRef]
  77. Sebti, A.; Boutra, B.; Trari, M.; Igoud, S. Solar Photodegradation of Solophenyl Red 3BL and Neuro-Fuzzy Modeling: Kinetic, Mechanism and Mineralization Studies. React. Kinet. Mech. Catal. 2022, 135, 2207–2229. [Google Scholar] [CrossRef]
  78. Liu, Z.; Zhong, Y.; Hu, Z.; Zhang, W.; Zhang, X.; Ji, X.; Wang, X. Modification of ZIF-8 Nanocomposite by a Gd Atom Doped TiO2 for High Efficiency Photocatalytic Degradation of Neutral Red Dye: An Experimental and Theoretical Study. J. Mol. Liq. 2023, 380, 121729. [Google Scholar] [CrossRef]
  79. Mottola, S.; Mancuso, A.; Sacco, O.; De Marco, I.; Vaiano, V. Photocatalytic Performance Assessment of Fe-N Co-Doped TiO2/β-Cyclodextrin Hybrid Systems Prepared by Supercritical Antisolvent Micronization for Organic Dyes Removal. J. Supercrit. Fluids 2023, 201, 106005. [Google Scholar] [CrossRef]
Figure 1. pHpzc of the bare TiO2, TiO2/Ag(9.3%), TiO2/Ag(17.1%), and TiO2/Ag(23.6%) photocatalysts.
Figure 1. pHpzc of the bare TiO2, TiO2/Ag(9.3%), TiO2/Ag(17.1%), and TiO2/Ag(23.6%) photocatalysts.
Catalysts 14 00883 g001
Figure 2. Diffuse reflectance spectra of bare TiO2 and TiO2/Ag(9.3%), TiO2/Ag(17.1%), and TiO2/Ag(23.6%).
Figure 2. Diffuse reflectance spectra of bare TiO2 and TiO2/Ag(9.3%), TiO2/Ag(17.1%), and TiO2/Ag(23.6%).
Catalysts 14 00883 g002
Figure 3. The (αhv)0.5-hν curves of bare TiO2 and TiO2/Ag(9.3%), TiO2/Ag(17.1%), and TiO2/Ag(23.6%) photocatalysts.
Figure 3. The (αhv)0.5-hν curves of bare TiO2 and TiO2/Ag(9.3%), TiO2/Ag(17.1%), and TiO2/Ag(23.6%) photocatalysts.
Catalysts 14 00883 g003
Figure 4. SEM micrographs and EDS spectra of (a) Bare TiO2, (b) TiO2/Ag(9.3%), (c) TiO2/Ag(17.1%), and (d) TiO2/Ag(23.6%) photocatalysts, including elemental composition analysis.
Figure 4. SEM micrographs and EDS spectra of (a) Bare TiO2, (b) TiO2/Ag(9.3%), (c) TiO2/Ag(17.1%), and (d) TiO2/Ag(23.6%) photocatalysts, including elemental composition analysis.
Catalysts 14 00883 g004aCatalysts 14 00883 g004b
Figure 5. Raman spectra of Pure TiO2, Ag9.3%-TiO2, Ag17.1%-TiO2, and Ag23.6%-TiO2 photocatalysts.
Figure 5. Raman spectra of Pure TiO2, Ag9.3%-TiO2, Ag17.1%-TiO2, and Ag23.6%-TiO2 photocatalysts.
Catalysts 14 00883 g005
Figure 6. Photocatalytic discoloration versus time and after 180 min of MB and AO7 under visible light on TiO2/Ag(0%, 9.3%, 17.1%, and 23.6%) nanocomposites.
Figure 6. Photocatalytic discoloration versus time and after 180 min of MB and AO7 under visible light on TiO2/Ag(0%, 9.3%, 17.1%, and 23.6%) nanocomposites.
Catalysts 14 00883 g006
Figure 7. (a) MB; (b) AO7 mineralization efficiency after 180 min under visible light, and apparent kinetic constant of degradation (kapp) values obtained by the stability tests.
Figure 7. (a) MB; (b) AO7 mineralization efficiency after 180 min under visible light, and apparent kinetic constant of degradation (kapp) values obtained by the stability tests.
Catalysts 14 00883 g007
Figure 8. Effects of water matrix nature on the photodegradation of (a) MB and (b) AO7 using the TiO2/Ag9.3% photocatalyst under visible-light irradiation. Experimental conditions: initial MB concentration = 7 ppm, initial AO7 concentration = 10 ppm, photocatalyst dosage = 3 g L−1, and reaction volume = 0.1 L.
Figure 8. Effects of water matrix nature on the photodegradation of (a) MB and (b) AO7 using the TiO2/Ag9.3% photocatalyst under visible-light irradiation. Experimental conditions: initial MB concentration = 7 ppm, initial AO7 concentration = 10 ppm, photocatalyst dosage = 3 g L−1, and reaction volume = 0.1 L.
Catalysts 14 00883 g008
Figure 9. Effects of various scavengers on the photodegradation of (a) MB and (b) AO7 using the TiO2/Ag9.3% photocatalyst under visible-light irradiation. Experimental conditions: initial MB concentration = 7 ppm, initial AO7 concentration = 10 ppm, photocatalyst dosage = 3 g L−1, and reaction volume = 0.1 L.
Figure 9. Effects of various scavengers on the photodegradation of (a) MB and (b) AO7 using the TiO2/Ag9.3% photocatalyst under visible-light irradiation. Experimental conditions: initial MB concentration = 7 ppm, initial AO7 concentration = 10 ppm, photocatalyst dosage = 3 g L−1, and reaction volume = 0.1 L.
Catalysts 14 00883 g009
Figure 10. % TOC removal and mineralized CO2 amount of MB and AO7 under visible-light irradiation.
Figure 10. % TOC removal and mineralized CO2 amount of MB and AO7 under visible-light irradiation.
Catalysts 14 00883 g010
Figure 11. MB and AO7 discoloration (left) and TOC removal (right) under UV-A irradiation on nanocomposite photocatalyst TiO2/Ag(9.3%).
Figure 11. MB and AO7 discoloration (left) and TOC removal (right) under UV-A irradiation on nanocomposite photocatalyst TiO2/Ag(9.3%).
Catalysts 14 00883 g011
Figure 12. MB and AO7 discoloration (left) and TOC removal (right) under UV-A and visible-light irradiation of sample TiO2/Ag(9.3%) after 180 min.
Figure 12. MB and AO7 discoloration (left) and TOC removal (right) under UV-A and visible-light irradiation of sample TiO2/Ag(9.3%) after 180 min.
Catalysts 14 00883 g012
Table 1. Identification of prepared nanophotocatalysts.
Table 1. Identification of prepared nanophotocatalysts.
Sample NameSample Description
TiO2Pure sol–gel TiO2
TiO2/Ag(9.3%)TiO2 (3.271 g), Ag (337.33 mg)
TiO2/Ag(17.1%)TiO2 (3.271 g), Ag (674.66 mg)
TiO2/Ag(23.6%)TiO2 (3. 271 g), Ag (1.012 g)
Table 2. Characteristics of prepared nanoparticles.
Table 2. Characteristics of prepared nanoparticles.
Sample NamepHpzcGap (eV)SBET (m2 g−1)
TiO25.483.1396
TiO2/Ag(9.3%)6.552.8489
TiO2/Ag(17.1%)7.292.4982
TiO2/Ag(23.6%)7.142.6271
Table 3. First-order kinetic constants for the degradation of MB and AO7 under visible irradiation.
Table 3. First-order kinetic constants for the degradation of MB and AO7 under visible irradiation.
MBAO7
Nanoparticleskapp (min−1)t1/2 (min)R2kapp (min−1)t1/2 (min)R2
TiO2- -9.253 × 10−4749.070.9531
TiO2/Ag(9.3%)2.451 × 10−228.280.99861.895 × 10−236.580.9682
TiO2/Ag(17.1%)1.340 × 10−251.730.9891.028 × 10−267.430.934
TiO2/Ag(23.6%)1.192 × 10−258.150.97171.057 × 10−265.580.9659
Table 4. Comparison of previously reported decolorization studies of different dyes and the present study.
Table 4. Comparison of previously reported decolorization studies of different dyes and the present study.
Doped Nano-Particulate TiO2DyeSource IlluminationDiscoloration (%)kapp (min−1)Reference
Ag–TiO2 (50/50)Methyl orangeSimulating sunlight lamp (300 W)882.43 × 10−3[59]
Fe(2.5wt)-TiO2AO7Visible LED (10 W)~904.2 × 10−3[62]
W0.6%–TiO25%–ACRhodamine BVisible light-1.86 × 10−2[63]
Ag5%-TiO2E102 tartrazineHg lamp (400 W)764.15 × 10−3[53]
Fe–TiO2–MWCNTMBTungsten Lamp (200 W)583 × 10−3[64]
Ag3%-TiO2TartrazineSolar Simulator with Xenon light source878.38 × 10−3[65]
Ag/Ti3C2/TiO2Rhodamine-BVisible light (300 W Xe lamp) 974.73 × 10−3[66]
Ag3 wt%@TiO2Rhodamine-BSunlight994.77 × 10−2[67]
Ag3%-TiO2MBVisible light
(Xe lamp)
945.57 × 10−2[61]
TiO2/Ag(9.3%)MBVisible light
(8 W × 2)
992.451 × 10−2Current work
TiO2/Ag(9.3%)AO7Visible light
(8 W × 2)
951.895 × 10−2Current work
Table 5. k values obtained for stability tests.
Table 5. k values obtained for stability tests.
Cyclekapp, min−1 (MB)kapp, min−1 (AO7)
I cycle0.02380.0219
II cycle0.02380.0168
III cycle0.01870.0157
IV cycle0.01850.0181
V cycle0.01920.0193
Table 6. List of the physicochemical properties of tap water.
Table 6. List of the physicochemical properties of tap water.
ParameterValue
Conductivity (µS cm−1)471
Sodium (ppm)3.25
Potassium (ppm)1.12
Calcium (ppm)85.9
Magnesium (ppm)16.1
Chlorides, Cl (ppm)4.8
Sulfates, SO42− (ppm)17.1
Bicarbonates, HCO3 (ppm)319
Nitrates, NO3 (ppm)4
Disclaimer/Publisher’s Note: The statements, opinions and data contained in all publications are solely those of the individual author(s) and contributor(s) and not of MDPI and/or the editor(s). MDPI and/or the editor(s) disclaim responsibility for any injury to people or property resulting from any ideas, methods, instructions or products referred to in the content.

Share and Cite

MDPI and ACS Style

Boudechiche, N.; Morante, N.; Sannino, D.; Monzillo, K.; Trari, M.; Sadaoui, Z. Enhanced Visible-Light Photocatalysis Activity of TiO2/Ag Nanocomposites Prepared by the Ultrasound-Assisted Sol–Gel Method: Characterization and Degradation–Mineralization of Cationic and Anionic Dyes. Catalysts 2024, 14, 883. https://doi.org/10.3390/catal14120883

AMA Style

Boudechiche N, Morante N, Sannino D, Monzillo K, Trari M, Sadaoui Z. Enhanced Visible-Light Photocatalysis Activity of TiO2/Ag Nanocomposites Prepared by the Ultrasound-Assisted Sol–Gel Method: Characterization and Degradation–Mineralization of Cationic and Anionic Dyes. Catalysts. 2024; 14(12):883. https://doi.org/10.3390/catal14120883

Chicago/Turabian Style

Boudechiche, Noreddine, Nicola Morante, Diana Sannino, Katia Monzillo, Mohamed Trari, and Zahra Sadaoui. 2024. "Enhanced Visible-Light Photocatalysis Activity of TiO2/Ag Nanocomposites Prepared by the Ultrasound-Assisted Sol–Gel Method: Characterization and Degradation–Mineralization of Cationic and Anionic Dyes" Catalysts 14, no. 12: 883. https://doi.org/10.3390/catal14120883

APA Style

Boudechiche, N., Morante, N., Sannino, D., Monzillo, K., Trari, M., & Sadaoui, Z. (2024). Enhanced Visible-Light Photocatalysis Activity of TiO2/Ag Nanocomposites Prepared by the Ultrasound-Assisted Sol–Gel Method: Characterization and Degradation–Mineralization of Cationic and Anionic Dyes. Catalysts, 14(12), 883. https://doi.org/10.3390/catal14120883

Note that from the first issue of 2016, this journal uses article numbers instead of page numbers. See further details here.

Article Metrics

Back to TopTop