Abstract
A series of supported MnOx/MgAl-layered double hydroxide (LDH) catalysts were prepared by hydrothermal co-precipitation to investigate their catalytic performances for low-temperature formaldehyde oxidation reactions. Activity tests show that the 10Mn/Mg3Al1-LDH catalyst exhibits higher efficiency for low-temperature formaldehyde oxidation with a high CO2 yield. It also shows remarkable long-term operational stability as well as good adaptability to different velocities and humidities. Various characterizations were carried out to establish the possible structure–activity correlations. The results show that there were a large number of hydroxyl groups in the 10Mn/MgAl-LDH catalysts, and the hydroxyl groups were positively correlated with Mg2+ content. The outstanding catalytic performance of 10Mn/Mg3Al1-LDH can be attributed to abundant surface hydroxyl groups, surface adsorbed oxygen and higher Mn4+/Mn3+ ratios. Through in situ Fourier-transform infrared spectroscopy (in situ FTIR), it was revealed that formaldehyde was gradually converted into CO2 and water with dioxymethylene (DOM), formate and carbonate as the major intermediates under the action of both active oxygen and active hydroxyl groups. The active oxygen and active hydroxyl groups consumed in the process are continuously replenished by the effective reaction between the oxygen molecules in the air and the active site of the catalyst. The low-temperature asynchronous conversion of formaldehyde results in the accumulation of some intermediates on the catalyst surface covering the active center, which induces catalyst deactivation.
1. Introduction
Formaldehyde is an important chemical raw material as well as a common indoor volatile organic pollutant (VOC) that is mainly derived from artificial boards, coatings, insulation materials, furniture, etc., for home decoration [1]. Formaldehyde is highly toxic and detrimental to human health. In 2004, formaldehyde was classified as Group I carcinogen by the International Agency for Research on Cancer (IARC). Therefore, it is of great significance to find efficient and inexpensive methods to remove formaldehyde for improved indoor air quality and human health [2]. Due to the harmfulness of formaldehyde and the importance of removing indoor formaldehyde, researchers have conducted a lot of studies and developed a variety of technologies for the removal of indoor formaldehyde, including source control, natural ventilation, physical adsorption, photocatalytic oxidation, plasma synergistic catalysis and low-temperature thermal catalytic oxidation [3]. Among them, low-temperature thermal catalytic oxidation possesses the advantages like high efficiency, low energy consumption, multiple recycling and no secondary pollution, thereby attracting attention for both research and industrial applications [4].
In general, noble metal-based catalysts such as Pt, Au and Pd are recognized to show the best performance in low-temperature formaldehyde removal, but their highly expensive cost restricts their large-scale application [5,6,7]. The transitional metal (Mn, Cu, Fe, Co, etc.) catalysts that are more economical have become some of the most promising substitutes for noble metal-based catalysts [8,9,10]. Manganese oxides (MnOx) have long been widely used in VOC catalytic oxidation due to their low price, high catalytic activity and abundant crystal morphology [11]. In 2002, Sekine et al. [12] first reported that MnO2 showed the best performance in formaldehyde removal within 24 h of reaction among various metal oxides. Dai et al. [13] prepared α-MnO2, γ-MnO2 and δ-MnO2 nanosheets via the KMnO4/MnSO4 redox reaction and found out that δ-MnO2 had the highest catalytic activity. Fang et al. [14] prepared MnOx catalysts through the direct reduction of KMnO4 with coconut shell activated carbon and found out that the δ-MnO2 shaped like a thin nanosheet presented rich and abundant Mn4+ and surface active oxygen species, which were responsible for the higher catalytic activity.
The supported metal oxide catalysts constructed by loading active components onto the support material are more commonly used in practice. Hence, different support materials and pretreatments are closely related to the efficiency of formaldehyde removal. Wang et al. [15] prepared supported manganese-based catalysts through in situ redox reactions where pozzolanite (PG), montmorillonite (MT) and diatomaceous earth (DT) were used as different supports. Among them, MnO2/PG showed the best catalytic performance in formaldehyde oxidation. Han et al. [16] pretreated diatomaceous earth with a 5 wt% hydrochloric acid solution in an ultrasonic water bath at 80 °C. It was revealed that, after the acid treatment, the impurities in the diatomaceous earth were removed compared to the original diatomaceous earth, which increased the number of pores in the diatomaceous earth and provided good conditions for formaldehyde adsorption. Zhang et al. [17] demonstrated that the modification by preoxidation-assisted impregnation significantly improved the surface chemistry and formaldehyde adsorption properties of MnOx/ACS-O (preoxidized activated carbon spheres). The abundance of Mn4+ and surface active oxygen species on the surface of MnOx/ACS-O catalysts is believed to be the main reason for their high catalytic oxidation activity and stability.
Hydrotalcites, also known as layered double hydroxides (LDHs), are considered to be the novel support materials fit for catalyst preparation. LDHs present a special bilayer structure that is composed of several positively charged main layers and a balanced anion charge in the middle. The properties of LDHs can be easily tuned by replacing the anions located between the layers. The reactant molecules can enter the LDH layers and interact with different active ion sites more effectively. Moreover, LDHs can form complex metal oxides after calcination, which can then be partially restored to an ordered, layered structure by immersion in the solution containing the corresponding anions (known as the “memory effect”). Hence, due to their unique double-layered structure, hydrotalcite and its derived composite metal oxides are beneficial in enhancing strong metal–carrier interactions, improving the dispersion of active components, increasing the thermal stability of catalysts and thus enhancing their catalytic efficiency. They are widely used in organo-catalysis, photocatalysis, electrocatalysis and adsorption [18,19]. Zhang et al. [20] prepared layered CuAl-LDH precursors by using the co-precipitation method and obtained Cu/ZnO/Al2O3 catalysts through subsequent heat treatment. It was found out that, due to the special layered structure, large specific surface area and rich pore structure, CuAl-LDH can promote the distribution of Cu species, increase the interaction between Cu and Zn, and improve the catalytic activity. Naghel-Danaei et al. [21] prepared Ni-Al and Co-Ni hydrotalcite catalysts by using the co-precipitation method and found out that Co-Ni-LDH showed higher activity for the catalytic combustion of toluene. However, the applications of hydrotalcite catalysts to low-temperature formaldehyde removal are rarely reported. In order to further explore novel catalytic systems for the low-temperature catalytic oxidation of formaldehyde, it would be a promising strategy to develop the MnOx-based oxide catalysts with hydrotalcites as support materials.
In the current work, supported MnOx/MgAl-LDHs catalysts were prepared by using the hydrothermal co-precipitation method and then evaluated for their catalytic performance in low-temperature formaldehyde removal. The factors including Mg/Al ratio and MnOx loading content were optimized, while the influence of space velocity and relative humidity on the catalytic performance was examined. Both physical and chemical properties were revealed via systematical characterizations, and the intermediate products of toluene adsorption and oxidation were analyzed by means of in situ Fourier-transform infrared spectroscopy (in situ FTIR). The scope of this work is to report highly efficient MnOx/MgAl-LDHs catalysts, providing practical and theoretical reference for the application of hydrotalcite-loaded manganese oxide catalysts to formaldehyde removal.
2. Results and Discussion
2.1. Catalytic Activity
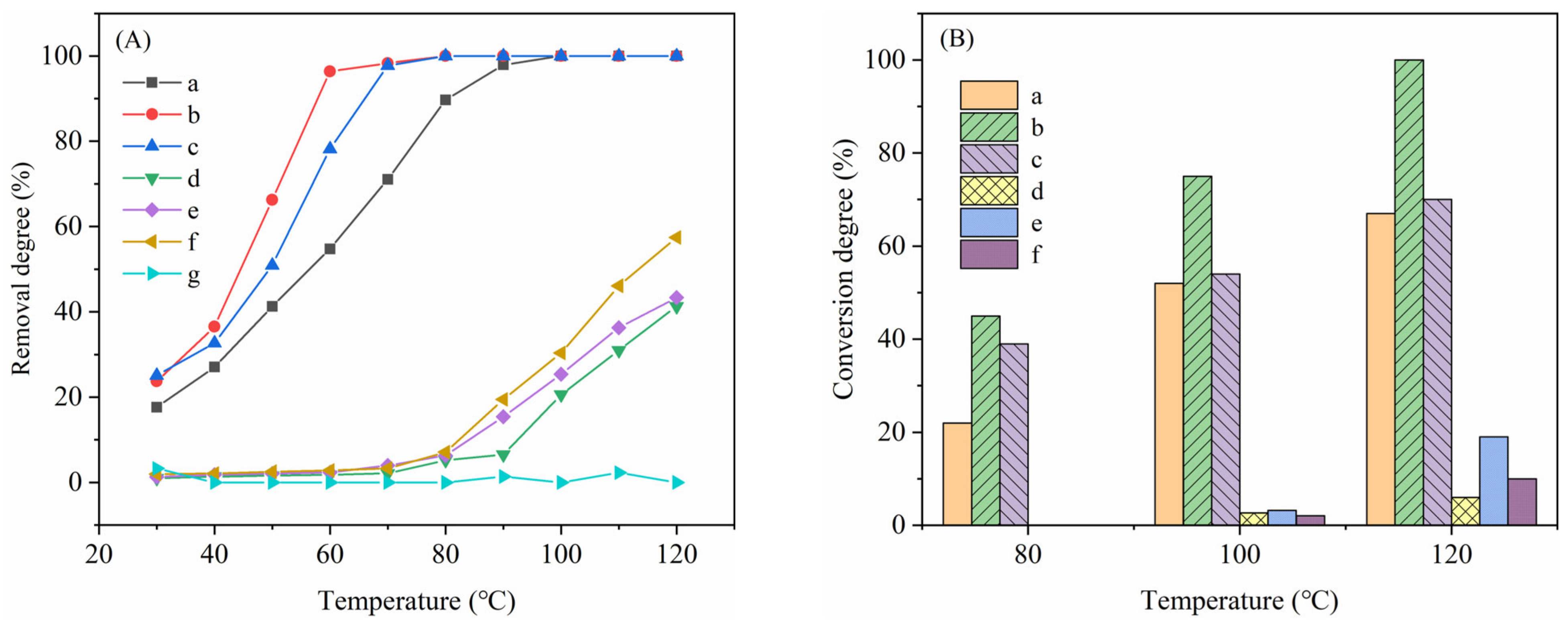
Figure 1 shows the formaldehyde removal and conversion degree of Mg1Al1-LDH, Mg3Al1-LDH, Mg5Al1-LDH, 10Mn/Mg1Al1-LDH, 10Mn/Mg3Al1-LDH and 10Mn/Mg5Al+-LDH catalysts. As shown in Figure 1A, the formaldehyde removal degree reaches almost 100% at 100 °C over 10Mn/Mg1Al1-LDH, which was relatively less active compared to 10Mn/Mg3Al1-LDH and 10Mn/Mg5Al1-LDH. The formaldehyde complete removal temperature of both 10Mn/Mg3Al1-LDH and 10Mn/Mg5Al1-LDH was 80 °C. Overall, 10Mn/Mg3Al1-LDH has stronger formaldehyde removal activity at a lower temperature range (40~70 °C). Mg1Al1-LDH, Mg3Al1-LDH, and Mg5Al1-LDH were almost inactive in terms of formaldehyde removal within 40~60 °C, and their removal degree was all below 10%. It is noteworthy that the formaldehyde removal degree of MgAl-LDH increased accordingly with the increase in the reaction temperature, which may be caused by the adsorption–oxidation process of formaldehyde by the abundant hydroxyl groups on the hydrotalcite surface. The formaldehyde molecules can adsorb the surface hydroxyl groups through hydrogen bonding [22]. With the temperature rise, the adsorbed formaldehyde could be oxidized into formate, CO species, and finally CO2. Additionally, the formaldehyde removal of hydrotalcite with different Mg2+/Al3+ ratios followed this order: Mg5Al1-LDH > Mg3Al1-LDH > Mg1Al1-LDH. The removal degree was positively correlated with the Mg2+ content in the hydrotalcite. The increase in Mg2+ content in MgAl-LDH causes a rise in the number of hydroxyl groups, which may be an important reason for the activity sequence.
Figure 1.
HCHO removal degree (A) and conversion degree (B) of 10Mn/Mg1Al1-LDH (a), 10Mn/Mg3Al1-LDH (b), 10Mn/Mg5Al1-LDH (c), Mg1Al1-LDH (d), Mg3Al1-LDH (e), Mg5Al1-LDH (f) and blank (g), when GHSV = 50,000 h−1, and RH = 60 ± 3%.
As shown in Figure 1B, the 10Mn/Mg3Al1-LDH catalyst has the highest efficiency for the complete oxidation of formaldehyde, with its conversion degree reaching 45% at 80 °C and 100% when the reaction temperature reaches 120 °C. By comparing Figure 1A and Figure 1B, it is clear that the formaldehyde removal degree and formaldehyde conversion degree are not synchronized. Part of the formaldehyde adsorbed onto the catalyst surface during the low-temperature reaction is completely oxidized to CO2 and water, while the rest accumulates on the catalyst surface in the form of reaction intermediates covering the reaction active center, which in turn can cause deactivation of the catalyst.
2.2. Effect of MnOx Loading Content
The loading content of active components is an important factor affecting the activity of loaded catalysts as well as one of the factors determining the raw material costs. Hence, in this study, 5Mn/Mg3Al1-LDH, 10Mn/Mg3Al1-LDH, and 20Mn/Mg3Al1-LDH were prepared by changing the mass ratio of KMnO4 to Mg3Al1-LDH for adjustment to the loading amount. Their formaldehyde catalytic activities are shown in Figure 2. Both the formaldehyde removal degree and conversion degree increased with the increase in Mn loading. Overall, 20Mn/Mg3Al1-LDH showed a significantly higher formaldehyde removal degree at low temperatures (30~70 °C) than 10Mn/Mg3Al1-LDH and 5Mn/Mg3Al1-LDH. However, the difference in temperature of complete formaldehyde removal by these three catalysts was small, reaching 80 °C basically. For the 20Mn/Mg3Al1-LDH catalyst, the complete oxidation of formaldehyde into CO2 occurred at 100 °C. For 10Mn/Mg3Al1-LDH, the formaldehyde conversion degree reached 100% at 120 °C, while that of 5Mn/Mg3Al1-LDH was only 72% at the same temperature. Therefore, considering the balance between cost and catalyst effectiveness, 10% is more appropriate and less costly.
Figure 2.
Effect of Mn loading on HCHO removal (A) and conversion (B) by 20Mn/Mg3Al1-LDH (a), 10Mn/Mg3Al1-LDH (b) and 5Mn/Mg3Al1-LDH (c), when GHSV = 50,000 h−1, and RH = 60 ± 3%.
2.3. Adaptability to Different GHSV and Humidity
Reaction space velocity is an important factor affecting catalytic performances, especially in gas–solid heterogeneous reactions. To explore the adaptability to different reaction space velocity, the effect of different GHSV on the 10Mn/Mg3Al1-LDH catalyst with the best catalytic avidity above was examined. As shown in Figure 3A, the formaldehyde removal degree of 10Mn/Mg3Al1-LDH does not vary significantly when the air velocity is 30,000 h−1 or 50,000 h−1. The formaldehyde removal degree can reach 100% when the reaction temperature is 80 °C. However, the formaldehyde removal degree of 10Mn/Mg3Al1-LDH decreases significantly when the air velocity rises to 80,000 h−1, with the temperature of complete formaldehyde removal reaching 110 °C. The higher air velocity causes the formaldehyde molecules to be wiped out by the airflow before they can come into contact and react with the catalyst, resulting in a decrease in the reaction effect. Unlike the formaldehyde removal degree, the effect of GHSV variation on the formaldehyde conversion degree was not dramatic, and the airspeed had a limited effect on the formaldehyde conversion efficiency (Figure 3B), indicating that 10Mn/Mg3Al1-LDH has a high adaptability to airspeed variation.
Figure 3.
Effect of GHSV on HCHO removal degree (A) and conversion degree (B) by 10Mn/Mg3Al1-LDH catalyst, when RH = 60 ± 3%.
Furthermore, the variations in catalytic performances of 10Mn/Mg3Al1-LDH at a relative humidity of 40%, 50%, 70%, or 80% were tested, the results of which are shown in Figure 4. With the increase in relative humidity, the formaldehyde removal degree and conversion degree both increase first and then decrease. At a relative humidity of 40%, the formaldehyde removal degree of 10Mn/Mg3Al1-LDH was lower than 80% after 13.5 h of reaction. While at a relative humidity of 70%, the formaldehyde removal effect of 10Mn/Mg3Al1-LDH was optimal, and the removal degree was still close to 100% after 20 h of uninterrupted reaction. The change of formaldehyde conversion degree at different humidities is quite similar to the formaldehyde removal degree. Some researchers [23,24] have suggested that the water molecules in the reaction gas stream can be converted into active hydroxyl groups in contact with active oxygen on the catalyst surface, which can be used to compensate for the hydroxyl groups consumed during formaldehyde oxidation and to ensure catalytic efficiency. However, it has also been pointed out that excessive water can adsorb the catalyst and compete with formaldehyde molecules for reaction sites, thus hindering formaldehyde oxidation and causing a decrease in catalytic activity.
Figure 4.
Effect of relative humidity on HCHO removal and conversion by 10Mn/Mg3Al1-LDH catalyst, at 80°C, and when GHSV = 50,000 h−1.
Moreover, the 10Mn/Mg3Al1-LDH catalyst also shows high stability and excellent regeneration ability. As shown in Figure S1, after 12 h of reaction, the formaldehyde removal degree of 10Mn/Mg3Al1-LDH decreased to about 85% and it can be totally restored to 100% through a simple regeneration process. After four times of regeneration, no permanent deactivation can be observed (the formaldehyde removal degree of about 85% as the initial sample), which indicates the quite good long-term operational stability and feasible regeneration ability of the 10Mn/Mg3Al1-LDH catalyst. It also exhibits certain catalytic advantages over previously reported Mn-based catalysts (Table S1 [15,16,25,26,27,28,29]) especially at low temperatures and under humid reaction conditions.
2.4. XRD Analyses
Figure 5 presents the XRD patterns of the prepared Mg1Al1-LDH, Mg3Al1-LDH, Mg5Al1-LDH, 10Mn/Mg1Al1-LDH, 10Mn/Mg3Al1-LDH, and 10Mn/Mg5Al1-LDH catalysts, respectively. As shown in Figure 5A, distinct diffraction peaks can be observed at 10.98°, 22.86°, 34.73°, 38.64°, 45.74°, 59.96°, and 61.12°, corresponding to (003), (006), (012), (015), (018), (110) and (113) planes of Mg6Al2(OH)18·4.5H2O phase (JCPDS No. 35-0965) [19,30], respectively. Such XRD results confirm the successful preparation of Mg-Al hydrotalcite in this study. For Mg1Al1-LDH, strong diffraction peaks at 14.34°, 28.15°, 49.15° and 55.23° can also be observed, which can be assigned to (020), (120), (200), and (151) planes of Boehmite γ-AlOOH phase (JCPDS No. 21-1307) [31], indicating that Mg1Al1-LDH is a mixture of Mg6Al2(OH)18·4.5H2O and Boehmite γ-AlOOH. After the loading of MnOx (Figure 5B), 10Mn/MgAl-LDH maintained the hydrotalcites structural morphology, but the diffraction peak intensity of 10Mn/MgAl-LDH decreased significantly compared with that of MgAl-LDH because MnOx covered the hydrotalcite supports. Through the comparison with the JSPDS cards, it can be seen that the manganese oxides loaded onto Mg-Al hydrotalcites are mainly δ-MnO2 (JCPDS No. 80-1098) and Mn3O4 (JCPDS Card No. 01-1127) [32]. For 10Mn/Mg5Al1-LDH and 10Mn/Mg1Al1-LDH, only δ-MnO2 can be identified. While for 10Mn/Mg3Al1-LDH, both δ-MnO2 and Mn3O4 are presented on the catalyst surface. It is worth mentioning that the MnOx/MgAl-LDHs were prepared using the in situ redox reaction, and the obtained precipitate was not subjected to high-temperature calcination. Therefore, all the MnOx/MgAl-LDHs samples exhibit relatively low crystallinity. Thus, only δ-MnO2 can be identified in the 10Mn/Mg5Al1-LDH and 10Mn/Mg1Al1-LDH does not necessarily mean absence of Mn3O4 exists in these two samples. The missing signal could be caused by the poor crystallinity or widespread distribution of Mn3O4 species. δ-MnO2 is reported to possess a special two-dimensional layer tunnel structure, containing more reactive oxygen species and surface hydroxyl groups [33], which is favorable to formaldehyde adsorption and high oxidation activity. In addition, the presence of both δ-MnO2 and Mn3O4 in 10Mn/Mg3Al1-LDH indicates that this catalyst has an abundant valence state of Mn, which facilitates the occurrence of electron exchange during the catalytic reaction. This may be the reason for its highest catalytic activity for formaldehyde removal.
Figure 5.
XRD patterns of Mg5Al1-LDH (a), Mg3Al1-LDH (b), Mg1Al1-LDH (c), 10Mn/Mg5Al1-LDH (d), 10Mn/Mg3Al1-LDH (e), and 10Mn/Mg1Al1- LDH (f). The standard XRD patterns of Mg6Al2(OH)18·4.5H2O (35-0965), γ-AlOOH (21-1307), δ-MnO2 (80-1098) and Mn3O4 (01-1127) are also shown in the subfigures.
2.5. N2 Adsorption/Desorption Measurements
Table 1 lists the textural parameters of the prepared MgAl-LDH and 10Mn/MgAl-LDH catalysts calculated using the results of N2 adsorption/desorption. The N2 adsorption/desorption isotherms of both MgAl-LDH and 10Mn/MgAl-LDH catalysts are similar to the type IV adsorption curves classified by IUPAC, indicating that the prepared catalysts possess typical mesoporous structures. The BET specific surface areas of MgAl-LDH and 10Mn/MgAl-LDH ranged from 10 to 26 m2/g due to the stacking of the hydrotalcite flakes. Mg3Al1-LDH shows the largest BET-specific surface area, followed by Mg1Al1-LDH and Mg5Al1-LDH in descending order. With a slightly larger specific surface area, 10Mn/Mg1Al1-LDH, 10Mn/Mg3Al1-LDH and 10Mn/Mg3Al1-LDH catalysts followed a similar trend. The pore volumes of Mg1Al1-LDH, Mg3Al1-LDH and Mg5Al1-LDH decreased with the increase in Mg2+ content. However, after the loading of MnOx, the pore volumes of 10Mn/MgAl-LDH barely changed. According to the catalytic activity tests above, although larger specific surface areas are generally beneficial, the above result indicates that the surface areas may not be the sole factor determining the catalytic performance.
Table 1.
Textural parameters of the prepared Mn/MgAl-LDH and 10Mn/MgAl-LDH catalysts.
2.6. SEM Observations
The morphologies of the prepared Mn/MgAl-LDH and 10Mn/MgAl-LDH catalysts were observed by SEM and the recorded images are shown in Figures S2 and S3. For Mg1Al1-LDH (Figure S2A), it exhibits a fish-scale structure with obvious lamellar distribution and the tightly stacked clusters of lamellar structure. For Mg3Al1-LDH and Mg5Al1-LDH, the dispersed crystalline particles with smoother surfaces can be observed with the particle sizes ranging from 1 μm to 5 μm. These results indicate the relatively weak crystallization of Mg1Al1-LDH, which is consistent with the XRD results.
For the MnOx-loaded 10Mn/MgAl-LDH catalysts, it can be observed from Figure S3 that the surfaces of 10Mn/Mg1Al1-LDH, 10Mn/Mg3Al1-LDH and 10Mn/Mg5Al1-LDH particles are rougher and distributed with the small particles of MnOx. In particular, 10Mn/Mg3Al1-LDH is more obvious (Figure S3D), indicating that MnOx is successfully loaded onto the hydrotalcites. MnOx covers the surface of MgAl hydrotalcites, causing the diffraction peak intensity of 10Mn/MgAl-LDH to be weaker than that of MgAl-LDH. This further confirms the XRD test results.
2.7. Thermogravimetric Analysis
Thermogravimetric tests were also performed to further investigate the hydroxyl content in the catalyst. Figure S4 presents the TG-DTG curves of the prepared Mn/MgAl-LDH and 10Mn/MgAl-LDH catalysts. According to the range of temperature, the weight loss stage can be roughly divided into the bound water removal stage (50–350 °C) and the decarburization/dehydroxylation stage (>350.0–800.0 °C) [34,35]. The removal temperature of bound water in Mg1Al1-LDH, Mg3Al1-LDH and Mg5Al1-LDH was 222.43 °C, 218.80 °C and 142.26 °C, corresponding to the weight losses of 11.83%, 15.09% and 14.90%, respectively. It can thus be concluded that the bound water in Mg3Al1-LDH and Mg5Al1-LDH is significantly higher than that of Mg1Al1-LDH, but the difference of bound water content in both Mg3Al1-LDH and Mg5Al1-LDH is insignificant. The decarburization/dehydroxylation temperature of Mg1Al1-LDH, Mg3Al1-LDH and Mg5Al1-LDH was 353.88 °C, 377.73 °C and 386.26 °C, respectively. Accordingly, the weight loss was 28.37%, 31.60% and 32.80%, respectively. It increased with a rise in Mg content, indicating that the Mg2+ content in hydrotalcite analogues affects the number of hydroxyl groups. After the loading of MnOx, the decarburization/dehydroxylation temperature of 10Mn/Mg1Al1-LDH and 10Mn/Mg3Al1-LDH increased to 399.28 °C and 384.47 °C, respectively, suggesting that the presence of manganese oxides can improve the thermal stability of 10Mn/Mg1Al1-LDH to some extent.
2.8. X-ray Photoelectron Spectroscopy
The chemical state of surface elements of 10Mn/MgAl-LDH catalysts was analyzed by XPS. The recorded spectra are shown in Figure 6 and the quantitative results are listed in Table 2. Figure 6A shows the overall scanning spectra. Figure 6B shows the Mn 2p spectra, which is further fitted into two sets of peaks as (641.1 eV and 652.8 eV as one set, while 642.4 eV and 553.9 eV as another set) corresponding to Mn3+ and Mn4+, respectively [13,36]. The 10Mn/Mg3Al1-LDH catalyst had the highest Mn4+/Mn3+ (0.75), followed by 10Mn/Mg5Al1-LDH (0.66), while the 10Mn/Mg1Al1-LDH catalyst had the lowest Mn4+/Mn3+ (0.51). This phenomenon suggests that the presence of more Mn4+ species on the surface of 10Mn/Mg3Al1-LDH provides a large number of reactive sites for formaldehyde oxidation. The average oxidation state (AOS) [15] of Mn was calculated using the empirical formula AOS = 8.956–1.126ΔE3s (ΔE3s, the difference of splitting energy level in Mn3s spectra) based on Mn 3s spectra (Figure 6C). As shown in Table 2, the AOS of 10Mn/Mg3Al1-LDH (3.89) is higher than that of 10Mn/Mg5Al1-LDH (3.70) and 10Mn/Mg1Al1-LDH (3.65), further revealing that there is a significant amount of Mn4+/Mn3+ in the 10Mn/Mg3Al1-LDH catalyst. This is consistent with the Mn 2p2/3 orbital XPS results. As reported in the literature [37], a large amount of Mn4+ can provide sufficient reactive sites for the catalytic oxidation of formaldehyde.

Figure 6.
XPS spectra of 10Mn/Mg1Al1-LDH, 10Mn/Mg3Al1-LDH and 10Mn/Mg5Al1-LDH: total survey scans (A), Mn 2p (B), Mn 3s (C), and O1s (D).
Table 2.
The chemical state and ratio of Mn and O on 10Mn/Mg1Al1-LDH catalysts.
Figure 6D presents the O 1s spectra, which can be decomposed into three peaks located at around 530.1 eV, 531.5 eV and 532.1 eV, respectively, representing three different types of oxygen in the 10Mn/MgAl-LDH catalysts as surface lattice oxygen (Olatt), surface adsorbed oxygen (Oads) and surface hydroxyl oxygen (OOH), respectively [31,38,39]. As shown in Table 2, 10Mn/Mg5Al1-LDH has the highest OOH ratio (0.56) as the surface -OH content of 10Mn/MgAl-LDH is correlated with the Mg content in the hydrotalcites. These -OH groups not only adsorb formaldehyde molecules through hydrogen bonding, but also act as reaction sites to promote the oxidation of formaldehyde into CO2 and water. The large amount of adsorbed water and laminate -OH in hydrotalcites may react with surface reactive oxygen species to form reactive hydroxyl groups that participate in the conversion of intermediates [40,41]. The Oads of the 10Mn/Mg3Al1-LDH catalyst (0.23) was higher than that of the other catalysts, indicating that 10Mn/Mg3Al1-LDH had the most abundant surface adsorbed oxygen (O2−, O−). Although the ratio of surface adsorbed oxygen of 10Mn/Mg5Al1-LDH was slightly lower than that of 10Mn/Mg1Al1-LDH, the -OH content of 10Mn/Mg5Al1-LDH was much higher than that of 10Mn/Mg1Al1-LDH. This led to its excellent formaldehyde adsorption performance and made the catalytic activity of formaldehyde of 10Mn/Mg5Al1-LDH stronger compared to 10Mn/Mg1Al1-LDH.
2.9. Fourier Transform Infrared Spectroscopy
Fourier transform infrared spectroscopy (FTIR) was conducted to characterize the chemical groups of the prepared Mn/MgAl-LDH and 10Mn/MgAl-LDH catalysts. As shown in Figure 7, the IR bands at 3500 cm−1 are ascribed to the symmetric stretching vibration of -OH in hydrotalcites laminates or adsorbed water, while the IR band at 1600 cm−1 is ascribed to the bending vibration of the O-H bond [42,43,44]. The presence of these two absorption peaks indicates that the prepared catalyst contains a large number of hydroxyl groups. It can also be observed that all catalysts have a sharp strong absorption peak near 1360 cm−1 due to the antisymmetric vibrational absorption of carbonate between hydrotalcites lamellae [45], indicating that the Mg-Al hydrotalcite with carbonate intercalation was synthesized in this study using the hydrothermal method. The chemical groups in 10Mn/MgAl-LDH did not change significantly after the loading of MnOx. The intensity of -OH absorption peaks of the 10Mn/MgAl-LDH catalysts was similar to that of MgAl-LDH, indicating that the surface of 10Mn/MgAl-LDH still had a large amount of -OH after the loading of MnOx. Such -OH groups on the surface of 10Mn/MgAl-LDH catalysts can adsorb formaldehyde molecules through hydrogen bonding, which is an important reason for its stronger formaldehyde adsorption and catalytic activity.
Figure 7.
FTIR patterns of Mg5Al1-LDH (a), Mg3Al1-LDH (b), Mg1Al1-LDH (c), 10Mn/Mg5Al1-LDH (d), 10Mn/Mg3Al1-LDH (e), and 10Mn/Mg1Al1-LDH (f).
2.10. In Situ FITR Characterizations
2.10.1. Surface Basic Sites
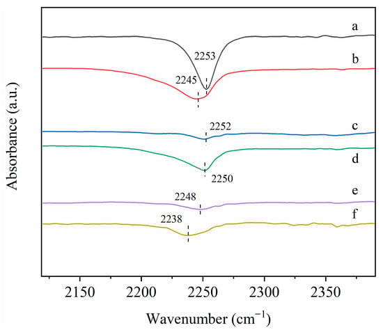
Figure 8 shows the in situ FTIR spectra of CDCl3 adsorption by the prepared Mn/MgAl-LDH and 10Mn/MgAl-LDH catalysts. Only one IR adsorption band in the range of 2238~2253 cm−1 can be observed for all samples, which is attributed to the C-D stretching vibration in the weak base site CDCl3 molecule adsorbed onto the catalyst surface [46]. Compared with MgAl-LDH, the IR absorption bands of 10Mn/Mg1Al1-LDH, 10Mn/Mg3Al1-LDH and 10Mn/Mg5Al1-LDH showed a significant red shift, indicating that the negative 10Mn/MgAl-LDH catalyst exhibits more basic sites than MgAl-LDH. The proton binding energy of Mg1Al1-LDH, Mg3Al1-LDH and Mg5Al1-LDH was 864.00 kJ·mol−1, 866.93 kJ·mol−1 and 877.48 kJ·mol−1, respectively. The basicity follows the following order: Mg1Al1-LDH < Mg3Al1-LDH < Mg5Al1-LDH, which indicates that the number of hydroxyl groups of MgAl-LDH increases with a rise in Mg2+ content, thus resulting in enhanced basicity. The proton binding energy of 10Mn/Mg1Al1-LDH, 10Mn/Mg3Al1-LDH and 10Mn/Mg5Al1-LDH was 872.41 kJ mol−1, 884.41 kJ mol−1 and 898.21 kJ mol−1, respectively, indicating an increase relative to MgAl-LDH. Such results demonstrate that MnOx loading can enhance the basic strength of the catalyst, which may be attributed to the introduction of K+ during the reaction of KMnO4 with ethanol. The basicity of 10Mn/MgAl-LDH catalysts follows the order that 10Mn/Mg1Al1-LDH < 10Mn/Mg3Al1-LDH < 10Mn/Mg5Al1-LDH. It is suggested that the number of hydroxyl groups affects the strength of catalyst basicity, which in turn leads to the difference in formaldehyde adsorption performance.
Figure 8.
In situ CDCl3 FTIR patterns of Mg1Al1-LDH (a), 10Mn/Mg1Al1-LDH (b), Mg3Al1-LDH (c), 10Mn/Mg3Al1-LDH (d), Mg5Al1-LDH (e), and 10Mn/Mg5Al1-LDH (f).
2.10.2. Formaldehyde Oxidation
Figure 9 shows the in situ FTIR spectra of formaldehyde oxidation by the prepared Mn/MgAl-LDH and 10Mn/MgAl-LDH catalysts. The assignments of IR adsorption bands based on previous literature are summarized in Table 3 for better interpretation.
Figure 9.
In situ FITR spectra of 10Mn/Mg1Al1-LDH (A), 10Mn/Mg3Al1-LDH (B) and 10Mn/Mg5Al1-LDH (C) during formaldehyde oxidation process.
Table 3.
IR adsorption band positions and the corresponding species based on previous reports.
Through the in situ FTIR spectra of 10Mn/Mg1Al1-LDH, 10Mn/Mg3Al1-LDH and 10Mn/Mg5Al1-LDH, it is clear that the reaction intermediates of formaldehyde are mainly dioxymethylene (DOM), formate, carbonate, water and CO2. The adsorption of unreacted formaldehyde molecules was found on the surfaces of 10Mn/Mg1Al1-LDH and 10Mn/Mg5Al1-LDH, but not on the surface of 10Mn/Mg3Al1-LDH, indicating that 10Mn/Mg3Al1-LDH has the optimal catalytic oxidation capacity of formaldehyde among the three catalysts, as the formaldehyde molecules adsorbed onto the surface of this catalyst can be rapidly oxidized into CO2 and water. Although formaldehyde molecules were also found on the surface of 10Mn/Mg5Al1-LDH, the intensity of its CO2 band was significantly higher than that of 10Mn/Mg1Al1-LDH, indicating its stronger catalytic oxidation of formaldehyde than 10Mn/Mg1Al1-LDH. This is consistent with the activity results. In addition, DOM was found on the surface of 10Mn/Mg5Al1-LDH and 10Mn/Mg1Al1-LDH, but not on the surfaces of the 10Mn/Mg3Al1-LDH catalyst, which indicates the rapid conversion of DOM into formate species. As reported by Ji et al. [48], HCHO is first adsorbed onto the catalyst surface and transformed into DOM. Then, DOM is converted into formate species with surface active oxygen (e.g., O2−, O−). Therefore, the fast conversion of DOM on the 10Mn/Mg3Al1-LDH surface can be attributed to the abundance of surface active oxygen, as demonstrated by the XPS results.
2.11. Brief Discussions about the Reaction Mechanism
Based on the results of the intermediate product analysis of formaldehyde for the 10Mn/Mg1Al1-LDH, 10Mn/Mg3Al1-LDH and 10Mn/Mg5Al1-LDH catalysts, a possible pathway to the conversion of formaldehyde is proposed in Figure 10. Firstly, the oxygen molecules in the air are adsorbed by the active site and decomposed to form surface active oxygen (O−, O2−) (VI), which oxidizes the Mn3+ in MnOx into Mn4+. Additionally, surface active oxygen (O−, O2−) can be combined with water molecules to form active hydroxyl groups (OH*) (VII). Meanwhile, formaldehyde is adsorbed on the catalyst surface (I) by a large number of hydroxyl groups on the hydrotalcites surface. It is then converted into DOM (II) by the nucleophilic attack of surface active oxygen species, followed by the further conversion of DOM into the stable intermediate formates (III). The formates then react with surface reactive oxygen and reactive hydroxyl groups to form the carbonate (IV) further oxidized into CO2 and water (V). Meanwhile, Mn4+ is reduced to Mn3+ by hydrocarbons. The effective reaction occurring between oxygen molecules in the air and the active sites of the catalyst continuously replenishes the depleted surface active oxygen for formaldehyde oxidation. The low-temperature asynchronous conversion of formaldehyde results in the accumulation of some intermediates on the catalyst surface covering the active center, thus resulting in catalyst deactivation.
Figure 10.
Possible reaction path of HCHO over 10Mn/MgAl-LDH catalysts.
3. Experimental Section
3.1. Catalysts Preparation
The MgAl-LDHs with different Mg/Al molar ratios (1:1, 3:1, and 5:1) were synthesized by using hydrothermal co-precipitation methods. First, 120 mL of an aqueous solution containing 0.12 mol of Mg(NO3)2·6H2O and Al(NO3)3·9H2O was gradually added dropwise into 120 mL of 0.05 mol/L Na2CO3 solution under constant stirring. At the same time, 1.0 mol/L NaOH solution was added to maintain the pH of the solution at about 10. Then, the obtained mixture was transferred to a stainless-steel autoclave and subjected to hydrothermal reaction at 100 °C for 12 h. Finally, the precipitate was filtered, washed thoroughly with deionized water, and dried at 100 °C for 12 h. The prepared hydrotalcites were named Mg1Al1-LDH, Mg3Al1-LDH, and Mg5Al1-LDH.
MnOx/MgAl-LDHs catalysts were prepared through the in situ redox reaction between KMnO4 and ethanol under alkaline condition. The theoretical mass ratio of Mn to MgAl-LDH was 1:10. 2 g of MgAl-LDH (sieved through 200 mesh) and 0.68 g of KMnO4 were added to 150 mL of deionized water and stirred for 0.5 h. Subsequently, 15 mL of NH3·H2O (25–28%) and 20 mL of ethanol were added to the above mixture and stirred at room temperature for 2 h. The obtained precipitate was filtered, washed thoroughly with deionized water, and dried at 100 °C for 12 h. The prepared 10Mn/MgAl-LDH was named as 10Mn/Mg1Al1-LDH, 10Mn/Mg3Al1-LDH and 10Mn/Mg5Al1-LDH.
3.2. Catalyst Characterization
X-ray diffraction (XRD) tests were performed on an ARL X’TRA diffractometer (Thermo-Fisher Corporation, Waltham, MA, USA) equipped with Cu Kα radiation operating at 40 kV and 30 mA. The XRD patterns were generally collected from 7 to 70° given a scan rate of 10°/min and a step size of 0.02°.
N2 adsorption/desorption measurements were performed on a Kubo-x-1000 analyzer (Beijing Biode Co., Ltd., Beijing China) at −196.0 °C. The samples were pre-degassed at 200.0 °C for 2 h under vacuum conditions.
Scanning electron microscopy (SEM) images were captured by a Hitachi S-3400N microscope (Hitachi Corporation, Tokyo, Japan) at 30 kV, whose secondary electron resolution was 3 nm.
Thermogravimetric (TG) analysis was performed using a Q600SDT thermal differential analyzer (TA Company, New Castle, DE, USA). The samples were heated from 20.0 °C to 850.0 °C at a 10.0 °C/min heating rate in N2 atmosphere.
X-ray photoelectron spectroscopy (XPS) analysis was conducted on a PHI5000 VersaProbe X-ray photoelectron spectrometer (Japan ULVAC-PHI Corporation, Kanagawa, Japan) equipped with mono-chromated Al Kα radiation.
Fourier transform infrared spectroscopy (FTIR) measurements were performed with a TENSOR 27 infrared spectrometer (Bruker Company, Billerica, MA, USA) equipped with DTGS detector. The samples were mixed with KBr at a mass ratio of 1:100, baked using IR lights and then pressed before test. The IR spectra were recorded at RT by accumulating 60 scans from 500~4000 cm−1 at a resolution of 4 cm−1.
The in situ Fourier infrared transmission spectroscopy (in situ FTIR) experiments were performed in an in situ spectroscopy/high vacuum integrated testing system (Xiamen Tops Instrument Development Co., Ltd., Xiamen, China) attached to the TENSOR 27 infrared spectrometer (Bruker Company). To characterize the surface basic sites, CDCl3 was used as probing molecule and the proton affinity (PA) [46] was calculated according to Equation (1):
where PA represents the proton affinity (kJ·mol−1) and ΔνCD represents the red-shift wavenumber of the characteristic IR band (cm−1).
The intermediates of the reaction were also characterized by in situ FTIR. During the test, formaldehyde was introduced, and the infrared spectra were recorded at 0 min, 5 min, 10 min, 20 min, and 30 min during the reaction process at 50 °C, respectively.
3.3. Catalytic Activity Tests
The catalytic activity evaluations were carried out in a fixed-bed reactor. The reaction gas contained 100 ppm formaldehyde and clean air. The gas hourly space velocity (GHSV) was maintained at 30,000 h−1. During activity test, the temperature of the reactor was raised to certain points and then maintained for about 40 min until a stable reaction. The outlet gas was analyzed by a JC-ADZ-3T gas analyzer (Qingdao Juchuang Co., Ltd., Qingdao, China) The formaldehyde removal degree and formaldehyde conversion degree of the catalyst at each temperature can be calculated using the following formulas:
where Xformaldehyde represents the removal degree of formaldehyde (%); Cin and Cout represent the formaldehyde concentration (ppm) in the initial inlet and outlet gas at each temperature; XCO2 represents the conversion degree of formaldehyde (%); and CCO2 represents the CO2 concentration in the outlet gas (ppm).
The catalysts after 12 h of activity tests were then regenerated by air purging at 150 °C for 4 h, and subjected to the next round of activity test to verify its stability and regeneration ability.
4. Conclusions
In this study, a series of supported MnOx/MgAl-LDHs catalysts were prepared by using the hydrothermal co-precipitation method and then evaluated for the catalytic performance in low-temperature formaldehyde removal. Overall, 10Mn/Mg3Al1-LDH was verified to possess the best catalytic performance (formaldehyde complete removal temperature at 80 °C). It also shows outstanding long-term operational stability (formaldehyde removal degree above 85% after 12 h of continuous reaction and four times of regeneration) as well as good adaptability to different levels of GHSV and humidity, which suggests its potential in practical applications. Catalysts characterization results showed that abundant surface hydroxyl groups, surface adsorbed oxygen and higher Mn4+/Mn3+ ratios provide favorable conditions for the formaldehyde oxidation by 10Mn/Mg3Al1-LDH catalyst. The main intermediate products of formaldehyde oxidation by 10Mn/MgAl-LDH catalysts were DOM, formate and carbonate, which would be gradually converted into CO2 and water with active oxygen and active hydroxyl. The asynchronous conversion of formaldehyde led to the accumulation of intermediate products, which was responsible for the deactivation of the catalyst.
Supplementary Materials
The following supportive information can be downloaded at: https://www.mdpi.com/article/10.3390/catal13091283/s1, Figure S1. Stability and regeneration tests result of 10Mn/Mg3Al1-LDH for HCHO removal and conversion, 80 °C, GHSV = 50,000 h−1, RH = 60 ± 3%; Figure S2. SEM images of Mg3Al1-LDH (A), Mg5Al1-LDH (B), Mg5Al1-LDH (C); Figure S3. SEM images of 10Mn/Mg3Al1-LDH (A,B), 10Mn/Mg5Al1-LDH (C,D), 10Mn/Mg5Al1-LDH (E,F); Figure S4. TG and DTG curves of Mg1Al1-LDH (A), 10Mn/Mg1Al1-LDH (B), Mg3Al1-LDH (C), 10Mn/Mg3Al1-LDH (D), Mg5Al1-LDH (E) and 10Mn/Mg5Al1-LDH (F); Table S1. Summary of some previously reported Mn-based catalysts for HCHO t removal.
Author Contributions
Conceptualization, X.Y. (Xiankun Yu), J.W. and G.W.; methodology, Q.S., J.T., Y.L. and X.W.; validation, Q.S., J.W., Y.L. and X.W.; investigation, X.Y. (Xiankun Yu), Q.S., J.W., Y.L. and X.W.; resources, J.K., X.Y. (Xiaojun Yang) and G.W.; data curation, J.T., Q.S., J.W. and Y.L.; writing—original draft preparation, X.Y. (Xiankun Yu), Q.S. and J.W.; writing—review and editing, X.Y. (Xiankun Yu), J.W. and G.W.; visualization, Q.S., J.T., X.W. and J.K.; supervision, G.W.; project administration, G.W.; funding acquisition, X.Y. (Xiankun Yu), J.W., X.Y. (Xiaojun Yang) and G.W. All authors have read and agreed to the published version of the manuscript.
Funding
This work was supported by the Jiangsu Province Science and Technology Plan Special Fund (BZ2022053), Key Research and Development Program of Anhui Province (202104g01020006), the Natural Science Foundation of Jiangsu Province (BK20201037), the Jiangsu Industry-University-Research Cooperation Project (BY2022101), the Scientific Research Fund of Nanjing Institute of Technology (No. YKJ2019111 and YKJ2019110), Students’ Science and Technology Innovation Fund of Nanjing Institute of Technology (TB202312034) and Provincial key project of Innovation and Entrepreneurship Training Program for College Students in Jiangsu Province (202311276007Z).
Data Availability Statement
Not applicable.
Conflicts of Interest
The authors declare no conflict of interest.
References
- Salthammer, T.; Mentese, S.; Marutzky, R. Formaldehyde in the indoor environment. Chem. Rev. 2010, 110, 2536–2572. [Google Scholar] [CrossRef] [PubMed]
- Jiang, C.; Li, D.; Zhang, P.; Li, J.; Wang, J.; Yu, J. Formaldehyde and volatile organic compound (VOC) emissions from particleboard: Identification of odorous compounds and effects of heat treatment. Build. Env. 2017, 117, 118–126. [Google Scholar] [CrossRef]
- Miao, L.; Wang, J.; Zhang, P. Review on manganese dioxide for catalytic oxidation of airborne formaldehyde. Appl. Surf. Sci. 2019, 466, 441. [Google Scholar] [CrossRef]
- Guo, J.; Lin, C.; Jiang, C.; Zhang, P. Review on noble metal-based catalysts for formaldehyde oxidation at room temperature. Appl. Surf. Sci. 2019, 475, 237–255. [Google Scholar] [CrossRef]
- Huang, H.; Leung, D.Y.C. Complete oxidation of formaldehyde at room temperature using TiO2 supported metallic Pd nanoparticles. ACS Catal. 2011, 1, 348–354. [Google Scholar] [CrossRef]
- Park, S.; Bae, I.; Nam, I.; Cho, B.K.; Jung, S.M.; Lee, J.-H. Oxidation of formaldehyde over Pd/Beta catalyst. Chem. Eng. J. 2012, 195–196, 392–402. [Google Scholar] [CrossRef]
- Chen, B.; Shi, C.; Crocker, M.; Wang, Y.; Zhu, A.-M. Catalytic removal of formaldehyde at room temperature over supported gold catalysts. Appl. Catal. B 2013, 132–133, 245–255. [Google Scholar] [CrossRef]
- Chen, Y.; Guo, Y.; Hu, H.; Wang, S.; Lin, Y.; Huang, Y. Achieving low temperature formaldehyde oxidation: A case study of NaBH 4 reduced cobalt oxide nanowires. Inorg. Chem. Commun. 2017, 82, 20–23. [Google Scholar] [CrossRef]
- Gao, H.; Zhang, J.; Wang, R.; Wang, M. Highly efficient hydrogen production and formaldehyde degradation by Cu2O microcrystals. Appl. Catal. B 2015, 172–173, 1–6. [Google Scholar] [CrossRef]
- Liang, X.; Liu, P.; He, H.; Wei, G.; Chen, T.; Tan, W.; Tan, F.; Zhu, J.; Zhu, R. The variation of cationic microstructure in Mn-doped spinel ferrite during calcination and its effect on formaldehyde catalytic oxidation. J. Hazard. Mater. 2016, 306, 305–312. [Google Scholar] [CrossRef]
- Zhou, Y.; Wan, J.; Wang, X.; Deng, L.; Liu, Y.; Kan, J.; Yu, X.; Yang, X.; Wu, G. Promoting effect of Ce doping on catalytic performance and water resistance ability for toluene catalytic combustion over the cheap and efficient Mn8Ni2CeaOx catalysts. Mol. Catal. 2023, 540, 113019. [Google Scholar] [CrossRef]
- Sekine, Y. Oxidative decomposition of formaldehyde by metal oxides at room temperature. Atmos. Env. 2002, 36, 5543–5547. [Google Scholar] [CrossRef]
- Dai, Z.; Yu, X.; Huang, C.; Li, M.; Su, J.; Guo, Y.; Xu, H.; Ke, Q. Nanocrystalline MnO2 on an activated carbon fiber for catalytic formaldehyde removal. RSC Adv. 2016, 6, 97022–97029. [Google Scholar] [CrossRef]
- Fang, R.; Huang, H.; Ji, J.; He, M.; Feng, Q.; Zhan, Y.; Leung, D.Y. Efficient MnOx supported on coconut shell activated carbon for catalytic oxidation of indoor formaldehyde at room temperature. Chem. Eng. J. 2018, 334, 2050–2057. [Google Scholar] [CrossRef]
- Wang, C.; Chen, T.; Liu, H.; Xie, J.; Li, M.; Han, Z.; Zhao, Y.; He, H.; Zou, X.; Suib, S.L. Promotional catalytic oxidation of airborne formaldehyde over mineral-supported MnO2 at ambient temperature. Appl. Clay Sci. 2019, 182, 105289. [Google Scholar] [CrossRef]
- Han, Z.; Wang, C.; Zou, X.; Chen, T.; Dong, S.; Zhao, Y.; Xie, J.; Liu, H. Diatomite-supported birnessite-type MnO2 catalytic oxidation of formaldehyde: Preparation, performance and mechanism. Appl. Surf. Sci. 2020, 502, 144201. [Google Scholar] [CrossRef]
- Zhang, C.; Wang, Y.; Song, W.; Zhang, H.; Zhang, X.; Li, R.; Fan, C. Synthesis of MnO2 modified porous carbon spheres by preoxidation-assisted impregnation for catalytic oxidation of indoor formaldehyde. J. Porous Mater. 2020, 3, 801–815. [Google Scholar] [CrossRef]
- Gao, Z.; Liang, J.; Yao, J.; Meng, Q.; He, G.; Chen, H. Synthesis of Ce-doped NiAl LDH/RGO composite as an efficient photocatalyst for photocatalytic degradation of ciprofloxacin. J. Env. Chem. Eng. 2021, 9, 105405. [Google Scholar] [CrossRef]
- Zhitova, E.; Krivovichev, S.; Pekov, I.; Greenwell, H.C. Crystal chemistry of natural layered double hydroxides. 5. Single-crystal structure refinement of hydrotalcite, [Mg6Al2(OH)16](CO3)(H2O)4. Miner. Mag. 2019, 83, 269–280. [Google Scholar] [CrossRef]
- Zhang, H.; Kong, L.; Li, Z.; Liu, J.; Wang, W.; Wang, P.; Yang, B.; Shi, R.; Waterhouse, G.I.N.; Wen, X.-D.; et al. Preparation of highly dispersed Cu/ZnO/Al2O3 catalyst based on CuAl-LDH carrier and its catalytic performance. Chem. Ind. Eng. Prog. 2021, 40, 881–889. [Google Scholar]
- Naghel-Danaei, S.; Hosseini, S.A.; Niaei, A. Layered double hydroxides: Novel nanocatalysts for combustion of gaseous toluene from polluted air. Iran. J. Catal. 2020, 10, 227–233. [Google Scholar]
- Nie, L.; Yu, J.; Li, X.; Cheng, B.; Liu, G.; Jaroniec, M. Enhanced performance of NaOH-Modified Pt/TiO2 toward room temperature selective oxidation of formaldehyde. Environ. Sci. Technol. 2013, 47, 2777–2783. [Google Scholar] [CrossRef]
- Liu, F.; Rong, S.; Zhang, P.; Gao, L. One-step synthesis of nanocarbon-decorated MnO2 with superior activity for indoor formaldehyde removal at room temperature. Appl. Catal. B 2018, 235, 158–167. [Google Scholar] [CrossRef]
- Cui, W.; Yuan, X.; Wu, P.; Zheng, B.; Zhang, W.; Jia, M. Catalytic properties of γ-Al2O3 supported Pt-FeOx catalysts for complete oxidation of formaldehyde at ambient temperature. RSC Adv. 2015, 5, 104330–104336. [Google Scholar] [CrossRef]
- Wei, G.; Liu, P.; Chen, D.; Chen, T.; Liang, X.; Chen, H. Activity of manganese oxides supported on halloysite towards the thermal catalytic oxidation of formaldehyde: Constraint from the manganese precursor. Appl. Clay Sci. 2019, 182, 105280. [Google Scholar] [CrossRef]
- Averlant, R.; Royer, S.; Giraudon, J.; Bellat, J.; Bezverkhyy, I.; Weber, G.; Lamonier, J. Mesoporous silica-confined manganese oxide nanoparticles as highly efficient catalysts for the low-temperature elimination of formaldehyde. ChemCatChem 2014, 6, 152–161. [Google Scholar] [CrossRef]
- Huang, Y.; Ye, K.; Li, H.; Fan, W.; Zhao, F.; Zhang, Y.; Ji, H. A highly durable catalyst based on CoxMn3-xO4 nanosheets for low-temperature formaldehyde oxidation. Nano Res. 2016, 9, 3881–3892. [Google Scholar] [CrossRef]
- Yu, X.; He, J.; Wang, D.; Hu, Y.; Tian, H.; Dong, T.; He, Z. Preparation of Au0.5Pt0.5/MnO2/Cotton catalysts for decomposition of formaldehyde. J. Nanopart. Res. 2013, 15, 1–10. [Google Scholar] [CrossRef]
- Liu, P.; Wei, G.; Liang, X.; Chen, D.; He, H.; Chen, T.; Xi, Y.; Chen, H.; Han, D.; Zhu, J. Synergetic effect of Cu and Mn oxides supported on palygorskite for the catalytic oxidation of formaldehyde: Dispersion, microstructure, and catalytic performance. Appl. Clay Sci. 2018, 161, 265–273. [Google Scholar] [CrossRef]
- Liu, J.; Lv, G.; Gu, W.; Li, Z.; Tang, A.; Mei, L. A novel luminescence probe based on layered double hydroxides loaded with quantum dots for simultaneous detection of heavy metal ions in water. J. Mater. Chem. C 2017, 5, 5024–5030. [Google Scholar] [CrossRef]
- Yan, Z.; Xu, Z.; Yu, J.; Jaroniec, M. Effect of microstructure and surface hydroxyls on the catalytic activity of Au/AlOOH for formaldehyde removal at room temperature. J. Colloid. Interface Sci. 2017, 501, 164–174. [Google Scholar] [CrossRef] [PubMed]
- Wang, C.; Zou, X.; Liu, H.; Chen, T.; Suib, S.L.; Chen, D.; Xie, J.; Li, M.; Sun, F. A highly efficient catalyst of palygorskite-supported manganese oxide for formaldehyde oxidation at ambient and low temperature: Performance, mechanism and reaction kinetics. Appl. Surf. Sci. 2019, 486, 420–430. [Google Scholar] [CrossRef]
- Zhang, J.; Li, Y.; Wang, L.; Zhang, C.; He, H. Catalytic oxidation of formaldehyde over manganese oxides with different crystal structures. Catal. Sci. Technol. 2015, 5, 2305–2313. [Google Scholar] [CrossRef]
- Hosseini, S.; Ghasemi, E. Synthesis and characterization of hybrid MgAl-LDH@SiO2@CoAl2O4 pigment with high NIR reflectance for sustainable energy saving applications. Appl. Clay Sci. 2020, 193, 105674. [Google Scholar] [CrossRef]
- Ma, M.; Zhu, Q.; Jiang, Z.; Jian, Y.; Chen, C.; Liu, Q.; He, C. Achieving toluene efficient mineralization over K/a-MnO2 via oxygen vacancy modulation. J. Colloid. Interface Sci. 2021, 598, 238–249. [Google Scholar] [CrossRef]
- Sun, M.; Zhang, B.; Liu, H.; He, B.; Ye, F.; Yu, L.; Sun, C.; Wen, H. The effect of acid/alkali treatment on the catalytic combustion activity of manganese oxide octahedral molecular sieves. RSC Adv. 2017, 7, 3958–3965. [Google Scholar] [CrossRef]
- Bai, B.; Qiao, Q.; Li, J.; Hao, J. Synthesis of three-dimensional ordered mesoporous MnO2 and its catalytic performance in formaldehyde oxidation. Chin. J. Catal. 2016, 1, 27–31. [Google Scholar] [CrossRef]
- Lu, L.; Tian, H.; He, J.; Yang, Q. Graphene-MnO2 hybrid nanostructure as a new catalyst for formaldehyde oxidation. J. Phys. Chem. C 2016, 120, 23660–23668. [Google Scholar] [CrossRef]
- Wan, J.; Tao, F.; Shi, Y.; Shi, Z.; Liu, Y.; Wu, G.; Kan, J.; Zhou, R. Designed preparation of nano rod shaped CeO2-MnOx catalysts with different Ce/Mn ratios and its highly efficient catalytic performance for chlorobenzene complete oxidation: New insights into structure–activity correlations. Chem. Eng. J. 2022, 433, 133788. [Google Scholar] [CrossRef]
- Wang, J.; Zhang, G.; Zhang, P. Layered birnessite-type MnO2 with surface pits for enhanced catalytic formaldehyde oxidation activity. J. Mater. Chem. A 2017, 12, 5719. [Google Scholar] [CrossRef]
- Lv, T.; Peng, C.; Zhu, H.; Xiao, W. Heterostructured Fe2O3@SnO2 core-shell nanospindles for enhanced Room-temperature HCHO oxidation. Appl. Surf. Sci. 2018, 457, 83–92. [Google Scholar] [CrossRef]
- Kwon, D.W.; Seo, P.W.; Kim, G.J.; Hong, S.C. Characteristics of the HCHO oxidation reaction over Pt/TiO2 catalysts at room temperature: The effect of relative humidity on catalytic activity. Appl. Catal. B 2015, 163, 436–443. [Google Scholar] [CrossRef]
- Yan, Z.; Xu, Z.; Cheng, B.; Jiang, C. Co3O4 nanorod-supported Pt with enhanced performance for catalytic HCHO oxidation at room temperature. Appl. Surf. Sci. 2017, 404, 426–434. [Google Scholar] [CrossRef]
- Chen, B.; Zhu, X.; Crocker, M.; Wang, Y.; Shi, C. FeOx-supported gold catalysts for catalytic removal of formaldehyde at room temperature. Appl. Catal. B 2014, 154–155, 74–81. [Google Scholar] [CrossRef]
- Ye, J.; Cheng, B.; Wageh, S.; Al-Ghamdi, A.A.; Yu, J. Flexible Mg-Al layered double hydroxide supported Pt on Al foil for use in room-temperature catalytic decomposition of formaldehyde. RSC Adv. 2016, 6, 3428–34287. [Google Scholar] [CrossRef]
- Timofeeva, M.; Timofeeva, M.; Kalashnikova, G.; Panchenko, V.N.; Nikolaev, A.I.; Gil, A. A layered titanosilicate AM-4 as a novel catalyst for the synthesis of 1-methoxy-2-propanole from propylene oxide and methano. Appl. Catal. A 2019, 587, 117240. [Google Scholar] [CrossRef]
- Zienkiewicz, J.; Kucharska, E.; Ptak, M. Mechanism of unusual isosymmetric order-disorder phase transition in [Dimethylhydrazinium] Mn (HCOO)3 hybrid perovskite probed by vibrational spectroscopy. Materials 2021, 14, 3984. [Google Scholar] [CrossRef]
- Ji, J.; Lu, X.; Chen, C.; He, M.; Huang, H. Potassium-modulated δ-MnO2 as robust catalysts for formaldehyde oxidation at room temperature. Appl. Catal. B 2020, 260, 118210. [Google Scholar] [CrossRef]
Disclaimer/Publisher’s Note: The statements, opinions and data contained in all publications are solely those of the individual author(s) and contributor(s) and not of MDPI and/or the editor(s). MDPI and/or the editor(s) disclaim responsibility for any injury to people or property resulting from any ideas, methods, instructions or products referred to in the content. |
© 2023 by the authors. Licensee MDPI, Basel, Switzerland. This article is an open access article distributed under the terms and conditions of the Creative Commons Attribution (CC BY) license (https://creativecommons.org/licenses/by/4.0/).










