Abstract
A one-pot hydrogenolysis/hydrogenation reaction of maltose to two moles of sorbitol has been carried out over different supported Cu catalysts in water at 180 °C and 40 bar of H2. Only the catalysts supported on silicas were found to be effective in this reaction, giving up to 86% yield in the desired product while the bare supports and the catalysts supported on alumina or silica alumina gave messy reactions. The peculiar activity of the two Cu/Silica systems tested was ascribed to high metal dispersion and suitable polarity of the catalyst surface. In exposing metallic Cu particles on the surface, the reduced catalyst showed unusual stability in the presence of water as a solvent and could be reused several times without any treatment.
1. Introduction
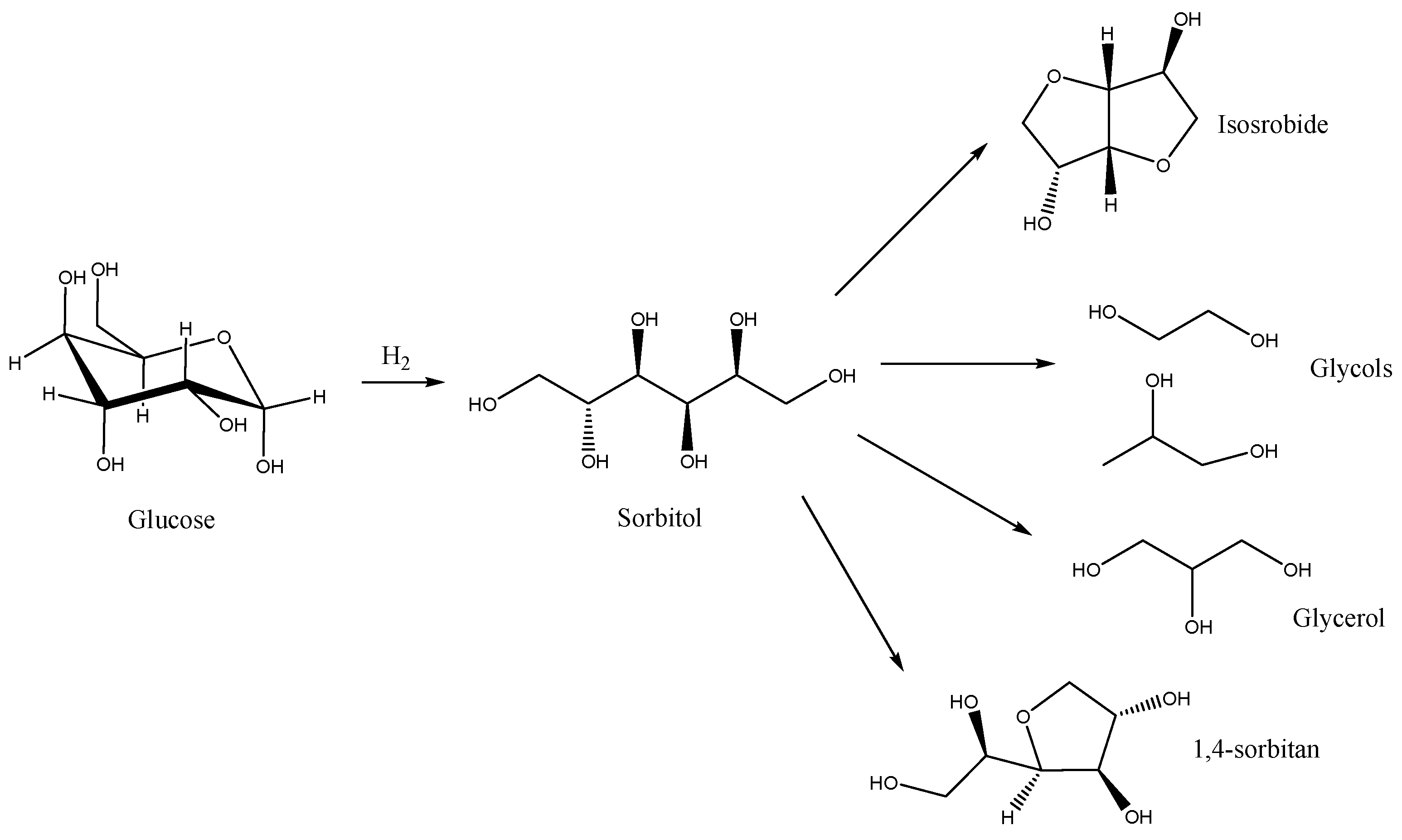
The great advances achieved over the last years in biomass use and transformation have made available a huge amount of new building blocks for the chemical industry, spreading over many different classes of compounds and molecular structures. Among these, carbohydrates represent valuable and abundant starting materials, being the main constituents of cellulose and hemicellulose and therefore potentially deriving from all kinds of lignocellulosic based feedstock. Many alcohols, acids and polyols derived from their stream have been listed by the US National Renewable Laboratory (NREL) among the top value-added chemicals from biomass [1]. Among these, sorbitol can be directly obtained from glucose via reduction and is considered a strategic starting material for the preparation of isosorbide, glycols, glycerol, sorbitan and in turn their polymerization products (Scheme 1). The technologies to obtain these products and intermediates are quite mature and do not present unbreakable critical barriers in the way of their effective application. This overall scenario makes sorbitol a very appealing actor within the biorefinery story.
Scheme 1.
The sorbitol key role from glucose to chemicals.
One of the main issues related with biomass-derived molecules management, primarily with carbohydrates, is their high polarity. Thus, besides their great variability, the very high oxygen content present in natural sources makes them strongly different from the traditional platforms of fossil origin. The reaction conditions and in particular the solvent choice is not a trivial point to look at when designing a chemical process for their transformation; this is even more critical when facing heterogeneously catalyzed processes. Water would be the solvent of choice, but it entails several stability drawbacks for metal-based catalysts. Some interesting solutions have been found by exploiting a multiphase approach that enables contact between substrates and catalysts while preserving catalyst activity and reagents solubility. This strategy has been applied by pioneering works on biomass-derived platform molecules, proving to be particularly efficient in terms of reagent/product separation. It was found to be the case in the production of 5-HMF from sugars [2] and continues to represent a viable route to improve product isolation, catalyst recycling and prevent metal contamination in the synthesis of final derivatives [3]. On the other hand, its application needs the use of two solvents, one being an organic one. In this respect and in compliance with the green chemistry approach, using the sole water is a desirable route to be pursued, providing the activity and stability of the catalyst.
The hydrogenation of C6 and C5 sugars into the corresponding reduced sugars mainly relies on the use of noble metal-based systems [4]. The possibility to substitute noble-based metal systems is another important point in setting up more sustainable protocols. A recent review by Redina et al. [5] sums up the main results obtained with non-noble catalysts. Among these, Nickel-based are the most studied and used ones. Ni Raney, for example, is used in the transformation of glucose into sorbitol in water, even at industrial scale. However, its easy deactivation through metal leaching poses purification issues, considering the toxicity of Nickel [6]. To improve the performance of Ni Raney, a series of new Ni-based catalysts has been developed in the last years, ranging from unsupported nanoparticles to supported systems, as well as from monometallic Ni catalysts to bi-metallic ones [5].
Silica is the most common support for Ni for this application. However, Silvester et al. demonstrated that Al2O3 is a valid alternative, leading to an increase in sorbitol yield from about 20% to 48% when starting from glucose [7]. The stability of the Ni catalysts is a major issue in developing an efficient process for hydrogenation of C5 and C6 sugars. To address this, the addition of a second metals can help obtain more stable and recyclable catalysts. For instance, the inclusion of Fe to a Ni/SiO2 or to a Ni/CB (carbon black) resulted in significant improvements in both catalyst activity and stability during the transformation of xylose to xylitol and glucose to sorbitol, respectively [8,9].
Cu was also studied in combination with Ni to improve the stability of the catalyst [10] to produce mannitol from fructose. Copper represents a valid and less toxic alternative to Nickel in a wide range of hydrogenation reactions [11,12,13], but in the case of sugar reduction, only few examples are reported so far [14,15].
A glucose unit, besides its availability from cellulose deconstruction stream, is one of the main constituents of different natural occurring disaccharides and oligosaccharides. This is the case for saccharose, lactose, raffinose and maltose. The latter is a disaccharide composed of two glucose units linked with a α (1→4) bond. In spite of several reports on the hydrogenation of maltose into its corresponding reduced disaccharide, namely maltitol which is widely used as sweetener in the food industry [16], very few studies rely on the hydrolysis/hydrogenation process for the synthesis of sorbitol directly from maltose. In most cases, it is considered the unwanted side reaction of the maltose to maltitol reduction. A sorbitol yield higher than 90% was obtained with a Ni/Cu/Al/Fe magnetic system in the presence of diluted H3PO4 [17];otherwise, few Ru based catalysts are reported [18,19,20].
On the other hand, it is worth underlining that maltose can be derived from both agro-industrial residues [21] and from food waste [22]. In particular, the recent advances in fermentation processes aimed at biomass valorization and recycling accesses these disaccharides from starch derived from a wide variety of starting materials. Moreover, it is always worth underlining that the use of food waste and/or residue and waste derived from agro-industrial chains is a fundamental step towards the transition to a circular economy and to a fruitful exploitation of natural sources [23].
In the present study, we would like to report on the use of solid copper catalysts for a one-pot conversion of maltose into sorbitol in water as the unique solvent.
2. Results and Discussion
The one-pot transformation of maltose into 2 molecules of sorbitol (Scheme 2) has been carried out by using a series of heterogeneous copper catalysts prepared with a non-conventional chemisorption-hydrolysis technique [24]. This method already proved to be a convenient and reliable way to obtain highly active copper systems for the hydrogenation of a wide variety of substrates, due to the very high dispersion obtained. They can be applied, for example, to the selective hydrogenation of vegetable oils under mild conditions [25], in the reduction of platform molecules such as γ-valerolactone into 1,4-pentandiol [26] or in the selective hydrogenation of α,β-unsaturated compounds [27,28].
Scheme 2.
Reaction scheme involving main products and by-products.
Table 1 sums up results obtained in the transformation of maltose into sorbitol by supporting copper with the same protocol onto different matrices, namely oxides and mixed oxides, with different textural and acid-base properties. Copper catalysts prepared over silica alumina, an alumina and two different silicas, were compared among them and to the bare supports under the same conditions.
Table 1.
Conversion of maltose over different copper catalysts and parent supports (T = 180 °C, P = 30 atm H2, C/S = 1/5 by weight, water as solvent, 6 h).
Among the catalysts tested, only the two systems supported over silica allowed us to gain high yields in sorbitol. In all cases, the hydrolysis and the glucose conversion take place, but only Cu/SiO2 reveals to be active in the desired hydrogenation under the experimental conditions used. With both Cu/Al2O3 and Cu/SiO2-Al2O3, a plethora of products was observed in the HPLC chromatogram (see Figure 1), the main by-product formed being HMF (3–20%) and the others being obtained in few amounts. Among these, we identified maltitol, mannose and fructose. The comparison with the bare supports, as well as the one with the non-catalyzed reaction highlights the strong effect of copper supported over the proper matrix in addressing the reaction course. Thus, both the bare supports and the non-catalyzed reaction give rise to a very complicated mixture that, with respect to the copper-catalyzed reaction, also present the formation of humins, as clearly shown by the raw-reaction mixtures picture (Figure 1).
Figure 1.
Representative HPLC profiles and corresponding raw-reaction mixtures.
It is worth noting that the bare silicas behave like the non-catalyzed reactions (Table 1, entries 6 and 8 vs. entry 9), witnessing the innocent role of these supports in comparison to SiO2-Al2O3 and Al2O3. With the latter oxides, very little glucose was observed, which contrasts to the 35–45% remaining at the end of the reaction carried out with silica or without any catalyst. This means that silica-alumina and alumina favor the decomposition or isomerization of glucose.
Table 2 summarizes some important features of the catalysts, namely the surface area, the acidic properties, the mean particle size of the copper particles and the -OH surface density. These could offer a deeper insight into the parameters affecting the reaction course.
Table 2.
Selected features of copper catalysts prepared over different supports.
The role of catalyst surface area in promoting the formation of sorbitol is evident from data reported in Table 2. The two copper on silica materials show both the best selectivity and the highest surface area among the catalysts tested. On the other hand, the other features mentioned above also have a strong influence. Cu/Al2O3 has acidity comparable to Cu/SiO2 A, but a much lower surface area shows poor selectivity, whereas the significant presence of acidic sites on Cu/SiO2-Al2O3 results in no selectivity notwithstanding a good surface area. The quantification of specific IR bands ascribed to pyridine used as the probe molecule and adsorbed, according to what was reported by Emeis [29], accounts for the density and the character of the acidic sites of the catalytic surfaces. All the systems show the presence of Lewis acid sites. The internal ranking in terms of sites density is Cu/SiO2-Al2O3 >> Cu/Al2O3 ≈ Cu/SiO2 A > Cu/SiO2 B. In Figure S1, the FT-IR spectra of pyridine desorbed at 150 °C are reported: the bands around 1610 cm−1 and 1450 cm−1 unambiguously show the presence of Lewis acid sites. Only the Cu/SiO2-Al2O3 sample shows the presence of a band at 1620 cm−1 that can be diagnostic of both Lewis and Brønsted sites. On the other hand, the absence of the 1550 cm−1 band, the one traditionally used to quantify Brønsted sites supports the hypothesis of the presence of the sole Lewis acidity also for the silica alumina based catalyst. This first aspect puts in evidence the detrimental effect of the different acidity observed in the Cu/SiO2-Al2O3 catalyst. In fact, despite the complete conversion of maltose and glucose, no formation of significative amounts of sorbitol was observed (Table 1, entry 3). This suggest that the acidity of the systems promotes side reactions instead of hydrogenation of maltose. The peculiar effect of the acid properties of these catalysts with respect to silica-based ones was already observed in cellulose deconstruction [30] as well as its poor hydrogenation ability [31]. It is worth underlining that this catalytic system also has a markedly lower dispersion with respect to the others, showing an inhomogeneous particle size dimension ranging from 3.2 to 13 nm of mean diameter.
The poor yield in sorbitol observed with Cu/Al2O3 (Table 1, entries 1 vs. 2) can be ascribed to the amphoteric character of alumina. In this case, complete conversion of maltose and glucose was observed again, while minor sorbitol production was obtained. Besides sorbitol, a few amounts of mannitol were detected, corroborating the tendency of the catalyst to facilitate isomerization reaction [32].
Besides the acid-base properties, as already pointed out in the case of Cu/SiO2-Al2O3, the reaction selectivity is strongly influenced by the copper dispersion, being that this aspect is pivotal in obtaining high hydrogenation activity and therefore in addressing the reaction towards sorbitol formation. This means that when having in hand a material with this hydrogenation capacity, the reduction rules over the isomerization and the cascading reactions. The most selective catalysts were found to be the two supported on silica, both showing particles with a mean diameter lower than 3 nm. In Figure 2, the TEM micrograph of the system Cu/SiO2 A is reported.
Figure 2.
HRTEM and particle size distribution of CuO/SiO2 A.
The presence of a well-dispersed copper phase in the case of the silica supported system is also witnessed by the already-reported TPR profiles, showing a sharp and low temperature peak that can be ascribed to the reduction of a well-dispersed and highly uniform CuO phase into Cu(0) [24,33]. On the other hand, on both Al2O3 and SiO2-Al2O3, broader and multiple peaks result from the temperature programmed reduction, thus confirming less homogeneity in the supported phase [34,35].
Another parameter that emerges to be critical for the reaction course is the surface polarity, expressed by the values of -OH group density, evaluated by means of TGA analysis and calculated as described in the experimental section. This value is related to the hydrophobic/hydrophilic character of the catalyst surface and highlights another important effect. In particular, the two silica materials show a non-negligible difference in this respect. The most performant catalyst results to be the one supported over the silica with the higher -OH density. The importance of the surface polarity in enhancing the reaction selectivity in copper-catalyzed hydrogenations has already been highlighted by some of us for different substrates, namely in the reduction of vegetable oils [25], of enones [36] and in the transformation of GVL into 1,4-pentandiol [26]. In all these cases, the effect of the different surface polarity of the supports plays a role in addressing selectivity, due to its effect on the reagents and/or products adsorption and desorption phenomena.
Therefore, the combination of the very high copper dispersion imparting moderate acidity to the catalyst while expressing a very high hydrogenation activity, with a proper surface polarity reveals to be the right way to obtain complete conversion and very high selectivity for the reduced carbohydrates. The water tolerance of the catalyst is worth underlining. The metal-based systems stability in aqueous medium is generally not trivial. This is even more true in the case of non-noble metals such as copper [37,38,39]. The proposed Cu/SiO2 not only allows one to obtain very high yields in sorbitol, but it is also stable and recyclable. Recycle experiments have been carried out by only spilling the solution after decanting the reaction mixture and charging a new maltose solution without any treatment or new reduction of the catalyst between two following runs. Figure 3 shows good stability of the catalyst for at least three runs carried out under the above-described conditions.
Figure 3.
Recycle experiments carried out with Cu/SiO2 A.
Figure 4 shows the results obtained by using the 16% copper loaded catalyst prepared over SiO2 A under different conditions in terms of hydrogen pressure and temperature. Data reported clearly show that hydrogen pressure has a significant effect on sorbitol yield. Thus, by increasing the pressure from 20 to 40 atm, the sorbitol content increases from 67 to 87%. A further increase in hydrogen pressure does not translate in a higher yield in sorbitol. It is interesting to note that conversion of both maltose and glucose are almost complete in all the pressure range explored, revealing that the hydrogen pressure strongly helps to address the reaction towards the desired hydrogenation-limiting side products.
Figure 4.
The effect of (a) H2 pressure (T = 180 °C) and (b) Reaction temperature (P = 40 atm H2) on the conversion of maltose to sorbitol carried out with Cu/SiO2 A (water, C/S = 1/5 by wt).
On the other hand, the reaction temperature has a different effect. Carrying out the reaction at 160 °C and 40 atm of H2 results in a complete transformation of maltose, but in a lower yield in sorbitol due to a lower hydrogenation activity. By further lowering the temperature, even working at 150 °C , the conversion does not result do be complete. On the other hand, a higher temperature, such as 200 °C, leads to less sorbitol due to the partial formation of degradation products.
An interesting behavior was observed by varying the concentration of the starting maltose solution. In Figure 5, a maximum sorbitol yield was obtained by increasing the maltose concentration up to 0.15 mol/L. After this value, a significant drop in the product formation was detected.
Figure 5.
The effect of maltose concentration on sorbitol yield.
The use of Cu/SiO2 is therefore a viable route to selectively obtain sorbitol directly from maltose. To the best of our knowledge, the system proposed represents the first example of copper-based catalyst for this purpose among the very few reported for this application so far. It is worth noting that under the optimized conditions in terms of H2 pressure, temperature and maltose concentration Cu/SiO2 A allows one to obtain up to 89% of sorbitol. This is higher than the copper systems reported for the glucose to sorbitol hydrogenation. In fact, a Cu/SiO2 catalyst is reported to promote glucose hydrogenation with 89% of selectivity at 45% of glucose conversion [14].
3. Materials and Methods
3.1. Materials
γ-Al2O3 (SA = 210 m2/g) was purchased by Sasol; SiO2-Al2O3 (SA = 496 m2/g) SiO2 A (SA = 460 m2/g) were purchased from Sigma–Aldrich (Merk Life Science S.r.l., Milano, Italy); SiO2 B (SA = 267 m2/g) was kindly supplied from Evonik (Essen, Germany).
Maltose was purchased from Sigma–Aldrich (Merk Life Science S.r.l., Milano, Italy) and used without further purification.
3.2. Methods
Copper catalysts were prepared through the Chemisoprtion–Hydrolysis method [24]. A [Cu(NH3)4]2+ solution was prepared by dropping NH4OH to a Cu(NO3)2 solution until reaching pH = 9. Then, the support was added and let under magnetic stirring for 20 min; the slurry was therefore diluted with 3 L of water in an ice bath at 0 °C under mechanical stirring. After that, the solid was filtrated with a Büchner funnel, washed with water, dried overnight at 120 °C and finally calcined under air atmosphere at 350 °C for 4 h. The metal loading of 16% by weight was confirmed by Inductively Coupled Plasma (ICP) analysis.
The catalysts were pre-reduced before the catalytic tests at 270 °C for 20 min under air and for 20 min under vacuum and then reduced through three hydrogen (1 bar) and vacuum cycles (5 min each) at the same temperature.
Maltose reduction reactions were carried out in a stainless-steel Parr Instrument autoclave (Moline, Illinois, USA) with an internal volume of 0.1 L. The pressure reactor was loaded with a slurry composed of the pre-reduced copper catalyst (0.2 g) and a solution of 1 g of maltose in 40 mL of distilled water. The autoclave was sealed, evacuated and filled with hydrogen three times, and charged with the desired pressure of hydrogen. The system was heated at the desired temperature and mechanically stirred (700 rpm). At the end of the catalytic test, the autoclave was vented and the catalyst separated by filtration. The solution was therefore analyzed by HPLC.
The HPLC analyses were performed using an Agilent Technologies 1260 Infinity LC system (Santa Clara, CA, USA) equipped with a Quaternary gradient pump unit, an UV variable wavelength detector, a refractive index (RID) detector and a Repromer Ca 9 µm, 300 × 8.0 mm column hyphenated with a Repromer Ca 10 × 4.6 mm Guard Column (Dr. Maisch, High Performance LC GmbH, Ammerbuch-Entringen, Germany). MilliQ water was used as the mobile phase and the separation was carried for 1 h under the following conditions: flow rate 0.75 mL/min, column temperature 70 °C, wavelength detection λ 210 nm, RID temperature 35 °C. Before analysis, each sample was filtered through a 0.22 μm microporous membrane, diluted with milliQ water (0.1 mL in 1.500 mL) and injected (20 μL) with a 50 μL glass syringe (Agilent Technologies, Inc.). Conversions, yields and selectivity were obtained by using the linear calibration curves (r2 > 0.99) of commercial maltose, sorbitol and glucose with the standards in concentration ranging from 1 × 10−3 to 1 × 10−5 mmol/mL.
3.3. Catalyst Characterisation
Transmission electron microscopy (TEM) analysis was performed using a ZEISS LIBRA200FE. The samples were gently smashed in an agate mortar, suspended in isopropyl alcohol for 20 min in an ultrasonic bath and dropped onto a lacey carbon-coated copper TEM grid. The samples were analyzed after complete solvent evaporation. The mean particle size was obtained by counting at least 500 particles onto the micrographs.
Py-adsorption FT-IR- Studies of pyridine adsorption and desorption were carried out with an FTS-60 spectrophotometer equipped with mid-IR MCT detector purchased from BioRad (Segrate (MI), Italy). The experiments were performed on a sample disk (15–20 mg) after catalyst reduction (270 °C, 20 min air + 20 min under vacuum + 3 H2/vacuum cycles). One spectrum was collected before probe molecule adsorption as a blank experiment. Therefore, pyridine adsorption was carried out at room temperature, and the following desorption steps were performed from room temperature to 250 °C. The spectrum of each desorption step was acquired every 50 °C after cooling the sample. For quantitative analysis, the amount of adsorbed pyridine (mmolPy/gcat) was calculated on the basis of the relationship reported by Emeis [29] evaluated in the spectra registered at 150 °C.
Thermogravimetric analysis (TGA) was performed on Perkin Elmer 7 HT thermobalance (Milano (MI), Italy). Analyses were performed by heating the sample from 50–1000 °C with a temperature ramp of 5 °C/min. The water loss was evaluated in the range of 250–900 °C and mmolOH/gcat was calculated by the following formula: [(2 × Δwt %) × 10]/18 (g/mol).
4. Conclusions
Hydrogenolysis of biopolymers and bio-oligomers such as disaccharides represents a valuable tool for the future of biorefinery, particularly when it is coupled with hydrogenation. New monomers, that is sugar alcohols such as sorbitol, can be obtained in this way. Sorbitol can be dehydrated to sorbitan, the base of widely used surfactants, or to isosorbide that in turn is the precursor of several interesting polymers including DuraBio®.
In this work, we have shown that Cu/SiO2 catalysts are effective in promoting the one-pot hydrogenolysis/hydrogenation reaction of maltose to sorbitol. The catalyst stability under aqueous conditions and the chance of reusability make it suitable to produce sorbitol, currently obtained through hydrogenation of glucose, starting from a side stream of the cereal industry, therefore not interfering with the food supply chain.
Supplementary Materials
The following supporting information can be downloaded at: https://www.mdpi.com/article/10.3390/catal13081183/s1, Figure S1: FT-IT of pyridine after desorption at 150 °C for the investigated Cu-based catalysts.
Author Contributions
Conceptualization, F.Z. and N.R.; methodology, V.P. and F.Z.; investigation, V.P., F.Z. and N.S.; data curation, F.Z., V.P. and N.S.; writing—original draft preparation, F.Z.; writing—review and editing, N.R. All authors have read and agreed to the published version of the manuscript.
Funding
This study was carried out within the MICS (Made in Italy—Circular and Sustainable) Extended Partnership and received funding from the European Union Next-GenerationEU (PIANO NAZIONALE DI RIPRESA E RESILIENZA (PNRR)—MISSIONE 4 COMPONENTE 2, INVESTIMENTO 1.3—D.D. 1551.11-10-2022, PE00000004). This manuscript reflects only the authors’ views and opinions, neither the European Union nor the European Commission can be considered responsible for them.
Data Availability Statement
Not applicable.
Acknowledgments
The authors thank Fondazione “Banca del Monte di Lombardia” for the funding of the LCMS2020 mass spectrometer.
Conflicts of Interest
The authors declare no conflict of interest.
References
- Werpy, T.; Petersen, G. Top Value Added Chemicals from Biomass Volume I. In Results of Screening for Potential Candidates from Sugars and Synthesis Gas; U.S. Department of Energy Office of Scientific and Technical Information: Oak Ridge, TN, USA, 2004. [Google Scholar] [CrossRef]
- Saha, B.; Abu-Omar, M.M. Advances in 5-Hydroxymethylfurfural Production from Biomass in Biphasic Solvents. Green Chem. 2014, 16, 24–38. [Google Scholar] [CrossRef]
- Polidoro, D.; Perosa, A.; Barbaro, E.; Feltracco, M.; Argiriadis, E.; Selva, M. Multiphase Hydrogenation of D-Glucosamine Hydrochloride, N-Acetyl-d-Glucosamine, d-Glucose, and d-Maltose over Ru/C with Integrated Catalyst Recovery. ACS Sustain. Chem. Eng. 2022, 10, 2844–2858. [Google Scholar] [CrossRef]
- Bonnin, I.; Méreau, R.; Tassaing, T.; Jérôme, F.; De Oliveira Vigier, K. Hydrogenation of Sugars to Sugar Alcohols in the Presence of a Recyclable Ru/Al2O3 Catalyst Commercially Available. ACS Sustain. Chem. Eng. 2021, 9, 9240–9247. [Google Scholar] [CrossRef]
- Redina, E.; Tkachenko, O.; Salmi, T. Recent Advances in C5 and C6 Sugar Alcohol Synthesis by Hydrogenation of Monosaccharides and Cellulose Hydrolytic Hydrogenation over Non-Noble Metal Catalysts. Molecules 2022, 27, 1353. [Google Scholar] [CrossRef]
- Denkhaus, E.; Salnikow, K. Nickel Essentiality, Toxicity, and Carcinogenicity. Crit. Rev. Oncol. Hematol. 2002, 42, 35–56. [Google Scholar]
- Silvester, L.; Ramos, F.; Heyte, S.; Araque, M.; Paul, S.; Wojcieszak, R. Fully Integrated High-Throughput Methodology for the Study of Ni- and Cu- Supported Catalysts for Glucose Hydrogenation. Catal. Today 2019, 338, 72–80. [Google Scholar] [CrossRef]
- Sadier, A.; Shi, D.; Mamede, A.S.; Paul, S.; Marceau, E.; Wojcieszak, R. Selective Aqueous Phase Hydrogenation of Xylose to Xylitol over SiO2-Supported Ni and Ni-Fe Catalysts: Benefits of Promotion by Fe. Appl. Catal. B Environ. 2021, 298, 120564. [Google Scholar] [CrossRef]
- Fu, Y.; Ding, L.; Singleton, M.L.; Idrissi, H.; Hermans, S. Applied Catalysis B : Environmental Synergistic Effects Altering Reaction Pathways : The Case of Glucose Hydrogenation over Fe-Ni Catalysts. Appl. Catal. B Environ. 2021, 288, 119997. [Google Scholar] [CrossRef]
- Zelin, J.; Regenhardt, S.A.; Meyer, C.I.; Duarte, H.A.; Sebastian, V.; Marchi, A.J. Selective Aqueous-Phase Hydrogenation of D-Fructose into D-Mannitol Using a Highly Efficient and Reusable Cu-Ni/SiO2 Catalyst. Chem. Eng. Sci. 2019, 206, 315–326. [Google Scholar] [CrossRef]
- Zhang, R.; Chen, Y.; Ding, M.; Zhao, J. Heterogeneous Cu Catalyst in Organic Transformations. Nano Res. 2022, 15, 2810–2833. [Google Scholar]
- Cavuoto, D.; Ardemani, L.; Ravasio, N.; Zaccheria, F.; Scotti, N. Some Insights into the Use of Heterogeneous Copper Catalysts in the Hydroprocessing of Levulinic Acid. Catalysts 2023, 13, 697. [Google Scholar]
- Ye, R.P.; Lin, L.; Li, Q.; Zhou, Z.; Wang, T.; Russell, C.K.; Adidharma, H.; Xu, Z.; Yao, Y.G.; Fan, M. Recent Progress in Improving the Stability of Copper-Based Catalysts for Hydrogenation of Carbon-Oxygen Bonds. Catal. Sci. Technol. 2018, 8, 3428–3449. [Google Scholar] [CrossRef]
- Esteban, J.; Yustos, P.; Ladero, M. Catalytic Processes from Biomass-Derived Hexoses and Pentoses: A Recent Literature Overview. Catalysts 2018, 8, 637. [Google Scholar]
- Upare, P.P.; Hwang, Y.K.; Kim, J.C.; Lee, J.H.; Kwak, S.K.; Hwang, D.W. A Robust and Highly Selective Catalytic System of Copper–Silica Nanocomposite and 1-Butanol in Fructose Hydrogenation to Mannitol. ChemSusChem 2020, 13, 5050–5057. [Google Scholar] [CrossRef]
- Saraiva, A.; Carrascosa, C.; Raheem, D.; Ramos, F.; Raposo, A. Maltitol: Analytical Determination Methods, Applications in the Food Industry, Metabolism and Health Impacts. Int. J. Environ. Res. Public Health 2020, 17, 5227. [Google Scholar]
- Zhang, J.; Li, J.; Wu, S.; Liu, Y. Efficient Conversion of Maltose into Sorbitol over Magnetic Catalyst in Extremely Low Acid. BioResources 2013, 8, 4676–4686. [Google Scholar] [CrossRef]
- Sulman, E.M.; Grigorev, M.E.; Doluda, V.Y.; Wärnå, J.; Matveeva, V.G.; Salmi, T.; Murzin, D.Y. Maltose Hydrogenation over Ruthenium Nanoparticles Impregnated in Hypercrosslinked Polystyrene. Chem. Eng. J. 2015, 282, 37–44. [Google Scholar] [CrossRef]
- Gromov, N.V.; Medvedeva, T.B.; Panchenko, V.N. One-Pot Hydrolysis-Hydrogenation of Potato Starch to Sorbitol Using Bifunctional Catalyst Ru/Cs3HSiW12O40. Catal. Ind. 2023, 15, 87–98. [Google Scholar] [CrossRef]
- Sadier, A.; Paul, S.; Marceau, E.; Wojcieszak, R. Ni-Fe Alloying Enhances the Efficiency of the Maltose Hydrogenation Process: The Role of Surface Species and Kinetic Study. Appl. Catal. B Environ. 2022, 313, 121446. [Google Scholar] [CrossRef]
- Araujo-Silva, R.; Mafra, A.C.O.; Rojas, M.J.; Kopp, W.; de Giordano, R.C.; Fernandez-Lafuente, R.; Tardioli, P.W. Maltose Production Using Starch from Cassava Bagasse Catalyzed by Cross-Linked β-Amylase Aggregates. Catalysts 2018, 8, 170. [Google Scholar] [CrossRef]
- Oh, Y.R.; Jang, Y.A.; Eom, G.T. Valorization of Waste Cooked Rice into Value-Added Maltobionic Acid Using Genetically Engineered Pseudomonas Taetrolens. ACS Sustain. Chem. Eng. 2022, 10, 810–815. [Google Scholar] [CrossRef]
- Lin, C.S.K.; Pfaltzgraff, L.A.; Herrero-Davila, L.; Mubofu, E.B.; Abderrahim, S.; Clark, J.H.; Koutinas, A.A.; Kopsahelis, N.; Stamatelatou, K.; Dickson, F.; et al. Food Waste as a Valuable Resource for the Production of Chemicals, Materials and Fuels. Current Situation and Global Perspective. Energy Environ. Sci. 2013, 6, 426–464. [Google Scholar]
- Zaccheria, F.; Scotti, N.; Marelli, M.; Psaro, R.; Ravasio, N. Unravelling the Properties of Supported Copper Oxide: Can the Particle Size Induce Acidic Behaviour? Dalt. Trans. 2013, 42, 1319–1328. [Google Scholar] [CrossRef]
- Bellini, M.; Bianchi, S.; Zaccheria, F.; Ravasio, N. Tribology International Vegetable Oils as Triple Bottom Line Compliant Lubricants. Tribol. Int. 2021, 161, 107103. [Google Scholar] [CrossRef]
- Cavuoto, D.; Ravasio, N.; Scotti, N.; Gervasini, A.; Campisi, S.; Marelli, M.; Cappelletti, G.; Zaccheria, F. A Green Solvent Diverts the Hydrogenation of γ-Valerolactone to 1,4-Pentandiol over Cu/SiO2. Mol. Catal. 2021, 516, 111936. [Google Scholar] [CrossRef]
- Ravasio, N.; Zaccheria, F.; Allegrini, P.; Ercoli, M. Selective Hydrogenation of 4-(6-Methoxy-2-Naphtyl)-3-Buten-2-One to Nabumetone®. Catal. Today 2007, 121, 2–5. [Google Scholar] [CrossRef]
- Ravasio, N.; Antenori, M.; Gargano, M.; Mastrorilli, P. Cu/SiO2: An Improved Catalyst for the Chemoselective Hydrogenation of α,β-Unsaturated Ketones. Tetrahedron Lett. 1996, 37, 3529–3532. [Google Scholar] [CrossRef]
- Emeis, C.A. Determination of Integrated Molar Extinction Coefficients for Infrared Absorption Bands of Pyridine Adsorbed on Solid Acid Catalysts. J. Catal. 1993, 141, 347–354. [Google Scholar] [CrossRef]
- Mariani, M.; Zaccheria, F.; Psaro, R.; Ravasio, N. Some Insight into the Role of Different Copper Species as Acids in Cellulose Deconstruction. Catal. Commun. 2014, 44, 19–23. [Google Scholar] [CrossRef]
- Scotti, N.; Monticelli, D.; Zaccheria, F. Inorganica Chimica Acta Dispersed Copper Oxide : A Multifaceted Tool in Catalysis. Inorganica Chim. Acta 2012, 380, 194–200. [Google Scholar] [CrossRef]
- Shendurse, A.M.; Khedkar, C.D. Glucose: Properties and Analysis, 1st ed.; Elsevier Ltd.: Amsterdam, The Netherlands, 2015; Volume 3, ISBN 9780123849533. [Google Scholar]
- Scotti, N.; Finocchio, E.; Evangelisti, C.; Marelli, M.; Psaro, R.; Ravasio, N.; Zaccheria, F. Some Insight on the Structure/Activity Relationship of Metal Nanoparticles in Cu/SiO2 Catalysts. Chin. J. Catal. 2019, 40, 1788–1794. [Google Scholar] [CrossRef]
- Scotti, N.; Zaccheria, F.; Evangelisti, C.; Psaro, R.; Ravasio, N. Dehydrogenative Coupling Promoted by Copper Catalysts: A Way to Optimise and Upgrade Bio-Alcohols. Catal. Sci. Technol. 2017, 7, 1386–1393. [Google Scholar] [CrossRef]
- Gervasini, A.; Manzoli, M.; Martra, G.; Ponti, A.; Ravasio, N.; Sordelli, L.; Zaccheria, F. Dependence of Copper Species on the Nature of the Support for Dispersed CuO Catalysts. J. Phys. Chem. B 2006, 110, 7851–7861. [Google Scholar] [CrossRef]
- Cavuoto, D.; Zaccheria, F.; Marelli, M.; Evangelisti, C.; Piccolo, O.; Ravasio, N. The Role of Support Hydrophobicity in the Selective Hydrogenation of Enones and Unsaturated Sulfones over Cu/SiO2 Catalysts. Catalysts 2020, 10, 515. [Google Scholar] [CrossRef]
- Li, G.; Wang, B.; Resasco, D.E. Water-Mediated Heterogeneously Catalyzed Reactions. ACS Catal. 2020, 10, 1294–1309. [Google Scholar] [CrossRef]
- Lin, L.; Ge, Y.; Zhang, H.; Wang, M.; Xiao, D.; Ma, D. Heterogeneous Catalysis in Water. JACS Au 2021, 1, 1834–1848. [Google Scholar]
- Xu, C.; Yan, Z.; Yu, J.; Wang, X.; Ban, H.; Wang, Y.; Li, C. Applied Catalysis A, General Development of Stable Water-Resistant Cu-Based Catalyst for Methanol Synthesis. Appl. Catal. A Gen. 2021, 623, 118299. [Google Scholar] [CrossRef]
Disclaimer/Publisher’s Note: The statements, opinions and data contained in all publications are solely those of the individual author(s) and contributor(s) and not of MDPI and/or the editor(s). MDPI and/or the editor(s) disclaim responsibility for any injury to people or property resulting from any ideas, methods, instructions or products referred to in the content. |
© 2023 by the authors. Licensee MDPI, Basel, Switzerland. This article is an open access article distributed under the terms and conditions of the Creative Commons Attribution (CC BY) license (https://creativecommons.org/licenses/by/4.0/).






