The Catalyst of Ruthenium Nanoparticles Decorated Silicalite-1 Zeolite for Boosting Catalytic Soot Oxidation
Abstract
1. Introduction
2. Results and Discussions
2.1. Structural Properties
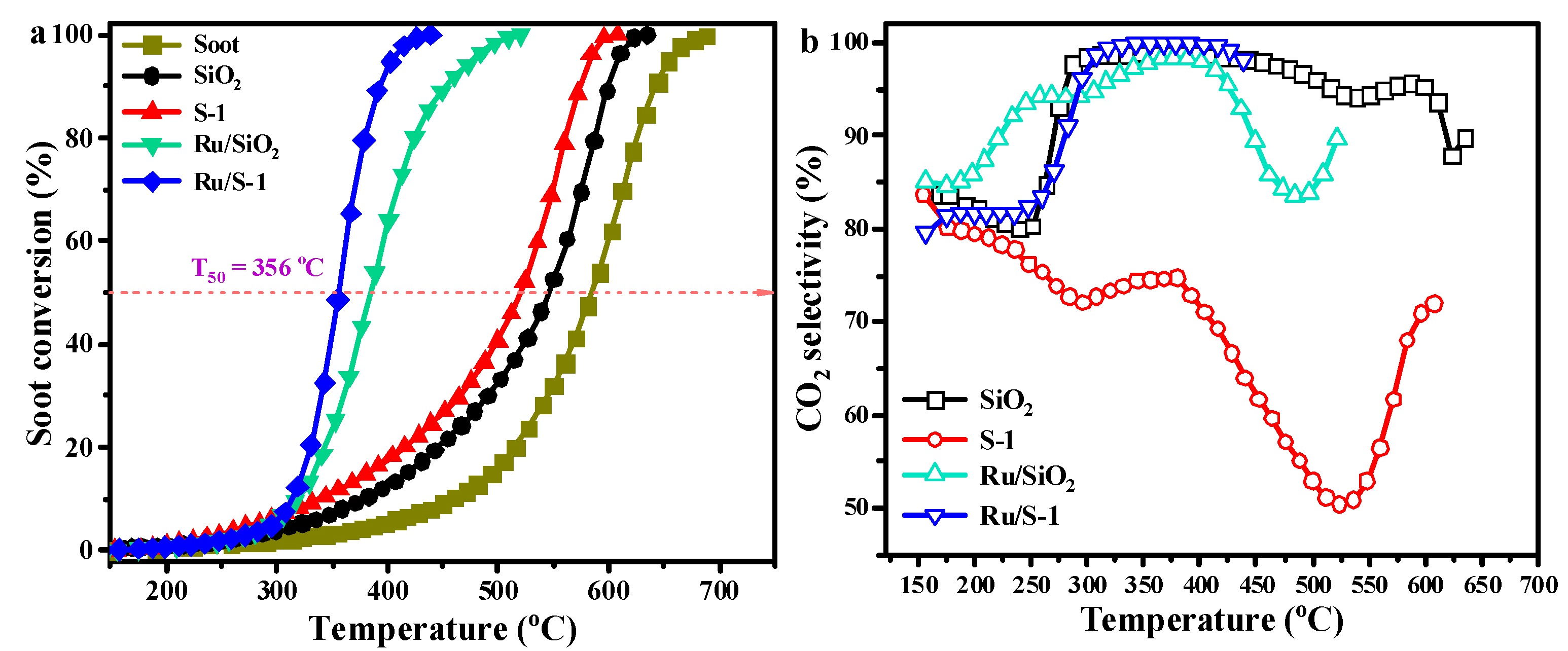
2.2. Catalytic Activity Performance
2.3. In situ NO Oxidation DRIFTS
3. Experimental Sections
3.1. Materials
3.2. Preparation Methods
3.2.1. Synthesis of S-1 Catalyst
3.2.2. Synthesis of Ru/S-1 and Ru/SiO2 Catalysts
3.3. Catalysts Characterization
3.4. Evaluation of Catalytic Activity
4. Conclusions
Supplementary Materials
Author Contributions
Funding
Data Availability Statement
Conflicts of Interest
References
- Tsai, Y.-C.; Kwon, E.; Park, Y.-K.; Nhat Huy, N.; Lisak, G.; Hsu, P.-S.; Hu, C.; Lin, K.-Y.A. Broccoli-like CeO2 with hierarchical/porous structures, and promoted oxygen vacancy as an enhanced catalyst for catalytic diesel soot elimination. Sep. Purif. Technol. 2022, 281, 119867. [Google Scholar] [CrossRef]
- Sellers-Antón, B.; Bailón-García, E.; Cardenas-Arenas, A.; Davó-Quiñonero, A.; Lozano-Castelló, D.; Bueno-López, A. Enhancement of the generation and transfer of active oxygen in Ni/CeO2 catalysts for soot combustion by controlling the Ni–Ceria contact and the three-dimensional structure. Environ. Sci. Technol. 2020, 54, 2439–2447. [Google Scholar] [CrossRef] [PubMed]
- Mori, K.; Jida, H.; Kuwahara, Y.; Yamashita, H. CoOx-decorated CeO2 heterostructures: Effects of morphology on their catalytic properties in diesel soot combustion. Nanoscale 2020, 12, 1779–1789. [Google Scholar] [CrossRef]
- Cui, B.; Zhou, L.; Li, K.; Liu, Y.-Q.; Wang, D.; Ye, Y.; Li, S. Holey Co-Ce oxide nanosheets as a highly efficient catalyst for diesel soot combustion. Appl. Catal. B 2020, 267, 118670. [Google Scholar] [CrossRef]
- Chen, Z.; Chen, L.; Jiang, M.; Gao, X.; Huang, M.; Li, Y.; Ren, L.; Yang, Y.; Yang, Z. Controlled synthesis of CeO2 nanorods and their promotional effect on catalytic activity and aging resistibility for diesel soot oxidation. Appl. Surf. Sci. 2020, 510, 145401. [Google Scholar] [CrossRef]
- Yu, X.; Wang, L.; Chen, M.; Fan, X.; Zhao, Z.; Cheng, K.; Chen, Y.; Sojka, Z.; Wei, Y.; Liu, J. Enhanced activity and sulfur resistance for soot combustion on three-dimensionally ordered macroporous-mesoporous MnxCe1-xOδ/SiO2 catalysts. Appl. Catal. B 2019, 254, 246–259. [Google Scholar] [CrossRef]
- Yang, Z.; Zhang, N.; Xu, H.; Li, Y.; Ren, L.; Liao, Y.; Chen, Y. Boosting diesel soot catalytic combustion via enhancement of solid(catalyst)-solid(soot) contact by tailoring micrometer scaled sheet-type agglomerations of CeO2-ZrO2 catalyst. Combust. Flame 2022, 235, 111700. [Google Scholar] [CrossRef]
- Li, Y.; Zhang, P.; Xiong, J.; Wei, Y.; Chi, H.; Zhang, Y.; Lai, K.; Zhao, Z.; Deng, J. Facilitating catalytic purification of auto-exhaust carbon particles via the Fe2O3{113} facet-dependent effect in Pt/Fe2O3 catalysts. Environ. Sci. Technol. 2021, 55, 16153–16162. [Google Scholar] [CrossRef]
- Lee, J.H.; Jo, D.Y.; Choung, J.W.; Kim, C.H.; Ham, H.C.; Lee, K.-Y. Roles of noble metals (M = Ag, Au, Pd, Pt and Rh) on CeO2 in enhancing activity toward soot oxidation: Active oxygen species and DFT calculations. J. Hazard. Mater. 2021, 403, 124085. [Google Scholar] [CrossRef]
- He, L.; Zhang, Y.; Zang, Y.; Liu, C.; Wang, W.; Han, R.; Ji, N.; Zhang, S.; Liu, Q. Promotion of A-site Ag-doped perovskites for the catalytic oxidation of soot: Synergistic catalytic effect of dual active sites. ACS Catal. 2021, 11, 14224–14236. [Google Scholar] [CrossRef]
- Yu, Q.; Xiong, J.; Li, Z.; Mei, X.; Zhang, P.; Zhang, Y.; Wei, Y.; Zhao, Z.; Liu, J. Optimal exposed crystal facets of α-Mn2O3 catalysts with enhancing catalytic performance for soot combustion. Catal. Today 2021, 376, 229–238. [Google Scholar] [CrossRef]
- Li, Y.; Li, K.; Wang, Y.; Zhou, K.; Zhao, M.; Hu, M.; Liu, Y.-Q.; Qin, L.; Cui, B. Fe-doped porous Co3O4 nanosheets with highly efficient catalytic performance for soot oxidation. Chem. Eng. J. 2022, 431, 133248. [Google Scholar] [CrossRef]
- Castoldi, L.; Matarrese, R.; Lietti, L.; Forzatti, P. Intrinsic reactivity of alkaline and alkaline-earth metal oxide catalysts for oxidation of soot. Appl. Catal. B 2009, 90, 278–285. [Google Scholar] [CrossRef]
- Carrascull, A.L.; Ponzi, M.I.; Ponzi, E.N. Catalytic combustion of soot on KNO3/ZrO2 catalysts. Effect of potassium nitrate loading on activity. Ind. Eng. Chem. Res. 2003, 42, 692–697. [Google Scholar] [CrossRef]
- Fang, F.; Feng, N.; Wang, L.; Meng, J.; Liu, G.; Zhao, P.; Gao, P.; Ding, J.; Wan, H.; Guan, G. Fabrication of perovskite-type macro/mesoporous La1-xKxFeO3-δ nanotubes as an efficient catalyst for soot combustion. Appl. Catal. B 2018, 236, 184–194. [Google Scholar] [CrossRef]
- Liu, S.; Wu, X.; Liu, W.; Chen, W.; Ran, R.; Li, M.; Weng, D. Soot oxidation over CeO2 and Ag/CeO2: Factors determining the catalyst activity and stability during reaction. J. Catal. 2016, 337, 188–198. [Google Scholar] [CrossRef]
- Li, Y.; Qin, T.; Ma, Y.; Xiong, J.; Zhang, P.; Lai, K.; Liu, X.; Zhao, Z.; Liu, J.; Chen, L. Revealing active edge sites induced by oriented lattice bending of Co-CeO2 nanosheets for boosting auto-exhaust soot oxidation. J. Catal. 2023, 421, 351–364. [Google Scholar] [CrossRef]
- Aouad, S.; Abi-Aad, E.; Aboukaïs, A. Simultaneous oxidation of carbon black and volatile organic compounds over Ru/CeO2 catalysts. Appl. Catal. B 2009, 88, 249–256. [Google Scholar] [CrossRef]
- Zheng, C.; Mao, D.; Xu, Z.; Zheng, S. Strong Ru-CeO2 interaction boosts catalytic activity and stability of Ru supported on CeO2 nanocube for soot oxidation. J. Catal. 2022, 411, 122–134. [Google Scholar] [CrossRef]
- Wei, Y.; Zhang, P.; Xiong, J.; Yu, Q.; Wu, Q.; Zhao, Z.; Liu, J. SO2-tolerant catalytic removal of soot particles over 3D ordered macroporous Al2O3-supported binary Pt-Co oxide catalysts. Environ. Sci. Technol. 2020, 54, 6947–6956. [Google Scholar] [CrossRef]
- Wang, M.; Zhang, Y.; Yu, Y.; Shan, W.; He, H. Synergistic effects of multicomponents produce outstanding soot oxidation activity in a Cs/Co/MnOx catalyst. Environ. Sci. Technol. 2021, 55, 240–248. [Google Scholar] [CrossRef] [PubMed]
- Xiong, J.; Mei, X.; Liu, J.; Wei, Y.; Zhao, Z.; Xie, Z.; Li, J. Efficiently multifunctional catalysts of 3D ordered meso-macroporous Ce0.3Zr0.7O2-supported PdAu@CeO2 core-shell nanoparticles for soot oxidation: Synergetic effect of Pd-Au-CeO2 ternary components. Appl. Catal. B 2019, 251, 247–260. [Google Scholar] [CrossRef]
- Wei, Y.; Zhao, Z.; Li, T.; Liu, J.; Duan, A.; Jiang, G. The novel catalysts of truncated polyhedron Pt nanoparticles supported on three-dimensionally ordered macroporous oxides (Mn, Fe, Co, Ni, Cu) with nanoporous walls for soot combustion. Appl. Catal. B 2014, 146, 57–70. [Google Scholar] [CrossRef]
- Zhang, C.; Yu, D.; Peng, C.; Wang, L.; Yu, X.; Wei, Y.; Liu, J.; Zhao, Z. Research progress on preparation of 3DOM-based oxide catalysts and their catalytic performances for the combustion of diesel soot particles. Appl. Catal. B 2022, 319, 121946. [Google Scholar] [CrossRef]
- Liu, X.; Meng, J.; Zhu, J.; Huang, M.; Wen, B.; Guo, R.; Mai, L. Comprehensive understandings into complete reconstruction of precatalysts: Synthesis, applications, and characterizations. Adv. Mater. 2021, 33, 2007344. [Google Scholar] [CrossRef]
- Liu, J.; Liu, Y.; Liu, H.; Fu, Y.; Chen, Z.; Zhu, W. Silicalite-1 Supported ZnO as an efficient catalyst for direct propane dehydrogenation. ChemCatChem 2021, 13, 4780–4786. [Google Scholar] [CrossRef]
- Zhang, S.; Zhang, X.; Dong, L.; Zhu, S.; Yuan, Y.; Xu, L. In situ synthesis of Pt nanoparticles encapsulated in silicalite-1 zeolite via a steam-assisted dry-gel conversion method. CrystEngComm 2022, 24, 2697–2704. [Google Scholar] [CrossRef]
- Li, Y.; Zhang, Q.; Fu, S.; Kondratenko, V.A.; Otroshchenko, T.; Bartling, S.; Zhang, Y.; Zanina, A.; Wang, Y.; Cui, G.; et al. Active species and fundamentals of their creation in Co-containing catalysts for efficient propane dehydrogenation to propylene. Chem. Eng. J. 2023, 460, 141778. [Google Scholar] [CrossRef]
- Bi, M.; Song, S.; Li, Z.; Zhang, B.; Zhao, L.; Guo, K.; Li, J.; Chen, L.; Zhao, Q.; Cheng, W.; et al. In situ encapsulated molybdovanaphosphodic acid on modified nanosized TS-1 zeolite catalyst for deep oxidative desulfurization. Microporous Mesoporous Mater. 2022, 335, 111799. [Google Scholar] [CrossRef]
- Aguiar, H.; Serra, J.; González, P.; León, B. Structural study of sol–gel silicate glasses by IR and Raman spectroscopies. J. Non-Cryst. Solids 2009, 355, 475–480. [Google Scholar] [CrossRef]
- González, P.; Serra, J.; Liste, S.; Chiussi, S.; León, B.; Pérez-Amor, M. Raman spectroscopic study of bioactive silica based glasses. J. Non-Cryst. Solids 2003, 320, 92–99. [Google Scholar] [CrossRef]
- Bahtat, M.; Mugnier, J.; Bovier, C.; Roux, H.; Serughetti, J. Waveguide Raman spectroscopy of TiO2:SiO2 thin films. J. Non-Cryst. Solids 1992, 147–148, 123–126. [Google Scholar] [CrossRef]
- Liu, J.; Zeng, L.; Xu, X.; Xu, J.; Fang, X.; Bian, Y.; Wang, X. Elucidating Ru distribution state of Ru-promoted Pr2Sn2O7 pyrochlore and its effect on the catalytic performance for toluene deep oxidation. ChemCatChem 2022, 14, e202101969. [Google Scholar] [CrossRef]
- Wu, L.; Ren, Z.; He, Y.; Yang, M.; Yu, Y.; Liu, Y.; Tan, L.; Tang, Y. Atomically dispersed Co2+ sites incorporated into a Silicalite-1 zeolite framework as a high-performance and coking-resistant catalyst for propane nonoxidative dehydrogenation to propylene. ACS Appl. Mater. Interfaces 2021, 13, 48934–48948. [Google Scholar] [CrossRef]
- Chang, S.; Jia, Y.; Zeng, Y.; Qian, F.; Guo, L.; Wu, S.; Lu, J.; Han, Y. Effect of interaction between different CeO2 plane and platinum nanoparticles on catalytic activity of Pt/CeO2 in toluene oxidation. J. Rare Earths 2022, 40, 1743–1750. [Google Scholar] [CrossRef]
- Yan, Q.G.; Wu, T.H.; Weng, W.Z.; Toghiani, H.; Toghiani, R.K.; Wan, H.L.; Pittman, C.U. Partial oxidation of methane to H2 and CO over Rh/SiO2 and Ru/SiO2 catalysts. J. Catal. 2004, 226, 247–259. [Google Scholar] [CrossRef]
- Pereira, E.B.; Homs, N.; Martí, S.; Fierro, J.L.G.; Ramírez de la Piscina, P. Oxidative steam-reforming of ethanol over Co/SiO2, Co–Rh/SiO2 and Co–Ru/SiO2 catalysts: Catalytic behavior and deactivation/regeneration processes. J. Catal. 2008, 257, 206–214. [Google Scholar] [CrossRef]
- Wu, D.; Wang, Q.; Safonova, O.V.; Peron, D.V.; Zhou, W.; Yan, Z.; Marinova, M.; Khodakov, A.Y.; Ordomsky, V.V. Lignin compounds to monoaromatics: Selective cleavage of C−O bonds over a brominated ruthenium catalyst. Angew. Chem. Int. Ed. 2021, 60, 12513–12523. [Google Scholar] [CrossRef]
- Wang, Z.; Huang, Z.; Brosnahan, J.T.; Zhang, S.; Guo, Y.; Guo, Y.; Wang, L.; Wang, Y.; Zhan, W. Ru/CeO2 catalyst with optimized CeO2 support morphology and surface facets for propane combustion. Environ. Sci. Technol. 2019, 53, 5349–5358. [Google Scholar] [CrossRef]
- Xie, G.; Wang, L.; Zhu, Q.; Xu, L.; Song, K.; Yu, Z. Modification of SiO2 nanoparticle-decorated TiO2 nanocomposites with silane coupling agents for enhanced opacity in blue light-curable Ink. ACS Appl. Nano Mater. 2022, 5, 9678–9687. [Google Scholar] [CrossRef]
- Ruan, H.; Zhang, X.; Yu, M.; Deng, W.; Huang, D.; Hadj Henni, I.; Guo, L. Bimetallic catalysts Ag-K(Cs)/ZSM-5 for efficient soot oxidation via synergistically regulating active species and support of catalyst. Fuel 2023, 351, 128846. [Google Scholar] [CrossRef]
- Guillén-Hurtado, N.; García-García, A.; Bueno-López, A. Active oxygen by Ce–Pr mixed oxide nanoparticles outperform diesel soot combustion Pt catalysts. Appl. Catal. B 2015, 174–175, 60–66. [Google Scholar] [CrossRef]
- Liu, S.; Wu, X.; Weng, D.; Li, M.; Fan, J. Sulfation of Pt/Al2O3 catalyst for soot oxidation: High utilization of NO2 and oxidation of surface oxygenated complexes. Appl. Catal. B 2013, 138–139, 199–211. [Google Scholar] [CrossRef]
- Xiong, J.; Wu, Q.; Mei, X.; Liu, J.; Wei, Y.; Zhao, Z.; Wu, D.; Li, J. Fabrication of spinel-type PdxCo3–xO4 binary active sites on 3D ordered meso-macroporous Ce-Zr-O2 with enhanced activity for catalytic soot oxidation. ACS Catal. 2018, 8, 7915–7930. [Google Scholar] [CrossRef]
- Wu, Q.; Xiong, J.; Zhang, Y.; Mei, X.; Wei, Y.; Zhao, Z.; Liu, J.; Li, J. Interaction-induced self-assembly of Au@La2O3 core–shell nanoparticles on La2O2CO3 nanorods with enhanced catalytic activity and stability for soot oxidation. ACS Catal. 2019, 9, 3700–3715. [Google Scholar] [CrossRef]
- Andana, T.; Piumetti, M.; Bensaid, S.; Veyre, L.; Thieuleux, C.; Russo, N.; Fino, D.; Quadrelli, E.A.; Pirone, R. Nanostructured equimolar ceria-praseodymia for NOx-assisted soot oxidation: Insight into Pr dominance over Pt nanoparticles and metal–support interaction. Appl. Catal. B 2018, 226, 147–161. [Google Scholar] [CrossRef]
- Zhang, P.; Xiong, J.; Wei, Y.; Li, Y.; Zhang, Y.; Tang, J.; Song, W.; Zhao, Z.; Liu, J. Exposed {001} facet of anatase TiO2 nanocrystals in Ag/TiO2 catalysts for boosting catalytic soot combustion: The facet-dependent activity. J. Catal. 2021, 398, 109–122. [Google Scholar] [CrossRef]
- Zhang, H.; Yuan, S.; Wang, J.; Gong, M.; Chen, Y. Effects of contact model and NOx on soot oxidation activity over Pt/MnOx-CeO2 and the reaction mechanisms. Chem. Eng. J. 2017, 327, 1066–1076. [Google Scholar] [CrossRef]
- Niu, H.; Li, K.; Chu, B.; Su, W.; Li, J. Heterogeneous reactions between toluene and NO2 on mineral particles under simulated atmospheric conditions. Environ. Sci. Technol. 2017, 51, 9596–9604. [Google Scholar] [CrossRef]
- Ji, Y.; Bai, S.; Xu, D.; Qian, D.; Wu, Z.; Song, Y.; Pace, R.; Crocker, M.; Wilson, K.; Lee, A.; et al. Pd-promoted WO3-ZrO2 for low temperature NOx storage. Appl. Catal. B 2020, 264, 118499. [Google Scholar] [CrossRef]
- Wu, X.; Lin, F.; Xu, H.; Weng, D. Effects of adsorbed and gaseous NOx species on catalytic oxidation of diesel soot with MnOx–CeO2 mixed oxides. Appl. Catal. B 2010, 96, 101–109. [Google Scholar] [CrossRef]
- Xin, Y.; Cheng, L.; Lv, Y.; Jia, J.; Han, D.; Zhang, N.; Wang, J.; Zhang, Z.; Cao, X.-M. Experimental and theoretical insight into the facet-dependent mechanisms of NO oxidation catalyzed by structurally diverse Mn2O3 nanocrystals. ACS Catal. 2022, 12, 397–410. [Google Scholar] [CrossRef]
- Li, X.; Li, K.; Ding, D.; Yan, J.; Wang, C.; Carabineiro, S.A.C.; Liu, Y.; Lv, K. Effect of oxygen vacancies on the photocatalytic activity of flower-like BiOBr microspheres towards NO oxidation and CO2 reduction. Sep. Purif. Technol. 2023, 309, 123054. [Google Scholar] [CrossRef]
- Cao, F.; Xiang, J.; Su, S.; Wang, P.; Sun, L.; Hu, S.; Lei, S. The activity and characterization of MnOx–CeO2–ZrO2/γ-Al2O3 catalysts for low temperature selective catalytic reduction of NO with NH3. Chem. Eng. J. 2014, 243, 347–354. [Google Scholar] [CrossRef]
- Wang, N.; Sun, Q.; Bai, R.; Li, X.; Guo, G.; Yu, J. In situ confinement of ultrasmall Pd clusters within nanosized silicalite-1 zeolite for highly efficient catalysis of hydrogen generation. J. Am. Chem. Soc. 2016, 138, 7484–7487. [Google Scholar] [CrossRef]
- Wei, Y.; Zhao, Z.; Jiao, J.; Liu, J.; Duan, A.; Jiang, G. Facile synthesis of three-dimensionally ordered macroporous LaFeO3-supported gold nanoparticle catalysts with high catalytic activity and stability for soot combustion. Catal. Today 2015, 245, 37–45. [Google Scholar] [CrossRef]








| Catalysts | T10 (°C) | T50 (°C) | T90 (°C) | SCO2m (%) |
|---|---|---|---|---|
| Soot (no catalyst) | 458 | 585 | 642 | 54.6 |
| SiO2 | 383 | 546 | 599 | 95.7 |
| S-1 | 339 | 518 | 573 | 56.4 |
| Ru/SiO2 | 320 | 384 | 454 | 98.3 |
| Ru/S-1 | 315 | 356 | 391 | 99.9 |
Disclaimer/Publisher’s Note: The statements, opinions and data contained in all publications are solely those of the individual author(s) and contributor(s) and not of MDPI and/or the editor(s). MDPI and/or the editor(s) disclaim responsibility for any injury to people or property resulting from any ideas, methods, instructions or products referred to in the content. |
© 2023 by the authors. Licensee MDPI, Basel, Switzerland. This article is an open access article distributed under the terms and conditions of the Creative Commons Attribution (CC BY) license (https://creativecommons.org/licenses/by/4.0/).
Share and Cite
Li, Y.; Guo, H.; Xiong, J.; Ma, Y.; Li, X.; Zhang, P.; Zhang, S.; Wei, Y. The Catalyst of Ruthenium Nanoparticles Decorated Silicalite-1 Zeolite for Boosting Catalytic Soot Oxidation. Catalysts 2023, 13, 1167. https://doi.org/10.3390/catal13081167
Li Y, Guo H, Xiong J, Ma Y, Li X, Zhang P, Zhang S, Wei Y. The Catalyst of Ruthenium Nanoparticles Decorated Silicalite-1 Zeolite for Boosting Catalytic Soot Oxidation. Catalysts. 2023; 13(8):1167. https://doi.org/10.3390/catal13081167
Chicago/Turabian StyleLi, Yuanfeng, Hao Guo, Jing Xiong, Yaxiao Ma, Xuanzhen Li, Peng Zhang, Sicheng Zhang, and Yuechang Wei. 2023. "The Catalyst of Ruthenium Nanoparticles Decorated Silicalite-1 Zeolite for Boosting Catalytic Soot Oxidation" Catalysts 13, no. 8: 1167. https://doi.org/10.3390/catal13081167
APA StyleLi, Y., Guo, H., Xiong, J., Ma, Y., Li, X., Zhang, P., Zhang, S., & Wei, Y. (2023). The Catalyst of Ruthenium Nanoparticles Decorated Silicalite-1 Zeolite for Boosting Catalytic Soot Oxidation. Catalysts, 13(8), 1167. https://doi.org/10.3390/catal13081167
