Effect of Re Addition on the Water–Gas Shift Activity of Ni Catalyst Supported by Mixed Oxide Materials for H2 Production
Abstract
1. Introduction
2. Results and Discussion
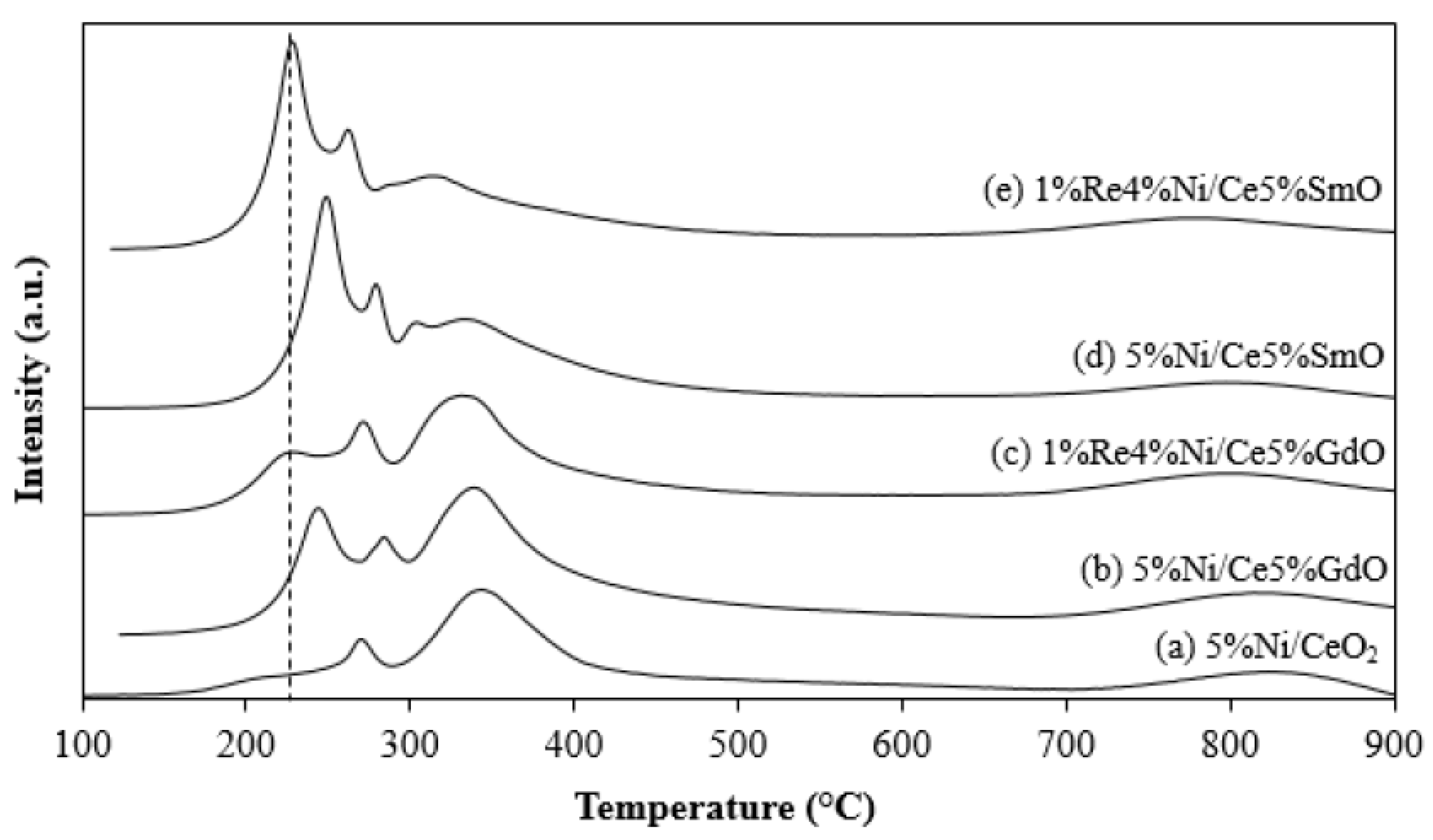
2.1. Catalysts Characterization
2.2. WGS Activity and Stability of Ni Catalysts
3. Experimental Procedure
3.1. Catalysts Preparation
3.2. Catalyst Characterization
3.3. Water–Gas Shift Activity
4. Conclusions
Author Contributions
Funding
Data Availability Statement
Conflicts of Interest
References
- Rhodes, C.; Peter Williams, B.; King, F.; Hutchings, G.J. Promotion of Fe3O4/Cr2O3 high temperature water gas shift catalyst. Catal. Commun. 2002, 3, 381–384. [Google Scholar] [CrossRef]
- Ebrahimi, P.; Kumar, A.; Khraisheh, M. A review of recent advances in water-gas shift catalysis for hydrogen production. Emergent Mater. 2020, 3, 881–917. [Google Scholar] [CrossRef]
- Velasco-Plascencia, M.; Vázquez-Gómez, O.; Olmos, L.; Reyes-Calderón, F.; Vergara-Hernández, H.J.; Villalobos, J.C. Determination of Activation Energy on Hydrogen Evolution Reaction for Nickel-Based Porous Electrodes during Alkaline Electrolysis. Catalysts 2023, 13, 517. [Google Scholar] [CrossRef]
- Stepanova, L.N.; Kobzar, E.O.; Trenikhin, M.V.; Leont’eva, N.N.; Serkova, A.N.; Salanov, A.N.; Lavrenov, A.V. Catalysts Based on Ni(Mg)Al-Layered Hydroxides Prepared by Mechanical Activation for Furfural Hydrogenation. Catalysts 2023, 13, 497. [Google Scholar] [CrossRef]
- Du, Z.; Pan, F.; Yang, X.; Fang, L.; Gang, Y.; Fang, S.; Li, T.; Hu, Y.H.; Li, Y. Efficient photothermochemical dry reforming of methane over Ni supported on ZrO2 with CeO2 incorporation. Catal. Today 2023, 409, 31–41. [Google Scholar] [CrossRef]
- Taherian, Z.; Yousefpour, M.; Tajally, M.; Khoshandam, B. Catalytic performance of Samaria-promoted Ni and Co/SBA-15 catalysts for dry reforming of methane. Int. J. Hydrogen Energy 2017, 42, 24811–24822. [Google Scholar] [CrossRef]
- Luisetto, I.; Tuti, S.; Romano, C.; Boaro, M.; Di Bartolomeo, E.; Kesavan, J.K.; Kumar, S.S.; Selvakumar, K. Dry reforming of methane over Ni supported on doped CeO2: New insight on the role of dopants for CO2 activation. J. CO2 Util. 2019, 30, 63–78. [Google Scholar] [CrossRef]
- Mogensen, M.; Sammes, N.M.; Tompsett, G.A. Physical, Chemical and Electrochemical Properties of Pure and Doped Ceria. Solid State Ion. 2000, 129, 63–94. [Google Scholar] [CrossRef]
- Fu, Y.P.; Chen, S.H.; Huang, J.J. Preparation and characterization of Ce0.8M0.2O2-δ (M=Y, Gd, Sm, Nd, La) solid electrolyte materials for solid oxide fuel cells. Int. J. Hydrogen Energy 2010, 35, 745–752. [Google Scholar] [CrossRef]
- da Silva, A.A.A.; Bion, N.; Epron, F.; Baraka, S.; Fonseca, F.C.; Rabelo-Neto, R.C.; Mattos, L.V.; Noronha, F.B. Effect of the type of ceria dopant on the performance of Ni/CeO2 SOFC anode for ethanol internal reforming. Appl. Catal. B Environ. 2017, 206, 626–641. [Google Scholar] [CrossRef]
- Luo, T.; Vohs, J.M.; Gorte, R.J. An Examination of Sulfur Poisoning on Pd/Ceria Catalysts. J. Catal. 2002, 210, 397–404. [Google Scholar] [CrossRef]
- Nikolova, D.; Kardjieva, R.; Grozeva, T. Water-gas shift activity of K-promoted (Ni)Mo/γ-Al2O3 systems in sulfur-containing feed. React. Kinet. Mech. Catal. 2011, 103, 71–86. [Google Scholar] [CrossRef]
- Choung, S.Y.; Ferrandon, M.; Krause, T. Pt-Re bimetallic supported on CeO2-ZrO2 mixed oxides as water–gas shift catalysts. Catal. Today 2005, 99, 257–262. [Google Scholar] [CrossRef]
- Iida, H.; Igarashi, A. Structure characterization of Pt-Re/TiO2 (rutile) and Pt-Re/ZrO2 catalysts for water gas shift reaction at low-temperature. Appl. Catal. A Gen. 2006, 303, 192–198. [Google Scholar] [CrossRef]
- Pieck, C.L.; González, M.B.; Parera, J.M. Total metallic dispersion of sulfided Pt-Re/Al2O3 naphtha reforming catalysts. Appl. Catal. A Gen. 2001, 205, 305–312. [Google Scholar] [CrossRef]
- Di Michele, A.; Dell’Angelo, A.; Tripodi, A.; Bahadori, E.; Sànchez, F.; Motta, D.; Dimitratos, N.; Rossetti, I.; Ramis, G. Steam reforming of ethanol over Ni/MgAl2O4 catalysts. Int. J. Hydrogen Energy 2019, 44, 952–964. [Google Scholar] [CrossRef]
- Osorio-Vargas, P.; Flores-González, N.A.; Navarro, R.M.; Fierro, J.L.; Campos, C.H.; Reyes, P. Improved stability of Ni/Al2O3 catalysts by effect of promoters (La2O3, CeO2) for ethanol steam-reforming reaction. Catal. Today 2016, 259, 27–38. [Google Scholar] [CrossRef]
- Lomonaco, J.G.; Tojira, O.; Charojrochkul, S.; Tepamatr, P. Structure-activity relationship of ceria based catalyst for hydrogen production. Chiang Mai J. Sci. 2022, 49, 1129–1134. [Google Scholar] [CrossRef]
- Tojira, O.; Tepamatr, P. Catalytic Activity of Ni Based Materials Prepared by Different Methods for Hydrogen Production via the Water Gas Shift Reaction. Catalysts 2023, 13, 176. [Google Scholar] [CrossRef]
- Tojira, O.; Lomonaco, J.G.; Sesuk, T.; Charojrochkul, S.; Tepamatr, P. Enhancement of hydrogen production using Ni catalysts supported by Gd-doped ceria. Heliyon 2021, 7, e08202. [Google Scholar] [CrossRef]
- Liu, J.J. Advanced Electron Microscopy of Metal–Support Interactions in Supported Metal Catalysts. ChemCatChem 2011, 3, 934–948. [Google Scholar] [CrossRef]
- Lee, Y.-L.; Jha, A.; Jang, W.-J.; Shim, J.-O.; Jeon, K.-W.; Na, H.-S.; Kim, H.-M.; Lee, D.-W.; Yoo, S.-Y.; Jeon, B.-H.; et al. Optimization of cobalt loading in Co–CeO2 catalyst for the high temperature water–gas shift reaction. Top. Catal. 2017, 60, 721–726. [Google Scholar] [CrossRef]
- Kim, K.-J.; Lee, Y.-L.; Na, H.-S.; Ahn, S.-Y.; Shim, J.-O.; Jeon, B.-H.; Roh, H.-S. Efficient waste to energy conversion based on Co-CeO2 catalyzed water-gas shift reaction. Catalysts 2020, 10, 420. [Google Scholar] [CrossRef]
- Liu, S.; Zhu, J.; Sun, M.; Ma, Z.; Hu, K.; Nakajima, T.; Liu, X.; Schmuki, P.; Wang, L. Promoting hydrogen evolution reaction through oxygen vacancies and phase transformation engineering on layered double hydroxide nanosheets. J. Mater. Chem. A 2020, 8, 2490–2497. [Google Scholar] [CrossRef]
- Ammal, S.C.; Heyden, A. Origin of the unique activity of Pt/TiO2 catalysts for the water–gas shift reaction. J. Catal. 2013, 306, 78–90. [Google Scholar] [CrossRef]
- Taniguchi, T.; Watanabe, T.; Sugiyama, N.; Subramani, A.K.; Wagata, H.; Matsushita, N.; Yoshimura, M. Identifying defects in ceria-based nanocrystals by UV resonance Raman spectroscopy. J. Phys. Chem. C 2009, 113, 19789–19793. [Google Scholar] [CrossRef]
- Lee, Y.; He, G.; Akey, A.J.; Si, R.; Flytzani-Stephanopoulos, M.; Herman, I.P. Raman analysis of mode softening in nanoparticle CeO2-δ and Au-CeO2-δ during CO oxidation. J. Am. Chem. Soc. 2011, 133, 12952–12955. [Google Scholar] [CrossRef]
- Guo, M.; Lu, J.; Wu, Y.; Wang, Y.; Luo, M. UV and Visible Raman Studies of Oxygen Vacancies in Rare-Earth-Doped Ceria. Langmuir 2011, 27, 3872–3877. [Google Scholar] [CrossRef]
- Xiao, Z.; Li, Y.; Hou, F.; Wu, C.; Pan, L.; Zou, J.; Wang, L.; Zhang, X.; Liu, G.; Li, G. Engineering oxygen vacancies and nickel dispersion on CeO2 by Pr doping for highly stable ethanol steam reforming. Appl. Catal. B Environ. 2019, 258, 117940. [Google Scholar] [CrossRef]
- Dutta, G.; Waghmare, U.V.; Baidya, T.; Hegde, M.S.; Priolkar, K.R.; Sarode, P.R. Origin of enhanced reducibility/oxygen storage capacity of Ce1-xTixO2 compared to CeO2 or TiO2. Chem. Mater. 2006, 18, 3249–3256. [Google Scholar] [CrossRef]
- Si, R.; Flytzani-Stephanopoulos, M. Shape and crystal-plane effects of nanoscale ceria on the activity of Au-CeO2 catalysts for the water-gas shift reaction. Angew. Chem. Int. Ed. Engl. 2008, 47, 2884–2887. [Google Scholar] [CrossRef] [PubMed]
- Shahin, A.M.; Grandjean, F.; Long, G.J.; Schuman, T.P. Cerium LIII-edge XAS investigation of the structure of crystalline and amorphous cerium oxides. Chem. Mater. 2005, 17, 315–321. [Google Scholar] [CrossRef]
- Dutta, P.; Pal, S.; Seehra, M.; Shi, Y. Concentration of Ce3+ and Oxygen Vacancies in Cerium Oxide Nanoparticles. Chem. Mater. 2006, 18, 5144–5146. [Google Scholar] [CrossRef]
- Huang, B.; Gillen, R.; Robertson, J. Study of CeO2 and its native defects by density functional theory with repulsive potential. J. Phys. Chem. C 2014, 118, 24248–24256. [Google Scholar] [CrossRef]
- Corkhill, C.L.; Bailey, D.J.; Tocino, F.Y.; Stennett, M.C.; Miller, J.A.; Provis, J.L.; Travis, K.P.; Hyatt, N.C. Role of microstructure and surface defects on the dissolution kinetics of CeO2, a UO2 fuel analogue. ACS Appl. Mater. Interfaces 2016, 8, 10562–10571. [Google Scholar] [CrossRef]
- Vecchietti, J.; Bonivardi, A.; Xu, W.; Stacchiola, D.; Delgado, J.J.; Calatayud, M.; Collins, S.E. Understanding the role of oxygen vacancies in the water gas shift reaction on ceria-supported platinum catalysts. ACS Catal. 2014, 4, 2088–2096. [Google Scholar] [CrossRef]
- Rodriguez, J.A.; Ma, S.; Liu, P.; Hrbek, J.; Evans, J.; Pérez, M. Activity of CeO2 and TiO2 nanoparticles grown on Au(111) in the water-gas shift reaction. Science 2007, 318, 1757–1760. [Google Scholar] [CrossRef]
- Liu, L.; Wang, Q.; Song, J.; Ahmad, S.; Yang, X.; Sun, Y. Plasma-assisted catalytic reforming of toluene to hydrogen rich syngas. Catal. Sci. Technol. 2017, 7, 4216–4231. [Google Scholar] [CrossRef]
- Tepamatr, P.; Laosiripojana, N.; Sesuk, T.; Charojrochkul, S. Effect of samarium and praseodymium addition on water gas shift performance of Co/CeO2 catalysts. J. Rare Earths 2020, 38, 1201–1206. [Google Scholar] [CrossRef]
- Tepamatr, P.; Laosiripojana, N.; Charojrochkul, S. Water gas shift reaction over monometallic and bimetallic catalysts supported by mixed oxide materials. Appl. Catal. A Gen. 2016, 523, 255–262. [Google Scholar] [CrossRef]
- Tokeda, T.; Kato, K.; Kikkawa, S. Gel combustion synthesis of rare earth aluminate using glycine or urea. J. Ceram. Soc. Jpn. 2007, 115, 588–591. [Google Scholar] [CrossRef]











| Catalysts | Crystallite Size a (nm) | Lattice Parameter a (nm) |
|---|---|---|
| CeO2 | 9.41 | 0.5435 |
| 5% Ni/CeO2 | 13.35 | 0.5407 |
| 5% Ni/Ce-5% Sm-O | 9.01 | 0.5417 |
| 5% Ni/Ce-5% Gd-O | 9.64 | 0.5414 |
| Catalysts | BET Surface Area b (m2/g) | Total Pore Volume b (cm3/g) | Average Pore Diameter b (nm) | Ni Dispersion c (%) | Ni Surface Area c (m2/g) |
|---|---|---|---|---|---|
| 5% Ni/CeO2 | 29 | 0.061 | 8.35 | 0.17 | 0.95 |
| 5% Ni/Ce-5% Sm-O | 54 | 0.079 | 5.88 | 0.25 | 1.55 |
| 1% Re 4% Ni/Ce-5% Sm-O | 50 | 0.076 | 6.14 | 0.98 | 5.07 |
| 5% Ni/Ce-5% Gd-O | 51 | 0.067 | 5.30 | 0.22 | 1.28 |
| 1% Re 4% Ni/Ce-5% Gd-O | 48 | 0.064 | 5.12 | 0.76 | 4.11 |
Disclaimer/Publisher’s Note: The statements, opinions and data contained in all publications are solely those of the individual author(s) and contributor(s) and not of MDPI and/or the editor(s). MDPI and/or the editor(s) disclaim responsibility for any injury to people or property resulting from any ideas, methods, instructions or products referred to in the content. |
© 2023 by the authors. Licensee MDPI, Basel, Switzerland. This article is an open access article distributed under the terms and conditions of the Creative Commons Attribution (CC BY) license (https://creativecommons.org/licenses/by/4.0/).
Share and Cite
Lomonaco, J.G.; Sesuk, T.; Charojrochkul, S.; Tepamatr, P. Effect of Re Addition on the Water–Gas Shift Activity of Ni Catalyst Supported by Mixed Oxide Materials for H2 Production. Catalysts 2023, 13, 959. https://doi.org/10.3390/catal13060959
Lomonaco JG, Sesuk T, Charojrochkul S, Tepamatr P. Effect of Re Addition on the Water–Gas Shift Activity of Ni Catalyst Supported by Mixed Oxide Materials for H2 Production. Catalysts. 2023; 13(6):959. https://doi.org/10.3390/catal13060959
Chicago/Turabian StyleLomonaco, Jessica Gina, Thanathon Sesuk, Sumittra Charojrochkul, and Pannipa Tepamatr. 2023. "Effect of Re Addition on the Water–Gas Shift Activity of Ni Catalyst Supported by Mixed Oxide Materials for H2 Production" Catalysts 13, no. 6: 959. https://doi.org/10.3390/catal13060959
APA StyleLomonaco, J. G., Sesuk, T., Charojrochkul, S., & Tepamatr, P. (2023). Effect of Re Addition on the Water–Gas Shift Activity of Ni Catalyst Supported by Mixed Oxide Materials for H2 Production. Catalysts, 13(6), 959. https://doi.org/10.3390/catal13060959
