Sodium Methoxide Catalysed One-Pot Glycidol Synthesis via Trans-Esterification between Glycerol and Dimethyl Carbonate
Abstract
1. Introduction
2. Results and Discussion
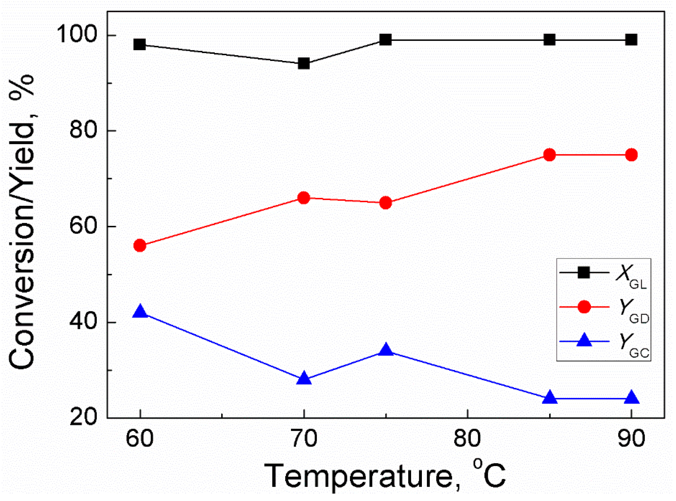
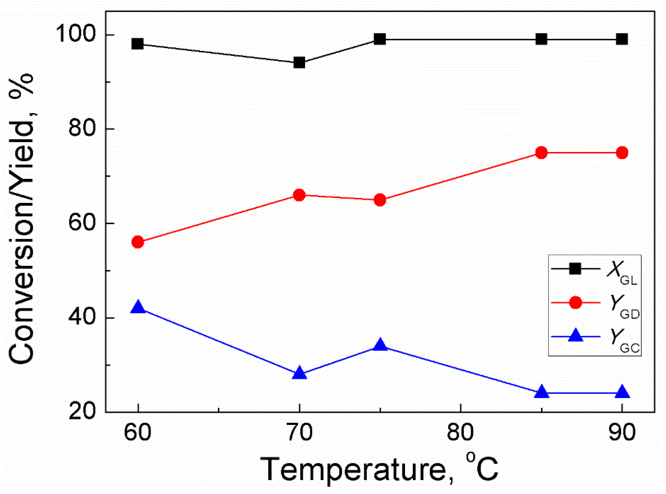
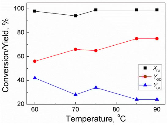
2.1. Effect of Reaction Temperature
2.2. Effect of Molar Ratio of DMC/GL
2.3. Effect of Catalyst Amount
2.4. Effect of Reaction Time
2.5. Effect of Water Content in GL on Catalytic Performance of Sodium Methoxide
2.6. The Stability of Sodium Methoxide Catalyst
2.7. Comparison of Different Catalysts Used for GD Synthesis
2.8. Proposed Reaction Mechanism
3. Materials and Methods
3.1. Chemicals
3.2. Reaction Procedure
3.3. Product Analysis
4. Conclusions
Supplementary Materials
Author Contributions
Funding
Data Availability Statement
Acknowledgments
Conflicts of Interest
References
- Pitt, F.D.; Domingos, A.M.; Barros, A.C. Purification of residual glycerol recovered from biodiesel production. S. Afr. J. Chem. Eng. 2019, 29, 42–51. [Google Scholar] [CrossRef]
- Zahid, I.; Ayoub, M.; Abdullah, B.B.; Nazir, M.H.; Ameen, M.; Zulqarnain; Mohd Yusoff, M.H.; Inayat, A.; Danish, M. Production of Fuel Additive Solketal via Catalytic Conversion of Biodiesel-Derived Glycerol. Ind. Eng. Chem. Res. 2020, 59, 20961–20978. [Google Scholar] [CrossRef]
- Raman, R.; Aziz, A.; Tan, H.W.; Buthiyappan, A. Two-step purification of glycerol as a value added by product from the biodiesel production process. Front. Chem. 2019, 7, 774. [Google Scholar] [CrossRef] [PubMed]
- Goyal, S.; Hernández, N.B.; Cochran, E.W. An update on the future prospects of glycerol polymers. Polym. Int. 2021, 70, 911–917. [Google Scholar] [CrossRef]
- Esan, A.O.; Adeyemi, A.D.; Ganesan, S. A review on the recent application of dimethyl carbonate in sustainable biodiesel production. J. Clean. Prod. 2020, 257, 120561. [Google Scholar] [CrossRef]
- Sahani, S.; Upadhyay, S.N.; Sharma, Y.C. Critical Review on Production of Glycerol Carbonate from Byproduct Glycerol through Transesterification. Ind. Eng. Chem. Res. 2020, 60, 67–88. [Google Scholar] [CrossRef]
- Tajziehchi, K.; Sadrameli, S. Optimization for free glycerol, diglyceride, and triglyceride reduction in biodiesel using ultrafiltration polymeric membrane: Effect of process parameters. Process. Saf. Environ. Prot. 2020, 148, 34–46. [Google Scholar] [CrossRef]
- Zamboulis, A.; Nakiou, E.A.; Christodoulou, E.; Bikiaris, D.N.; Kontonasaki, E.; Liverani, L.; Boccaccini, A.R. Polyglycerol Hyperbranched Polyesters: Synthesis, Properties and Pharmaceutical and Biomedical Applications. Int. J. Mol. Sci. 2019, 20, 6210. [Google Scholar] [CrossRef]
- Della Monica, F.; Buonerba, A.; Grassi, A.; Capacchione, C.; Milione, S. Glycidol: An hydroxyl-containing epoxide playing the double role of substrate and catalyst for CO2 cycloaddition reactions. ChemSusChem 2016, 9, 3457–3464. [Google Scholar] [CrossRef]
- Milewski, A.; Czechowicz, D.; Jakóbik-Kolon, A.; Dydo, P. Preparation of glycidol via dehydrohalogenation of 3-Chloro-1, 2-popanediol using bipolar membrane electrodialysis. ACS Sustain. Chem. Eng. 2019, 7, 18640–18646. [Google Scholar] [CrossRef]
- Wang, H.; Liu, T.; Jiang, C.; Wang, Y.; Ma, J. Synthesis of glycidol and glycerol carbonate from glycerol and dimethyl carbonate using deep-eutectic solvent as a catalyst. Chem. Eng. J. 2022, 442, 136196. [Google Scholar] [CrossRef]
- Deshmukh, G.P.; Yadav, G.D. Tuneable transesterification of glycerol with dimethyl carbonate for synthesis of glycerol carbonate and glycidol on MnO2 nanorods and efficacy of different polymorphs. Mol. Catal. 2021, 515, 111934. [Google Scholar] [CrossRef]
- Phadtare, D.; Kondawar, S.; Athawale, A.; Rode, C. Crystalline LaCoO3 perovskite as a novel catalyst for glycerol transesterification. Mol. Catal. 2019, 475, 110496. [Google Scholar] [CrossRef]
- Devi, K.S.; Prasanna, V.; D’Sa, F.; Shetty, K.R.; Miranda, J.R.; Pinheiro, D.; Shanbhag, G.V. Response surface optimization and process design for glycidol synthesis using potassium modified rice husk silica. Mater. Today Proc. 2020, 41, 506–512. [Google Scholar] [CrossRef]
- Jaiswal, S.; Pradhan, G.; Sharma, Y.C. Green and facile synthesis of glycerol carbonate from bio-glycerol assisted by lithium titanate: A robust and selective heterogeneous catalyst. J. Taiwan Inst. Chem. Eng. 2021, 128, 388–399. [Google Scholar] [CrossRef]
- Changmai, B.; Laskar, I.B.; Rokhum, S.L. Microwave-assisted synthesis of glycerol carbonate by the transesterification of glycerol with dimethyl carbonate using Musa acuminata peel ash catalyst. J. Taiwan Inst. Chem. Eng. 2019, 102, 276–282. [Google Scholar] [CrossRef]
- Pradhan, G.; Sharma, Y.C. Green synthesis of glycerol carbonate by transesterification of bio glycerol with dimethyl carbonate over Mg/ZnO: A highly efficient heterogeneous catalyst. Fuel 2020, 284, 118966. [Google Scholar] [CrossRef]
- Liu, Z.; Li, B.; Qiao, F.; Zhang, Y.; Wang, X.; Niu, Z.; Wang, J.; Lu, H.; Su, S.; Pan, R.; et al. Catalytic Performance of Li/Mg Composites for the Synthesis of Glycerol Carbonate from Glycerol and Dimethyl Carbonate. ACS Omega 2022, 7, 5032–5038. [Google Scholar] [CrossRef]
- Ha, J.H.; Kim, J.S.; Kim, M.H.; Lee, K.Y.; Lee, M.S. Synthesis of Glycidol by Decarboxylation of Glycerol Carbonate Over Zn–La Catalysts with Different Molar Ratio. J. Nanosci. Nanotechnol. 2016, 16, 10898–10902. [Google Scholar] [CrossRef]
- Bai, R.; Zhang, H.; Mei, F.; Wang, S.; Li, T.; Gu, Y.; Li, G. Retracted Article: One-pot synthesis of glycidol from glycerol and dimethyl carbonate over a highly efficient and easily available solid catalyst NaAlO2. Green Chem. 2013, 15, 2929–2934. [Google Scholar] [CrossRef]
- Elhaj, E.; Wang, H.; Imran, M.; Hegazi, S.E.F.; Hassan, M.; Eldoma, M.A.; Hakami, J.; Wani, W.A.; Chaudhary, A.A. Nanocatalyst-Assisted Facile One-Pot Synthesis of Glycidol from Glycerol and Dimethyl Carbonate. ACS Omega 2022, 7, 31778–31788. [Google Scholar] [CrossRef] [PubMed]
- Algoufi, Y.; Akpan, U.; Asif, M.; Hameed, B. One-pot synthesis of glycidol from glycerol and dimethyl carbonate over KF/sepiolite catalyst. Appl. Catal. A Gen. 2014, 487, 181–188. [Google Scholar] [CrossRef]
- Lin, Y.-C.; Hsu, K.-H.; Lin, J.-F. Rapid palm-biodiesel production assisted by a microwave system and sodium methoxide catalyst. Fuel 2014, 115, 306–311. [Google Scholar] [CrossRef]
- Shi, W.; Li, J.; He, B.; Yan, F.; Cui, Z.; Wu, K.; Lin, L.; Qian, X.; Cheng, Y. Biodiesel production from waste chicken fat with low free fatty acids by an integrated catalytic process of composite membrane and sodium methoxide. Bioresour. Technol. 2013, 139, 316–322. [Google Scholar] [CrossRef]
- Ohshima, T.; Hayashi, Y.; Agura, K.; Fujii, Y.; Yoshiyama, A.; Mashima, K. Sodium methoxide: A simple but highly efficient catalyst for the direct amidation of esters. Chem. Commun. 2012, 48, 5434–5436. [Google Scholar] [CrossRef]
- Li, J.; Wang, T. Chemical equilibrium of glycerol carbonate synthesis from glycerol. J. Chem. Thermodyn. 2011, 43, 731–736. [Google Scholar] [CrossRef]
- Lu, P.; Wang, H.; Hu, K. Synthesis of glycerol carbonate from glycerol and dimethyl carbonate over the extruded CaO-based catalyst. Chem. Eng. J. 2013, 228, 147–154. [Google Scholar] [CrossRef]
- Gade, S.M.; Munshi, M.K.; Chherawalla, B.M.; Rane, V.H.; Kelkar, A.A. Synthesis of glycidol from glycerol and dimethyl carbonate using ionic liquid as a catalyst. Catal. Commun. 2012, 27, 184–188. [Google Scholar] [CrossRef]
- Zhou, Y.; Ouyang, F.; Song, Z.-B.; Yang, Z.; Tao, D.-J. Facile one-pot synthesis of glycidol from glycerol and dimethyl carbonate catalyzed by tetraethylammonium amino acid ionic liquids. Catal. Commun. 2015, 66, 25–29. [Google Scholar] [CrossRef]






| Water Content in GL (wt%) | XGL (%) | YGD (%) | YGC (%) |
|---|---|---|---|
| 0.0 | 99 | 75 | 22 |
| 2.5 | 91 | 70 | 21 |
| 5.0 | 76 | 60 | 16 |
| 7.5 | 69 | 57 | 12 |
| 11.0 | 61 | 41 | 20 |
| Recycle Number | XGL (%) | YGD (%) | YGC (%) |
|---|---|---|---|
| 1 (First Use) | 97 | 75 | 22 |
| 2 (Reuse) | 95 | 73 | 22 |
| Catalyst | Reaction Type | Reaction Time (min) | XGL (%) | YGD (%) | Reference |
|---|---|---|---|---|---|
| a NaAlO2 | heterogeneous | 90 | 94.7 | 80.7 | [20] |
| b KF/sepiolite | heterogeneous | 90 | 99 | 82.3 | [22] |
| c Tetramethylammonium hydroxide | homogeneous | 90 | 95 | 78 | [28] |
| d Tetraethylammonium amino acid | homogeneous | 120 | 96 | 79 | [29] |
| e Sodium methoxide | homogeneous | 120 | 99 | 75 | Present work |
Disclaimer/Publisher’s Note: The statements, opinions and data contained in all publications are solely those of the individual author(s) and contributor(s) and not of MDPI and/or the editor(s). MDPI and/or the editor(s) disclaim responsibility for any injury to people or property resulting from any ideas, methods, instructions or products referred to in the content. |
© 2023 by the authors. Licensee MDPI, Basel, Switzerland. This article is an open access article distributed under the terms and conditions of the Creative Commons Attribution (CC BY) license (https://creativecommons.org/licenses/by/4.0/).
Share and Cite
Elhaj, E.; Wang, H.; Al-Harthi, E.A.; Wani, W.A.; Sallam, S.; Zouli, N.; Imran, M. Sodium Methoxide Catalysed One-Pot Glycidol Synthesis via Trans-Esterification between Glycerol and Dimethyl Carbonate. Catalysts 2023, 13, 809. https://doi.org/10.3390/catal13050809
Elhaj E, Wang H, Al-Harthi EA, Wani WA, Sallam S, Zouli N, Imran M. Sodium Methoxide Catalysed One-Pot Glycidol Synthesis via Trans-Esterification between Glycerol and Dimethyl Carbonate. Catalysts. 2023; 13(5):809. https://doi.org/10.3390/catal13050809
Chicago/Turabian StyleElhaj, Elrasheed, Huajun Wang, Enaam A. Al-Harthi, Waseem A. Wani, Sahar Sallam, Nasser Zouli, and Mohd Imran. 2023. "Sodium Methoxide Catalysed One-Pot Glycidol Synthesis via Trans-Esterification between Glycerol and Dimethyl Carbonate" Catalysts 13, no. 5: 809. https://doi.org/10.3390/catal13050809
APA StyleElhaj, E., Wang, H., Al-Harthi, E. A., Wani, W. A., Sallam, S., Zouli, N., & Imran, M. (2023). Sodium Methoxide Catalysed One-Pot Glycidol Synthesis via Trans-Esterification between Glycerol and Dimethyl Carbonate. Catalysts, 13(5), 809. https://doi.org/10.3390/catal13050809

