Integrated Nanostructures of TiO2/g-C3N4/Diatomite Based on Low-Grade Diatomite as Efficient Catalyst for Photocatalytic Degradation of Methylene Blue: Performance and Mechanism
Abstract
1. Introduction
2. Results and Discussion
2.1. Proposed Purification Process of Low-Grade Diatomite
2.2. XRD Analysis
2.3. XPS Analysis
2.4. FT-IR Analysis
2.5. N2 Adsorption-Desorption Analysis
2.6. SEM Analysis
2.7. TEM Analysis
2.8. UV-Vis DRS Absorption Spectra Analysis
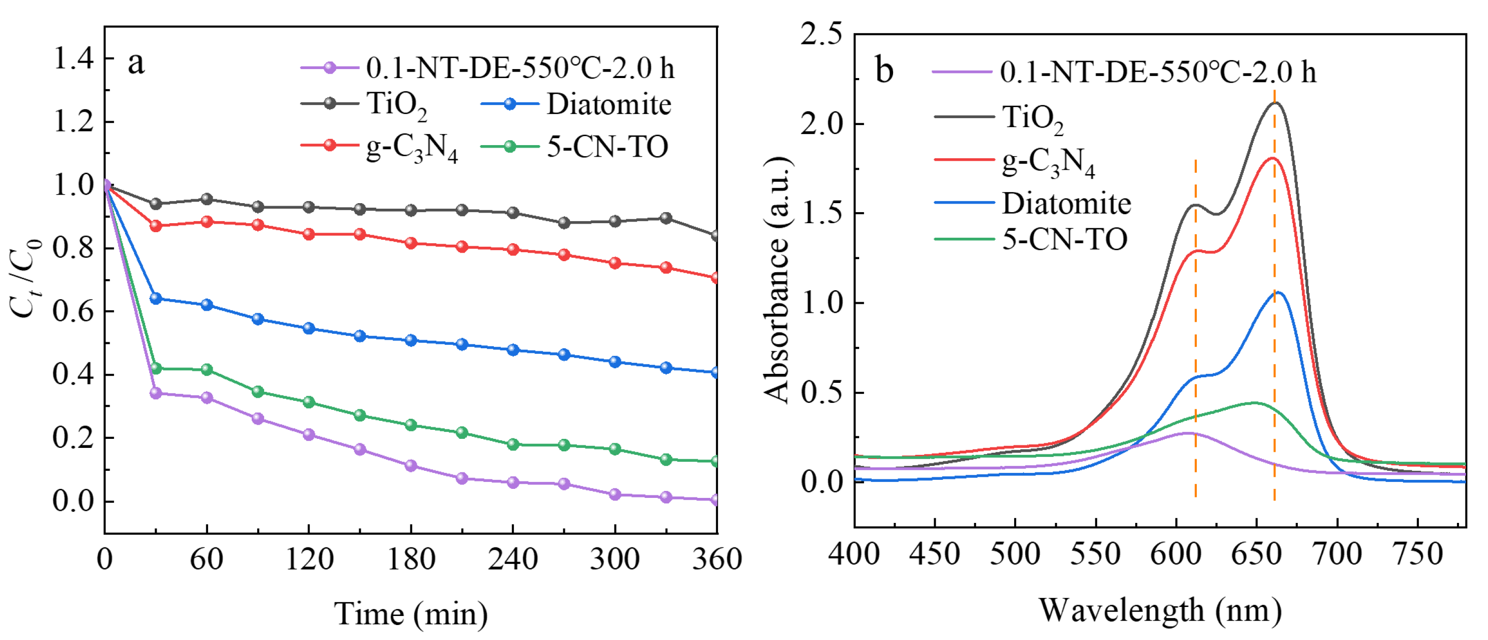
2.9. Effect of Different Photocatalytic Materials
2.10. Cyclic Stability Analysis
2.11. Reactive Radical Capture Test
2.12. Photocatalytic Degradation Mechanism
3. Materials and Methods
3.1. Materials
3.2. Purification of Low-Grade Diatomite
3.3. Synthesis of TiO2/g-C3N4 and TiO2/g-C3N4/Diatomite
3.4. Characterization
3.5. Photocatalytic Degradation of MB Mechanism
4. Conclusions
Author Contributions
Funding
Data Availability Statement
Acknowledgments
Conflicts of Interest
References
- Li, C.; Li, G.; Chen, D.; Gao, K.; Cao, Y.; Zhou, Y.; Mao, Y.; Fan, S.; Tang, L.; Jia, H. The effects of diatomite as an additive on the macroscopic properties and microstructure of concrete. Materials 2023, 16, 1833. [Google Scholar] [CrossRef] [PubMed]
- Łach, M.; Pławecka, K.; Marczyk, J.; Ziejewska, C.; Hebdowska-Krupa, M.; Nykiel, M.; Hebda, M.; Miernik, K.; Mierzwiński, D.; Korniejenko, K.; et al. Use of diatomite from polish fields in sustainable development as a sorbent for petroleum substances. J. Clean. Prod. 2023, 389, 136100. [Google Scholar] [CrossRef]
- Hao, L.; Gao, W.; Yan, S.; Niu, M.; Liu, G.; Hao, H. Preparation and characterization of porous ceramics with low-grade diatomite and oyster shell. Mater. Chem. Phys. 2019, 235, 121741. [Google Scholar] [CrossRef]
- Li, Q.; Guo, W.; Kong, X.; Xu, J.; Xu, C.; Chen, Y.; Chen, J.; Jia, X.; Ding, Y. MnFe2O4/rGO/diatomite composites with excellent wideband electromagnetic microwave absorption. J. Alloy. Compd. 2023, 941, 168851. [Google Scholar] [CrossRef]
- Fan, Z.; Li, Z.; Qi, W.; Zhao, S.; Zhou, B.; Liu, S.; Tian, Y. Preparation of in-situ modified diatomite and its application in papermaking. Colloid. Surf. A 2023, 657, 130582. [Google Scholar] [CrossRef]
- Alfassam, H.E.; Ashraf, M.T.; Othman, S.A.; Waili, M.A.; Allam, A.A.; Abukhadra, M.R. Synthesis and characterization of cellulose functionalized zeolitic diatomite as an enhanced carrier of oxaliplatin drug; loading, release, and cytotoxicity. Int. J. Biol. Macromol. 2023, 235, 123825. [Google Scholar] [CrossRef]
- Wang, J.; Zhang, G.; Qiao, S.; Zhou, J. Comparative assessment of formation pathways and adsorption behavior reveals the role of NaOH of MgO-modified diatomite on phosphate recovery. Sci. Total. Environ. 2023, 876, 162785. [Google Scholar] [CrossRef]
- Zhao, Y.; Sun, Q.; Zhang, J.; Sheng, J. Construction of Fe/N/C nano-clusters anchored on porous diatomite for efficient removal of norfloxacin via the adsorption-PMS activation. Sep. Purif. Technol. 2023, 310, 123127. [Google Scholar] [CrossRef]
- Li, M.; Liu, D.; Wang, S.; Guo, H.; Losic, D.; Deng, L.; Wu, S.; Yuan, P. Efficient removal of Cd2+ by diatom frustules self-modified in situ with intercellular organic components. Environ. Pollut. 2023, 319, 121005. [Google Scholar] [CrossRef]
- Gao, L.; Luo, Y.; Kang, Y.; Gao, M.; Abdulhafidh, O. Experimental study on physical mechanical properties and microstructure of diatomite soil in Zhejiang province, China. Appl. Sci. 2022, 12, 387. [Google Scholar] [CrossRef]
- Su, C.; Jiang, C.; Sun, X.; Cao, Z.; Mu, Y.; Cong, X.; Qiu, K.; Lin, J.; Chen, X.; Feng, C. Diatomite hemostatic particles with hierarchical porous structure for rapid and effective hemostasis. Colloid. Surface. B 2022, 219, 112809. [Google Scholar] [CrossRef] [PubMed]
- Chen, F.; Miao, Y.; Ma, L.; Zhan, F.; Wang, W.; Chen, N.; Xie, Q. Optimization of pore structure of a clayey diatomite. Particul. Sci. Technol. 2022, 38, 522–528. [Google Scholar] [CrossRef]
- Ding, R.; Jin, X.; Liu, G. Characteristics of diatomite mineral resources and analysis of supply and demand situation in China. Jilin Geol. 2021, 40, 25–29+42. (In Chinese) [Google Scholar]
- Ministry of Natural Resources of the People’s Republic of China. National Mineral Resources Reserves Statistics in 2020. Ministry of Natural Resources. 2021; p. 15. Available online: https://www.mnr.gov.cn/sj/sjfw/kc_19263/kczycltjb/202111/t20211122_2706327.html (accessed on 16 February 2023).
- Ministry of Natural Resources of the People’s Republic of China. National Mineral Resources Reserves Statistics in 2021. Ministry of Natural Resources. 2022; p. 17. Available online: https://www.mnr.gov.cn/sj/sjfw/kc_19263/kczycltjb/202208/t20220826_2757756.html (accessed on 16 February 2023).
- U.S. Geological Survey. Mineral Commodity Summaries 2023: U.S. Geological Survey. 2023; p. 210. [Google Scholar] [CrossRef]
- U.S. Geological Survey. Mineral Commodity Summaries 2022: U.S. Geological Survey. 2022; p. 202. [Google Scholar] [CrossRef]
- Ewuzie, U.; Saliu, O.D.; Dulta, K.; Ogunniyi, S.; Bajeh, A.O.; Iwuozor, K.O.; Ighalo, J.O. A review on treatment technologies for printing and dyeing wastewater (PDW). J. Water. Process. Eng. 2022, 50, 103273. [Google Scholar] [CrossRef]
- Ito, T.; Adachi, Y.; Yamanashi, Y.; Shimada, Y. Long–term natural remediation process in textile dye-polluted river sediment driven by bacterial community changes. Water Res. 2016, 100, 458–465. [Google Scholar] [CrossRef]
- Rehman, M.S.U.; Kim, I.; Han, J.I. Adsorption of methylene blue dye from aqueous solution by sugar extracted spent rice biomass. Carbohyd. Polym. 2012, 90, 1314–1322. [Google Scholar] [CrossRef]
- Maia, L.S.; da Silva, A.I.C.; Carneiro, E.S.; Monticelli, F.M.; Pinhati, F.R.; Mulinari, D.R. Activated carbon from palm fibres used as an adsorbent for methylene blue removal. J. Polym. Environ. 2021, 29, 1162–1175. [Google Scholar] [CrossRef]
- Han, X.; Wang, W.; Ma, X. Adsorption characteristics of methylene blue onto low cost biomass material lotus leaf. Chem. Eng. J. 2011, 171, 1–8. [Google Scholar] [CrossRef]
- Sheikh, F.A.; Ntiamoah, R.A.; Zargar, M.A.; Chandradass, J.; Chung, W.J.; Kim, H. Photocatalytic properties of Fe2O3-modified rutile TiO2 nanofibers formed by electrospinning technique. Mater. Chem. Phys. 2016, 172, 62–68. [Google Scholar] [CrossRef]
- Solayman, H.M.; Hossen, M.A.; Aziz, A.A.; Yahya, N.Y.; Leong, K.H.; Sim, L.C.; Monir, M.U.; Zoh, K.D. Performance evaluation of dye wastewater treatment technologies: A review. J. Environ. Chem. Eng. 2023, 11, 109610. [Google Scholar] [CrossRef]
- Wudil, Y.S.; Ahmad, U.F.; Gondal, M.A.; Osta, M.A.A.; Almohammedi, A.; Sa’id, R.S.; Hrahsheh, F.; Haruna, K.; Mohamed, M.J.S. Tuning of graphitic carbon nitride (g-C3N4) for photocatalysis: A critical review. Arab. J. Chem. 2023, 16, 104542. [Google Scholar] [CrossRef]
- Zhao, X.; Liu, Q.; Li, X.; Ji, H.; Shen, Z. Two-dimensional g-C3N4 nanosheets-based photo-catalysts for typical sustainable processes. Chin. Chem. Lett. 2023, 108306, in press. [Google Scholar] [CrossRef]
- Liyanaarachchi, H.; Thambiliyagodage, C.; Liyanaarachchi, C.; Samarakoon, U. Efficient photocatalysis of Cu doped TiO2/g-C3N4 for the photodegradation of methylene blue. Arab. J. Chem. 2023, 16, 104749. [Google Scholar] [CrossRef]
- Li, C.; Sun, L.; Niu, J.; Reka, A.A.; Feng, P.; Garcia, H. Core-shell Bi-containing spheres and TiO2 nanoparticles co-loaded on kaolinite as an efficient photocatalyst for methyl orange degradation. Catal. Commun. 2023, 175, 106609. [Google Scholar] [CrossRef]
- Fu, B.; Guo, S.; Fu, M.; Li, Z. Preparation and photocatalytic property of graphitic carbon nitride (g-C3N4) hybridized TiO2 nanometer materials. J. Funct. Mater. 2014, 45, 12138–12144. (In Chinese) [Google Scholar]
- Mohamed, W.A.A.; El-Gawad, H.H.A.; Handal, H.T.; Galal, H.R.; Mousa, H.A.; ElSayed, B.A.; Labib, A.A.; Abdel-Mottaleb, M.S.A. Study of phytotoxicity, remarkable photocatalytic activity, recycling process and energy consumption cost of TiO2 quantum dots photocatalyst for photodegradation of Coomassie brilliant blue R dye. Opt. Mater. 2023, 137, 113607. [Google Scholar] [CrossRef]
- Zhang, Y.; Chen, X.; Cui, M.S.; Guo, Z.; Chen, Y.H.; Cui, K.P.; Ding, Z.G.; Weerasooriya, R. Binding Fe-doped g-C3N4 on the porous diatomite for efficient degradation of tetracycline via photo-Fenton process. J. Environ. Chem. Eng. 2022, 10, 107406. [Google Scholar] [CrossRef]
- Dai, N.; Yi, S.; Zhang, X.; Feng, L.; Ding, H.; Song, D.; Liu, X.; Rao, J.; Zhang, Y. Typical synthesis of an iron-modified Laponite @diatomite composite for photo-Fenton degradation of methyl orange dyes. Appl. Surf. Sci. 2023, 607, 154886. [Google Scholar] [CrossRef]
- Zhu, P.; Chen, Y.; Duan, M.; Liu, M.; Zou, P. Structure and properties of Ag3PO4/diatomite photocatalysts for the degradation of organic dyes under visible light irradiation. Powder Technol. 2018, 336, 230–239. [Google Scholar] [CrossRef]
- Jouybari, M.H.; Hosseini, S.; Mahboobnia, K.; Boloursaz, L.A.; Moradi, M.; Irani, M. Simultaneous controlled release of 5-FU, DOX and PTX from chitosan/PLA/5-FU/g-C3N4-DOX/g-C3N4-PTX triaxial nanofibers for breast cancer treatment in vitro. Colloid. Surf. B 2019, 179, 495–504. [Google Scholar] [CrossRef]
- Vijayanath, S.; Janaki, K. Tailoring power conversion efficiency of dye sensitized solar cell based on ZnO/g-C3N4 hybrid photoelectrodes via microwave irradiation route. Inorg. Chem. Commun. 2020, 120, 108119. [Google Scholar] [CrossRef]
- Li, Y.; Sun, B.; Wang, A.; Gao, H. Preparation of TiO2-g-C3N4 composites and its application in cement stone surface. Acta Mater. Compos. Sin. 2020, 37, 1981–1988. (In Chinese) [Google Scholar]
- Thomas, A.; Fischer, A.; Goettmann, F.; Antonietti, M.; Müller, J.O.; Schlöglb, R.; Carlssonc, J.M. Graphitic carbon nitride materials: Variation of structure and morphology and their use as metal-free catalysts. J. Mater. Chem. 2008, 18, 4893–4908. [Google Scholar] [CrossRef]
- Guo, Q.; Xie, Y.; Wang, X.; Lv, S.; Hou, T.; Liu, X. Characterization of well-crystallized graphitic carbon nitride nanocrystallites via a benzene-thermal route at low temperatures. Chem. Phys. Lett. 2003, 380, 84–87. [Google Scholar] [CrossRef]
- Momma, K.; Izumi, F. VESTA 3 for three-dimensional visualization of crystal, volumetric and morphology data. J. Appl. Crystallogr. 2011, 44, 1272–1276. [Google Scholar] [CrossRef]
- Xu, X.; Wang, S.; Yu, X.; Dawa, J.; Gui, G.; Tanget, R. Biosynthesis of Ag deposited phosphorus and sulfur co-doped g-C3N4 with enhanced photocatalytic inactivation performance under visible light. Appl. Surf. Sci. 2020, 501, 144245. [Google Scholar] [CrossRef]
- Zhang, Y.; Thomas, A.; Antonietti, M.; Wang, X. Activation of carbon nitride solids by protonation: Morphology changes, enhanced ionic conductivity, and photoconduction experiments. J. Am. Chem. Soc. 2009, 131, 50–51. [Google Scholar] [CrossRef]
- Sun, Y.; Li, C.; Xu, Y.; Bai, H.; Yao, Z.; Shi, G. Chemically converted graphene as substrate for immobilizing and enhancing the activity of a polymeric catalyst. Chem. Commun. 2010, 46, 4740–4742. [Google Scholar] [CrossRef] [PubMed]
- Liu, J.; Zhang, T.; Wang, Z.; Dawsona, G.; Chen, W. Simple pyrolysis of urea into graphitic carbon nitride with recyclable adsorption and photocatalytic activity. J. Mater. Chem. 2011, 21, 14398–14401. [Google Scholar] [CrossRef]
- Dong, F.; Wu, L.; Sun, Y.; Fu, M.; Wu, Z.; Lee, S.C. Efficient synthesis of polymeric g-C3N4 layered materials as novel efficient visible light driven photocatalysts. J. Mater. Chem. 2011, 21, 15171–15174. [Google Scholar] [CrossRef]
- Huang, Y.; Ho, W.; Lee, S.; Zhang, L.; Li, G.; Yu, J.C. Effect of carbon doping on the mesoporous structure of nanocrystalline titanium dioxide and its solar-light-driven photocatalytic degradation of NOx. Langmuir 2008, 24, 3510–3516. [Google Scholar] [CrossRef]
- Jia, Z.H.; Li, T.; Zheng, Z.F.; Zhang, J.D.; Liu, J.X.; Li, R.; Wang, Y.W.; Zhang, X.C.; Wang, Y.F.; Fan, C.M. The BiOCl/diatomite composites for rapid photocatalytic degradation of ciprofloxacin: Efficiency, toxicity evaluation, mechanisms and pathways. Chem. Eng. J. 2020, 380, 122422. [Google Scholar] [CrossRef]
- Li, X.; Zhu, W.; Lu, X.; Zuo, S.; Yao, C.; Ni, C. Integrated nanostructures of CeO2/attapulgite/g-C3N4 as efficient catalyst for photocatalytic desulfurization: Mechanism, kinetics and influencing factors. Chem. Eng. J. 2017, 326, 87–98. [Google Scholar] [CrossRef]
- Wang, B.; Zhang, G.; Zheng, S.; Wang, J.; Li, C. Photocatalytic performance of cerium doped nano titanium oxide/diatomite composites. J. Chin. Ceram. Soc. 2016, 44, 1192–1199. [Google Scholar]
- Sathish, M.; Viswanathan, B.; Viswanath, R.P.; Gopinath, C.S. Synthesis, characterization, electronic structure, and photocatalytic activity of nitrogen-doped TiO2 nanocatalyst. Chem. Mater. 2005, 17, 6349–6353. [Google Scholar] [CrossRef]
- Tan, R.; He, Y.; Zhu, Y.; Xu, B.; Cao, L. Hydrothermal preparation of mesoporous TiO2 powder from Ti(SO4)2 with poly (ethylene glycol) as template. J. Mater. Sci. 2003, 38, 3973–3978. [Google Scholar] [CrossRef]
- Padmanabhan, S.K.; Pal, S.; Haq, E.U.; Licciulli, A. Nanocrystalline TiO2-diatomite composite catalysts: Effect of crystallization on the photocatalytic degradation of rhodamine B. Appl. Catal. A-Gen. 2014, 485, 157–162. [Google Scholar] [CrossRef]
- Huang, Z.; Sun, Q.; Lv, K.; Zhang, Z.; Li, M.; Li, B. Effect of contact interface between TiO2 and g-C3N4 on the photoreactivity of g-C3N4/TiO2 photocatalyst: (001) vs. (101) facets of TiO2. Appl. Catal. B-Environ. 2015, 164, 420–427. [Google Scholar] [CrossRef]
- Bairagi, N.; Gulrajani, M.L.; Deopura, B.L.; Shrivastava, A. Dyeing of N-modified viscose rayon fibres with reactive dyes. Color. Technol. 2005, 121, 113–120. [Google Scholar] [CrossRef]
- Emam, H.E.; Mowafi, S.; Mashaly, H.M.; Rehan, M. Production of antibacterial colored viscose fibers using in situ prepared spherical Ag nanoparticles. Carbohyd. Polym. 2014, 110, 148–155. [Google Scholar] [CrossRef]
- Tang, W.; Qiu, K.; Zhang, P.; Yuan, X. Synthesis and photocatalytic activity of ytterbium-doped titania/diatomite composite photocatalysts. Appl. Surf. Sci. 2016, 362, 545–550. [Google Scholar] [CrossRef]
- Hoa, D.T.N.; Tu, N.T.T.; Thinh, H.Q.A.; Son, L.V.T.; Son, L.V.T.; Quyen, N.D.V.; Son, L.L.; Tuyen, T.N.; Thong, P.L.M.; Diem, L.H.; et al. TiO2/g-C3N4 visible-light-driven photocatalyst for methylene blue decomposition. J. Nanomater. 2023, 2023, 9967890. [Google Scholar] [CrossRef]
- Wei, H.; McMaster, W.A.; Tan, J.Z.Y.; Cao, L.; Chen, D.; Caruso, R.A. Mesoporous TiO2/g-C3N4 microspheres with enhanced visible-light photocatalytic activity. J. Phys. Chem. C. 2017, 121, 22114–22122. [Google Scholar] [CrossRef]
- Reli, K.K.M.; Troppová, I.; Šihor, M.; Kupková, J.; Kustrowski, P.; Praus, P. Photocatalytic decomposition of N2O over TiO2/g-C3N4 photocatalysts heterojunction. Appl. Surf. Sci. 2017, 396, 1685–1695. [Google Scholar]
- Lei, J.; Chen, B.; Lv, W.; Zhou, L.; Wang, L.; Liu, T.; Zhang, J. An inverse opal TiO2/g-C3N4 composite with a heterojunction for enhanced visible light-driven photocatalytic activity. Dalton. T. 2019, 48, 3486–3495. [Google Scholar] [CrossRef]
- Liu, R.; Wang, J.; Zhang, J.; Xie, S.; Wang, X.; Ji, Z. Honeycomb-like micro-mesoporous structure TiO2/sepiolite composite for combined chemisorption and photocatalytic elimination of formaldehyde. Micropor. Mesopor. Mat. 2017, 248, 234–245. [Google Scholar] [CrossRef]
- Ramos, M.A.A.; Torres, M.O.F.; Chi, F.O.; González, C.G.E.; Como, N.H.; Zaleta, D.S.G.; Kesarla, M.K.; Torres, J.G.T.; Martínez, V.C.; Godavarthi, S. Fabrication of g-C3N4/TiO2 heterojunction composite for enhanced photocatalytic hydrogen production. Ceram. Int. 2020, 46, 38–45. [Google Scholar] [CrossRef]
- Gao, X.; Liu, X.; Zhu, Z.; Wang, X.; Xie, Z. Enhanced photoelectrochemical and photocatalytic behaviors of MFe2O4 (M = Ni, Co, Zn and Sr) modified TiO2 nanorod arrays. Sci. Rep. 2016, 6, 30543. [Google Scholar] [CrossRef]
- Yang, Y.C.; Liu, Y.; Wei, J.H.; Pan, C.X.; Xiong, R.; Shi, J. Electrospun nanofibers of p-type BiFeO3/n-type TiO2 hetero-junctions with enhanced visible-light photocatalytic activity. RSC Adv. 2014, 4, 31941–31947. [Google Scholar] [CrossRef]
- Pi, L.; Jiang, R.; Zhou, W.; Zhu, H.; Xiao, W.; Wang, D.; Mao, X. g-C3N4 modified biochar as an adsorptive and photocatalytic material for decontamination of aqueous organic pollutants. Appl. Surf. Sci. 2015, 358, 231–239. [Google Scholar] [CrossRef]
- Wu, S.; Yu, H.; Chen, S.; Quan, X. Enhanced photocatalytic H2O2 production over carbon nitride by doping and defect engineering. ACS Catal. 2020, 10, 14380–14389. [Google Scholar] [CrossRef]
- Papailias, I.; Todorova, N.; Giannakopoulou, T.; Ioannidis, N.; Boukos, N.; Athanasekou, C.P.; Dimotikali, D.; Trapalis, C. Chemical vs thermal exfoliation of g-C3N4 for NOx removal under visible light irradiation. Appl. Catal. B-Environ. 2018, 239, 16–26. [Google Scholar] [CrossRef]
- Sun, Z.; Chen, Y.; Ke, Q.; Yang, Y.; Yuan, J. Photocatalytic degradation of a cationic azo dye by TiO2/bentonite nanocomposite. J. Photoch. Photobio. A. 2002, 149, 169–174. [Google Scholar] [CrossRef]
- Chen, R.; Wang, X.; Zhu, L.; Liu, X. Preparation of g-C3N4/TiO2 composite materials and degradation of tetracycline. Environ. Sci. Technol. 2022, 45, 23–27. (In Chinese) [Google Scholar]
- Li, X.; Qian, X.; An, X.; Huang, J. Preparation of a novel composite comprising biochar skeleton and “chrysanthemum” g-C3N4 for enhanced visible light photocatalytic degradation of formaldehyde. Appl. Surf. Sci. 2019, 487, 1260–1270. [Google Scholar] [CrossRef]
- Sun, Q.; Hu, X.; Zheng, S.; Zhang, J.; Sheng, J. Effect of calcination on structure and photocatalytic property of N-TiO2/g-C3N4@diatomite hybrid photocatalyst for improving reduction of Cr(VI). Environ. Pollut. 2019, 245, 53–62. [Google Scholar] [CrossRef]













| Oxide | Weight (%) | Oxide | Weight (%) | ||
|---|---|---|---|---|---|
| Raw Ore | Concentrate | Raw Ore | Concentrate | ||
| SiO2 | 59.22 | 86.93 | CaO | 1.75 | 0.40 |
| Al2O3 | 18.32 | 6.82 | MgO | 0.24 | 0.04 |
| Fe2O3 | 6.85 | 1.24 | TiO2 | 0.92 | 0.63 |
| K2O | 1.46 | 1.12 | P2O5 | 0.13 | 0.06 |
| Na2O | 0.53 | 0.56 | LOI | 10.50 | 1.54 |
| Parameter | Value | |
|---|---|---|
| Raw Ore | Concentrate | |
| Specific surface area (g·m−2) | 49.68 | 77.30 |
| Most countable pore diameter (nm) | 3.81 | 10.14 |
| Average pore diameter (nm) | 13.18 | 12.27 |
| Pore volume (mL·g−1) | 0.23 | 0.33 |
| Sample | Phase | Crystal Size (nm) |
|---|---|---|
| TiO2 | Anatase | 7.0 |
| 5-CN-TO | Anatase | 8.3 |
| 0.1-NT-DE-550 °C-2.0 h | Anatase | 8.3 |
| Parameter | TiO2 | g-C3N4 | Diatomite | 5-CN-TO | 0.1-NT-DE-550 °C-2.0 h |
|---|---|---|---|---|---|
| Specific surface area (m2·g−1) | 301.26 | 87.47 | 148.63 | 179.77 | 145.03 |
| Pore volume (mL·g−1) | 0.39 | 1.63 | 0.34 | 0.43 | 0.33 |
| Average pore diameter (nm) | 4.73 | 43.55 | 7.96 | 7.78 | 8.44 |
| Most available diameter (nm) | 1.95 | 22.84 | 3.50 | 3.53 | 3.47 |
| Model | Capture Agent | Kinetic Equation | Parameter | |
|---|---|---|---|---|
| k (10−3) | R2 | |||
| First-level kinetic | Blank | −ln(Ct − C0) = 12.84 × 10−3t + 0.01 | 12.84 | 0.94 |
| EDTA-2Na | −ln(Ct − C0) = 7.34 × 10−3t + 0.29 | 7.34 | 0.99 | |
| BQ | −ln(Ct − C0) = 3.78 × 10−3t + 0.84 | 3.78 | 0.96 | |
| TBA | −ln(Ct − C0) = 8.07 × 10−3t + 0.58 | 8.07 | 0.99 | |
Disclaimer/Publisher’s Note: The statements, opinions and data contained in all publications are solely those of the individual author(s) and contributor(s) and not of MDPI and/or the editor(s). MDPI and/or the editor(s) disclaim responsibility for any injury to people or property resulting from any ideas, methods, instructions or products referred to in the content. |
© 2023 by the authors. Licensee MDPI, Basel, Switzerland. This article is an open access article distributed under the terms and conditions of the Creative Commons Attribution (CC BY) license (https://creativecommons.org/licenses/by/4.0/).
Share and Cite
Zhou, J.; Cheng, L.; Ma, Z.; Weng, X.; Gao, J. Integrated Nanostructures of TiO2/g-C3N4/Diatomite Based on Low-Grade Diatomite as Efficient Catalyst for Photocatalytic Degradation of Methylene Blue: Performance and Mechanism. Catalysts 2023, 13, 796. https://doi.org/10.3390/catal13050796
Zhou J, Cheng L, Ma Z, Weng X, Gao J. Integrated Nanostructures of TiO2/g-C3N4/Diatomite Based on Low-Grade Diatomite as Efficient Catalyst for Photocatalytic Degradation of Methylene Blue: Performance and Mechanism. Catalysts. 2023; 13(5):796. https://doi.org/10.3390/catal13050796
Chicago/Turabian StyleZhou, Junxia, Liang Cheng, Zhijun Ma, Xingyuan Weng, and Jing Gao. 2023. "Integrated Nanostructures of TiO2/g-C3N4/Diatomite Based on Low-Grade Diatomite as Efficient Catalyst for Photocatalytic Degradation of Methylene Blue: Performance and Mechanism" Catalysts 13, no. 5: 796. https://doi.org/10.3390/catal13050796
APA StyleZhou, J., Cheng, L., Ma, Z., Weng, X., & Gao, J. (2023). Integrated Nanostructures of TiO2/g-C3N4/Diatomite Based on Low-Grade Diatomite as Efficient Catalyst for Photocatalytic Degradation of Methylene Blue: Performance and Mechanism. Catalysts, 13(5), 796. https://doi.org/10.3390/catal13050796

