Green Catalytic Conversion of Some Benzylic Alcohols to Acids by NiO2 Nanoparticles (NPNPs) in Water
Abstract
1. Introduction
2. Results and Discussion
2.1. Synthesis of the Catalyst
2.2. Characterization of Nickel Peroxide Nanoparticles (NPNPs)
2.2.1. FTIR Spectrum of NiO2 Nanoparticles (NPNPs)
2.2.2. EDX Analysis
2.2.3. XRD Analysis
2.3. SEM and TEM
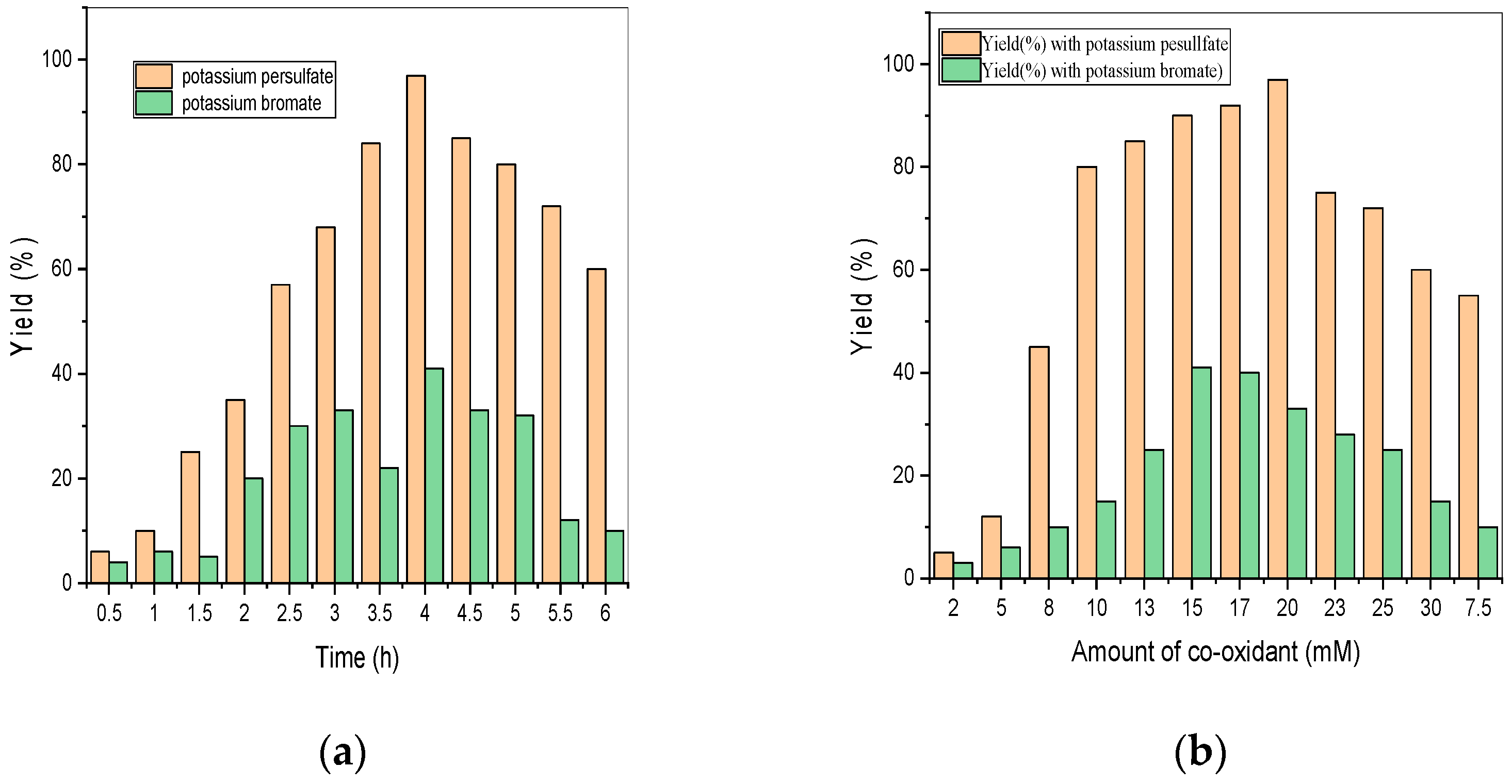
2.4. Catalytic Oxidation of Alcohols
2.5. Mechanism of the Catalysis
3. Materials and Methods
3.1. Preparation of Nickel Peroxide Nanoparticles (NPNPs)
3.2. General Procedure for the Oxidation of Alcohol
- Benzoic acid
- 2.
- 4-Methylbenzoic acid
- 3.
- 4-Methoxybenzoic acid
- 4.
- 4-Chlorobenzoic acid
- 5.
- 4-Nitrobenzoic acid
- 6.
- 4-Cyanobenzoic acid
- 7.
- 4-Trifluoromethylbenzoic acid
- 8.
- Piperonylic acid
4. Conclusions
Author Contributions
Funding
Data Availability Statement
Conflicts of Interest
References
- Urgoitia, G.; Maiztegi, A.; SanMartin, R.; Herrero, M.T.; Domínguez, E. Aerobic oxidation at benzylic positions catalyzed by a simple Pd(OAc)2/bis-triazole system. RSC Adv. 2015, 5, 103210–103217. [Google Scholar] [CrossRef]
- Fatiadi, A.J. The Classical Permanganate Ion: Still a Novel Oxidant in Organic Chemistry. Synthesis 1987, 1987, 85–127. [Google Scholar] [CrossRef]
- Larock, R.C. Comprehensive Organic Transformations; Mcgraw-Hill: New York, NY, USA, 1989. [Google Scholar]
- Hoover, J.M.; Ryland, B.L.; Stahl, S.S. Mechanism of copper (I)/TEMPO-catalyzed aerobic alcohol oxidation. J. Am. Chem. Soc. 2013, 135, 2357–2367. [Google Scholar] [CrossRef]
- Silva, T.F.S.; Martins, L.M.D.R.S. Recent Advances in Copper Catalyzed Alcohol Oxidation in Homogeneous Medium. Molecules 2020, 25, 748. [Google Scholar] [CrossRef] [PubMed]
- Lee, D.G.; Chen, T. The oxidation of alcohols by permanganate. A comparison with other high-valent transition-metal oxidants. J. Org. Chem. 1991, 56, 18, 5341–5345. [Google Scholar] [CrossRef]
- Suga, T.; Kihara, K.; Matsuura, T. Oxidation of Alcohols with t-Butyl Chromate. II. The Oxidation of Primary Aromatic Alcohols. Bull. Chem. Soc. Japan 1964, 38, 1141–1144. [Google Scholar] [CrossRef]
- Goswami, S.; Arnab, A. Guanidinium Chlorochromate, a New, Efficient, and Mild Oxidizing Agent for Benzylic and Other Alcohols to Carbonyl Compounds in Water and Organic Solvents. Synth. Commun. 2011, 41, 2500–2504. [Google Scholar] [CrossRef]
- Corey, E.J.; Suggs, J.W. Pyridinium chlorochromate. An efficient reagent for oxidation of primary and secondary alcohols to carbonyl compounds. Tetrahedron Lett. 1975, 16, 2647–2650. [Google Scholar] [CrossRef]
- Göksu, H.; Burhan, H.; Mustafov, S.D.; Sen, F. Oxidation of Benzyl Alcohol Compounds in the Presence of Carbon Hybrid Supported Platinum Nanoparticles (Pt@CHs) in Oxygen Atmosphere. Sci. Rep. 2020, 10, 5439–5452. [Google Scholar] [CrossRef]
- Chan-Thaw, C.E.; Savara, A.; Villa, A. Selective Benzyl Alcohol Oxidation over Pd Catalysts. Catalysts 2018, 8, 431. [Google Scholar] [CrossRef]
- Ratnam, A.; Kumari, S.; Kumar, R.; Singh, U.P.; Ghosh, K. Selective oxidation of benzyl alcohol catalyzed by ruthenium (III) complexes derived from tridentate mer-ligands having phenolato donor. J. Organomet. Chem. 2019, 905, 120986. [Google Scholar] [CrossRef]
- Arico, A.S.; Bruce, P.; Scrosati, B.; Tarascon, J.-M.; Van Schalkwijk, W. Nanostructured materials for advanced energy conversion and storage devices. Nat. Mater. 2005, 4, 366–377. [Google Scholar] [CrossRef]
- Whitesides, G.M. Nanoscience, nanotechnology, and chemistry. Small 2005, 1, 172–179. [Google Scholar] [CrossRef]
- Yu, B.; Meyyappan, M. Nanotechnology: Role in Emerging Nanoelectronics. Solid State Electronics. Solid-State Electron. 2006, 50, 536–544. [Google Scholar] [CrossRef]
- Guo, Y.G.; Hu, J.S.; Wan, L.J. Nanostructured Materials for Electrochemical Energy Conversion and Storage Devices. Adv. Mater. 2008, 20, 2878–2887. [Google Scholar] [CrossRef]
- Somorjai, G.A.; Park, J.Y. Colloid Science of Metal Nanoparticle Catalysts in 2D and 3D Structures. Challenges of Nucleation, Growth, Composition, Particle Shape, Size Control and Their Influence on Activity and Selectivity. Top. Catal. 2008, 49, 126–135. [Google Scholar] [CrossRef]
- Khan, P.; Saeed, K.; Khan, I. Nanoparticles: Properties, applications and toxicities. Arab. J. Chem. 2019, 12, 908–931. [Google Scholar] [CrossRef]
- Wang, M.; Liu, H.; Ma, J.; Luo, N.; Zhao, Z.; Wang, F. Sustainable Productions of Organic Acids and Their Derivatives from Biomass via Selective Oxidative Cleavage of C–C Bond. ACS Catal. 2018, 8, 2129–2165. [Google Scholar] [CrossRef]
- Oroujzadeh, N.; Baradaran, Z.; Sedrpoushan, A. An efficient heterogeneous Cu(I) complex for the catalytic oxidation of alcohols and sulfides: Synthesis, characterization, and investigation of the catalyst activity. J. Coord. Chem. 2021, 74, 2344–23664. [Google Scholar] [CrossRef]
- Coronel, N.C.; da Silva, M.J.; Ferreira, S.O.; da Silva, R.C.; Natalino, R. K5PW11NiO39-catalyzed oxidation of benzyl alcohol with hydrogen peroxide. Chemistryselect 2019, 4, 302–310. [Google Scholar] [CrossRef]
- Goerge, M.V.; Balachandran, K.S. Nickel Peroxide Oxidation of Organic Compounds. Chem. Rev. 1975, 75, 491–513. [Google Scholar] [CrossRef]
- Weijlard, J. Oxidation of Organic Compounds with Nickel Peroxide. J. Am. Chem. Soc. 1945, 67, 1031–1032. [Google Scholar] [CrossRef]
- Nakagawa, K.; Konaka, R.; Nakata, T. Oxidation with Nickel Peroxide. I. Oxidation of Alcohols. J. Org. Chem. 1962, 27, 1597–1601. [Google Scholar] [CrossRef]
- Nakagawa, K.; Onoue, H.; Sugita, J. Oxidation with nickel peroxide. Chem. Pharm. Bull. 1964, 12, 1135–1138. [Google Scholar] [CrossRef]
- Shoair, A.G.F.; Shanab, M.M.A.H.; Mahmoud, M.H.H. Electrochemical and Catalytic Properties of oxo-ruthenate(VI) in Aqueous Alkaline Medium. Int. J. Electrochem. Sci. 2021, 16, 210446. [Google Scholar] [CrossRef]
- Kooti, M.; Jorfi, M. Synthesis and characterization of nanosize NiO2 and NiO using TritonX-100. Cent. Eur. J. Chem. 2009, 7, 155–158. [Google Scholar] [CrossRef]
- Teoh, L.G.; Li, K.-D. Synthesis and Characterization of NiO Nanoparticles by Sol–Gel Method. Mater. Trans. 2012, 53, 2135–2140. [Google Scholar] [CrossRef]
- Li, G.J.; Kawi, S. Synthesis, characterization and sensing application of novel semiconductor oxides. Talanta 1998, 45, 759–766. [Google Scholar] [CrossRef]
- Ichiyanagi, Y. Wakabayashi, N.; Yamazaki, J. Magnetic properties of NiO nanoparticles. Phys. B 2003, 329–333, 862–863. [Google Scholar] [CrossRef]
- Limberg, C.; Matthias Driess, M. Facile Access to an Active γ-NiOOH Electrocatalyst for Durable Water Oxidation Derived From an Intermetallic Nickel Germanide Precursor. Angew. Chem. Int. Ed. 2009, 48, 8107–8110. [Google Scholar] [CrossRef]
- Al-Ghamdi, A.A.; Mahmouda, W.E.; Yaghmour, S.J.; Al-Marzouk, F.M. Structure and optical properties of nanocrystalline NiO thin film synthesized by sol–gel spin-coating method. J. Alloys Compd. 2009, 486, 9–13. [Google Scholar] [CrossRef]
- Bobinihi, F.F.; Fayemi, O.E.; Onwudiwe, D.C. Synthesis, characterization, and cyclic voltammetry of nickel sulphide and nickel oxide nanoparticles obtained from Ni(II) dithiocarbamate. Mater. Sci. Semicond. Process. 2021, 121, 105315. [Google Scholar] [CrossRef]
- Jyoti, K.; Baunthiyal, M.; Singh, A. Characterization of silver nanoparticles synthesized using Urtica dioica Linn. leaves and their synergistic effects with antibiotics. J. Radiat. Res. Appl. Sci. 2016, 9, 217–227. [Google Scholar] [CrossRef]
- Seguin, L.; Amatucci, G.; Anne, M.; Chabre, Y.; Strobel, P.; Tarascon, M.; Vaughan, G. Structural study of NiO2 and CoO2 as end members of the lithiated compounds by in situ high resolution X-ray powder diffraction. J. Power Sources 1999, 81–82, 604–606. [Google Scholar] [CrossRef]
- Bordoloi, K.; Kalita, G.D.; Das, P. Acceptorless dehydrogenation of alcohols to carboxylic acids by palladium nanoparticles supported on NiO: Delving into metal–support cooperation in catalysis. Dalton Trans. 2022, 51, 9922–9934. [Google Scholar] [CrossRef] [PubMed]
- Shrikant, D.; Tambe, S.D.; Eun Jin Cho, E.J. Organophotocatalytic oxidation of alcohols to carboxylic acids. Bull. Korean Chem. Soc. 2022, 43, 1226–1230. [Google Scholar] [CrossRef]
- Wang, H.; Wu, Z.; Yu, H.; Han, S.; Wei, Y. Highly efficient oxidation of alcohols to carboxylic acids using a polyoxometalate-supported chromium(III) catalyst and CO2. Green Chem. 2020, 22, 3150–3154. [Google Scholar] [CrossRef]
- Wei, X.-Z.; Dagnaw, F.W.; Liu, J.; Ma, L. Highly selective photocatalytic oxidation of alcohols under the application of novel metal organic frameworks (MOFs) based catalytic system. J. Colloid Interface Sci. 2023, 629, 136–143. [Google Scholar] [CrossRef]
- Song, Z.; Liu, J.; Hu, Y.; Li, S.; Zhang, X.; Ma, L.; Chen, L.; Zhang, Q. Solvent-controlled selective photocatalytic oxidation of benzyl alcohol over Ni@C/TiO2. Catal. Commun. 2023, 176, 106628. [Google Scholar] [CrossRef]








![]() | ||||
|---|---|---|---|---|
| Entry | Co-Oxidant | Y (%) | TO | TOF (h−1) |
| 1 | K2S2O8 | 97 | 48.5 | 12.13 |
| KBrO3 | 75 | 36 | 9 | |
| 2 | K2S2O8 | 85 | 42.5 | 10.63 |
| KBrO3 | 60 | 30 | 7.5 | |
| 3 | K2S2O8 | 81 | 40.5 | 10.13 |
| KBrO3 | 63 | 31.5 | 7.9 | |
| 4 | K2S2O8 | 70 | 35 | 8.75 |
| KBrO3 | 54 | 27 | 6.75 | |
| 5 | K2S2O8 | 50 | 25 | 6.25 |
| KBrO3 | 50 | 25 | 6.25 | |
| 6 | K2S2O8 | 0 | 0 | 0 |
| KBrO3 | 0 | 0 | 0 | |
| 7 | K2S2O8 | 80 | 40 | 10 |
| KBrO3 | 70 | 35 | 8.75 | |
| 8 | K2S2O8 | 76 | 38 | 9.5 |
| KBrO3 | 55 | 27.5 | 6.88 | |
| 9 | K2S2O8 | 60 | 30 | 7.5 |
| KBrO3 | 40 | 20 | 5 | |
![]() | ||||||
|---|---|---|---|---|---|---|
| Entry | Substrate | Product | Co-Oxidant | Y (%) | TO | TOF (h−1) |
| 10 | ![]() | ![]() | K2S2O8 | 98 | 49 | 19.25 |
| KBrO3 | 70 | 35.5 | 8.6 | |||
| 11 | ![]() | ![]() | K2S2O8 | 97 | 48.5 | 12.13 |
| KBrO3 | 63 | 31.5 | 7.5 | |||
| 12 | ![]() | ![]() | K2S2O8 | 95 | 47.5 | 11.88 |
| KBrO3 | 65 | 32.5 | 7.9 | |||
| 13 | ![]() | ![]() | K2S2O8 | 95 | 47.5 | 11.88 |
| KBrO3 | 66 | 33 | 8.25 | |||
| 14 | ![]() | ![]() | K2S2O8 | 70 | 35.5 | 8.88 |
| KBrO3 | 40 | 20 | 5 | |||
| 15 | ![]() | ![]() | K2S2O8 | 60 | 30 | 7.5 |
| KBrO3 | 30 | 15 | 3.75 | |||
| 16 | ![]() | ![]() | K2S2O8 | 60 | 30 | 7.5 |
| KBrO3 | 30 | 15 | 3.75 | |||
| 17 | ![]() | ![]() | K2S2O8 | 55 | 27.5 | 6.88 |
| KBrO3 | 25 | 12.5 | 3.13 | |||
| 18 | ![]() | ![]() | K2S2O8 | 85 | 42.5 | 10.6 |
| KBrO3 | 50 | 25 | 6.25 | |||
Disclaimer/Publisher’s Note: The statements, opinions and data contained in all publications are solely those of the individual author(s) and contributor(s) and not of MDPI and/or the editor(s). MDPI and/or the editor(s) disclaim responsibility for any injury to people or property resulting from any ideas, methods, instructions or products referred to in the content. |
© 2023 by the authors. Licensee MDPI, Basel, Switzerland. This article is an open access article distributed under the terms and conditions of the Creative Commons Attribution (CC BY) license (https://creativecommons.org/licenses/by/4.0/).
Share and Cite
Shoair, A.G.F.; Shanab, M.M.A.H.; El-Ghamaz, N.A.; Abou-Krisha, M.M.; Kenawy, S.H.; Yousef, T.A. Green Catalytic Conversion of Some Benzylic Alcohols to Acids by NiO2 Nanoparticles (NPNPs) in Water. Catalysts 2023, 13, 645. https://doi.org/10.3390/catal13040645
Shoair AGF, Shanab MMAH, El-Ghamaz NA, Abou-Krisha MM, Kenawy SH, Yousef TA. Green Catalytic Conversion of Some Benzylic Alcohols to Acids by NiO2 Nanoparticles (NPNPs) in Water. Catalysts. 2023; 13(4):645. https://doi.org/10.3390/catal13040645
Chicago/Turabian StyleShoair, Abdel Ghany F., Mai M. A. H. Shanab, Nasser A. El-Ghamaz, Mortaga M. Abou-Krisha, Sayed H. Kenawy, and Tarek A. Yousef. 2023. "Green Catalytic Conversion of Some Benzylic Alcohols to Acids by NiO2 Nanoparticles (NPNPs) in Water" Catalysts 13, no. 4: 645. https://doi.org/10.3390/catal13040645
APA StyleShoair, A. G. F., Shanab, M. M. A. H., El-Ghamaz, N. A., Abou-Krisha, M. M., Kenawy, S. H., & Yousef, T. A. (2023). Green Catalytic Conversion of Some Benzylic Alcohols to Acids by NiO2 Nanoparticles (NPNPs) in Water. Catalysts, 13(4), 645. https://doi.org/10.3390/catal13040645





















