Catalytic Performance and Reaction Mechanisms of Ethyl Acetate Oxidation over the Au–Pd/TiO2 Catalysts
Abstract
1. Introduction
2. Results and Discussion
2.1. Crystal Phase Composition, Microstructure, and Surface Area
2.2. Surface Property
2.3. Reducibility
2.4. Catalytic Performance and By-Products Distribution
2.5. Effects of H2O and SO2 on Catalytic Activity and Intermediate Selectivity
2.6. Products Distribution of Ethyl Acetate Oxidation in the Absence or Presence of SO2
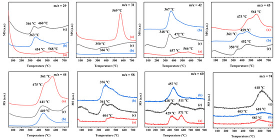
2.7. Intermediates of Ethyl Acetate Oxidation and Possible Reaction Mechanisms
3. Materials and Methods
3.1. Chemicals
3.2. Preparation of the Au/TiO2 and Pd/TiO2 Catalysts
3.3. Preparation of the yAuPdx/TiO2 Catalysts
3.4. Catalyst Characterization
3.5. Catalytic Evaluation
4. Conclusions
Supplementary Materials
Author Contributions
Funding
Data Availability Statement
Conflicts of Interest
References
- Mellouki, A.; Wallington, T.J.; Chen, J. Atmospheric chemistry of oxygenated volatile organic compounds: Impacts on air quality and climate. Chem. Rev. 2015, 115, 3984–4014. [Google Scholar] [CrossRef]
- He, C.; Cheng, J.; Zhang, X.; Douthwaite, M.; Pattisson, S.; Hao, Z.P. Recent advances in the catalytic oxidation of volatile organic compounds: A review based on pollutant sorts and sources. Chem. Rev. 2019, 119, 4471–4568. [Google Scholar] [CrossRef] [PubMed]
- Wang, H.L.; Sun, S.M.; Nie, L.; Zhang, Z.S.; Li, W.P.; Hao, Z.P. A review of whole-process control of industrial volatile organic compounds in China. J. Environ. Sci. 2022, 123, 127–139. [Google Scholar] [CrossRef] [PubMed]
- Guo, Y.L.; Wen, M.C.; Li, G.Y.; An, T. Recent advances in VOC elimination by catalytic oxidation technology onto various nanoparticles catalysts: A critical review. Appl. Catal. B 2021, 281, 119447. [Google Scholar] [CrossRef]
- Liu, L.C.; Corma, A. Metal catalysts for heterogeneous catalysis: From single atoms to nanoclusters and nanoparticles. Chem. Rev. 2018, 118, 4981–5079. [Google Scholar] [CrossRef] [PubMed]
- Kamal, M.S.; Razzak, S.A.; Hossain, M.M. Catalytic oxidation of volatile organic compounds (VOCs)—A review. Atmos. Environ. 2016, 140, 117–134. [Google Scholar] [CrossRef]
- Sedjame, H.-J.; Fontaine, C.; Lafaye, G.; Barbier, J., Jr. On the promoting effect of the addition of ceria to platinum based alumina catalysts for VOCs oxidation. Appl. Catal. B 2014, 144, 233–242. [Google Scholar] [CrossRef]
- Tilvez, E.; Cardenas-Jiron, G.I.; Menendez, M.I.; Lopez, R. Understanding the hydrolysis mechanism of ethyl acetate catalyzed by an aqueous molybdocene: A computational chemistry investigation. Inorg. Chem. 2015, 54, 1223–1231. [Google Scholar] [CrossRef]
- Jiang, Y.W.; Gao, J.H.; Zhang, Q.; Liu, Z.Y.; Fu, M.L.; Wu, J.L.; Hu, Y.; Ye, D.Q. Enhanced oxygen vacancies to improve ethyl acetate oxidation over MnOx−CeO2 catalyst derived from MOF template. Chem. Eng. J. 2019, 371, 78–87. [Google Scholar] [CrossRef]
- Zhang, L.; Yang, Y.; Li, Y.Z.; Wu, J.C.; Wu, S.W.; Tan, X.; Hu, Q.Q. Highly efficient UV-visible-infrared photothermocatalytic removal of ethyl acetate over a nanocomposite of CeO2 and Ce-doped manganese oxide. Chin. J. Catal. 2022, 43, 379–390. [Google Scholar] [CrossRef]
- Feng, S.Y.; Liu, J.D.; Gao, B. Synergistic mechanism of Cu–Mn–Ce oxides in mesoporous ceramic base catalyst for VOCs microwave catalytic combustion. Chem. Eng. J. 2022, 429, 132302. [Google Scholar] [CrossRef]
- Pan, T.T.; Deng, H.; Kang, S.Y.; Zhang, Y.; Lian, W.; Zhang, C.B.; He, H. Facile homogeneous precipitation method to prepare MnO2 with high performance in catalytic oxidation of ethyl acetate. Chem. Eng. J. 2021, 417, 129246. [Google Scholar] [CrossRef]
- Li, S.M.; Hao, Q.L.; Zhao, R.Z.; Liu, D.L.; Duan, H.Z.; Dou, B.J. Highly efficient catalytic removal of ethyl acetate over Ce/Zr promoted copper/ZSM-5 catalysts. Chem. Eng. J. 2016, 285, 536–543. [Google Scholar] [CrossRef]
- Larsson, P.O.; Andersson, A. Complete oxidation of CO, ethanol, and ethyl acetate over copper oxide supported on titania and ceria modified titania. J. Catal. 1998, 179, 72–89. [Google Scholar] [CrossRef]
- Lee, J.D.; Miller, J.B.; Shneidman, A.V.; Sun, L.; Weaver, J.F.; Aizenberg, J.; Biener, J.; Boscoboinik, J.A.; Foucher, A.C.; Frenkel, A.I.; et al. Dilute alloys based on Au, Ag, or Cu for efficient catalysis: From synthesis to active sites. Chem. Rev. 2022, 122, 8758–8808. [Google Scholar] [CrossRef]
- Li, G.J.; Zhang, W.S.; Luo, N.; Xue, Z.G.; Hu, Q.M.; Zeng, W.; Xu, J.Q. Bimetallic nanocrystals: Structure, controllable synthesis and applications in catalysis, energy and sensing. Nanomaterials 2021, 11, 1926. [Google Scholar] [CrossRef]
- Gilroy, K.D.; Ruditskiy, A.; Peng, H.C.; Qin, D.; Xia, Y. Bimetallic nanocrystals: Syntheses, properties, and applications. Chem. Rev. 2016, 116, 10414–10472. [Google Scholar] [CrossRef]
- Tao, F.F. Synthesis, catalysis, surface chemistry and structure of bimetallic nanocatalysts. Chem. Soc. Rev. 2012, 41, 7977–7979. [Google Scholar] [CrossRef] [PubMed]
- Liu, X.L.; Han, Q.Z.; Shi, W.B.; Zhang, C.; Li, E.W.; Zhu, T.Y. Catalytic oxidation of ethyl acetate over Ru–Cu bimetallic catalysts: Further insights into reaction mechanism via in situ FTIR and DFT studies. J. Catal. 2019, 369, 482–492. [Google Scholar] [CrossRef]
- Carabineiro, S.A.C.; Chen, X.; Martynyuk, O.; Bogdanchikova, N.; Avalos-Borja, M.; Pestryakov, A.; Tavares, P.B.; Órfão, J.J.M.; Pereira, M.F.R.; Figueiredo, J.L. Gold supported on metal oxides for volatile organic compounds total oxidation. Catal. Today 2015, 244, 103–114. [Google Scholar] [CrossRef]
- Wang, X.; Wu, L.K.; Wang, Z.W.; Feng, Y.; Liu, Y.X.; Dai, H.X.; Wang, Z.H.; Deng, J.G. Photothermal synergistic catalytic oxidation of ethyl acetate over MOFs-derived mesoporous N-TiO2 supported Pd catalysts. Appl. Catal. B 2023, 322, 122075. [Google Scholar] [CrossRef]
- Wen, X.Y.; Li, W.C.; Yan, J.X.; Wang, X.J.; Ren, E.B.; Shi, Z.F.; Li, J.; Ding, X.G.; Mo, S.P.; Mo, D.Q. Strong metal–support interaction in Pd/CeO2 promotes the catalytic activity of ethyl acetate oxidation. J. Phys. Chem. C 2022, 126, 1450–1461. [Google Scholar] [CrossRef]
- Zhang, X.; Liu, Y.X.; Deng, J.G.; Yu, X.H.; Han, Z.; Zhang, K.F.; Dai, H.X. Alloying of gold with palladium: An effective strategy to improve catalytic stability and chlorine-tolerance of the 3DOM CeO2-supported catalysts in trichloroethylene combustion. Appl. Catal. B 2019, 257, 117879. [Google Scholar] [CrossRef]
- Liu, J.L.; Uhlman, M.B.; Montemore, M.M.; Trimpalis, A.; Giannakakis, G.; Shan, J.; Cao, S.; Hannagan, R.T.; Sykes, E.C.H.; Flytzani-Stephanopoulos, M. Integrated catalysis-surface science-theory approach to understand selectivity in the hydrogenation of 1-hexyne to 1-hexene on PdAu single-atom alloy catalysts. ACS Catal. 2019, 9, 8757–8765. [Google Scholar] [CrossRef]
- Griffin, M.B.; Rodriguez, A.A.; Montemore, M.M.; Monnier, J.R.; Williams, C.T.; Medlin, J.W. The selective oxidation of ethylene glycol and 1,2–propanediol on Au, Pd, and Au–Pd bimetallic catalysts. J. Catal. 2013, 307, 111–120. [Google Scholar] [CrossRef]
- Ilieva, L.; Venezia, A.M.; Petrova, P.; Pantaleo, G.; Liotta, L.F.; Zanella, R.; Kaszkur, Z.; Tabakova, T. Effect of Y modified ceria support in mono and bimetallic Pd–Au catalysts for complete benzene oxidation. Catalysts 2018, 8, 283. [Google Scholar] [CrossRef]
- Tabakova, T.; Ilieva, L.; Petrova, P.; Venezia, M.A.; Karakirova, Y.; Liotta, L.F.; Avdeev, G. Complete benzene oxidation over mono and bimetallic Pd–Au catalysts on alumina-supported Y-doped ceria. Appl. Sci. 2020, 10, 1088. [Google Scholar] [CrossRef]
- Wong, Q.L.; Griffin, S.; Nicholls, A.; Regalbuto, J.R. Synthesis of ultrasmall, homogeneously alloyed, bimetallic nanoparticles on silica supports. Science 2017, 358, 1427–1430. [Google Scholar] [CrossRef]
- Resasco, J.; DeRita, L.; Dai, S.; Chada, J.P.; Xu, M.J.; Yan, X.X.; Finzel, J.; Hanukovich, S.; Hoffman, A.S.; Graham, G.W.; et al. Uniformity is key in defining structure-function relationships for atomically dispersed metal catalysts: The case of Pt/CeO2. J. Am. Chem. Soc. 2020, 142, 169–184. [Google Scholar] [CrossRef]
- Ma, Y.L.; Kuhn, A.N.; Gao, W.P.; Al-Zoubi, T.; Du, H.; Pan, X.Q.; Yang, H. Strong electrostatic adsorption approach to the synthesis of sub-three nanometer intermetallic platinum–cobalt oxygen reduction catalysts. Nano Energy 2021, 79, 105465. [Google Scholar] [CrossRef]
- DeRita, L.; Dai, S.; Lopez-Zepeda, K.; Pham, N.; Graham, G.W.; Pan, X.Q.; Christopher, P. Catalyst architecture for stable single atom dispersion enables site-specific spectroscopic and reactivity measurements of CO adsorbed to Pt atoms, oxidized Pt clusters, and metallic Pt clusters on TiO2. J. Am. Chem. Soc. 2017, 139, 14150–14165. [Google Scholar] [CrossRef]
- Liu, Y.X.; Deng, J.G.; Xie, S.H.; Wang, Z.W.; Dai, H.X. Catalytic removal of volatile organic compounds using ordered porous transition metal oxide and supported noble metal catalysts. Chin. J. Catal. 2016, 37, 1193–1205. [Google Scholar] [CrossRef]
- Wang, Z.W.; Li, S.; Xie, S.H.; Liu, Y.X.; Dai, H.X.; Guo, G.S.; Deng, J.G. Supported ultralow loading Pt catalysts with high H2O-, CO2-, and SO2-resistance for acetone removal. Appl. Catal. A 2019, 579, 106–115. [Google Scholar] [CrossRef]
- Ilieva, L.; Petrova, P.; Pantaleo, G.; Zanella, R.; Liotta, L.F.; Georgiev, V.; Boghosian, S.; Kaszkur, Z.; Sobczak, J.W.; Lisowski, W.; et al. Gold catalysts supported on Y-modified ceria for CO-free hydrogen production via PROX. Appl. Catal. B 2016, 188, 154–168. [Google Scholar] [CrossRef]
- Li, S.W.; Guo, S.J.; Yang, H.L.; Gou, G.L.; Ren, R.; Li, J.; Dong, Z.P.; Jin, J.; Ma, J.T. Enhancing catalytic performance of Au catalysts by noncovalent functionalized graphene using functional ionic liquids. J. Hazard. Mater. 2014, 270, 11–17. [Google Scholar] [CrossRef] [PubMed]
- Chen, Y.X.; Huang, Z.W.; Zhou, M.J.; Ma, Z.; Chen, J.M.; Tang, X.F. Single silver adatoms on nanostructured manganese oxide surfaces: Boosting oxygen activation for benzene abatement. Environ. Sci. Technol. 2017, 51, 2304–2311. [Google Scholar] [CrossRef]
- He, M.; Ji, J.; Liu, B.Y.; Huang, H.B. Reduced TiO2 with tunable oxygen vacancies for catalytic oxidation of formaldehyde at room temperature. Appl. Surf. Sci. 2019, 473, 934–942. [Google Scholar] [CrossRef]
- Yang, X.Q.; Yu, X.L.; Lin, M.Y.; Ge, M.F.; Zhao, Y.; Wang, F.Y. Interface effect of mixed phase Pt/ZrO2 catalysts for HCHO oxidation at ambient temperature. J. Mater. Chem. A 2017, 5, 13799–13806. [Google Scholar] [CrossRef]
- Huang, S.Y.; Zhang, C.B.; He, H. Effect of pretreatment on Pd/Al2O3 catalyst for catalytic oxidation of o-xylene at low temperature. J. Environ. Sci. 2013, 25, 1206–1212. [Google Scholar] [CrossRef]
- Yang, X.; Chen, D.; Liao, S.J.; Song, H.Y.; Li, Y.W.; Fu, Z.Y.; Su, Y.L. High-performance Pd–Au bimetallic catalyst with mesoporous silica nanoparticles as support and its catalysis of cinnamaldehyde hydrogenation. J. Catal. 2012, 291, 36–43. [Google Scholar] [CrossRef]
- Liu, Y.; Liu, B.C.; Wang, Q.; Li, C.Y.; Hu, W.T.; Liu, Y.X.; Jing, P.; Zhao, W.Z.; Zhang, J. Three-dimensionally ordered macroporous Au/CeO2–Co3O4 catalysts with mesoporous walls for enhanced CO preferential oxidation in H2-rich gases. J. Catal. 2012, 296, 65–76. [Google Scholar] [CrossRef]
- Zhang, X.; Liu, Y.X.; Deng, J.G.; Zhang, K.F.; Yang, J.; Han, Z.; Dai, H.X. AuPd/3DOM TiO2 catalysts: Good activity and stability for the oxidation of trichloroethylene. Catalysts 2018, 8, 666. [Google Scholar] [CrossRef]
- Huang, Y.; Tian, M.J.; Jiang, Z.; Ma, M.D.; Chen, C.W.; Xu, H.; Zhang, J.J.; Albilali, R.; He, C. Inserting Cr2O3 dramatically promotes RuO2/TiO2 catalyst for low-temperature 1,2-dichloroethane deep destruction: Catalytic performance and synergy mechanism. Appl. Catal. B 2022, 304, 121002. [Google Scholar] [CrossRef]
- Xie, S.H.; Deng, J.G.; Zang, S.M.; Yang, H.G.; Guo, G.S.; Arandiyan, H.; Dai, H.X. Au–Pd/3DOM Co3O4: Highly active and stable nanocatalysts for toluene oxidation. J. Catal. 2015, 322, 38–48. [Google Scholar] [CrossRef]
- Hosseini, M.; Barakat, T.; Cousin, R.; Aboukaïs, A.; Su, B.L.; De Weireld, G.; Siffert, S. Catalytic performance of core–shell and alloy Pd–Au nanoparticles for total oxidation of VOC: The effect of metal deposition. Appl. Catal. B 2012, 111, 218–224. [Google Scholar] [CrossRef]
- Karim, W.; Spreafico, C.; Kleibert, A.; Gobrecht, J.; VandeVondele, J.; Ekinci, Y.; van Bokhoven, J.A. Catalyst support effects on hydrogen spillover. Nature 2017, 541, 68–71. [Google Scholar] [CrossRef]
- Wei, H.S.; Liu, X.Y.; Wang, A.Q.; Zhang, L.L.; Qiao, B.T.; Yang, X.F.; Huang, Y.Q.; Miao, S.; Liu, J.Y.; Zhang, T. FeOx-supported platinum single-atom and pseudo-single-atom catalysts for chemoselective hydrogenation of functionalized nitroarenes. Nat. Commun. 2014, 5, 5634. [Google Scholar] [CrossRef]
- Li, J.T.; Xu, Z.L.; Wang, T.; Xie, X.W.; Li, D.D.; Wang, J.G.; Huang, H.B.; Ao, Z.M. A versatile route to fabricate metal/UiO-66 (metal = Pt, Pd, Ru) with high activity and stability for the catalytic oxidation of various volatile organic compounds. Chem. Eng. J. 2022, 448, 136900. [Google Scholar] [CrossRef]
- Ma, M.D.; Yang, R.; He, C.; Jiang, Z.Y.; Shi, J.W.; Albilali, R.; Fayaz, K.; Liu, B.J. Pd-based catalysts promoted by hierarchical porous Al2O3 and ZnO microsphere supports/coatings for ethyl acetate highly active and stable destruction. J. Hazard. Mater. 2021, 401, 123281. [Google Scholar] [CrossRef]
- Kamiuchi, N.; Mitsui, T.; Yamaguchi, N.; Muroyama, H.; Matsui, T.; Kikuchi, R.; Eguchi, K. Activation of Pt/SnO2 catalyst for catalytic oxidation of volatile organic compounds. Catal. Today 2010, 157, 415–419. [Google Scholar] [CrossRef]
- He, C.; Yue, L.; Zhang, X.Y.; Li, P.; Dou, B.J.; Ma, C.Y.; Hao, Z.P. Deep catalytic oxidation of benzene, toluene, ethyl acetate over Pd/SBA-15 catalyst: Reaction behaviors and kinetics. Asia-Pac. J. Chem. Eng. 2012, 7, 705–715. [Google Scholar] [CrossRef]
- Bastos, S.S.T.; Carabineiro, S.A.C.; Órfão, J.J.M.; Pereira, M.F.R.; Delgado, J.J.; Figueiredo, J.L. Total oxidation of ethyl acetate, ethanol and toluene catalyzed by exotemplated manganese and cerium oxides loaded with gold. Catal. Today 2012, 180, 148–154. [Google Scholar] [CrossRef]
- Xia, Y.X.; Dai, H.X.; Jiang, H.Y.; Deng, J.G.; He, H.; Au, C.T. Mesoporous chromia with ordered Three-Dimensional structures for the complete oxidation of toluene and ethyl acetate. Environ. Sci. Technol. 2009, 43, 8355–8360. [Google Scholar] [CrossRef] [PubMed]
- Han, S.M.; Shin, K.; Henkelman, G.; Mullins, C.B. Selective oxidation of acetaldehyde to acetic acid on Pd–Au bimetallic model catalysts. ACS Catal. 2019, 9, 4360–4368. [Google Scholar] [CrossRef]
- Liang, Y.J.; Liu, Y.X.; Deng, J.G.; Zhang, K.F.; Hou, Z.Q.; Zhao, X.T.; Zhang, X.; Zhang, K.Y.; Wei, R.J.; Dai, H.X. Coupled palladium-tungsten bimetallic nanosheets/TiO2 hybrids with enhanced catalytic activity and stability for the oxidative removal of benzene. Environ. Sci. Technol. 2019, 53, 5926–5935. [Google Scholar] [CrossRef]
- Ma, M.D.; Yang, R.; Jiang, Z.Y.; Chen, C.W.; Liu, Q.Y.; Albilali, R.; He, C. Fabricating M/Al2O3/cordierite (M = Cr, Mn, Fe, Co, Ni and Cu) monolithic catalysts for ethyl acetate efficient oxidation: Unveiling the role of water vapor and reaction mechanism. Fuel 2021, 303, 121244. [Google Scholar] [CrossRef]
- Yu, X.H.; Dai, L.Y.; Deng, J.G.; Liu, Y.X.; Jing, L.; Zhang, X.; Gao, R.Y.; Hou, Z.Q.; Wei, L.; Dai, H.X. An isotopic strategy to investigate the role of water vapor in the oxidation of 1,2-dichloroethane over the Ru/WO3 or Ru/TiO2 catalyst. Appl. Catal. B 2022, 305, 121037. [Google Scholar] [CrossRef]
- Hou, Z.Q.; Dai, L.Y.; Deng, J.G.; Zhao, G.F.; Jing, L.; Wang, Y.S.; Yu, X.H.; Gao, R.Y.; Tian, X.R.; Dai, H.X.; et al. Electronically engineering water resistance in methane combustion with an atomically dispersed tungsten on PdO catalyst. Angew. Chem. Int. Ed. 2022, 134, e202201655. [Google Scholar] [CrossRef]
- Li, J.C.; Zhang, C.; Li, Q.; Gao, T.; Yu, S.H.; Tan, P.; Fang, Q.Y.; Chen, G. Promoting mechanism of SO2 resistance performance by anatase TiO2 {001} facets on Mn−Ce/TiO2 catalysts during NH3-SCR reaction. Chem. Eng. Sci. 2022, 251, 117438. [Google Scholar] [CrossRef]
- Zhang, W.; Innocenti, G.; Ferbinteanu, M.; Enrique, V.; Fernandez, R.; Sepulveda-Escribano, A.; Wu, H.H.; Cavani, F.; Rothenberg, G.; Raveendran, N. Understanding the oxidative dehydrogenation of ethyl lactate to ethyl pyruvate over vanadia/titania. Catal. Sci. Technol. 2018, 8, 3737–3747. [Google Scholar] [CrossRef]
- Ma, M.D.; Feng, X.B.; Yang, R.; Li, L.; Jiang, Z.Y.; Chen, C.W.; He, C. Engineering CoCexZr1−x/Ni foam monolithic catalysts for ethyl acetate efficient destruction. Fuel 2022, 317, 123574. [Google Scholar] [CrossRef]
- Dong, N.; Ye, Q.; Zhang, D.; Xiao, Y.; Dai, H.X. Reduced graphene oxide as an effective promoter to the layered manganese oxide-supported Ag catalysts for the oxidation of ethyl acetate and carbon monoxide. J. Hazard. Mater. 2022, 431, 128518. [Google Scholar] [CrossRef]
- Wang, Y.N.; Ma, W.H.; Wang, D.Y.; Zhong, Q. Study on the reaction mechanism of the propylene oxide rearrangement via in situ DRIFTS. Chem. Eng. J. 2017, 307, 1047–1054. [Google Scholar] [CrossRef]
- Jetzki, M.; Luckhaus, D.; Signorell, R. Fermi resonance and conformation in glycolaldehyde particles. Can. J. Chem. 2004, 82, 915–924. [Google Scholar] [CrossRef]
- Yang, N.; Tsona, N.T.; Cheng, S.; Li, S.; Xu, L.; Wang, Y.; Wu, L.; Du, L. Competitive reactions of SO2 and acetic acid on alpha-Al2O3 and CaCO3 particles. Sci. Total Environ. 2020, 699, 134362. [Google Scholar] [CrossRef]
- Jiao, L.; Regalbuto, J.R. The synthesis of highly dispersed noble and base metals on silica via strong electrostatic adsorption: I. Amorphous silica. J. Catal. 2008, 260, 329–341. [Google Scholar] [CrossRef]











| Sample | Crystal Phase a | BET Surface Area b (m2/g) | Actual Au Content c (wt%) | Actual Pd Content c (wt%) | Actual Pd/Au Molar Ratio c (mol/mol) | Surface Element Composition (mol/mol) | ||
|---|---|---|---|---|---|---|---|---|
| Pd2+/Pd0 Molar Ratio | Auδ+/Au0 Molar Ratio | Oads/Olatt Molar Ratio | ||||||
| 0.33Pd/TiO2 | Anatase | 168 | − | 0.33 | − | 0.22 | − | 0.20 |
| 0.36Au/TiO2 | Anatase | 155 | 0.36 | − | − | − | 0.25 | 0.18 |
| 0.35AuPd0.46/TiO2 | Anatase | 111 | 0.28 | 0.07 | 0.46 | 0.15 | 0.30 | 0.26 |
| 0.34AuPd2.09/TiO2 | Anatase | 134 | 0.16 | 0.18 | 2.09 | 0.22 | 0.36 | 0.28 |
| 0.37AuPd2.72/TiO2 | Anatase | 163 | 0.15 | 0.22 | 2.72 | 0.23 | 0.42 | 0.33 |
| Sample | Catalytic Activity | Ethyl Acetate Oxidation at 220 °C | Ea (kJ/mol) | Metal Dispersion (%) | H2 Consumption (mmol/gcat) | ||||
|---|---|---|---|---|---|---|---|---|---|
| T10% | T50% | T90% | Specific Reaction Rate | TOFPd | TOFNoble metal | ||||
| (°C) | (°C) | (°C) | (µmol/(gPd s)) | (×10−3 s−1) | (×10−3 s−1) | ||||
| TiO2 | 228 | 268 | 303 | − | − | − | 72 | − | 0.14 |
| 0.36Au/TiO2 | 224 | 261 | 289 | − | − | 3.8 | 60 | 52 | 0.19 |
| 0.33Pd/TiO2 | 179 | 225 | 261 | 48.3 | 26.9 | 14.6 | 44 | 35 | 0.26 |
| 0.35AuPd0.46/TiO2 | 208 | 236 | 257 | 97.5 | 46.4 | 11.7 | 57 | 41 | 0.27 |
| 0.34AuPd2.09/TiO2 | 188 | 229 | 251 | 101.2 | 51.9 | 59.1 | 42 | 38 | 0.32 |
| 0.37AuPd2.72/TiO2 | 160 | 217 | 239 | 113.8 | 73.9 | 109.7 | 37 | 30 | 0.35 |
Disclaimer/Publisher’s Note: The statements, opinions and data contained in all publications are solely those of the individual author(s) and contributor(s) and not of MDPI and/or the editor(s). MDPI and/or the editor(s) disclaim responsibility for any injury to people or property resulting from any ideas, methods, instructions or products referred to in the content. |
© 2023 by the authors. Licensee MDPI, Basel, Switzerland. This article is an open access article distributed under the terms and conditions of the Creative Commons Attribution (CC BY) license (https://creativecommons.org/licenses/by/4.0/).
Share and Cite
Bao, M.; Liu, Y.; Deng, J.; Jing, L.; Hou, Z.; Wang, Z.; Wei, L.; Yu, X.; Dai, H. Catalytic Performance and Reaction Mechanisms of Ethyl Acetate Oxidation over the Au–Pd/TiO2 Catalysts. Catalysts 2023, 13, 643. https://doi.org/10.3390/catal13040643
Bao M, Liu Y, Deng J, Jing L, Hou Z, Wang Z, Wei L, Yu X, Dai H. Catalytic Performance and Reaction Mechanisms of Ethyl Acetate Oxidation over the Au–Pd/TiO2 Catalysts. Catalysts. 2023; 13(4):643. https://doi.org/10.3390/catal13040643
Chicago/Turabian StyleBao, Minming, Yuxi Liu, Jiguang Deng, Lin Jing, Zhiquan Hou, Zhiwei Wang, Lu Wei, Xiaohui Yu, and Hongxing Dai. 2023. "Catalytic Performance and Reaction Mechanisms of Ethyl Acetate Oxidation over the Au–Pd/TiO2 Catalysts" Catalysts 13, no. 4: 643. https://doi.org/10.3390/catal13040643
APA StyleBao, M., Liu, Y., Deng, J., Jing, L., Hou, Z., Wang, Z., Wei, L., Yu, X., & Dai, H. (2023). Catalytic Performance and Reaction Mechanisms of Ethyl Acetate Oxidation over the Au–Pd/TiO2 Catalysts. Catalysts, 13(4), 643. https://doi.org/10.3390/catal13040643

