Next Article in Journal
A Bifunctional Pt/CeO2-Cu1/CeO2 Catalyst System for Isooctane Oxidation under Fully Simulated Engine-Exhaust Condition: Eliminating the Inhibition by CO
Next Article in Special Issue
Efficient and Stable Ni/SBA-15 Catalyst for Dry Reforming of Methane: Effect of Citric Acid Concentration
Previous Article in Journal
Optimizing Al and Fe Load during HTC of Water Hyacinth: Improvement of Induced HC Physicochemical Properties
Previous Article in Special Issue
Synthesis of Hollow Leaf-Shaped Iron-Doped Nickel–Cobalt Layered Double Hydroxides Using Two-Dimensional (2D) Zeolitic Imidazolate Framework Catalyzing Oxygen Evolution Reaction
 
 
Font Type:
Arial Georgia Verdana
Font Size:
Aa Aa Aa
Line Spacing:
Column Width:
Background:
Article

Synthesis of Cobalt Complex Containing Trans-Cinnamate and Its Electrocatalytic Activity for Oxygen Evolution Reaction

1
Department of Chemistry, Konkuk University, 120 Neungdong-ro, Gwangjin-gu, Seoul 05029, Republic of Korea
2
Department of Chemistry, Sogang University, 35 Baekbeom-ro, Mapo-gu, Seoul 04107, Republic of Korea
*
Authors to whom correspondence should be addressed.
These authors contributed equally to this work.
Catalysts 2023, 13(3), 507; https://doi.org/10.3390/catal13030507
Submission received: 2 February 2023 / Revised: 26 February 2023 / Accepted: 26 February 2023 / Published: 1 March 2023
(This article belongs to the Special Issue State-of-the-Art of Catalytical Technology in Korea)

Abstract

There are many efforts reported on finding effective catalysts for oxygen evolution reactions (OERs), which are important reactions in the energy field. Coordination polymers, including metal–organic frameworks (MOFs), are attracting attention as electrocatalysts for OERs due to their versatility and modulating properties. A new cobalt complex containing trans-cinnamate and 2-aminopyridmidine ligands was synthesized using a hydrothermal method. The cobalt complex showed a 1D chain structure. The electrocatalytic activity and stability of the cobalt complex with or without an electrochemical supporter, such as reduced graphene oxide (rGO), OERs were investigated and compared with a metal oxide reference material. Due to the π-conjugated trans-cinnamate, which has electron flexibility near the Co centers, the catalyst/rGO composite showed significant catalytic activities, with an overpotential of 386 mV and a Tafel slope of 64 mV/dec.

Graphical Abstract

1. Introduction

Research into new energy systems has garnered much attention over the past few decades due to the depletion of fossil fuels and the resulting environmental pollution. In this regard, oxygen evolution reactions (OERs) are important for efficient energy conversion and storage, especially in the case of fuel cells [1,2,3,4,5]. However, owing to the high overpotential for O–H bond cleavage and O–O bond formation, the kinetics of OERs are sluggish [6,7]. Therefore, the use of a catalyst is essential to reduce the massive energy consumption that would otherwise be needed.
The most representative electrocatalysts for OERs are noble metals, such as Ir and Ru, but they are expensive and in limited supply [8,9]. Contrarily, transition metal oxides are well-known electrocatalysts with a wide performance range due to the redox couples of their metal centers. In particular, non-noble metal oxides, such as Ni, Co, and Mn oxides, have been studied because of their low cost and high efficiency [10,11].
Coordination polymers, including metal–organic frameworks (MOFs), are also considered promising OER electrocatalysts. Their large surface areas, distinctively adjustable porous architectures, and electrical influence of the functional organic components on metal cores make MOFs beneficial [12,13].
Recently, we reported on the synthesis and electrocatalytic properties of the 3D porous cobalt cinnamate Co7(trans-cinnamate)14(H2O)2, which showed superior electrocatalytic behavior, especially in the OERs of inorganic cobalt oxides [14,15]. Previous research revealed that the incorporation of the π-conjugated carboxylate trans-cinnamate, which can be easily separated from the cobalt cation due to the oxygen atoms in cobalt cinnamate having electron-poor environments compared to simple inorganic cobalt oxides, was responsible for the excellent OER electrocatalytic performance of cobalt cinnamate [16,17,18].
In this work, we presented another cobalt cinnamate complex that incorporates 2-aminopyrimidine. In this case, unique tetrameric Co4 units bridged by H2O and trans-cinnamate anions are linked to each other through a 2-aminopyridmidine ligand, which completes the 1D chain structure. This cobalt complex incorporating π-conjugated trans-cinnamate and 2-aminopyrimidine was expected to exhibit similar electrical behaviors.
In addition, reduced graphene oxide (rGO) was employed as an electrochemical supporter for introducing a catalyst into an electrode surface to enhance the electrocatalytic performance by increasing the electrical contact between the electrode surface and the catalyst. Many previous studies have reported that the use of rGO as a supporter can provide a higher surface area and good electrical conductivity, enabling an efficient electrocatalyst reaction [19,20,21].
In this study, a new cobalt cinnamate complex was developed that incorporates 2-aminopyrimidine (catalyst 1) as an electrocatalyst and rGO as an electrochemical supporter for OERs. The electrocatalytic performances of catalyst 1 with or without the rGO supporter were investigated using linear sweep voltammetry (LSV) and chronoamperometry (CA).

2. Results

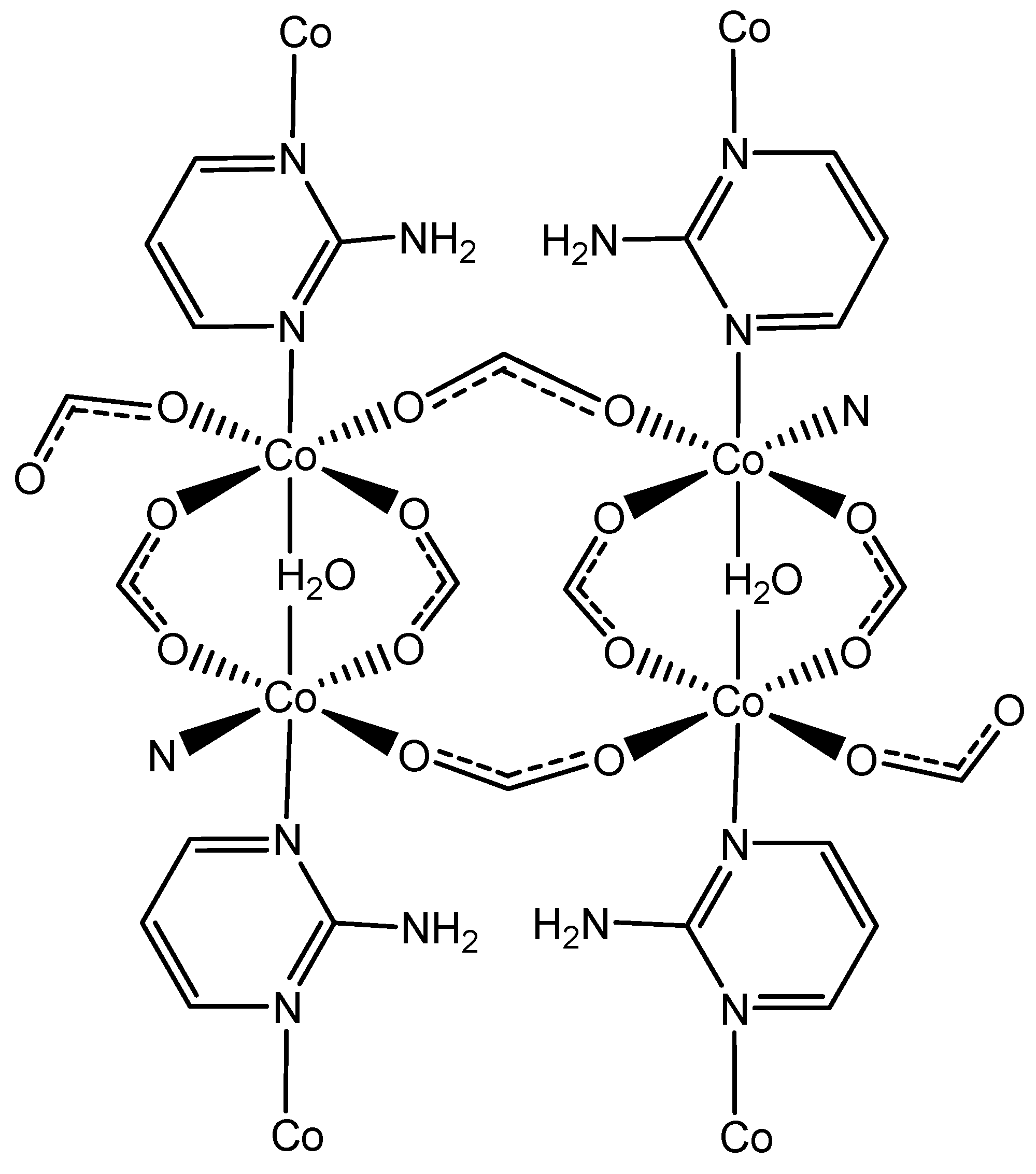
Catalyst 1 was prepared by employing a hydrothermal method. By mixing CoCl2∙6H2O, 2-aminopyrimidine, and trans-cinnamic acid in water, we produced catalyst 1 in the form of red, polyhedral-shaped crystals. A powder X-ray diffraction (XRD) analysis confirmed the homogeneity and purity of the bulk products (FigureS S1 and S2 in the Supporting Information, SI). The structure of 1 was composed of infinite neutral Co2(trans-cinnamate)4(2-aminopyrimidine)2(H2O) chains. Heavily disordered lattice water molecules were located between the chains. There were two crystallographically distinct cobalt atoms. The Co(1) atom was coordinated by four trans-cinnamate ligands to form CoO4 in a square planar geometry in the range of 2.031(2)–2.133(2) Å. To complete the slightly distorted octahedral coordination of CoNO4(H2O)2, an additional water molecule was coordinated to Co at a distance of 2.207(2) and one nitrogen atom from 2-aminopyrimidine at a distance of 2.244(3) in the trans position. The coordination environment of the other Co(2) atom was very similar to that of Co(1), except that one of the trans-cinnamate ligands in the square plane was replaced by 2-aminopyrimidine (Figure 1a). The bond valence sum (BVS) calculations for Co(1) and Co(2) resulted in values of 1.95 and 1.85, respectively, indicating an oxidation state of +2.00 [22].
The Co octahedra formed dimeric units by sharing the coordinated water molecule and two trans-cinnamate ligands (Figure 1). The dimers were connected to each other by bridging two trans-cinnamate ligands to produce a tetrameric unit. As shown, there were five trans-cinnamate and three 2-aminopyrimidine ligands in the dimer, two of which were used to form dimers by connecting the Co(1) and Co(2) octahedra, and two other trans-cinnamate contributed to connecting the dimers to form tetramers. The other trans-cinnamate and one of the three 2-aminopyrimidine molecules remained terminal, and the other two 2-aminopyrimidines acted as bridging ligands connecting the dimers.
Overall, the Co4(trans-cinnamate)8(2-aminopyrimidine)4(H2O)2 tetrameric units were alternately connected to each other by two 2-aminopyrimidine ligands to produce neutral Co2(trans-cinnamate)4(2-aminopyrimidine)2(H2O) chains along the a-axis (Scheme 1; Figure 1b). The interchain packing of 1 is shown in Figure 1c. The closest interchain contact was found between the trans-cinnamate ligands (d(C11∙∙∙C14) = 3.483(4) Å), forming a weak π–π stacking. The next closest interchain contact was found between trans-cinnamate and 2-aminopyrimidine (d(C6∙∙∙C13) = 3.490(4) Å). This implied that the van der Waals interactions were dominant and the π–π stacking between the chains was weak.
The electrocatalytic properties of catalyst 1 with or without the rGO supporter were investigated with respect to OERs. The linear sweep voltammograms (LSVs) of catalyst 1 and the reference material-modified glassy carbon electrode (GCE) are shown in Figure 2a. The onset potentials of the electrocatalysts with rGO were ~40 to 60 mV less positive than those of the cases without rGO.
The overpotentials (VJ) at a current density of 10 mA cm−2 for catalyst 1, CoO, and IrO2 with the rGO-modified GCEs were 386, 526, and 341 mV, respectively (Table 1). The overpotential of the catalyst 1/rGO composite was much lower than that of CoO but slightly higher than that of the noble metal catalysts, such as IrO2.
The kinetic parameters, including the Tafel slope, were also investigated, as shown in Figure 2b. [23] The Tafel slopes of the catalyst 1/rGO composite- and catalyst 1-modified GCEs were 64 and 73 mV/dec, respectively (Table 1). The small Tafel slope of the catalyst 1/rGO composite indicated the best kinetic performance compared to the reference materials. The Tafel slopes of the reference electrocatalysts, which included CoO and IrO2 with or without rGO, were 119, 157, 116, and 134 mV/dec, respectively.
Surprisingly, the small onset potential and Tafel slope values of the catalyst 1/rGO composite mean that it exhibits excellent electrocatalytic activity toward OERs from both thermodynamic and kinetic perspectives. The catalyst 1/rGO composite outperformed or was comparable to catalyst 1 alone or other metal oxide reference materials, such as CoO and IrO2, with or without rGO supports.
To test the durability of the electrocatalyst, long-time chronoamperometry (CA) was conducted for the catalyst 1/rGO composite. The CA experiments were performed with an applied potential, where the expected current density was 10 mA cm−2. As shown in Figure 3, the current density of the catalyst 1-modified GCE was maintained at ≥90 % for 12 h. However, the current density of the catalyst 1/rGO composite-modified GCE was maintained at ≥64 % for 12 h, which was worse than that of catalyst 1 alone. According to the X-ray photoelectron spectroscopy (XPS) analysis, which will be described in the next section, there are no significant structural changes between the samples with/without rGO and before/after the electrochemical treatments. Therefore, these results suggested that the interaction between catalyst 1 and the electrode was stronger than the one between the catalyst 1/rGO complex and the electrode; thus, this settlement could be maintained even during vigorous gas evolution reactions.

3. Discussion

Recently, we reported a highly active new OER electrocatalyst, cobalt cinnamate, [Co7(trans-cinnamate)14(H2O)2], in which the π–π orbital delocalization of the trans-cinnamate ligand allowed for fast charge transfer through the 3D structure, followed by electron flexibility near the metal center, which improved the OER activity [14,19,20,21]. Pyridine ligands may have a template effect on the formation of the skeletal structure, depending on the size and shape of the amine used, and may have various levels of structural diversity when used as ligands. Therefore, the addition of a pyridine ligand during the formation of coordination polymers, including MOFs, is expected to bring various structural changes while maintaining electrocatalytic properties.
In this study, a new cobalt complex, abbreviated as 1, was prepared by using trans-cinnamate and 2-aminopyrimidine ligands. In compound 1, the π–π orbital delocalization was modulated compared to cobalt cinnamate, [Co7(trans-cinnamate)14(H2O)2], by introducing 2-aminopyrimidine ligands. The 2-aminopyrimidine ligand is also stabilized by the π–π orbital delocalization. Although the comparison of electrical effects between the two ligands is indirect, considering that pure nitrogen is a better electron-donating element than oxygen, it is predicted that the nitrogen of 2-aminopyrimidine can have a rather strong metal–nitrogen bond compared to the oxygen of trans-cinnamate. This Co coordination environment of 1 in electron-rich environments was somewhat disadvantageous compared to that of cobalt cinnamate. Therefore, catalyst 1 may show relatively lower activity than the previously reported cobalt cinnamate (with or without rGO with a VJ of 327 and 358 mV, respectively) [15]. In spite of that, catalyst 1 is still a good electrocatalyst for OERs compared to IrO2, as shown in Figure 4 and Figure 5.
In addition, the rGO supporter, which is a widely used carbon-based supporter, was introduced to reinforce the effectiveness of insufficient π–π stacking interactions and increase stability. As a result of the participation of the rGO supporter, the onset potential was improved, as shown in Figure 2. The reduced overpotential with the rGO supporter seemed to be due to a strong interaction between the catalyst 1 and rGO, such as additional π–π stacking interactions between the ligand and rGO. On the other hand, a reduction in the overpotential was also seen in the CoO/rGO and IrO2/rGO composites. This was thought to be because the mixing of rGO increased the electrical conductivity of CoO or IrO2 on the electrode surface.
As shown in Figure 3, the catalyst 1/rGO composite has relatively low stability compared to the excellent stability of catalyst 1 because the interaction between catalyst 1 and the electrode is stronger than the interaction between the rGO and the electrode.
To identify the enhanced electrocatalytic activity based on the electronic structure modulation of the catalysts, X-ray photoelectron spectroscopy (XPS) analyses before and after the OER measurements were performed. Figure 4 and Figure 5 show the XPS spectra for C, N, O, and Co of catalyst 1 with or without an rGO supporter.
As shown in Figure 4 and Figure 5, the main C 1s peaks were obtained at ~284.8 eV (blue line) in the catalyst 1/rGO composite and at ~292.0 eV (red line) in catalyst 1 alone. Since the peak at 284.8 eV represents C in highly oriented pyrolytic graphite (HOPG) [24], this seems to be due to the rGO supporter. The peaks at 292.0 eV represent C connected to highly electronegative atoms (e.g., CF2, CO32−) [24], which seems to be due to the Nafion and cinnamate parts. Therefore, the increment of peak size (counts) in the whole binding energy region and the shift in the main peak from 292.0 to 284.8 eV indicated the successive introduction of the rGO supporter into the catalyst. [15] However, there was no significant change in the position or size of the peaks before and after the electrochemical measurements. For N, O, Co, and C, there were few differences in the chemical states before and after the electrochemical measurements.
For N, the main N 1s peaks were obtained at ~399.8 eV in both cases and before/after the electrochemical measurements, which seemed to correspond to the N 1s peak at ~398.3 eV, as mentioned in the literature [25]. The N 1s peaks were not significantly shifted after the composite formation.
The O 1s peaks were observed at ~529.4 (green line) and ~531.1 eV (red line), representing the lattice oxygen and oxygen vacancy (defect), respectively [26,27]. For catalyst 1, the strongest peak corresponding to the oxygen vacancy (at ~531.1 eV) was still retained after the rGO composite formation. The existence of a large area of the peak at ~531.1 eV implied the existence of oxygen vacancies and a high electrocatalytic activity of the composite and catalyst 1 [26]. In the case of catalyst 1 alone, the small peak at ~533.4 eV that appeared more prominent indicated that a different oxidation state of oxygen was available.
The Co 2p peaks of catalyst 1 were observed at ~780.2 and ~794.8 eV with small satellite peaks before and after the electrochemical measurements. For the catalyst 1/rGO composite, the Co 2p peaks appeared at a lower binding energy region, between ~778.3 and ~793.8 eV, than that of catalyst 1, which revealed the electronic interaction between the catalyst and rGO [28].
Therefore, the XPS analyses suggested that catalyst 1 has enhanced oxygen vacancies and a more exposed Co center, which can improve the electrocatalytic activity toward OERs.

4. Materials and Methods

4.1. Reagents

Cobalt (II) chloride hexahydrate (99.9%) was purchased from Alfa Aesar (Haverhill, MA, USA). Aldrich supplied the 2-aminopyrimidine (97%) reagent (St. Louis, MO, USA), and trans-cinnamic acid (99+%) was obtained from Acros Organics (Geel, Antwerp, Belgium). All chemicals were used as received.

4.2. Preparation of Electrocatalyst

The catalysts were synthesized by mixing cobalt (II) chloride hexahydrate (0.284 g, 1.2 mmol), 2-aminopyrimidine (0.348 g, 3.6 mmol), trans-cinnamic acid (0.088 g, 0.6 mmol), and distilled water (1.0 mL). The obtained solution was sealed in a Pyrex ® tube, heated to 100 °C for 68 h, and finally cooled to room temperature at a rate of 20 °C/h. The pH of the solution before and after the reaction was ~4 and ~7, respectively. The solid products were recovered from the solution by employing vacuum filtration and then washed with ethanol. Red polyhedral-shaped crystals of Co2(trans-cinnamate)4(2-aminopyrimidine)2(H2O)·2.5H2O (referred to as 1) and unidentified pink ribbon-shaped crystals were obtained. Due to their large size, the two types of solid products were manually separated using a microscope (~millimeter scale). Energy-dispersive X-ray spectroscopy (EDS) analyses confirmed the presence of Co in 1. For 1: elemental analysis (%) calculated: C 58.78, H 7.59, N 10.55, and O 12.05; found: C 56.83, H 7.15, N 9.98, and O 11.80. IR(KBr): 3315 s, 3285 s, 3174 m, 3061 w, 3022 w, 2958 m, 2927 m, 2858 m, 1637 m, 1597 m, 1538 s, 1462 m, 1445 m, 1434 m, 1380 s, 1338 m, 1306 w, 1263 w, 1207 w, 1139 s, 1039 w, 1073 w, 1207 s, 1002 w, 984 m, 926 m, 895 s, 862 m, 815 w, 779 s, 745 w, 707 m, 688 m, 674 m, 634 m, 590 m, 555 m, 521 m, and 500 m cm−1.

4.3. Single Crystal Structure Determinations

The single-crystal X-ray analysis was performed using a Siemens SMART diffractometer (Siemens AG, Munich, Germany) outfitted with an Apex II area detector and a graphite-monochromatized Mo Kα radiation. The structures were determined by employing direct methods and then refined by SHELXS and ShelXle with the SHELXL plug-in [29,30,31]. The hydrogen atoms of trans-cinnamate and 2-aminopyrimidine were generated geometrically and allowed to ride on their respective parent atoms. The oxygen atoms of the lattice water molecules were refined isotopically owing to their heavily disordered behavior and low occupancy. All crystal data are summarized in Table S1. The Cambridge Crystallographic Data Center (CCDC) reference number for 1 is 2232776. The data can be obtained free of charge from the CCDC. The crystallographic details, atomic coordinates, selected bond distances, and angles are given in Tables S1–S3.

4.4. Electrochemical Characterization

A glassy carbon electrode (GCE) (with a diameter of 5 mm; Pine Research Instrumentation, Durham, NC, USA) was used as a support for the catalysts. The loading sample solution with a concentration of 2 mg/mL was prepared by dissolving each powder of 1, IrO2, and CoO in an ethanol/water (1:1 v/v) solution. In both cases, 20 µL of Nafion was added and ultrasonicated for 30 min. Finally, 7 µL of the loading sample solution was dropped onto the cleaned GCE and dried for 1 d.
A three-electrode cell consisting of a Pt wire counter electrode, a catalyst-modified GCE, and an Ag/AgCl (1 M KCl; 0.235 V vs. NHE) reference electrode were used for the electrochemical experiments. The electrolyte solution for the OER was O2-saturated 0.1 M KOH, and its solution resistance obtained from the conductivity measurement was ~42 Ω. The 100 % IR-compensated potentials were reported vs. the reversible hydrogen electrode (RHE) and calculated using the following equation:
RHE = E (vs. Ag/AgCl) + 0.059 × pH + 0.235 V

4.5. Instruments

The powder X-ray diffraction (XRD) analyses were performed using a Rigaku Ultra X-ray diffractometer (Applied Rigaku Technologies, Austin, TX, USA) equipped with Cu Kα radiation. The infrared spectra (IR) were recorded using the KBr pellet method on a Nicolet 6700 FT-IR spectrometer (Thermo Fisher Scientific, Waltham, MA, USA) in the range of 400–4000 cm−1. The XPS was measured using a Thermo Scientific K-Alpha X-ray photoelectron spectrometer (Waltham, MA, USA). The samples were drop-casted onto an indium tin oxide (ITO) electrode for the electrochemical treatments. The elemental analyses of 1 were performed at Sogang University. All electrochemical measurements with the rotating disk electrode (RDE) were performed using a CHI model 750d potentiostat (CH Instruments, Austin, TX, USA) and an RRDE-3A (ALS Co., Ltd., Tokyo, Japan).

5. Conclusions

We demonstrated the electrocatalytic activity of a new 1D cobalt cinnamate complex consisting of 2-aminopyrimidine with/without an rGO supporter for OERs. The unique tetrameric Co4 units consisting of π-conjugated trans-cinnamate and 2-aminopyrimidine were expected to exhibit similar electrochemical activities. Similar to the trans-cinnamate anion, the molecular 2-aminopyrimidine ligand exhibits a π–π delocalized structure, which appears to have an effect on the formation of a Co–O/N environment, which is crucial for catalytic activity. Therefore, the electronic structure modulation of Co by effective electron conjugation with both trans-cinnamate and 2-aminopyrimidine ligands could provide a great electrocatalytic behavior with a small overpotential and Tafel slope. In addition, the improvement of the electrocatalytic properties of the composite was due to the feasible chemical interactions between the rGO supporter and the π-conjugated groups of the ligand. Exploring new metal complexes by introducing various π–π delocalized organic ligands could provide a new direction for improving electrocatalytic activity. In future studies, it will be possible to improve the electrocatalytic activity of the catalyst by controlling the three-dimensional structure or the electronic structure modulation of its metal center through the introduction of a ligand derivative and central metal substitution.

6. Patents

This section is not mandatory; however, it may be added if there are patents resulting from the work reported in this manuscript.

Supplementary Materials

The following supporting information can be downloaded at: https://www.mdpi.com/article/10.3390/catal13030507/s1, Tables S1–S3: Crystal data and structure refinement details, atomic coordinates, and selected bond lengths and angles for 1; Figure S1: Powder XRD pattern of 1; Figure S2: IR of 1.

Author Contributions

Conceptualization, S.J.K. and J.D.; methodology, J.L. and H.S.; investigation, J.L., H.S., S.G. and S.L.; data curation, K.M.O.; writing—original draft preparation, J.D. and S.J.K.; writing—review and editing, J.D. and S.J.K.; supervision, J.D. and S.J.K. All authors have read and agreed to the published version of the manuscript.

Funding

This research was supported by the National Research Foundation of Korea (NRF) grant funded by the Korean government (MSIT) (2021R1A2C1013995, 2021R1F1A1060277).

Conflicts of Interest

The authors declare no conflict of interest.

References

  1. Wang, Y.; Chen, K.S.; Mishler, J.; Cho, S.C.; Adroher, X.C. A review of polymer electrolyte membrane fuel cells: Technology, applications, and needs on fundamental research. Appl. Energy 2011, 88, 981–1007. [Google Scholar] [CrossRef]
  2. Chu, S.; Majumdar, A. Opportunities and challenges for a sustainable energy future. Nature 2012, 488, 294–303. [Google Scholar] [CrossRef] [PubMed]
  3. Fillol, J.L.; Codolà, Z.; Garcia-Bosch, I.; Gómez, L.; Pla, J.J.; Costas, M. Efficient water oxidation catalysts based on readily available iron coordination complexes. Nat. Chem. 2011, 3, 807–813. [Google Scholar] [CrossRef]
  4. Bai, Y.; Liu, C.; Shan, Y.; Chen, T.; Chen, T.; Zhao, Y.; Yu, C.; Pang, H. Metal-organic frameworks nanocomposites with different dimensionalities for energy conversion and storage. Adv. Energy Mater. 2021, 12, 2100346. [Google Scholar] [CrossRef]
  5. Li, X.; Yang, X.; Xue, H.; Pang, H. Metal–organic frameworks as a platform for clean energy applications. EnergyChem 2020, 2, 100027. [Google Scholar] [CrossRef]
  6. Oh, S.H.; Black, R.; Pomerantseva, E.; Lee, J.-H.; Nazar, L.F. Synthesis of a metallic mesoporous pyrochlore as a catalyst for lithium–O2 batteries. Nat. Chem. 2012, 4, 1004–1010. [Google Scholar] [CrossRef]
  7. Li, Y.; Zhang, X.; Zheng, Z. A review of transition metal oxygen-evolving catalysts decorated by cerium-based materials: Current status and future prospects. CCS Chem. 2022, 4, 31–53. [Google Scholar] [CrossRef]
  8. Reier, T.; Oezaslan, M.; Strasser, P. Electrocatalytic oxygen evolution reaction (OER) on Ru, Ir, and Pt catalysts: A comparative study of nanoparticles and bulk materials. ACS Catal. 2012, 2, 1765–1772. [Google Scholar] [CrossRef]
  9. Lee, Y.; Suntivich, J.; May, K.J.; Perry, E.E.; Shao-Horn, Y. Synthesis and activities of rutile IrO2 and RuO2 nanoparticles for oxygen evolution in acid and alkaline solutions. J. Phys. Chem. Lett. 2012, 3, 399–404. [Google Scholar] [CrossRef] [PubMed]
  10. Subbaraman, R.; Tripkovic, D.; Chang, K.-C.; Strmcnik, D.; Paulikas, A.P.; Hirunsit, P.; Chan, M.; Greeley, J.; Stamenkovic, V.; Markovic, N.M. Trends in activity for the water electrolyser reactions on 3d M(Ni,Co,Fe,Mn) hydr(oxy)oxide catalysts. Nat. Mater. 2012, 11, 550–557. [Google Scholar] [CrossRef] [PubMed]
  11. Han, L.; Dong, S.; Wang, E. Transition-Metal (Co, Ni, and Fe)-Based Electrocatalysts for the Water Oxidation Reaction. Adv. Mater. 2016, 28, 9266–9291. [Google Scholar] [CrossRef]
  12. Li, S.-L.; Xu, Q. Metal–Organic frameworks as platforms for clean energy. Energy Environ. Sci. 2013, 6, 1656–1683. [Google Scholar] [CrossRef]
  13. Jiao, L.; Wang, Y.; Jiang, H.; Xu, Q. Metal-organic frameworks as platforms for catalytic applications. Adv. Mater. 2018, 30, 1703663–1703685. [Google Scholar] [CrossRef]
  14. Kang, J.; Lee, M.J.; Oh, N.G.; Shin, J.; Kwon, S.J.; Chun, H.; Kim, S.-J.; Yun, H.; Jo, H.; Ok, K.M.; et al. I3O0-type 3D framework of cobalt cinnamate and its efficient electrocatalytic activity toward oxygen evolution reaction. Chem. Mater. 2021, 33, 2804–2813. [Google Scholar] [CrossRef]
  15. Lee, M.J.; Kim, J.; Kang, J.; Shin, H.; Do, J.; Kwon, S.J. Electrocatalytic Activity of Reduced Graphene Oxide Supported Cobalt Cinnamate for Oxygen Evolution Reaction. Energies 2021, 14, 5020. [Google Scholar] [CrossRef]
  16. He, D.; Song, X.; Li, W.; Tang, C.; Liu, J.; Ke, Z.; Jiang, C.; Xiao, X. Active Electron Density Modulation of Co3O4-Based Catalysts Enhances their Oxygen Evolution Performance. Angew. Chem. Int. Ed. 2020, 59, 6929–6935. [Google Scholar] [CrossRef] [PubMed]
  17. Si Liu, S.; Lei, Y.-J.; Xin, Z.-J.; Xiang, R.-J.; Styring, S.; Thapper, A.; Wang, H.-Y. Ligand modification to stabilize the cobalt complexes for water oxidation. Int. J. Hydrog. Energy 2017, 42, 29716–29724. [Google Scholar] [CrossRef]
  18. Treadway, J.A.; Loeb, B.; Lopez, R.; Anderson, P.A.; Keene, F.R.; Meyer, T.J. Effect of delocalization and rigidity in the acceptor ligand on MLCT excited-state decay. Inorg. Chem. 1996, 35, 2242–2246. [Google Scholar] [CrossRef]
  19. Yun, S.; Lee, S.; Shin, C.; Park, S.; Kwon, S.J.; Park, H.S. One-pot self-assembled, reduced graphene oxide/palladium nanoparticle hybrid aerogels for electrocatalytic applications. Electrochim. Acta 2015, 180, 902–908. [Google Scholar] [CrossRef]
  20. Huang, X.; Qi, X.; Boey, F.; Zhang, H. Graphene-based composites. Chem. Soc. Rev. 2012, 41, 666–686. [Google Scholar] [CrossRef] [PubMed]
  21. Abidat, I.; Cazayus, E.; Loupias, L.; Morais, C.; Comminges, C.; Napporn, T.W.; Portehault, D.; Durupthy, O.; Mamede, A.-S.; Chanéac, C.; et al. Co3O4/rGO catalysts for oxygen electrocatalysis: On the role of the oxide/carbon interaction. J. Electrochem. Soc. 2019, 166, H94–H102. [Google Scholar] [CrossRef]
  22. Brese, N.E.; O’Keeffe, M. Bond-valence parameters for solids. Acta Crystallogr. 1991, 47, 192–197. [Google Scholar] [CrossRef]
  23. Bard, A.J.; Faulkner, L.R. Electrochemical Methods: Fundamentals and Applications, 2nd ed.; John Wiley & Sons: New York, NY, USA, 2001. [Google Scholar]
  24. Al-Gaashani, R.; Najjar, A.; Zakaria, Y.; Mansour, S.; Atieh, M.A. XPS and structural studies of high quality graphene oxide and reduced graphene oxide prepared by different chemical oxidation methods. Ceram. Int. 2019, 45, 14439–14448. [Google Scholar] [CrossRef]
  25. Crist, B.V. Handbook of Monochromatic XPS Spectra: The Elements of Native Oxides; XPS International, Inc.: Mountain View, CA, USA, 1999. [Google Scholar]
  26. Meng, C.; Lin, M.; Sun, X.; Chen, X.D.; Chen, X.M.; Du, X.; Zhou, Y. Laser synthesis of oxygen vacancy-modified CoOOH for highly efficient oxygen evolution. Chem. Commun. 2019, 55, 2904–2907. [Google Scholar] [CrossRef]
  27. Xu, W.; Lyu, F.; Bai, Y.; Gao, A.; Feng, J.; Cai, Z.; Yin, Y. Porous cobalt oxide nanoplates enriched with oxygen vacancies for oxygen evolution reaction. Nano Energy 2018, 43, 110–116. [Google Scholar] [CrossRef]
  28. Pan, S.; Mao, X.; Yu, J.; Hao, L.; Du, A.; Li, B. Remarkably improved oxygen evolution reaction activity of cobalt oxides by an Fe ion solution immersion process. Inorg. Chem. Front. 2020, 7, 3327–3339. [Google Scholar] [CrossRef]
  29. Sheldrick, G.M. A short history of SHELX. Acta Crystallogr. 2008, 64, 112–122. [Google Scholar] [CrossRef]
  30. Spek, A.L. Structure validation in chemical crystallography. Acta Crystallogr. 2009, 65, 148–155. [Google Scholar] [CrossRef] [PubMed]
  31. Sheldrick, G.M. SHELXT—Integrated space-group and crystal-structure determination. Acta Crystallogr. 2015, 71, 3–8. [Google Scholar] [CrossRef]
Figure 1. (a) Displacement ellipsoids of the molecular structure of 1, drawn at a 30% probability level. The hydrogen atoms are omitted for clarity. The carbon, oxygen, nitrogen, and cobalt atoms are shown as gray, red, blue, and cyan spheres, respectively. (b) A chain of 1 is formed along the a-axis. The cyan polyhedra represent the cobalt atoms. (c) A view of the interlayer packing in 1. Two bonding colors are shown to simply distinguish the different chains.
Figure 1. (a) Displacement ellipsoids of the molecular structure of 1, drawn at a 30% probability level. The hydrogen atoms are omitted for clarity. The carbon, oxygen, nitrogen, and cobalt atoms are shown as gray, red, blue, and cyan spheres, respectively. (b) A chain of 1 is formed along the a-axis. The cyan polyhedra represent the cobalt atoms. (c) A view of the interlayer packing in 1. Two bonding colors are shown to simply distinguish the different chains.
Catalysts 13 00507 g001
Scheme 1. Connectivity of Co and ligands (water, trans-cinnamate, and 2-aminopyrimidine) in forming chains. Only the carboxylate group in the trans-cinnamate and the N atom in the terminal 2-aminopyrimidine are shown for clarity.
Scheme 1. Connectivity of Co and ligands (water, trans-cinnamate, and 2-aminopyrimidine) in forming chains. Only the carboxylate group in the trans-cinnamate and the N atom in the terminal 2-aminopyrimidine are shown for clarity.
Catalysts 13 00507 sch001
Figure 2. (a) Linear sweep voltammetry (LSV) and (b) Tafel plots of bare (black solid) glassy carbon electrodes (GCEs), catalyst 1/rGO composite- (red solid), catalyst 1-(red dashed), CoO/rGO composite-(blue solid), CoO-(blue dashed), IrO2/rGO composite-(green solid), and IrO2-(green dashed) modified GCE in the OER. The electrolyte solution was O2-saturated 0.1 M KOH. A scan rate of 100 mV/s and a rotation rate of 1600 rpm were used for the rotating disk electrode (RDE). All potentials were reported after the IR compensation.
Figure 2. (a) Linear sweep voltammetry (LSV) and (b) Tafel plots of bare (black solid) glassy carbon electrodes (GCEs), catalyst 1/rGO composite- (red solid), catalyst 1-(red dashed), CoO/rGO composite-(blue solid), CoO-(blue dashed), IrO2/rGO composite-(green solid), and IrO2-(green dashed) modified GCE in the OER. The electrolyte solution was O2-saturated 0.1 M KOH. A scan rate of 100 mV/s and a rotation rate of 1600 rpm were used for the rotating disk electrode (RDE). All potentials were reported after the IR compensation.
Catalysts 13 00507 g002
Figure 3. Chronoamperograms of the catalyst 1/rGO composite- (red) and catalyst 1-modified (black) GCEs during the OER. The electrolyte solution was O2-saturated 0.1 M KOH. The rotation rate of RDE was 1600 rpm.
Figure 3. Chronoamperograms of the catalyst 1/rGO composite- (red) and catalyst 1-modified (black) GCEs during the OER. The electrolyte solution was O2-saturated 0.1 M KOH. The rotation rate of RDE was 1600 rpm.
Catalysts 13 00507 g003
Figure 4. XPS spectra for (a) C 1s, (b) N 1s, (c) O 1s, and (d) Co 2p regions using a catalyst 1/rGO composite-modified indium tin oxide (ITO) electrode before and after electrochemical measurements. The colored lines show the result of deconvolution.
Figure 4. XPS spectra for (a) C 1s, (b) N 1s, (c) O 1s, and (d) Co 2p regions using a catalyst 1/rGO composite-modified indium tin oxide (ITO) electrode before and after electrochemical measurements. The colored lines show the result of deconvolution.
Catalysts 13 00507 g004
Figure 5. XPS spectra for (a) C 1s, (b) N 1s, (c) O 1s, and (d) Co 2p regions using a catalyst 1-modified ITO electrode before and after electrochemical measurements. The colored lines show the result of deconvolution.
Figure 5. XPS spectra for (a) C 1s, (b) N 1s, (c) O 1s, and (d) Co 2p regions using a catalyst 1-modified ITO electrode before and after electrochemical measurements. The colored lines show the result of deconvolution.
Catalysts 13 00507 g005aCatalysts 13 00507 g005b
Table 1. Overpotential and Tafel slope of the electrocatalysts.
Table 1. Overpotential and Tafel slope of the electrocatalysts.
CatalystVJ
(V at J = 10 mA cmgeo−2) 1
Tafel Slope
(mV dec−1)
Catalyst 1/rGO386 mV64
Catalyst 1426 mV73
CoO/rGO526 mV119
CoO558 mV157
IrO2/rGO341 mV116
IrO2405 mV134
1 The geometric area of the electrode, which was 0.196 cm2, was used for the calculations.
Disclaimer/Publisher’s Note: The statements, opinions and data contained in all publications are solely those of the individual author(s) and contributor(s) and not of MDPI and/or the editor(s). MDPI and/or the editor(s) disclaim responsibility for any injury to people or property resulting from any ideas, methods, instructions or products referred to in the content.

Share and Cite

MDPI and ACS Style

Lee, J.; Shin, H.; Geum, S.; Lee, S.; Ok, K.M.; Do, J.; Kwon, S.J. Synthesis of Cobalt Complex Containing Trans-Cinnamate and Its Electrocatalytic Activity for Oxygen Evolution Reaction. Catalysts 2023, 13, 507. https://doi.org/10.3390/catal13030507

AMA Style

Lee J, Shin H, Geum S, Lee S, Ok KM, Do J, Kwon SJ. Synthesis of Cobalt Complex Containing Trans-Cinnamate and Its Electrocatalytic Activity for Oxygen Evolution Reaction. Catalysts. 2023; 13(3):507. https://doi.org/10.3390/catal13030507

Chicago/Turabian Style

Lee, Jimin, Hyewon Shin, Sunwoo Geum, Sowon Lee, Kang Min Ok, Junghwan Do, and Seong Jung Kwon. 2023. "Synthesis of Cobalt Complex Containing Trans-Cinnamate and Its Electrocatalytic Activity for Oxygen Evolution Reaction" Catalysts 13, no. 3: 507. https://doi.org/10.3390/catal13030507

APA Style

Lee, J., Shin, H., Geum, S., Lee, S., Ok, K. M., Do, J., & Kwon, S. J. (2023). Synthesis of Cobalt Complex Containing Trans-Cinnamate and Its Electrocatalytic Activity for Oxygen Evolution Reaction. Catalysts, 13(3), 507. https://doi.org/10.3390/catal13030507

Note that from the first issue of 2016, this journal uses article numbers instead of page numbers. See further details here.

Article Metrics

Back to TopTop