Gold Complexes with Hydrophilic N-Heterocyclic Carbene Ligands and Their Contribution to Aqueous-Phase Catalysis
Abstract
1. Introduction
2. N-Heterocyclic Carbene Ligands Functionalized with Ionic Groups
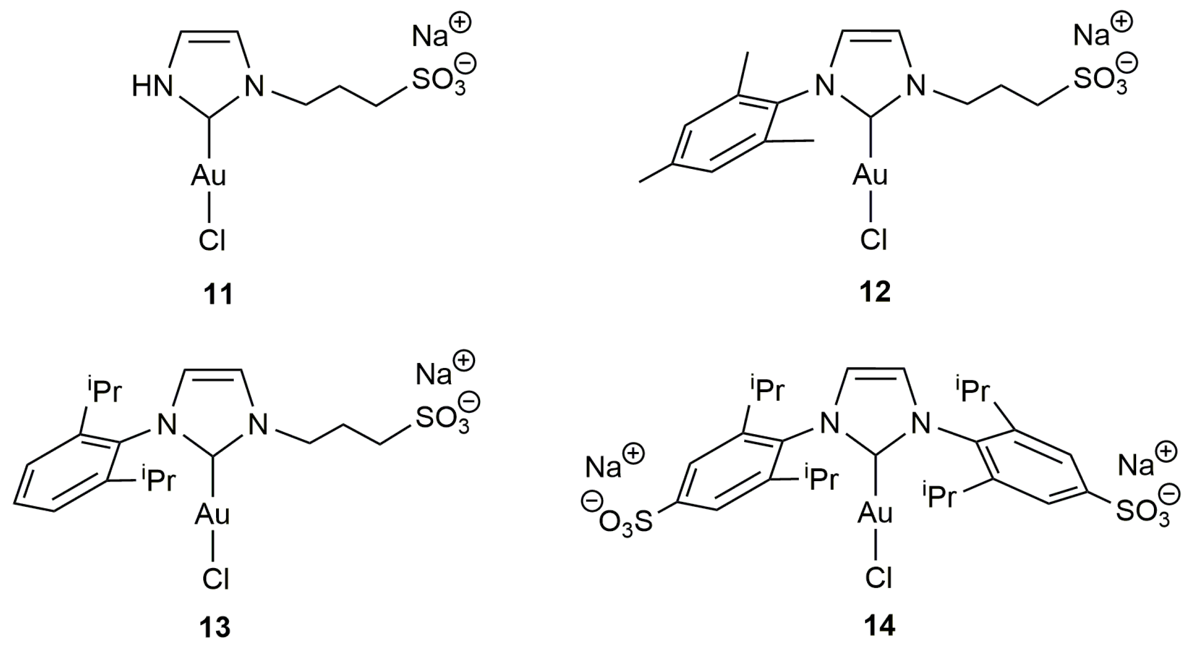
2.1. Sulfonate-Tagged NHC Ligands
2.2. Ammonium-Tagged NHC Ligands
3. N-Heterocyclic Carbene Ligands Functionalized with Neutral Hydrophilic Groups
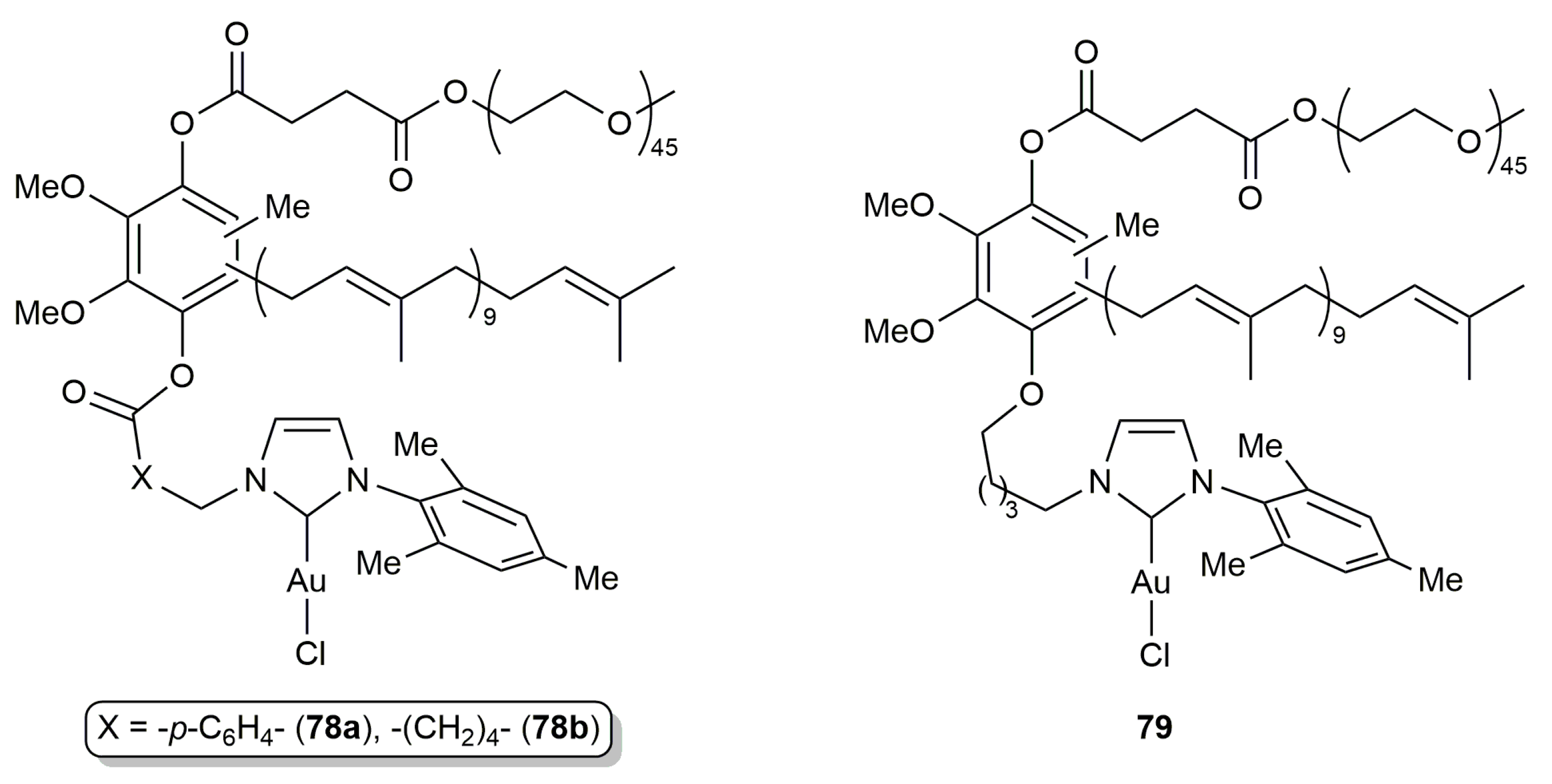
3.1. PEG-Tagged NHC Ligands
3.2. Alcohol-Tagged NHC Ligands
3.3. Carbohydrate-Tagged NHC Ligands
4. Conclusions
Author Contributions
Funding
Institutional Review Board Statement
Informed Consent Statement
Data Availability Statement
Conflicts of Interest
References
- Horváth, I.T.; Joó, F. (Eds.) Aqueous Organometallic Chemistry and Catalysis; Kluwer Academic Publishers: Dordrecht, The Netherlands, 1995. [Google Scholar]
- Cornils, B.; Herrmann, W.A. (Eds.) Aqueous-Phase Organometallic Catalysis: Concepts and Applications, 2nd ed.; Wiley-VCH: Weinheim, Germany, 2004. [Google Scholar]
- Cornils, B.; Herrmann, W.A.; Horváth, I.T.; Leitner, W.; Mecking, S.; Olivier-Bourbigou, H.; Vogt, D. (Eds.) Multiphase Homogeneous Catalysis; Wiley-VCH: Weinheim, Germany, 2005. [Google Scholar]
- Dixneuf, P.H.; Cadierno, V. (Eds.) Metal-Catalyzed Reactions in Water; Wiley-VCH: Weinheim, Germany, 2013. [Google Scholar]
- Gonsalvi, L. (Ed.) Homogeneous Catalysis and Mechanisms in Water and Biphasic Media; MDPI: Basel, Switzerland, 2019. [Google Scholar]
- Cornils, B.; Kuntz, E.G. Introducing TPPTS and related ligands for industrial biphasic processes. J. Organomet. Chem. 1995, 502, 177–186. [Google Scholar] [CrossRef]
- Butler, R.N.; Coyne, A.G. Water: Nature’s reaction enforcer-comparative effects for organic synthesis “in-water” and “on-water”. Chem. Rev. 2010, 110, 6302–6337. [Google Scholar] [CrossRef] [PubMed]
- Kalck, P.; Monteil, F. Use of water-soluble ligands in homogeneous catalysis. Adv. Organomet. Chem. 1992, 34, 219–284. [Google Scholar]
- Herrmann, W.A.; Kohlpaintner, C.W. Water-soluble ligands, metal complexes, and catalysis: Synergism of homogeneous and heterogeneous catalysis. Angew. Chem. Int. Ed. Engl. 1993, 32, 1524–1544. [Google Scholar] [CrossRef]
- Pinault, N.; Bruce, D.W. Homogeneous catalysts based on water-soluble phosphines. Coord. Chem. Rev. 2003, 241, 1–25. [Google Scholar] [CrossRef]
- Phillips, A.D.; Gonsalvi, L.; Romerosa, A.; Vizza, F.; Peruzzini, M. Coordination chemistry of 1,3,5-triaza-7-phosphaadamantane (PTA): Transition metal complexes and related catalytic, medicinal and photoluminescent applications. Coord. Chem. Rev. 2004, 248, 955–993. [Google Scholar] [CrossRef]
- Shaughnessy, K.H. Hydrophilic ligands and their application in aqueous-phase metal-catalyzed reactions. Chem. Rev. 2009, 109, 643–710. [Google Scholar] [CrossRef]
- Tilloy, S.; Binkowski-Machut, C.; Menuel, S.; Bricout, H.; Monflier, E. Phosphane-based cyclodextrins as mass transfer agents and ligands for aqueous organometallic catalysis. Molecules 2012, 17, 13062–13072. [Google Scholar] [CrossRef]
- Schlatzer, T.; Breinbauer, R. Synthesis of hydrophilic phosphorus ligands and their application in aqueous-phase metal-catalyzed reactions. Adv. Synth. Catal. 2021, 363, 668–687. [Google Scholar] [CrossRef]
- Nolan, S.P. (Ed.) N-Heterocyclic Carbenes in Synthesis; Wiley-VCH: Weinheim, Germany, 2006. [Google Scholar]
- Glorius, F. (Ed.) N-Heterocyclic Carbenes in Transition Metal Catalysis; Springer: Heidelberg, Germany, 2007. [Google Scholar]
- Cazin, C.S.J. (Ed.) N-Heterocyclic Carbenes in Transition Metal Catalysis and Organocatalysis; Springer: Dordrecht, The Netherlands, 2011. [Google Scholar]
- Nolan, S.P. (Ed.) N-Heterocyclic Carbenes: Effective Tools for Organometallic Synthesis; Wiley-VCH: Weinheim, Germany, 2014. [Google Scholar]
- Díez-González, S. (Ed.) N-Heterocyclic Carbenes: From Laboratory Curiosities to Efficient Synthetic Tools, 2nd ed.; RSC Publishing: Cambridge, UK, 2017. [Google Scholar]
- Smith, C.A.; Narouz, M.R.; Lummis, P.A.; Singh, I.; Nazemi, A.; Li, C.-H.; Crudden, C.M. N-Heterocyclic carbenes in materials chemistry. Chem. Rev. 2019, 119, 4986–5056. [Google Scholar] [CrossRef]
- An, Y.-Y.; Yu, J.-G.; Han, Y.-F. Recent advances in the chemistry of N-heterocyclic-carbene-functionalized metal-nanoparticles and their applications. Chin. J. Chem. 2019, 37, 76–87. [Google Scholar] [CrossRef]
- Cerezo-Navarrete, C.; Lara, P.; Martínez-Prieto, L.M. Organometallic nanoparticles ligated by NHCs: Synthesis, surface chemitry and ligand effects. Catalysts 2020, 10, 1144. [Google Scholar] [CrossRef]
- Eisen, C.; Chin, J.M.; Reithofer, M.R. Catalytically active gold nanomaterials stabilized by N-heterocyclic carbenes. Chem. Asian J. 2021, 16, 3026–3037. [Google Scholar] [CrossRef]
- Shen, H.; Tian, G.; Xu, Z.; Wang, L.; Wu, Q.; Zhang, Y.; Teo, B.K.; Zheng, N. N-Heterocyclic carbene coordinated metal nanoparticles and nanoclusters. Coord. Chem. Rev. 2022, 458, 214425. [Google Scholar] [CrossRef]
- Herrmann, W.A.; Gooβen, L.J.; Spiegler, M. Functionalized imidazoline-2-ylidene complexes of rhodium and palladium. J. Organomet. Chem. 1997, 547, 357–366. [Google Scholar] [CrossRef]
- Velazquez, H.D.; Verpoort, F. N-Heterocyclic transition metal complexes for catalysis in aqueous media. Chem. Soc. Rev. 2012, 41, 7032–7060. [Google Scholar] [CrossRef]
- Schaper, L.-A.; Hock, S.J.; Herrmann, W.A.; Kühn, F.E. Synthesis and application of water-soluble NHC transition-metal complexes. Angew. Chem. Int. Ed. 2013, 52, 270–289. [Google Scholar] [CrossRef]
- Levin, E.; Ivry, E.; Diesendruck, C.E.; Lemcoff, N.G. Water in N-heterocyclic carbene-assisted catalysis. Chem. Rev. 2015, 115, 4607–4692. [Google Scholar] [CrossRef] [PubMed]
- Wang, W.; Cui, L.; Sun, P.; Shi, L.; Yue, C.; Li, F. Reusable N-heterocyclic carbene complex catalysts and beyond: A perspective on recycling strategies. Chem. Rev. 2018, 118, 9843–9929. [Google Scholar] [CrossRef] [PubMed]
- De, S.; Udvardy, A.; Czégéni, C.E.; Joó, F. Poly-N-heterocyclic carbene complexes with applications in aqueous media. Coord. Chem. Rev. 2019, 400, 213038. [Google Scholar] [CrossRef]
- Flores, J.C.; Silbestri, G.F.; de Jesús, E. Water-soluble transition-metal complexes with hydrophilic N-heterocyclic carbene ligands for aqueous-phase applications. Adv. Organomet. Chem. 2022, 77, 169–242. [Google Scholar]
- Hashmi, A.S.K. Gold-catalyzed organic reactions. Chem. Rev. 2007, 107, 3180–3211. [Google Scholar] [CrossRef] [PubMed]
- Arcadi, A. Alternative synthetic methods through new developments in catalysis by gold. Chem. Rev. 2008, 108, 3266–3325. [Google Scholar] [CrossRef] [PubMed]
- Gorin, D.J.; Sherry, B.D.; Toste, F.D. Ligand effects in homogeneous Au catalysis. Chem. Rev. 2008, 108, 3351–3378. [Google Scholar] [CrossRef] [PubMed]
- Corma, A.; Leyva-Pérez, A.; Sabater, M.J. Gold-catalyzed carbon-heteroatom bond-forming reactions. Chem. Rev. 2011, 111, 1657–1712. [Google Scholar] [CrossRef] [PubMed]
- Braun, I.; Asiri, A.M.; Hashmi, A.S.K. Gold catalysis 2.0. ACS Catal. 2013, 3, 1902–1907. [Google Scholar] [CrossRef]
- Zi, W.; Toste, F.D. Recent advances in enantioselective gold catalysis. Chem. Soc. Rev. 2016, 45, 4567–4589. [Google Scholar] [CrossRef]
- Pflaesterer, D.; Hashmi, A.S.K. Gold catalysis in total synthesis—Recent achievements. Chem. Soc. Rev. 2016, 45, 1331–1367. [Google Scholar] [CrossRef]
- Shahzad, S.A.; Sajid, M.A.; Khan, Z.A.; Canseco-González, D. Gold catalysis in organic transformations: A review. Synth. Commun. 2017, 47, 735–755. [Google Scholar] [CrossRef]
- Witzel, S.; Hashmi, A.S.K.; Jin, X. Light in gold catalysis. Chem. Rev. 2021, 121, 8868–8925. [Google Scholar] [CrossRef]
- Michelet, V. Gold-catalyzed reactions towards diversity: From simple substrates to functionalized carbo- and heterocycles. Chem. Rec. 2021, 21, 3884–3896. [Google Scholar] [CrossRef] [PubMed]
- Marion, N.; Nolan, S.P. N-heterocyclic carbenes in gold catalysis. Chem. Soc. Rev. 2008, 37, 1776–1782. [Google Scholar] [CrossRef] [PubMed]
- Nolan, S.P. The development and catalytic uses of N-heterocyclic carbene gold complexes. Acc. Chem. Res. 2011, 44, 91–100. [Google Scholar] [CrossRef] [PubMed]
- Gaillard, S.; Cazin, C.S.J.; Nolan, S.P. N-Heterocyclic carbene gold(I) and copper(I) complexes in C-H bond activation. Acc. Chem. Res. 2012, 45, 778–787. [Google Scholar] [CrossRef] [PubMed]
- Gatineau, D.; Goddard, J.-P.; Mouries-Mansuy, V.; Fensterbank, L. When NHC ligands make a difference in gold catalysis. Isr. J. Chem. 2013, 53, 892–900. [Google Scholar] [CrossRef]
- Tang, X.-T.; Yang, F.; Zhang, T.-T.; Liu, Y.-F.; Liu, S.-Y.; Su, T.-F.; Lv, D.-C.; Shen, W.-B. Recent progress in N-heterocyclic carbene gold-catalyzed reactions of alkynes involving oxidation/amination/cycloaddition. Catalysts 2020, 10, 350. [Google Scholar] [CrossRef]
- Mariconda, A.; Sirignano, M.; Troiano, R.; Russo, S.; Longo, P. N-Heterocyclic carbene gold complexes active in hydroamination and hydration of alkynes. Catalysts 2022, 12, 836. [Google Scholar] [CrossRef]
- Koy, M.; Bellotti, P.; Das, M.; Glorius, F. N-Heterocyclic carbenes as tunable ligands for catalytic metal surfaces. Nat. Catal. 2021, 4, 352–363. [Google Scholar] [CrossRef]
- Kaur, G.; Thimes, R.L.; Camden, J.P.; Jenkins, D.M. Fundamentals and applications of N-heterocyclic carbene functionalized surfaces and nanoparticles. Chem. Commun. 2022, 58, 13188–13197. [Google Scholar] [CrossRef]
- Almássy, A.; Nagy, C.E.; Bényei, A.C.; Joó, F. Novel sulfonated N-heterocyclic carbene gold(I) complexes: Homogeneous gold catalysis for the hydration of terminal alkynes in aqueous media. Organometallics 2010, 29, 2484–2490. [Google Scholar] [CrossRef]
- Czégéni, C.E.; Papp, G.; Kathó, Á.; Joó, F. Water-soluble gold(I)-NHC complexes of sulfonated IMes and SIMes and their catalytic activity in hydration of alkynes. J. Mol. Catal. A: Chem. 2011, 340, 1–8. [Google Scholar] [CrossRef]
- Fernández, G.A.; Picco, A.S.; Ceolín, M.R.; Chopa, A.B.; Silbestri, G.F. Synthesis and structural characterization of water-soluble gold(I) N-heterocyclic carbene complexes. An X-ray absorption fine structure spectroscopy (XAFS) study. Organometallics 2013, 32, 6315–6323. [Google Scholar] [CrossRef]
- Fernández, G.A.; Gurovic, M.S.V.; Olivera, N.L.; Chopa, A.B.; Silbestri, G.F. Antibacterial properties of water-soluble gold(I) N-heterocyclic carbene complexes. J. Inorg. Biochem. 2014, 135, 54–57. [Google Scholar] [CrossRef] [PubMed]
- Fernández, G.A.; Chopa, A.B.; Silbestri, G.F. Structure/catalytic activity study of gold(I)-NHC complexes, recyclable and reusable, in the hydration of alkynes in aqueous medium. Catal. Sci. Technol. 2016, 6, 1921–1929. [Google Scholar] [CrossRef]
- Fernández, G.A.; Dorn, V.; Chopa, A.B.; Silbestri, G.F. Steric hindrance and electronic effects of sulfonatepropyl chain on gold center. An experimental and DFT study. J. Organomet. Chem. 2017, 852, 20–26. [Google Scholar] [CrossRef]
- Fernández, G.A.; Schiel, M.A.; Silbestri, G.F. On the catalytic activity of water-soluble NHC-Au(I) complexes by sonication and microwave irradiation: A comparative assessment. J. Organomet. Chem. 2020, 923, 121452. [Google Scholar] [CrossRef]
- Gastaldi, C.; Mekhloufi, G.; Forano, C.; Gautier, A.; Guérard-Hélaine, C. Mixing chemo- and biocatalysis for rare monosaccharide production by combining alsolase and N-heterocyclic carbene gold catalysts. Green Chem. 2022, 24, 3634–3639. [Google Scholar] [CrossRef]
- Cadierno, V. Recent advances in the transition metal-catalyzed addition of carboxylic acids to alkynes. Curr. Org. Chem. 2021, 25, 2260–2303. [Google Scholar] [CrossRef]
- Francos, J.; Cadierno, V. Metal-catalyzed intra- and intermolecular addition of carboxylic acids to alkynes in aqueous media: A review. Catalysts 2017, 7, 328. [Google Scholar] [CrossRef]
- Cadierno, V. Gold-catalyzed addition of carboxylic acids to alkynes and allenes: Valuable tools for organic synthesis. Catalysts 2020, 10, 1206. [Google Scholar] [CrossRef]
- Tomás-Mendivil, E.; Toullec, P.Y.; Díez, J.; Conejero, S.; Michelet, V.; Cadierno, V. Cycloisomerization versus hydration reactions in aqueous media: A Au(III)-NHC catalyst that makes the difference. Org. Lett. 2012, 14, 2520–2523. [Google Scholar] [CrossRef]
- Tomás-Mendivil, E.; Toullec, P.Y.; Borge, J.; Conejero, S.; Michelet, V.; Cadierno, V. Water-soluble gold(I) and gold(III) complexes with sulfonated N-heterocyclic carbene ligands: Synthesis, characterization, and application in the catalytic cycloisomerization of γ-alkynoic acids into enol-lactones. ACS Catal. 2013, 3, 3086–3098. [Google Scholar] [CrossRef]
- Ferré, M.; Cattoën, X.; Man, M.W.C.; Pleixats, R. Sol-gel immobilized N-heterocyclic carbene gold complex as a recyclable catalyst for the rearrangement of allylic esters and the cycloisomerization of γ-alkynoic acids. ChemCatChem 2016, 8, 2824–2831. [Google Scholar] [CrossRef]
- Thomas, S.R.; Casini, A. N-Heterocyclic carbenes as “smart” gold nanoparticle stabilizers: State-of-the art and perspectives for biomedical applications. J. Organomet. Chem. 2021, 938, 121743. [Google Scholar] [CrossRef]
- Ferry, A.; Schaepe, K.; Tegeder, P.; Richter, C.; Chepiga, K.M.; Ravoo, B.J.; Glorius, F. Negatively charged N-heterocyclic carbene-stabilized Pd and Au nanoparticles and efficient catalysis in water. ACS Catal. 2015, 5, 5414–5420. [Google Scholar] [CrossRef]
- Tegeder, P.; Freitag, M.; Chepiga, K.M.; Muratsugu, S.; Möller, N.; Lamping, S.; Tada, M.; Glorius, F.; Ravoo, B.J. N-Heterocyclic carbene-modified AuPd alloy nanoparticles and their application as biomimetic and heterogeneous catalysts. Chem. Eur. J. 2018, 24, 18682–18688. [Google Scholar] [CrossRef] [PubMed]
- Thomas, S.R.; Yang, W.; Morgan, D.J.; Davies, T.E.; Li, J.J.; Fischer, R.A.; Huang, J.; Dimitratos, N.; Casini, A. Bottom-up synthesis of water-soluble gold nanoparticles stabilized by N-heterocyclic carbenes: From structural characterization to applications. Chem. Eur. J. 2022, 28, e202201575. [Google Scholar] [CrossRef]
- Monti, G.A.; Fernández, G.A.; Correa, N.M.; Falcone, R.D.; Moyano, F.; Silbestri, G.F. Gold nanoparticles stabilized with sulphonated imidazolium salts in water and reverse micelles. R. Soc. Open Sci. 2017, 4, 170481. [Google Scholar] [CrossRef]
- Monti, G.A.; Correa, N.M.; Falcone, R.D.; Silbestri, G.F.; Moyano, F. Gold nanoparticles stabilized by sulfonated-imidazolium salts as promising catalysts in water. ChemistrySelect 2019, 4, 13496–13502. [Google Scholar] [CrossRef]
- Monti, G.A.; Correa, N.M.; Falcone, R.D.; Silbestri, G.F.; Moyano, F. Water-soluble gold nanoparticles: Recyclable catalysts for the reductions of aromatic nitro compounds in water. RSC Adv. 2020, 10, 15065–15071. [Google Scholar] [CrossRef]
- Monti, G.A.; Correa, N.M.; Falcone, R.D.; Silbestri, G.F.; Moyano, F. Understanding metallic nanoparticles stabilization in water by imidazolium salts: A complete physicochemical study. ChemistrySelect 2020, 5, 11264–11271. [Google Scholar] [CrossRef]
- Belger, K.; Krause, N. Ammonium-salt-tagged IMesAuCl complexes and their application in gold-catalyzed cycloisomerization reactions in water. Eur. J. Org. Chem. 2015, 2015, 220–225. [Google Scholar] [CrossRef]
- Petersen, H.; Ballmann, M.; Krause, N.; Weberskirch, R. Gold(I) NHC catalysts immobilized to amphiphilic block copolymers: A versatile approach to micellar gold catalysis in water. ChemCatChem 2022, 14, e202200727. [Google Scholar] [CrossRef]
- Belger, K.; Krause, N. Smaller, faster, better: Modular synthesis of unsymmetrical ammonium salt-tagged NHC-gold(I) complexes and their application as recyclable catalysts in water. Org. Biomol. Chem. 2015, 13, 8556–8560. [Google Scholar] [CrossRef] [PubMed]
- Ibrahim, H.; de Frémont, P.; Braunstein, P.; Théry, V.; Nauton, L.; Cisnetti, F.; Gautier, A. Water-soluble gold-N-heterocyclic carbene complexes for the catalytic homogeneous acid- and silver-free hydration of hydrophilic alkynes. Adv. Synth. Catal. 2015, 357, 3893–3900. [Google Scholar] [CrossRef]
- Taira, T.; Yanagimoto, T.; Sakai, K.; Sakai, H.; Endo, A.; Imura, T. Synthesis of surface-active N-heterocyclic carbene ligand and its Pd-catalyzed aqueous Mirozoki-Heck reaction. Tetrahedron 2016, 72, 4117–4122. [Google Scholar] [CrossRef]
- Taira, T.; Yanagimoto, T.; Sakai, K.; Sakai, H.; Endo, A.; Imura, T. Self-assembling properties of an N-heterocyclic carbene-based metallosurfactant: Pd-coordination induced formation of reactive interfaces in water. J. Oleo Sci. 2018, 67, 1107–1115. [Google Scholar] [CrossRef]
- Taira, T.; Yanagimoto, T.; Fouquet, T.; Sakai, K.; Sakai, H.; Endo, A.; Imura, T. Synthesis of an N-heterocyclic carbene-based Au(I) coordinate surfactant: Application for alkyne hydration based on Au nanoparticle formation. J. Oleo Sci. 2020, 69, 871–882. [Google Scholar] [CrossRef]
- Taira, T.; Yanagimoto, T.; Sakai, K.; Sakai, H.; Endo, A.; Imura, T. Au(I)-, Ag(I)-, and Pd(II)-coordination-driven diverse self-assembly of an N-heterocyclic carbene-based amphiphile. RSC Adv. 2021, 11, 17865–17870. [Google Scholar] [CrossRef]
- MacLeod, M.J.; Johnson, J.A. PEGylated N-heterocyclic carbene anchors designed to stabilize gold nanoparticles in biologically relevant media. J. Am. Chem. Soc. 2015, 137, 7974–7977. [Google Scholar] [CrossRef]
- MacLeod, M.J.; Goodman, A.J.; Ye, H.-Z.; Nguyen, H.V.-T.; Voorhis, T.V.; Johnson, J.A. Robust gold nanorods stabilized by bidentate N-heterocyclic-carbene-thiolate ligands. Nat. Chem. 2019, 11, 57–63. [Google Scholar] [CrossRef]
- Nosratabad, N.A.; Jin, Z.; Du, L.; Thakur, M.; Mattoussi, H. N-Heterocyclic carbene-stabilized gold nanoparticles: Mono- versus multidentate ligands. Chem. Mater. 2021, 33, 921–933. [Google Scholar] [CrossRef]
- Wu, Q.; Peng, R.; Gong, F.; Luo, Y.; Zhang, H.; Cui, Q. Aqueous synthesis of N-heterocyclic carbene-protected gold nanoclusters with intrinsic antibacterial activity. Colloids Surf. A: Physicochem. Eng. Asp. 2022, 645, 128934. [Google Scholar] [CrossRef]
- Nguyen, D.T.H.; Bélanger-Bouliga, M.; Shultz, L.R.; Maity, A.; Jurca, T.; Nazemi, A. Robust water-soluble gold nanoparticles via polymerized mesoionic N-heterocyclic carbene-gold(I) complexes. Chem. Mater. 2021, 33, 9588–9600. [Google Scholar] [CrossRef]
- Fernández, G.; Bernardo, L.; Villanueva, A.; Pleixats, R. Gold nanoparticles stabilized by PEG-tagged imidazolium salts as reciclable catalysts for the synthesis of propargylamines and the cycloisomerization of γ-alkynoic acids. New J. Chem. 2020, 44, 6130–6141. [Google Scholar] [CrossRef]
- Fujita, K.; Sato, J.; Inoue, K.; Tsuchimoto, T.; Yasuda, H. Aqueous media carboxylative cyclization of propargylic amines with CO2 catalyzed by amphiphilic dendritic N-heterocyclic carbene-gold(I) complexes. Tetrahedron Lett. 2014, 55, 3013–3016. [Google Scholar] [CrossRef]
- Fujita, K.; Inoue, K.; Sato, J.; Tsuchimoto, T.; Yasuda, H. Carboxylative cyclization of propargylic amines with CO2 catalyzed by dendritic N-heterocyclic carbene-gold(I) complexes. Tetrahedron 2016, 72, 1205–1212. [Google Scholar] [CrossRef]
- Lin, B.; Zhang, X.; Zhou, C.-Y.; Che, C.-M. A PEGylated N-heterocyclic carbene-gold(I) complex: An efficient catalyst for cyclization reaction in water. Org. Chem. Front. 2021, 8, 1216–1222. [Google Scholar] [CrossRef]
- Ballmann, M.; Ruer, P.C.; Hofnagel, O.; Hiller, W.; Krause, N. Recyclable polyethylene glycol ubiquinol succinate-bound N-heterocyclic carbene-gold(I) complexes: Sustainable micellar catalysts in water. ACS Sustain. Chem. Eng. 2022, 10, 7288–7298. [Google Scholar] [CrossRef]
- Napoli, M.; Saturnino, C.; Cianciulli, E.I.; Varcamonti, M.; Zanfardino, A.; Tommonaro, G.; Longo, P. Silver(I) N-heterocyclic carbene complexes: Synthesis, characterization and antibacterial activity. J. Organomet. Chem. 2013, 725, 46–53. [Google Scholar] [CrossRef]
- Saturnino, C.; Barone, I.; Iacopetta, D.; Mariconda, A.; Sinicropi, M.S.; Rosano, C.; Campana, A.; Catalano, S.; Longo, P.; Andò, S. N-Heterocyclic carbene complexes of silver and gold as new tolos against breast cancer progression. Future Med. Chem. 2016, 8, 2213–2229. [Google Scholar] [CrossRef] [PubMed]
- Iacopetta, D.; Mariconda, A.; Saturnino, C.; Caruso, A.; Palma, G.; Ceramella, J.; Muià, N.; Perri, M.; Sinicropi, M.S.; Caroleo, M.C.; et al. Novel gold and silver carbene complexes exert antitumor effects triggering teh reactive oxygen species dependent intrinsic apoptotic pathway. ChemMedChem 2017, 12, 2054–2065. [Google Scholar] [CrossRef] [PubMed]
- Mariconda, A.; Sirignano, M.; Costabile, C.; Longo, P. New NHC-silver and gold complexes active in A3-coupling (aldehyde-alkyne-amine) reaction. Mol. Catal. 2020, 480, 110570. [Google Scholar] [CrossRef]
- Costabile, C.; Mariconda, A.; Sirignano, M.; Crispini, A.; Scarpelli, F.; Longo, P. A green approach for A3-coupling reactions: An experimental and theoretical study on NHC silver and gold catalysts. New J. Chem. 2021, 45, 18509–18517. [Google Scholar] [CrossRef]
- Sirignano, M.; Mariconda, A.; Vigliotta, G.; Ceramella, J.; Iacopetta, D.; Sinicropi, M.S.; Longo, P. Catalytic and biological activity of silver and gold complexes stabilized by NHC with hydroxyl derivatives on nitrogen atoms. Catalysts 2022, 12, 18. [Google Scholar] [CrossRef]
- Strand, R.B.; Helgerud, T.; Solvang, T.; Dolva, A.; Sperger, C.A.; Friksdahl, A. Asymmetric induction afforded by chiral azolylidene N-heterocyclic carbenes (NHC) catalysts. Tetrahedron Asymmetry 2012, 23, 1350–1359. [Google Scholar] [CrossRef]
- Wurm, T.; Mulks, F.; Böhling, C.R.N.; Riedel, D.; Zargaran, P.; Rudolph, M.; Rominger, F.; Hashmi, A.S.K. Synthesis of different classes of six-membered gold(I) NHC complexes by the isonitrile route. Organometallics 2016, 35, 1070–1080. [Google Scholar] [CrossRef]
- Jónsson, H.F.; Orthaber, A.; Friksdahl, A. Studies on gold(I) and gold(III) alcohol functionalised NHC complexes. Dalton Trans. 2021, 50, 5128–5138. [Google Scholar] [CrossRef]
- Jónsson, H.F.; Friksdahl, A.; Harvei, A.J. Rapid and mild synthesis of Au-NHC complexes in a simple two-phase flow reactor. Dalton Trans. 2021, 50, 7969–7975. [Google Scholar] [CrossRef]
- Pichon-Barré, D.; Zhang, Z.; Cador, A.; Vives, T.; Roisnel, T.; Baslé, O.; Jarrige, L.; Cavallo, L.; Falivene, L.; Mauduit, M. Chiral oxazolidines acting as transient hydroxyalkyl-functionalized N-heterocyclic carbenes: An efficient route to air stable copper and gold complexes for asymmetric catalysis. Chem. Sci. 2022, 13, 8773–8780. [Google Scholar] [CrossRef]
- Molnár, Á. Synthetic application of cyclodextrins in combination with metal ions, complexes, and metal particles. ChemCatChem 2021, 13, 1424–1474. [Google Scholar] [CrossRef]
- Sak, H.; Mawick, M.; Krause, N. Sustainable gold catalysis in water using cyclodextrin-tagged NHC-gold complexes. ChemCatChem 2019, 11, 5821–5829. [Google Scholar] [CrossRef]
- Guitet, M.; Zhang, P.; Marcelo, F.; Tugny, C.; Jiménez-Barbero, J.; Buriez, O.; Amatore, C.; Mouriès-Mansuy, V.; Goddard, J.-P.; Fensterbank, L.; et al. NHC-capped cyclodextrins (ICyDs): Insulated metal complexes, commutable multicoordination sphere, and cavity-dependent catalysis. Angew. Chem. Int. Ed. 2013, 52, 7213–7218. [Google Scholar] [CrossRef] [PubMed]
- Zhang, P.; Tugny, C.; Suárez, J.M.; Guitet, M.; Derat, E.; Vanthuyne, N.; Zhang, Y.; Bistri, O.; Mouriès-Mansuy, V.; Ménand, M.; et al. Artificial chiral metallo-pockets, including a single metal serving as structural probe and catalytic center. Chemistry 2017, 3, 174–191. [Google Scholar] [CrossRef]
- Tugny, C.; del Rio, N.; Koohgard, M.; Vanthuyne, N.; Lesage, D.; Bijouard, K.; Zhang, P.; Suárez, J.M.; Roland, S.; Derat, E.; et al. β-Cyclodextrin-NHC-gold(I) complexes (β-ICyD)AuCl: A chiral nanoreactor for enantioselective and substrate-selective alkoxycyclization reactions. ACS Catal. 2020, 10, 5964–5972. [Google Scholar] [CrossRef]
- Zhu, X.; Xu, G.; Chamoreau, L.-M.; Zhang, Y.; Mouriès-Mansuy, V.; Fensterbank, L.; Bistri-Aslanoff, O.; Roland, S.; Sollogoub, M. Permethylated NHC-capped α- and β-cyclodextrins (ICyDMe) regioselective and enantioselective gold-catalysis in pure water. Chem. Eur. J. 2020, 26, 15901–15909. [Google Scholar] [CrossRef]
- dos Passos Gomes, G.; Xu, G.; Zhu, X.; Chamoreau, L.-M.; Zhang, Y.; Bistri-Aslanoff, O.; Roland, S.; Alabugin, I.V.; Sollogoub, M. Mapping C-H···M interactions in confined spaces: (α-ICyDMe)Au, Ag, Cu complexes reveal “contra-electrostatic H bonds” masquerading as anagostic interactions. Chem. Eur. J. 2021, 27, 8127–8142. [Google Scholar] [CrossRef]
- Wen, Z.; Maisonhaute, E.; Zhang, Y.; Roland, S.; Sollogoub, M. Janus-type homo-, hetero- and mixed valence-bimetallic complexes with one metal encapsulated in a cyclodextrin. Chem. Commun. 2022, 58, 4516–4519. [Google Scholar] [CrossRef]
- Suárez, J.M.; Bistri-Aslanoff, O.; Roland, S.; Sollogoub, M. Cavity-controlled coordination of square planar metal complexes and substrate selectivity by NHC-capped cyclodextrins (ICyDs). ChemCatChem 2022, 14, e202101411. [Google Scholar]
- Zhao, W.; Ferro, V.; Baker, M.V. Carbohydrate-N-heterocyclic carbene metal complexes: Synthesis, catalysis and biological studies. Coord. Chem. Rev. 2017, 339, 1–16. [Google Scholar] [CrossRef]
- Cucciolito, M.E.; Trinchillo, M.; Iannitti, R.; Palumbo, R.; Tesauro, D.; Tuzi, A.; Ruffo, F.; D′Amora, A. Sugar-incorporated N-heterocyclic-carbene-containing gold(I) complexes: Synthesis, characterization, and cytotoxic evaluation. Eur. J. Inorg. Chem. 2017, 2017, 4955–4961. [Google Scholar] [CrossRef]
- Hobsteter, A.W.; Badajoz, M.A.; Fiego, M.J.L.; Silbestri, G.F. Galactopyranoside-substituted N-heterocyclic carbene gold(I) complexes: Synthesis, stability, and catalytic applications to alkyne hydration. ACS Omega 2022, 7, 21788–21799. [Google Scholar] [CrossRef] [PubMed]
- Sohel, S.M.A.; Liu, R.-S. Carbocyclisation of alkynes with External nucleophiles catalysed by gold, platinum and other electrophilic metals. Chem. Soc. Rev. 2009, 38, 2269–2281. [Google Scholar] [CrossRef]
- Leyva- Pérez, A.; Corma, A. Similarities and differences between the “relativistic” triad gold, platinum, and mercury in catalysis. Angew. Chem. Int. Ed. 2012, 51, 614–636. [Google Scholar] [CrossRef] [PubMed]
- Dorel, R.; Echavarren, A.M. Gold(I)-catalyzed activation of alkynes for the construction of molecular complexity. Chem. Rev. 2015, 115, 9028–9072. [Google Scholar] [CrossRef]
- Goodwin, J.A.; Aponick, A. Regioselectivity in the Au-catalyzed hydration and hydroalkoxylation of alkynes. Chem. Commun. 2015, 51, 8730–8741. [Google Scholar] [CrossRef]
- Alyabyev, S.B.; Beletskaya, I.P. Gold as catalyst. Part I. Nucleophilic addition to the triple bond. Russ. Chem. Rev. 2017, 86, 689–749. [Google Scholar] [CrossRef]
- Lu, Z.; Hammond, G.B.; Xu, B. Improving homogeneous cationic gold catalysis through a mechanism-based approach. Acc. Chem. Res. 2019, 52, 1275–1288. [Google Scholar] [CrossRef]
- Leung, C.H.; Baron, M.; Biffis, A. Gold-catalyzed intermolecular alkyne hydrofunctionalizations—Mechanistic insights. Catalysts 2020, 10, 1210. [Google Scholar] [CrossRef]
- Salvio, R.; Bassetti, M. Sustainable hydration of alkynes promoted by first row transition metal complexes. Background, highlights and perspectives. Inorg. Chim. Acta 2021, 522, 120288. [Google Scholar] [CrossRef]
- Lu, Z.; Li, T.; Mudshinge, S.R.; Xu, B.; Hammond, G.B. Optimization of catalysts and conditions in gold(I) catalysis—Counteranion and additive effects. Chem. Rev. 2021, 121, 8452–8477. [Google Scholar] [CrossRef] [PubMed]
- Campeau, D.; Rayo, D.F.L.; Mansour, A.; Muratov, K.; Gagosz, F. Gold-catalyzed reactions of specially activated alkynes, allenes, and alkenes. Chem. Rev. 2021, 121, 8756–8867. [Google Scholar] [CrossRef] [PubMed]
































Disclaimer/Publisher’s Note: The statements, opinions and data contained in all publications are solely those of the individual author(s) and contributor(s) and not of MDPI and/or the editor(s). MDPI and/or the editor(s) disclaim responsibility for any injury to people or property resulting from any ideas, methods, instructions or products referred to in the content. |
© 2023 by the authors. Licensee MDPI, Basel, Switzerland. This article is an open access article distributed under the terms and conditions of the Creative Commons Attribution (CC BY) license (https://creativecommons.org/licenses/by/4.0/).
Share and Cite
Crochet, P.; Cadierno, V. Gold Complexes with Hydrophilic N-Heterocyclic Carbene Ligands and Their Contribution to Aqueous-Phase Catalysis. Catalysts 2023, 13, 436. https://doi.org/10.3390/catal13020436
Crochet P, Cadierno V. Gold Complexes with Hydrophilic N-Heterocyclic Carbene Ligands and Their Contribution to Aqueous-Phase Catalysis. Catalysts. 2023; 13(2):436. https://doi.org/10.3390/catal13020436
Chicago/Turabian StyleCrochet, Pascale, and Victorio Cadierno. 2023. "Gold Complexes with Hydrophilic N-Heterocyclic Carbene Ligands and Their Contribution to Aqueous-Phase Catalysis" Catalysts 13, no. 2: 436. https://doi.org/10.3390/catal13020436
APA StyleCrochet, P., & Cadierno, V. (2023). Gold Complexes with Hydrophilic N-Heterocyclic Carbene Ligands and Their Contribution to Aqueous-Phase Catalysis. Catalysts, 13(2), 436. https://doi.org/10.3390/catal13020436

