Adsorption and Photocatalytic Degradation of Methylene Blue in Carbon Nanotubes: A Review with Bibliometric Analysis
Abstract
1. Introduction
2. Carbon Nanotubes
2.1. Synthesis Methods
2.2. Electrical and Optical Properties of CNTs
2.2.1. Chirality, Diameter, and Length Variations and Their Impact on Photocatalytic Performance
2.2.2. Band Structure and Light Absorption
2.2.3. Absorption Properties in the UV-Visible Light Ranges
2.2.4. Strategies for Tuning the Band Structure for Enhanced Photocatalysis
3. Methylene Blue
4. Adsorption
4.1. Steps of Adsorption
4.2. Kinetics of Adsorption
4.3. Adsorption and Active Sites in Carbon Nanotubes
5. Photocatalysis for the Degradation of Contaminants
5.1. Electron–Hole Pair Formation in Carbon Nanotubes
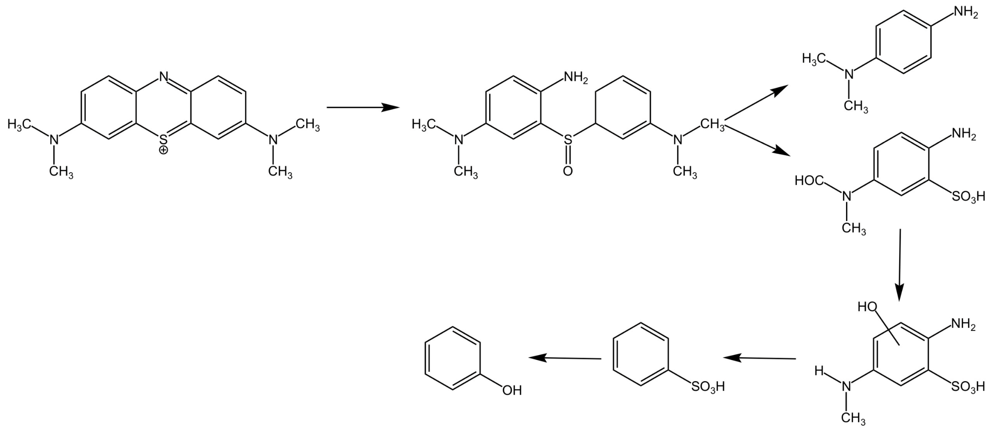
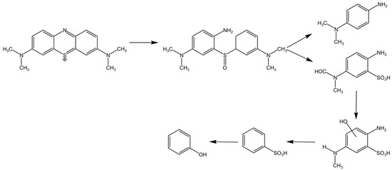
5.2. Photodegradation of Methylene Blue in Carbon Nanotubes
5.3. Synergistic Effects in Combined Systems
6. Bibliometric Study and Review
6.1. Methodology
6.1.1. Search Strategy
6.1.2. Data Extraction and Analysis
6.2. Results of the Bibliometric Study
6.2.1. Search “Photocatalysis” and “Photocatalysis and Visible Light”
6.2.2. Search “(Carbon Nanotubes or CNT) and (Methylene Blue)”
6.2.3. Search “(Carbon Nanotubes or CNT) and (Photocatalysis)”
6.2.4. Analysis of the Data
6.3. Advances in Adsorption and Carbon Nanotubes
6.4. Advances in Photocatalysis and Carbon Nanotubes
| CNTs/Semiconductor | % Removal Contaminant | Ref. Year | |||
|---|---|---|---|---|---|
| Semiconductor (%) | Conditions/ Time (min) | CNTs/Semiconductor (%) | Light/ Time (min) | ||
| MWCNTs/ZnO | 68.0 | UV light/ 30 | 98 | UV light/ 30 | [81] 2012 |
| Carbon xerogel/CNTs/Ti | 90 (CX/CNT) | Visible light/ 60 | 99 | Visible light/ 60 | [82] 2019 |
| Magnetic MWCNTs/cerium dioxide (MWCNTs-CeO2) | 82.2 | Visible light/ 120 | 97.5 | Visible light/ 120 | [83] 2019 |
| SWCNTs/HgS | 73 | Sunlight/ 180 | 99.08 | Sunlight/ 180 | [84] 2019 |
| Al doped MnO2/CNTs | 24 | Solar light/ 75 | 88 | Solar light/ 75 | [67] 2020 |
| CNTs-CuO | ~60.0 | In dark/ 60 | 92.0 | Visible light/ 60 | [85] 2021 |
| Undoped-MWCNTs N doped MWCNTs | 99.0 (Undoped) | UV light/ 60 | 100.0 (N-doped) | UV light/ 60 | [27] 2021 |
| Polystyrene-NiO-CNTs | 81 | UV light/ 250 | 96 | UV light/ 250 | [86] 2022 |
| CNTs@CuBi2O4/AgBiO3 | - | - | 97.94 | Visible light/ 60 | [87] 2022 |
| Ag/TiO2/CNTs | 89.8 (TiO2/CNT) | UV light/ 50 | 96 | UV light/ 50 | [88] 2022 |
| MWCNTs/ Zeolite | 65.0 | In dark/ 210 | 98.0 | Sunlight/ 210 | [89] 2023 |
| nS-SnS/Poly(CC-co-BP)-CNTs | 95 | UV light (254 nm)/ 120 | 100 | UV light (254 nm)/ 60 | [90] 2023 |
7. Discussion
7.1. Safety and Environmental Impact of Byproducts
7.2. Future Directions
8. Conclusions
Author Contributions
Funding
Data Availability Statement
Conflicts of Interest
References
- Setiadi, T.; Andriani, Y.; Erlania, M. Treatment of Textile Wastewater by a Combination of Anaerobic and Aerobic Processes: A Denim Processing Plant Case. Proc. Southeast Asian Water Environ. 2006, 1, 297–304. [Google Scholar]
- Yi, H.; Huang, D.; Qin, L.; Zeng, G.; Lai, C.; Cheng, M.; Ye, S.; Song, B.; Ren, X.; Guo, X. Selective Prepared Carbon Nanomaterials for Advanced Photocatalytic Application in Environmental Pollutant Treatment and Hydrogen Production. Appl. Catal. B Environ. 2018, 239, 408–424. [Google Scholar] [CrossRef]
- Mohanraj, J.; Durgalakshmi, D.; Balakumar, S.; Aruna, P.; Ganesan, S.; Rajendran, S.; Naushad, M. Low Cost and Quick Time Absorption of Organic Dye Pollutants under Ambient Condition Using Partially Exfoliated Graphite. J. Water Process Eng. 2020, 34, 101078. [Google Scholar] [CrossRef]
- Din, M.I.; Khalid, R.; Najeeb, J.; Hussain, Z. Fundamentals and Photocatalysis of Methylene Blue Dye Using Various Nanocatalytic Assemblies- a Critical Review. J. Clean. Prod. 2021, 298, 126567. [Google Scholar] [CrossRef]
- Wong, S.; Ghafar, N.A.; Ngadi, N.; Razmi, F.A.; Inuwa, I.M.; Mat, R.; Amin, N.A.S. Effective Removal of Anionic Textile Dyes Using Adsorbent Synthesized from Coffee Waste. Sci. Rep. 2020, 10, 2928. [Google Scholar] [CrossRef]
- Yu, J.G.; Zhao, X.H.; Yang, H.; Chen, X.H.; Yang, Q.; Yu, L.Y.; Jiang, J.H.; Chen, X.Q. Aqueous Adsorption and Removal of Organic Contaminants by Carbon Nanotubes. Sci. Total Environ. 2014, 482–483, 241–251. [Google Scholar] [CrossRef]
- Liu, T.; Li, Y.; Du, Q.; Sun, J.; Jiao, Y.; Yang, G.; Wang, Z.; Xia, Y.; Zhang, W.; Wang, K.; et al. Adsorption of Methylene Blue from Aqueous Solution by Graphene. Colloids Surf. B Biointerfaces 2012, 90, 197–203. [Google Scholar] [CrossRef] [PubMed]
- Abutaleb, A.; Imran, M.; Zouli, N.; Khan, A.H.; Hussain, S.; Ali, M.A.; Bakather, O.; Gondal, M.A.; Khan, N.A.; Panchal, H.; et al. Fe3O4-Multiwalled Carbon Nanotubes-Bentonite as Adsorbent for Removal of Methylene Blue from Aqueous Solutions. Chemosphere 2023, 316, 137824. [Google Scholar] [CrossRef] [PubMed]
- Zhang, J.; Dai, M.; Zhang, S.; Dai, M.; Zhang, P.; Wang, S.; He, Z. Recent Progress on Carbon-Nanotube-Based Materials for Photocatalytic Applications: A Review. Sol. RRL 2022, 2200243, 1–31. [Google Scholar] [CrossRef]
- Sendão, R.M.S.; Esteves da Silva, J.C.G.; Pinto da Silva, L. Applications of Fluorescent Carbon Dots as Photocatalysts: A Review. Catalysts 2023, 13, 179. [Google Scholar] [CrossRef]
- Iijima, S. Helical Microtubules of Graphitic Carbon. Nature 1991, 354, 56–58. [Google Scholar] [CrossRef]
- Radushkevich, L.V.; Lukyanovich, V.M. Structure of the Carbon Produced in the Thermal Decomposition of Carbon Monoxide on an Iron Catalyst. Zhurnal Fiz. Khimii 1952, 26, 88–95. [Google Scholar]
- Kuvarega, A.T.; Mamba, B.B. TiO2-Based Photocatalysis: Toward Visible Light-Responsive Photocatalysts Through Doping and Fabrication of Carbon-Based Nanocomposites. Crit. Rev. Solid State Mater. Sci. 2017, 42, 295–346. [Google Scholar] [CrossRef]
- Arora, N.; Sharma, N.N. Arc Discharge Synthesis of Carbon Nanotubes: Comprehensive Review. Diam. Relat. Mater. 2014, 50, 135–150. [Google Scholar] [CrossRef]
- Ali, A.; Rahimian Koloor, S.S.; Alshehri, A.H.; Arockiarajan, A. Carbon Nanotube Characteristics and Enhancement Effects on the Mechanical Features of Polymer-Based Materials and Structures—A Review. J. Mater. Res. Technol. 2023, 24, 6495–6521. [Google Scholar] [CrossRef]
- Kuo, T.F.; Chi, C.C.; Lin, I.N. Synthesis of Carbon Nanotubes by Laser Ablation of Graphites at Room Temperature. Jpn. J. Appl. Phys. 2001, 40, 7147. [Google Scholar] [CrossRef]
- Teo, K.B.K.; Singh, C.; Chhowalla, M.; Milne, W.I. Catalytic Synthesis of Carbon Nanotubes and Nanofibers. Encycl. Nanosci. Nanotechnol. 2003, H. S. Nalw, 1–22. [Google Scholar]
- Popov, V.N. Carbon Nanotubes: Properties and Application. Mater. Sci. Eng. R Rep. 2004, 43, 61–102. [Google Scholar] [CrossRef]
- Ando, T. The Electronic Properties of Graphene and Carbon Nanotubes. NPG Asia Mater. 2009, 1, 17–21. [Google Scholar] [CrossRef]
- Kouklin, N.; Tzolov, M.; Straus, D.; Yin, A.; Xu, J.M. Infrared Absorption Properties of Carbon Nanotubes Synthesized by Chemical Vapor Deposition. Proc. Appl. Phys. Lett. 2004, 85, 4463–4465. [Google Scholar] [CrossRef]
- Alwash, A.; Adil, H.; Hussain, Z.; Yousif, E. Potential of Carbon Nanotubes in Enhance of Photocatalyst Activity. Arch. Nanomed. Open Access J. 2018, 1, 65–70. [Google Scholar] [CrossRef]
- Lai, K.W.C.; Xi, N.; Fung, C.K.M.; Chen, H.; Tarn, T.J. Engineering the Band Gap of Carbon Nanotube for Infrared Sensors. Appl. Phys. Lett. 2009, 95, 183–186. [Google Scholar] [CrossRef]
- Zhang, L.; Zhou, Y.; Zhang, N.; Zhang, M. Optical Properties of Single-Walled Carbon Nanotubes. Proc. J. Phys. Conf. Ser. 2022, 2381, 2555–2558. [Google Scholar] [CrossRef]
- Susan B., S.; Rodney, A. Carbon Nanotubes: Synthesis, Properties, and Applications. Crit. Rev. Solid State Mater. Sci. 2001, 26, 145–249. [Google Scholar] [CrossRef]
- Ajiki, H.; Ando, T. Carbon Nanotubes: Optical Absorption in Aharonov-Bohm Flux. Jpn. J. Appl. Phys. 1995, 34, 107–109. [Google Scholar] [CrossRef]
- Abdolkarimi-Mahabadi, M.; Bayat, A.; Mohammadi, A. Use of UV-Vis Spectrophotometry for Characterization of Carbon Nanostructures: A Review. Theor. Exp. Chem. 2021, 57, 191–198. [Google Scholar] [CrossRef]
- Ramírez-Aparicio, J.; Samaniego-Benítez, J.E.; Murillo-Tovar, M.A.; Benítez-Benítez, J.L.; Muñoz-Sandoval, E.; García-Betancourt, M.L. Removal and Surface Photocatalytic Degradation of Methylene Blue on Carbon Nanostructures. Diam. Relat. Mater. 2021, 119, 108544. [Google Scholar] [CrossRef]
- Sun, Y.; Zheng, B.; Wu, X.; Wang, L.; Jiang, J.; Ding, H.; Min, X.; Huang, Z.; Fang, M.; Luo, R. The Photocatalytic Performance of P, Cl Doped Carboxylated Multiwalled Carbon Nanotube Modified Graphitic Carbon Nitride. Langmuir 2023, 39, 6078–6087. [Google Scholar] [CrossRef]
- Saoudi, M.; Zaidi, B.; Alotaibi, A.A.; Althobait, M.G.; Alosime, E.M.; Ajjel, R. Polyaniline: Doping and Functionalization with Single Walled Carbon Nanotubes for Photovoltaic and Photocatalytic Application. Polymers 2021, 13, 2595. [Google Scholar] [CrossRef]
- Feng, X.; Wang, P.; Hou, J.; Qian, J.; Wang, C.; Ao, Y. Oxygen Vacancies and Phosphorus Codoped Black Titania Coated Carbon Nanotube Composite Photocatalyst with Efficient Photocatalytic Performance for the Degradation of Acetaminophen under Visible Light Irradiation. Chem. Eng. J. 2018, 352, 947–956. [Google Scholar] [CrossRef]
- Bunes, B.R.; Xu, M.; Zhang, Y.; Gross, D.E.; Saha, A.; Jacobs, D.L.; Yang, X.; Moore, J.S.; Zang, L. Photodoping and Enhanced Visible Light Absorption in Single-Walled Carbon Nanotubes Functionalized with a Wide Band Gap Oligomer. Adv. Mater. 2015, 27, 162–167. [Google Scholar] [CrossRef]
- Phin, H.Y.; Ong, Y.T.; Sin, J.C. Effect of Carbon Nanotubes Loading on the Photocatalytic Activity of Zinc Oxide/Carbon Nanotubes Photocatalyst Synthesized via a Modified Sol-Gel Method. J. Environ. Chem. Eng. 2020, 8, 103222. [Google Scholar] [CrossRef]
- Manda, A.A.; Elsayed, K.A.; Gaya, U.I.; Haladu, S.A.; Ercan, İ.; Ercan, F.; Alheshibri, M.; Al Baroot, A.; Kayed, T.S.; Alshammery, S.; et al. Enhanced Photocatalytic Degradation of Methylene Blue by Nanocomposites Prepared by Laser Ablation of Bi on CNT-α-Fe2O3 Nanoparticles. Opt. Laser Technol. 2022, 155, 108430. [Google Scholar] [CrossRef]
- Carmen, Z.; Daniela, S. Textile Organic Dyes–Characteristics, Polluting Effects and Separation/Elimination Procedures from Industrial Effluents—A Critical Overview; Puzyn, T., Mostrag-Szlichtyng, A., Eds.; IntechOpen: Rijeka, Croatia, 2012; pp. 1–34. [Google Scholar]
- Bautista, P.; Mohedano, A.F.; Casas, J.A.; Zazo, J.A.; Rodriguez, J.J. An Overview of the Application of Fenton Oxidation to Industrial Wastewaters Treatment. J. Chem. Technol. Biotechnol. 2008, 83, 1323–1338. [Google Scholar] [CrossRef]
- Gregory, P. Dyes and Dye Intermediates. In Kirk-Othmer Encyclopedia of Chemical Technology; John Wiley & Sons, Inc.: Hoboken, NJ, USA, 2009; pp. 1–66. [Google Scholar]
- DeVito, S.C. Predicting Azo Dye Toxicity. Crit. Rev. Environ. Sci. Technol. 1993, 23, 249–324. [Google Scholar] [CrossRef]
- IARC Monographs on the Evaluation of Carcinogenic Risks to Humans. Volume 97. 1,3-Butadiene, Ethylene Oxide and Vinyl Halides (Vinyl Fluoride, Vinyl Chloride and Vinyl Bromide); World Health Organization: Geneva, Switzerland, 2008; Volume 97, pp. 3–471.
- Evora, P.R.B.; Celotto, A.C.; Albuquerque, A.A.S.; Évora, P.M. Vasoplegic Endothelial Dysfunction: Circulatory Shock and Methylene Blue, 1st ed.; Springer: Cham, Switzerland, 2021; ISBN 9783030740962. [Google Scholar]
- Hassan, M.M.; Carr, C.M. A Critical Review on Recent Advancements of the Removal of Reactive Dyes from Dyehouse Effluent by Ion-Exchange Adsorbents. Chemosphere 2018, 209, 201–219. [Google Scholar] [CrossRef] [PubMed]
- Oz, M.; Lorke, D.E.; Hasan, M.; Petroianu, G.A. Cellular and Molecular Actions of Methylene Blue in the Nervous System. Med. Res. Rev. 2011, 31, 93–117. [Google Scholar] [CrossRef] [PubMed]
- Shalla, A.H.; Bhat, M.A.; Yaseen, Z. Hydrogels for Removal of Recalcitrant Organic Dyes: A Conceptual Overview. J. Environ. Chem. Eng. 2018, 6, 5938–5949. [Google Scholar] [CrossRef]
- Khan, S.; Malik, A. Environmental and Health Effects of Textile Industry Wastewater. In Environmental Deterioration and Human Health: Natural and Anthropogenic Determinants; Malik, A., Grohmann, E., Akhtar, R., Eds.; Springer: Dordrecht, The Netherlands, 2013; pp. 55–71. [Google Scholar] [CrossRef]
- Liu, F.; Jin, Y.; Liao, H.; Cai, L.; Tong, M.; Hou, Y. Facile Self-Assembly Synthesis of Titanate/Fe3O4 Nanocomposites for the Efficient Removal of Pb2+ from Aqueous Systems. J. Mater. Chem. A 2013, 1, 805–813. [Google Scholar] [CrossRef]
- Thomas, W.J.; Crittenden, B. Fundamentals of Adsorption Equilibria. In Adsorption Technology & Design; Elsevier: Amsterdam, The Netherlands, 1998; pp. 31–65. [Google Scholar]
- Sing, K.S.W. Adsorption Methods for the Characterization of Porous Materials. Adv. Colloid Interface Sci. 1998, 76, 3–11. [Google Scholar] [CrossRef]
- Da̧browski, A. Adsorption-From Theory to Practice. Adv. Colloid Interface Sci. 2001, 93, 135–224. [Google Scholar] [CrossRef] [PubMed]
- Azizian, S.; Eris, S.; Wilson, L.D. Re-Evaluation of the Century-Old Langmuir Isotherm for Modeling Adsorption Phenomena in Solution. Chem. Phys. 2018, 513, 99–104. [Google Scholar] [CrossRef]
- Ayawei, N.; Ebelegi, A.N.; Wankasi, D. Modelling and Interpretation of Adsorption Isotherms. J. Chem. 2017, 2017, 3039817. [Google Scholar] [CrossRef]
- Foo, K.Y.; Hameed, B.H. Insights into the Modeling of Adsorption Isotherm Systems. Chem. Eng. J. 2010, 156, 2–10. [Google Scholar] [CrossRef]
- Brunauer, S.; Deming, L.S.; Deming, W.E.; Teller, E. On a Theory of the van Der Waals Adsorption of Gases. J. Am. Chem. Soc. 1940, 62, 1723–1732. [Google Scholar] [CrossRef]
- Fadillah, G.; Saleh, T.A.; Wahyuningsih, S.; Ninda Karlina Putri, E.; Febrianastuti, S. Electrochemical Removal of Methylene Blue Using Alginate-Modified Graphene Adsorbents. Chem. Eng. J. 2019, 378, 122140. [Google Scholar] [CrossRef]
- Li, X.; Zhao, H.; Quan, X.; Chen, S.; Zhang, Y.; Yu, H. Adsorption of Ionizable Organic Contaminants on Multi-Walled Carbon Nanotubes with Different Oxygen Contents. J. Hazard. Mater. 2011, 186, 407–415. [Google Scholar] [CrossRef]
- Song, G.; Li, A.; Shi, Y.; Li, W.; Wang, H.; Wang, C.; Li, R.; Ding, G. Sorptive Removal of Methylene Blue from Water by Magnetic Multi-Walled Carbon Nanotube Composites. Environ. Sci. Pollut. Res. 2021, 28, 41268–41282. [Google Scholar] [CrossRef]
- Xia, L.; Du, Q.; Xia, Y.; Li, Y.; Liu, T.; Wang, Z.; Wang, Y.; Wu, S.; Wang, J.; Sun, J.; et al. Comparative Study of Methylene Blue Dye Adsorption onto Activated Carbon, Graphene Oxide, and Carbon Nanotubes. Chem. Eng. Res. Des. 2012, 91, 361–368. [Google Scholar] [CrossRef]
- Ameta, R.; Solanki, M.S.; Benjamin, S.; Ameta, S.C. Chapter 6-Photocatalysis. In Advanced Oxidation Processes for Waste Water Treatment Emerging Green Chemical Technology; Ameta, S.C., Ameta, R., Eds.; Academic Press: Cambridge, MA, USA, 2018; pp. 135–175. ISBN 978-0-12-810499-6. [Google Scholar]
- Salama, A.; Mohamed, A.; Aboamera, N.M.; Osman, T.A.; Khattab, A. Photocatalytic Degradation of Organic Dyes Using Composite Nanofibers under UV Irradiation. Appl. Nanosci. 2018, 8, 155–161. [Google Scholar] [CrossRef]
- Xue, D.; Zhang, Y.; Gong, W.; Yin, Y.; Wang, Z.; Huang, L.; Chi, L. Interface Terminal Group Regulated Organic Phototransistors with Tunable Persistent and Switchable Photoconductivity. Sci. China Chem. 2022, 65, 2567–2575. [Google Scholar] [CrossRef]
- Qian, Y.; Ma, D. Covalent Organic Frameworks: New Materials Platform for Photocatalytic Degradation of Aqueous Pollutants. Materials 2021, 14, 5600. [Google Scholar] [CrossRef] [PubMed]
- Ma, D.; Li, J.; Liu, A.; Chen, C. Carbon Gels-Modified TiO2: Promising Materials for Photocatalysis Applications. Materials 2020, 13, 1734. [Google Scholar] [CrossRef] [PubMed]
- Kuo, C.-Y. Prevenient Dye-Degradation Mechanisms Using UV/TiO2/Carbon Nanotubes Process. J. Hazard. Mater. 2009, 163, 239–244. [Google Scholar] [CrossRef]
- Houas, A.; Lachheb, H.; Ksibi, M.; Elaloui, E.; Guillard, C.; Herrmann, J.M. Photocatalytic Degradation Pathway of Methylene Blue in Water. Appl. Catal. B Environ. 2001, 31, 145–157. [Google Scholar] [CrossRef]
- Kumar, K.V.; Porkodi, K.; Rocha, F. Langmuir-Hinshelwood Kinetics-A Theoretical Study. Catal. Commun. 2008, 9, 82–84. [Google Scholar] [CrossRef]
- Ahmad, M.; Naz, S.; Hussain, M. Low-Dimensional Hybrid Nanomaterials. In 21st Century Nanoscience–A Handbook; Sattler, K.D., Ed.; CRC Press: Boca Raton, FL, USA, 2020. [Google Scholar]
- Feng, X.; Xue, J.; Zhang, T.; Zhang, Z.; Han, C.; Dai, L.; Wang, L.; He, Z. Synergistic Catalysis of SnO2-CNTs Composite for /VO2+ and V2+/V3+ Redox Reactions. Front. Chem. 2021, 9, 671575. [Google Scholar] [CrossRef]
- David, M.E.; Ion, R.M.; Grigorescu, R.M.; Iancu, L.; Holban, A.M.; Nicoara, A.I.; Alexandrescu, E.; Somoghi, R.; Ganciarov, M.; Vasilievici, G.; et al. Hybrid Materials Based on Multi-walled Carbon Nanotubes and Nanoparticles with Antimicrobial Properties. Nanomaterials 2021, 11, 1415. [Google Scholar] [CrossRef]
- Warsi, M.F.; Bilal, M.; Zulfiqar, S.; Khalid, M.U.; Agboola, P.O.; Shakir, I. Enhanced Visible Light Driven Photocatalytic Activity of MnO2 nanomaterials and Their Hybrid Structure with Carbon Nanotubes. Mater. Res. Express 2020, 7, 105015. [Google Scholar] [CrossRef]
- Donthu, N.; Kumar, S.; Mukherjee, D.; Pandey, N.; Lim, W.M. How to Conduct a Bibliometric Analysis: An Overview and Guidelines. J. Bus. Res. 2021, 133, 285–296. [Google Scholar] [CrossRef]
- Aria, M.; Cuccurullo, C. Bibliometrix: An R-Tool for Comprehensive Science Mapping Analysis. J. Informetr. 2017, 11, 959–975. [Google Scholar] [CrossRef]
- Wrighton, M.S.; Ginley, D.S.; Wolczanski, P.T. Photoassisted Electrolysis of Water by Irradiation of a Titanium Dioxide Electrode. Proc. Natl. Acad. Sci. USA 1975, 72, 1518–1522. [Google Scholar] [CrossRef] [PubMed]
- Pápa, Z.; Kecsenovity, E.; Csontos, J.; Szabó, A.; Toth, Z.; Budai, J. Ellipsometric Analysis of Aligned Carbon Nanotubes for Designing Catalytic Support Systems. J. Nanosci. Nanotechnol. 2018, 19, 395–399. [Google Scholar] [CrossRef] [PubMed]
- Zhang, L.L.; Xiong, Z.; Zhao, X.S. Pillaring Chemically Exfoliated Graphene Oxide with Carbon Nanotubes for Photocatalytic Degradation of Dyes under Visible Light Irradiation. ACS Nano 2010, 4, 7030–7036. [Google Scholar] [CrossRef]
- Essa, W.K.; Yasin, S.A.; Abdullah, A.H.; Thalji, M.R.; Saeed, I.A.; Assiri, M.A.; Chong, K.F.; Ali, G.A.M.M. Taguchi L25 (54) Approach for Methylene Blue Removal by Polyethylene Terephthalate Nanofiber-Multi-Walled Carbon Nanotube Composite. Water 2022, 14, 1242. [Google Scholar] [CrossRef]
- Zhang, Y.; Li, Y.; Wang, M.; Chen, B.; Sun, Y.; Chen, K.; Du, Q.; Pi, X.; Wang, Y. Adsorption of Methylene Blue from Aqueous Solution Using Gelatin-Based Carboxylic Acid-Functionalized Carbon Nanotubes@Metal–Organic Framework Composite Beads. Nanomaterials 2022, 12, 2533. [Google Scholar] [CrossRef] [PubMed]
- Urbizagastegui, R. La Ley de Lotka y La Literatura de Bibliometría. Investig. Bibl. Arch. Bibl. E Inf. 1999, 13, 52–54. [Google Scholar] [CrossRef][Green Version]
- Bazrafshan, E.; Ahmadi Azqhandi, M.H.; Foroughi, M.; Gholami, Z. β-Cyclodextrin Grafted Multi-Walled Carbon Nanotubes/Chitosan (MWCNT/Cs/CD) Nanocomposite for Treatment of Methylene Blue-Containing Aqueous Solutions. Environ. Res. 2023, 231, 116208. [Google Scholar] [CrossRef]
- Saxena, M.; Sharma, N.; Saxena, R. Highly Efficient and Rapid Removal of a Toxic Dye: Adsorption Kinetics, Isotherm, and Mechanism Studies on Functionalized Multiwalled Carbon Nanotubes. Surf. Interfaces 2020, 21, 100639. [Google Scholar] [CrossRef]
- Yang, Y.; Zhu, W.; Guan, C. Application of Nitric Acid Modified Multi-Walled Carbon Nanotubes for Efficient Removal of Methylene Blue in Aqueous Solution. ChemistrySelect 2022, 7, 1–7. [Google Scholar] [CrossRef]
- Huan, Y.; Wang, G.; Li, C.; Li, G. Acrylic Acid Grafted-Multi-Walled Carbon Nanotubes and Their High-Efficiency Adsorption of Methylene Blue. J. Mater. Sci. 2020, 55, 4656–4670. [Google Scholar] [CrossRef]
- Liu, J.; Song, Y.; Xu, H.; Zhu, X.; Lian, J.; Xu, Y.; Zhao, Y.; Huang, L.; Ji, H.; Li, H. Non-Metal Photocatalyst Nitrogen-Doped Carbon Nanotubes Modified Mpg-C3N4: Facile Synthesis and the Enhanced Visible-Light Photocatalytic Activity. J. Colloid Interface Sci. 2017, 494, 38–46. [Google Scholar] [CrossRef] [PubMed]
- Dai, K.; Dawson, G.; Yang, S.; Chen, Z.; Lu, L. Large Scale Preparing Carbon Nanotube/Zinc Oxide Hybrid and Its Application for Highly Reusable Photocatalyst. Chem. Eng. J. 2012, 191, 571–578. [Google Scholar] [CrossRef]
- Fathy, N.A.; El-Khouly, S.M.; Aboelenin, R.M.M. Carbon Xerogel/Carbon Nanotubes Nanohybrid Doped with Ti for Removal of Methylene Blue Dye. Egypt. J. Chem. 2019, 62, 2277–2288. [Google Scholar] [CrossRef]
- Feng, K.; Song, B.; Li, X.; Liao, F.; Gong, J. Enhanced Photocatalytic Performance of Magnetic Multi-Walled Carbon Nanotubes/Cerium Dioxide Nanocomposite. Ecotoxicol. Environ. Saf. 2019, 171, 587–593. [Google Scholar] [CrossRef] [PubMed]
- Saini, P.K.; Kumar, N.; Chandra, R.; Nath, M.; Minocha, A.K. Facile Synthesis of Novel SWCNT/HgS Nanohybrid: An Effective Photocatalyst for Degradation of Methylene Blue. Mater. Lett. 2019, 250, 5–8. [Google Scholar] [CrossRef]
- Dana, A.; Sheibani, S. CNTs-Copper Oxide Nanocomposite Photocatalyst with High Visible Light Degradation Efficiency. Adv. Powder Technol. 2021, 32, 3760–3769. [Google Scholar] [CrossRef]
- Nath, A.; Mahato, M. Polystyrene-NiO-CNT Composite Ball and Film for Photocatalytic Degradation of Methylene Blue Dye. Mater. Today Proc. 2022, 57, 321–327. [Google Scholar] [CrossRef]
- Dutta, V.; Sonu; Raizada, P.; Verma, P.K.; Ahamad, T.; Thakur, S.; Hussain, C.M.; Singh, P. Constructing Carbon Nanotubes@CuBi2O4/AgBiO3 All Solid-State Mediated Z-Scheme Photocatalyst with Enhanced Photocatalytic Activity. Mater. Lett. 2022, 320, 132374. [Google Scholar] [CrossRef]
- Alheshibri, M.; Elsayed, K.; A.Haladu, S.; Musa Magami, S.; Al Baroot, A.; Ercan, İ.; Ercan, F.; A.Manda, A.; Çevik, E.; Kayed, T.S.; et al. Synthesis of Ag Nanoparticles-Decorated on CNTs/TiO2 Nanocomposite as Efficient Photocatalysts via Nanosecond Pulsed Laser Ablation. Opt. Laser Technol. 2022, 155, 108443. [Google Scholar] [CrossRef]
- Enrique Samaniego-Benítez, J.; García-García, A.; Ivette Rivera-Manrique, S.; Ramírez-Aparicio, J. Multiwalled Carbon Nanotubes/Zeolite Composite for Dye Degradation under Sunlight. Mater. Today Commun. 2023, 35, 106046. [Google Scholar] [CrossRef]
- Ratnakumari, S. Development of Non-Covalent Triazine Framework Decorated Carbon Nanotube as a Photocatalyst Support for Methylene Blue Dye Degradation. Ion. (Kiel) 2023, in press. [Google Scholar] [CrossRef]
- Ali, S.; Rehman, S.A.U.; Luan, H.Y.; Farid, M.U.; Huang, H. Challenges and Opportunities in Functional Carbon Nanotubes for Membrane-Based Water Treatment and Desalination. Sci. Total Environ. 2019, 646, 1126–1139. [Google Scholar] [CrossRef] [PubMed]
- Dimitrakopoulou, D.; Rethemiotaki, I.; Frontistis, Z.; Xekoukoulotakis, N.P.; Venieri, D.; Mantzavinos, D. Degradation, Mineralization and Antibiotic Inactivation of Amoxicillin by UV-A/TiO2 Photocatalysis. J. Environ. Manage. 2012, 98, 168–174. [Google Scholar] [CrossRef]
- Dordio, A.; Carvalho, A.J.P. Removal of Pharmaceuticals in Conventional Wastewater Treatment Plants. In Wastewater Treatment: Processes, Management Strategies and Environmental/Health Impacts; Barrett, L.M., Hauppauge, N.Y., Eds.; Nova Science Publishers, Inc.: Hauppauge, NY, USA, 2015; pp. 1–44. [Google Scholar]
- Murgolo, S.; Yargeau, V.; Gerbasi, R.; Visentin, F.; El Habra, N.; Ricco, G.; Lacchetti, I.; Carere, M.; Curri, M.L.; Mascolo, G. A New Supported TiO2 Film Deposited on Stainless Steel for the Photocatalytic Degradation of Contaminants of Emerging Concern. Chem. Eng. J. 2017, 318, 103–111. [Google Scholar] [CrossRef]











| Formula | C16H18ClN3S |
|---|---|
| Molecular weight | 319.859 uma |
| Average solubility | Water between 3.5 and 9.5%, alcohol between 1.48 and 63%, and glycol 10% |
| Absorbance | If pure, 663–667 nm |
| Studies | Toxic Doses (mg/kg) | Manifestation/Symptoms |
|---|---|---|
| Rats | 1180–1250 | Hypotension, neuronal apoptosis, a drop in systemic vascular resistance (SVR), decreased renal perfusion, and confusion |
| Mice | 3500 | |
| Sheep | 40 | |
| Dogs | 10–20 | |
| Humans | 2–5 | Hemolytic anemia, fever, methemoglobinemia, nausea, vomiting, chest pain, dyspnea, and hypertension |
| >5 | Fatal serotonin toxicity | |
| 20–80 | Refractory hypotension, reduced renal blood flow, fainting, and dermal discoloration |
| Adsorbent Material | Surface Area (SBET m2/g) | Pore-Volume (cm3/g) | Adsorption Capacity (mg/g) | Reaction Conditions | Ref. Year | ||
|---|---|---|---|---|---|---|---|
| Dye concentration (mg/L) | Catalyst Dosage (mg/L) | Removal Efficiency (%) | |||||
| Fe3O4-MWCNTs-bentonite | 204.01 | 0.367 | 48.2 | 10 | 0.3 | 100.0 | [8] 2009 |
| Purified CNTs | 160.00 | 0.67 | 35.4–64.7 | 5–40 | 0.3 | --- | [52] 2010 |
| MWCNTs | 177.00 | 0.54 | 188.68 | 40–120 | 0.5 | 82.70 | [54] 2012 |
| β-Cyclodextrin/ MWCNTs/Chitosan | 98.23 | --- | 603 | 23.00 | --- | 96.75 | [76] 2020 |
| Functionalized MWCNTs | --- | --- | 440 | 10–300 | 0.5 | 99.10 | [77] 2020 |
| PET-MWCNTs | --- | --- | 7.047 | 34–37 | 34–37 | 71.01 | [73] 2022 |
| Gel MWCNTs composite | 19.00 | ~0.3 | 106 | 100 | 0.5 | 81.00 | [74] 2022 |
| Nitric acid /MWCNTs | 65.77 | 0.321 | 288.65 | 50 | 1000 | 95.18 | [78] 2022 |
| Acrylic acid/MWCNTs | --- | --- | 329.8 | 50 | 16.66 | --- | [79] 2023 |
Disclaimer/Publisher’s Note: The statements, opinions and data contained in all publications are solely those of the individual author(s) and contributor(s) and not of MDPI and/or the editor(s). MDPI and/or the editor(s) disclaim responsibility for any injury to people or property resulting from any ideas, methods, instructions or products referred to in the content. |
© 2023 by the authors. Licensee MDPI, Basel, Switzerland. This article is an open access article distributed under the terms and conditions of the Creative Commons Attribution (CC BY) license (https://creativecommons.org/licenses/by/4.0/).
Share and Cite
Osorio-Aguilar, D.-M.; Saldarriaga-Noreña, H.-A.; Murillo-Tovar, M.-A.; Vergara-Sánchez, J.; Ramírez-Aparicio, J.; Magallón-Cacho, L.; García-Betancourt, M.-L. Adsorption and Photocatalytic Degradation of Methylene Blue in Carbon Nanotubes: A Review with Bibliometric Analysis. Catalysts 2023, 13, 1480. https://doi.org/10.3390/catal13121480
Osorio-Aguilar D-M, Saldarriaga-Noreña H-A, Murillo-Tovar M-A, Vergara-Sánchez J, Ramírez-Aparicio J, Magallón-Cacho L, García-Betancourt M-L. Adsorption and Photocatalytic Degradation of Methylene Blue in Carbon Nanotubes: A Review with Bibliometric Analysis. Catalysts. 2023; 13(12):1480. https://doi.org/10.3390/catal13121480
Chicago/Turabian StyleOsorio-Aguilar, Dahiana-Michelle, Hugo-Albeiro Saldarriaga-Noreña, Mario-Alfonso Murillo-Tovar, Josefina Vergara-Sánchez, Jeannete Ramírez-Aparicio, Lorena Magallón-Cacho, and María-Luisa García-Betancourt. 2023. "Adsorption and Photocatalytic Degradation of Methylene Blue in Carbon Nanotubes: A Review with Bibliometric Analysis" Catalysts 13, no. 12: 1480. https://doi.org/10.3390/catal13121480
APA StyleOsorio-Aguilar, D.-M., Saldarriaga-Noreña, H.-A., Murillo-Tovar, M.-A., Vergara-Sánchez, J., Ramírez-Aparicio, J., Magallón-Cacho, L., & García-Betancourt, M.-L. (2023). Adsorption and Photocatalytic Degradation of Methylene Blue in Carbon Nanotubes: A Review with Bibliometric Analysis. Catalysts, 13(12), 1480. https://doi.org/10.3390/catal13121480

