Sulfur and Water Resistance of Carbon-Based Catalysts for Low-Temperature Selective Catalytic Reduction of NOx: A Review
Abstract
:1. Introduction
2. Reaction Mechanisms of Carbon-Based Catalysts for SCR Denitration
2.1. Reaction Mechanisms of Carbon-Based Catalysts
2.2. Poisoning Mechanisms of Carbon-Based Catalysts
2.2.1. Poisoning of SO2
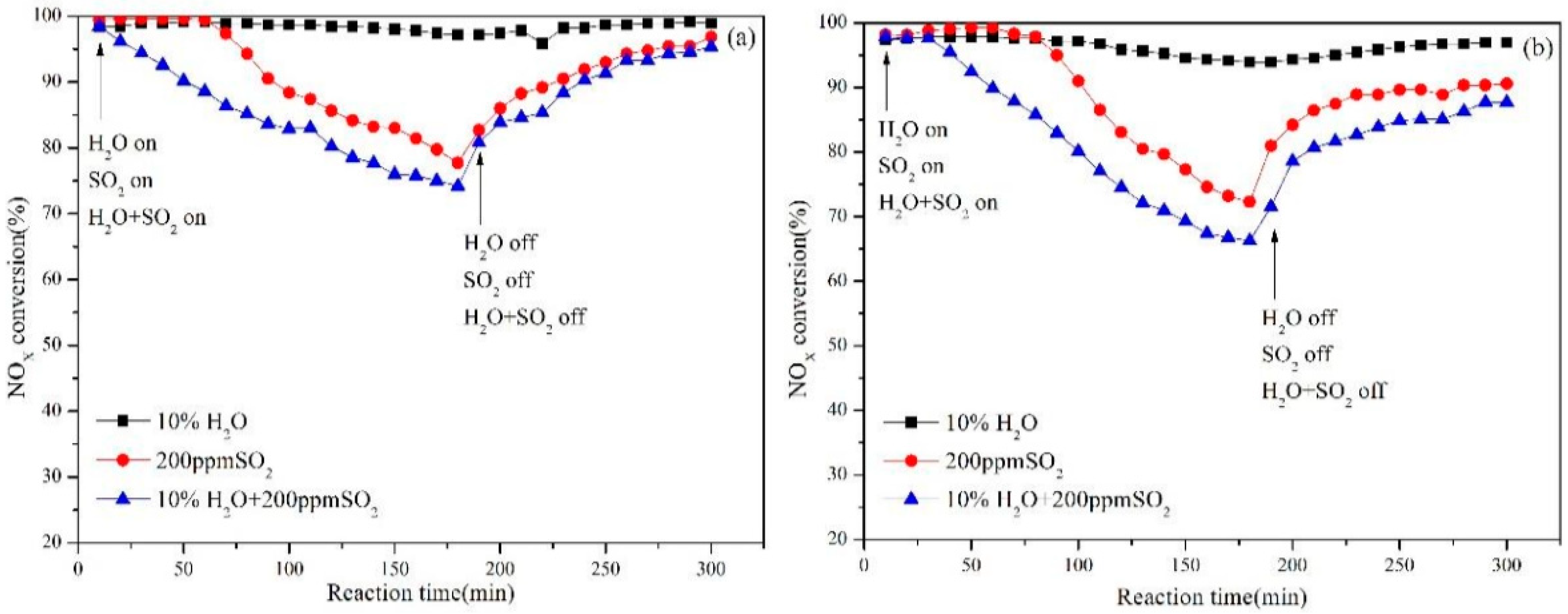
2.2.2. Poisoning of H2O
2.2.3. Poisoning of SO2 and H2O
3. Research Progresses of Carbon-Based Catalysts for SO2 and H2O Resistance
3.1. Effects of Support
3.1.1. Activated Carbon/Coke
3.1.2. Carbon Nanotubes
3.1.3. Activated Carbon Fiber
3.1.4. Graphene
3.2. Effects of Modification
3.2.1. Single Metal Oxide-Modified Catalysts
Single Mn-Modified Catalysts
Single Ce-Modified Catalysts
Single Fe-Modified Catalysts
Single V-Modified Catalysts
Other Single-Modified Catalysts
3.2.2. Bimetallic-Modified Catalysts
Mn–Ce Catalyst
Fe–Mn Catalyst
Other Bimetallic-Modified Catalysts
3.2.3. Polymetallic-Modified Catalyst
Fe–Mn–Ce Catalysts
V–Mn–Ce Catalyst
Other Polymetallic-Modified Catalysts
3.3. Application of Theoretical Calculation
4. Other Strategies for Improving Sulfur and Water Resistance
4.1. Preparation Methods
4.2. Preparation and Reaction Conditions
5. Conclusions and Perspectives
- (1)
- At present, the mixing or doping of metal oxides to carbon-based catalysts has been extensively studied to enhance H2O and SO2 resistance. However, the mechanism of anti-sulfur and anti-water reactions of carbon-based catalysts has not been thoroughly explored.
- (2)
- When the carbon-based material is used as the carrier of the catalyst reaction, in addition to providing a larger specific surface area, the active site is increased and the activity is improved. In this process, whether the carbon-based materials participate in the reaction process or have a certain influence on the active components needs further study.
- (3)
- Many studies have focused on the effect of supports on the activity of carbon-based catalysts and their resistance to sulfur and water. However, the influences of different preparation processes on the catalytic performance and sulfur resistance of carbon-based material have not been fully considered and studied. The influence of various factors on the anti-sulfur and water-resistance of carbon-based catalysts needs to be further studied.
- (4)
- Mn–Ce carbon-based catalysts have excellent low-temperature NH3-SCR activity and certain resistance to sulfur and wate, and are considered as the most promising denitrification catalysts. However, the research of Mn–Ce carbon-based catalysts is mainly in the laboratory stage, and its original poisoning mechanism needs to be further explored.
- (5)
- In the actual industrial flue gas, in addition to SO2 and H2O, it also contains heavy metals, alkali metals, and dust. Therefore, the influence mechanisms of SO2/H2O and other harmful substances on carbon-based catalysts need to be studied. Moreover, corresponding anti-poisoning strategies should also be proposed.
- (6)
- Noble metal catalysts have excellent catalytic performance, but they cannot be used in large scale due to the high cost. The use of non-noble metal catalysts instead of noble metal has become the focus and general trend of research. However, most of the non-noble metal carbon-based catalysts possess poor stability and general sulfur and water resistance and are only used in the laboratory. It is necessary to develop non-precious metal carbon-based catalysts with excellent sulfur and water resistance under industrial conditions.
- (7)
- Each industrial flue gas containing NOx has its own characteristics, and a single catalyst is difficult to meet the needs of NOx removal in all flue gases. Therefore, high-performance NH3-SCR catalysts should be designed and developed according to the characteristics of the actual flue gas.
- (8)
- At present, carbon-based SCR catalysts have achieved corresponding results in improving sulfur and water resistance, but most catalysts are still inactivated after use for a period of time. In my opinion, the rapid and low-cost regeneration methods of deactivated catalysts and corresponding mechanisms are another topic for future research.
Author Contributions
Funding
Data Availability Statement
Conflicts of Interest
References
- Wang, L.; Liu, M.; Ren, S.; Li, X.; Chen, Z.; Wang, M.; Chen, T.; Yang, J. Recent advance for NOx removal with carbonaceous material for low-temperature NH3-SCR reaction. Catal. Today 2023, 418, 114053. [Google Scholar] [CrossRef]
- Han, L.; Gao, M.; Feng, C.; Shi, L.; Zhang, D. Fe2O3-CeO2@Al2O3 nanoarrays on Al-mesh as SO2-tolerant monolith catalysts for NOx reduction by NH3. Environ. Sci. Technol. 2019, 53, 5946–5956. [Google Scholar] [CrossRef] [PubMed]
- Chen, L.; Ren, S.; Xing, X.; Yang, J.; Li, X.; Wang, M.; Chen, Z.; Liu, Q. Poisoning mechanism of KCl, K2O and SO2 on Mn–Ce/CuX catalyst for low-temperature SCR of NO with NH3. Process Saf. Environ. 2022, 167, 609–619. [Google Scholar] [CrossRef]
- Yang, J.; Ren, S.; Wang, M.; Chen, Z.; Chen, L.; Liu, L. Time-resolved in situ DRIFTS study on NH3-SCR of NO on a CeO2/TiO2 catalyst. Catal. Sci. Technol. 2022, 12, 1245–1256. [Google Scholar] [CrossRef]
- Yan, J.; Lu, X.; Zhang, C.; Li, Q.; Wang, J.; Liu, S.; Zheng, X.; Fan, X. An experimental study on the characteristics of NOx distributions at the SNCR inlets of a large-scale CFB boiler. Energies 2021, 14, 1267. [Google Scholar] [CrossRef]
- Mousavi, S.M.; Fatehi, H.; Bai, X.S. Numerical study of the combustion and application of SNCR for NOx reduction in a lab-scale biomass boiler. Fuel 2021, 293, 120154. [Google Scholar] [CrossRef]
- Liu, H.; Zhang, Y.; Wang, H.; You, C. Performance of Fe–Ni–W exchanged zeolite for NOx reduction with NH3 in a lab-scale circulating fluidized bed. Fuel 2022, 307, 121807. [Google Scholar] [CrossRef]
- Chen, Z.; Guo, R.; Ren, S.; Chen, L.; Li, X.; Wang, M. Comparative analysis of the dual origins of the N2O byproduct on MnOx, FeOx, and MnFeOx sphere catalysts for a low-temperature SCR of NO with NH3. J. Mater. Chem. A 2022, 10, 21474–21491. [Google Scholar] [CrossRef]
- Zhou, Y.; Su, B.; Ren, S.; Chen, Z.; Su, Z.; Yang, J.; Chen, L.; Wang, M. Nb2O5-modified Mn–Ce/AC catalyst with high ZnCl2 and SO2 tolerance for low-temperature NH3-SCR of NO. J. Environ. Chem. Eng. 2021, 9, 106323. [Google Scholar] [CrossRef]
- Wang, M.; Su, B.; Ren, S.; Liu, W.; Yang, J.; Chen, Z.; Chen, L. Different lead species deactivation on Mn–Ce activated carbon supported catalyst for low-temperature SCR of NO with NH3: Comparison of PbCl2, Pb (NO3)2 and PbSO4. J. Colloid Interf. Sci. 2022, 622, 549–561. [Google Scholar] [CrossRef]
- Li, X.; Chen, J.; Lu, C.; Luo, G.; Yao, H. Mechanism of N2O generation over chromium poisoned γ-Fe2O3 catalyst during selective catalytic reduction of NOx with NH3. Fuel 2021, 299, 120910. [Google Scholar] [CrossRef]
- Li, M.; Guo, Y.; Yang, J. Spatially nanoconfined architectures: A promising design for selective catalytic reduction of NOx. Chemcatchem 2020, 12, 5599–5610. [Google Scholar] [CrossRef]
- Guan, Y.; Liu, Y.; Lv, Q.; Wang, B.; Che, D. Review on the selective catalytic reduction of NOx with H2 by using novel catalysts. J. Environ. Chem. Eng. 2021, 9, 106770. [Google Scholar] [CrossRef]
- Pu, Y.; Xie, X.; Jiang, W.; Yang, L.; Jiang, X.; Yao, L. Low-temperature selective catalytic reduction of NOx with NH3 over zeolite catalysts: A review. Chin. Chem. Lett. 2020, 31, 2549–2555. [Google Scholar] [CrossRef]
- Chen, H.; Zhang, Y.J.; He, P.Y.; Li, C.J.; Liu, L.C. Facile synthesis of cost-effective iron enhanced hetero-structure activated carbon/geopolymer composite catalyst for NH3-SCR: Insight into the role of iron species. Appl. Catal. A-Gen. 2020, 605, 117804. [Google Scholar] [CrossRef]
- Shen, Z.; Xing, X.; Wang, S.; Lv, M.; Li, J.; Li, T. Effect of K-modified blue coke-based activated carbon on low temperature catalytic performance of supported Mn–Ce/activated carbon. ACS Omega 2022, 7, 8798–8807. [Google Scholar] [CrossRef]
- Si, W.; Liu, H.; Yan, T.; Wang, H.; Fan, C.; Xiong, S.; Zhao, Z.; Peng, Y.; Chen, J.; Li, J. Sn-doped rutile TiO2 for vanadyl catalysts: Improvements on activity and stability in SCR reaction. Appl. Catal. B-Environ. 2020, 269, 118797. [Google Scholar] [CrossRef]
- Mi, T.; Wu, Y.; Zhou, X.; Li, W.; Zhao, L.; Liu, J.; Lu, Q. Catalytic oxidation of CO over V2O5/TiO2 and V2O5-WO3/TiO2 catalysts: A DFT study. Fuel Process. Technol. 2021, 213, 106678. [Google Scholar] [CrossRef]
- Kong, M.; Liu, Q.; Wang, X.; Ren, S.; Yang, J.; Zhao, D.; Xi, W.; Yao, L. Performance impact and poisoning mechanism of arsenic over commercial V2O5-WO3/TiO2 SCR catalyst. Catal. Commun. 2015, 72, 121–126. [Google Scholar] [CrossRef]
- He, Y.; Ford, M.E.; Zhu, M.; Liu, Q.; Tumuluri, U.; Wu, Z.; Wachs, I.E. Influence of catalyst synthesis method on selective catalytic reduction (SCR) of NO by NH3 with V2O5-WO3/TiO2 catalysts. Appl. Catal. B-Environ. 2016, 193, 141–150. [Google Scholar] [CrossRef]
- Xie, X.; Lu, J.; Hums, E.; Huang, Q.; Lu, Z. Study on the Deactivation of V2O5–WO3/TiO2 selective catalytic reduction catalysts through transient kinetics. Energy Fuels 2015, 29, 3890–3896. [Google Scholar] [CrossRef]
- Wang, X.; Du, X.; Xue, J.; Yang, G.; Chen, Y.; Zhang, L. New insights into the N2O formation mechanism during selective catalytic reduction of NOx with NH3 over V-based catalyst. Catal. Today 2020, 355, 555–562. [Google Scholar] [CrossRef]
- Liu, L.; Wang, B.; Yao, X.; Yang, L.; Jiang, W.; Jiang, X. Highly efficient MnOx/biochar catalysts obtained by air oxidation for low-temperature NH3-SCR of NO. Fuel 2021, 283, 119336. [Google Scholar] [CrossRef]
- Won, J.M.; Kim, M.S.; Hong, S.C. Enhancement of performance and sulfur resistance of Si-doped V/W/Ti using sulfation for selective catalytic reduction of NOx with ammonia. Environ. Technol. 2021, 44, 600–618. [Google Scholar] [CrossRef]
- Li, X.; Ren, S.; Chen, Z.; Jiang, Y.; Wang, M.; Wang, L.; Liu, M. Unraveling the morphology and crystal plane dependence of bifunctional MnO2 catalyst for simultaneous removal of NO and CO at low temperature. Sep. Purif. Technol. 2023, 325, 124760. [Google Scholar] [CrossRef]
- Wang, Y.; Zhang, L.; Li, R.; He, H.; Wang, H.; Huang, L. MOFs-based coating derived Me–ZIF-67@CuOx materials as low-temperature NO-CO catalysts. Chem. Eng. J. 2020, 381, 122757. [Google Scholar] [CrossRef]
- Zhang, N.; Li, L.; Guo, Y.; He, J.; Wu, R.; Song, L.; Zhang, G.; Zhao, J.; Wang, D.; He, H. A MnO2-based catalyst with H2O resistance for NH3-SCR: Study of catalytic activity and reactants-H2O competitive adsorption. Appl. Catal. B-Environ. 2020, 270, 118860. [Google Scholar] [CrossRef]
- Zhou, Y.; Liu, C.; Song, P.; Guo, J.; Yin, H.; Chu, Y. CeOx/AC catalysts for selective catalytic reduction of NO by NH3. Chin. J. Chem. Eng. 2012, 6, 2720–2724. [Google Scholar]
- Wu, X.; Fang, G.; Liang, Z.; Leng, W.; Xu, K.; Jiang, D.; Ni, J.; Li, X. Catalytic upgrading of ethanol to n-butanol over M-CeO2/AC (M = Cu, Fe, Co, Ni and Pd) catalysts. Catal. Commun. 2017, 100, 15–18. [Google Scholar] [CrossRef]
- Yang, J.; Ren, S.; Su, B.; Wang, M.; Chen, L.; Liu, Q. Understanding the dual-acting of iron and sulfur dioxide over Mn–Fe/AC catalysts for low-temperature SCR of NO. Mol. Catal. 2022, 519, 112150. [Google Scholar] [CrossRef]
- Halepoto, A.; Kashif, M.; Su, Y.; Cheng, J.; Deng, W.; Zhao, B. Preparations and characterization on Fe based catalyst supported on coconut shell activated carbon CS(AC) and SCR of NOx–HC. Catal. Surv. Asia 2020, 24, 123–133. [Google Scholar] [CrossRef]
- Zhang, Y.; Liu, L.; Chen, Y.; Cheng, X.; Song, C.; Ding, M.; Zhao, H. Synthesis of MnO2-CuO-Fe2O3/CNTs catalysts: Low-temperature SCR activity and formation mechanism. Beilstein J. Nanotechnol. 2019, 10, 848–855. [Google Scholar] [CrossRef]
- Yang, J.; Zhou, J.; Tong, W.; Zhang, T.; Kong, M.; Ren, S. Low-temperature flue gas denitration with transition metal oxides supported on biomass char. J. Energy Inst. 2019, 92, 1158–1166. [Google Scholar] [CrossRef]
- Tang, C.; Zhang, H.; Dong, L. Ceria-based catalysts for low-temperature selective catalytic reduction of NO with NH3. Catal. Sci. Technol. 2016, 6, 1248–1264. [Google Scholar] [CrossRef]
- Liu, C.; Shi, J.W.; Gao, C.; Niu, C. Manganese oxide-based catalysts for low-temperature selective catalytic reduction of NOx with NH3: A review. Appl. Catal. A-Gen. 2016, 522, 54–69. [Google Scholar] [CrossRef]
- Lu, P.; Ye, L.; Yan, X.; Chen, X.; Fang, P.; Chen, D.; Chen, D.; Cen, C. N2O inhibition by toluene over Mn–Fe spinel SCR catalyst. J. Hazard. Mater. 2021, 414, 125468. [Google Scholar] [CrossRef]
- Zhang, N.; He, H.; Wang, D.; Li, Y. Challenges and opportunities for manganese oxides in low-temperature selective catalytic reduction of NOx with NH3: H2O resistance ability. J. Solid State Chem. 2020, 289, 121464. [Google Scholar] [CrossRef]
- Xu, J.; Zhang, Y.; Zou, X.; Tang, T.; Zhang, Q.; Guo, F.; Liu, H. Recent advances and perspectives in the resistance of SO2 and H2O of cerium-based catalysts for NOx selective catalytic reduction with ammonia. New J. Chem. 2022, 46, 2053–2067. [Google Scholar] [CrossRef]
- Tang, J.; Wang, X.; Li, H.; Xing, L.; Liu, M. The resistance of SO2 and H2O of Mn-based catalysts for NOx selective catalytic reduction with ammonia: Recent advances and perspectives. ACS Omega 2023, 8, 7262–7278. [Google Scholar] [CrossRef]
- Chen, Y.; Wang, J.P.; Yan, Z.; Liu, L.L.; Zhang, Z.T.; Wang, X.D. Promoting effect of Nd on the reduction of NO with NH3 over CeO2 supported by activated semi-coke: An in-situ DRIFTS study. Catal. Sci. Technol. 2015, 5, 2251–2259. [Google Scholar] [CrossRef]
- Wang, S.; Guo, R.; Pan, W.; Chen, Q.; Sun, P.; Li, M.; Liu, S. The deactivation of Ce/TiO2 catalyst for NH3-SCR reaction by alkali metals: TPD and DRIFT studies. Catal. Commun. 2017, 89, 143–147. [Google Scholar] [CrossRef]
- Yeh, C.; Ji, B.; Nachimuthu, S.; Jiang, J. A computational study of CO oxidation on IrO2 (110) surface. Appl. Surf. Sci. 2021, 539, 148244. [Google Scholar] [CrossRef]
- Gao, C.; Shi, J.W.; Fan, Z.; Gao, G.; Niu, C. Sulfur and water resistance of Mn-Based catalysts for low-temperature selective catalytic reduction of NOx: A review. Catalysts 2018, 8, 11. [Google Scholar] [CrossRef]
- Yan, L.; Wang, F.; Wang, P.; Impeng, S.; Liu, X.; Han, L.; Yan, T.; Zhang, D. Unraveling the unexpected offset effects of Cd and SO2 deactivation over CeO2-WO3/TiO2 catalysts for NOx reduction. Environ. Sci. Technol. 2020, 54, 7697–7705. [Google Scholar] [CrossRef] [PubMed]
- Chai, Y.; Zhang, G.; He, H.; Sun, S. Theoretical study of the catalytic activity and anti-SO2 poisoning of a MoO3/V2O5 selective catalytic reduction catalyst. ACS Omega 2020, 5, 26978–26985. [Google Scholar] [CrossRef] [PubMed]
- Chen, Z.; Ren, S.; Wang, M.; Yang, J.; Chen, L.; Liu, W.; Liu, Q.; Su, B. Insights into samarium doping effects on catalytic activity and SO2 tolerance of MnFeOx catalyst for low-temperature NH3-SCR reaction. Fuel 2022, 321, 1124113. [Google Scholar] [CrossRef]
- Xu, G.; Guo, X.; Cheng, X.; Yu, J.; Fang, B. A review of Mn-based catalysts for low-temperature NH3-SCR: NOx removal and H2O/SO2 resistance. Nanoscale 2021, 13, 7052. [Google Scholar] [CrossRef]
- Zhang, X.; Liu, S.; Ma, K.; Chen, Y.; Jin, S.; Wang, X.; Wu, X. Study on the mechanism of SO2 poisoning of MnOx/PG for lower temperature SCR by simple washing regeneration. Catalysts 2021, 11, 1360. [Google Scholar] [CrossRef]
- Wang, C.; San, Z.; Tang, X.; Wang, Y.; Yi, H.; Gao, F. Novel Ni-Mn bi-oxides doped active coke catalysts for NH3-SCR De–NOx at low temperature. Chem. Select 2020, 5, 6494–6503. [Google Scholar]
- Wu, C.F.; Nahil, M.A.; Sun, X.; Singh, S.; Chen, J.H.; Shen, B.X.; Williams, P.T. Novel application of biochar from biomass pyrolysis for low temperature selective catalytic reduction. J. Energy Inst. 2012, 85, 236–239. [Google Scholar] [CrossRef]
- Zhu, T.; Zhang, X.; Bian, W.; Han, Y.; Liu, T.; Liu, H. DeNOx of nano-catalyst of selective catalytic reduction using active carbon loading MnOx–Cu at low temperature. Catalysts 2020, 10, 135. [Google Scholar] [CrossRef]
- Liu, K.; Yu, Q.; Wang, B.; Qin, Q.; Wei, M.; Fu, Q. Low temperature selective catalytic reduction of nitric oxide with urea over activated carbon supported metal oxide catalysts. Environ. Technol. 2020, 41, 808–821. [Google Scholar] [CrossRef] [PubMed]
- Li, P.; Liu, Z.; Li, Q.; Wu, W.; Liu, Q. Multiple roles of SO2 in selective catalytic reduction of NO by NH3 over V2O5/AC catalyst. Ind. Eng. Chem. Res. 2014, 53, 7910–7916. [Google Scholar] [CrossRef]
- Jiang, L.; Liu, Q.; Ran, G.; Kong, M.; Ren, S.; Yang, J.; Li, J. V2O5-modified Mn–Ce/AC catalyst with high SO2 tolerance for low-temperature NH3-SCR of NO. Chem. Eng. J. 2019, 370, 810–821. [Google Scholar] [CrossRef]
- Zhang, Y.; Zheng, Y.; Zou, H.; Zhang, X. One-step synthesis of ternary MnO2-Fe2O3-CeO2-Ce2O3/CNT catalysts for use in low-temperature NO reduction with NH3. Catal. Commun. 2015, 71, 46–50. [Google Scholar] [CrossRef]
- Jiang, L.; Liu, Q.; Zhao, Q.; Ren, S.; Kong, M.; Yao, L.; Meng, F. Promotional effect of Ce on the SCR of NO with NH3 at low temperature over MnOx supported by nitric acid-modified activated carbon. Res. Chem. Intermmediat. 2017, 44, 1729–1744. [Google Scholar] [CrossRef]
- Shen, Q.; Zhang, L.; Sun, N.; Wang, H.; Zhong, L.; He, C.; Wei, W.; Sun, Y. Hollow MnOx–CeO2 mixed oxides as highly efficient catalysts in NO oxidation. Chem. Eng. J. 2017, 322, 46–55. [Google Scholar] [CrossRef]
- Eid, K.; Gamal, A.; Abdullah, A.M. Graphitic carbon nitride-based nanostructures as emergent catalysts for carbon monoxide (CO) oxidation. Green Chem. 2023, 25, 1276–1310. [Google Scholar] [CrossRef]
- Youn, J.R.; Kim, M.J.; Lee, S.J.; Ryu, I.S.; Yoon, H.C.; Jeong, S.K.; Lee, K.; Jeon, S.G. The influence of CNTs addition on Mn–Ce/TiO2 catalyst for low-temperature NH3-SCR of NO. Catal. Commun. 2021, 152, 106282. [Google Scholar] [CrossRef]
- Cai, S.; Hu, H.; Li, H.; Shi, L.; Zhang, D. Design of multi-shell Fe2O3@MnOx@CNTs for the selective catalytic reduction of NO with NH3: Improvement of catalytic activity and SO2 tolerance. Nanoscale 2016, 8, 3588–3598. [Google Scholar] [CrossRef]
- Zhu, L.; Huang, B.; Wang, W.; Wei, Z.; Ye, D. Low-temperature SCR of NO with NH3 over CeO2 supported on modified activated carbon fibers. Catal. Commun. 2011, 12, 394–398. [Google Scholar] [CrossRef]
- Wang, M.; Liu, H.; Huang, Z.H.; Kang, F. Activated carbon fibers loaded with MnO2 for removing NO at room temperature. Chem. Eng. J. 2014, 256, 101–106. [Google Scholar] [CrossRef]
- Hou, Y.; Li, Y.; Li, Q.; Liu, Y.; Huang, Z. Insight into the role of TiO2 modified activated carbon fibers for the enhanced performance in low-temperature NH3-SCR. Fuel 2019, 245, 554–562. [Google Scholar] [CrossRef]
- You, X.; Sheng, Z.; Yu, D.; Yang, L.; Xiao, X.; Wang, S. Influence of Mn/Ce ratio on the physicochemical properties and catalytic performance of graphene supported MnOx–CeO2 oxides for NH3-SCR at low temperature. Appl. Surf. Sci. 2017, 423, 845–854. [Google Scholar] [CrossRef]
- Nemati, F.; Rezaie, M.; Tabesh, H.; Eid, K.; Xu, G.B.; Ganjali, M.R.; Hosseini, M.; Karaman, C.; Erk, N.; Show, P.L. Cerium functionalized graphene nano-structures and their applications: A review. Environ. Res. 2022, 208, 112685. [Google Scholar] [CrossRef] [PubMed]
- Lu, X.; Song, C.; Jia, S.; Tong, Z.; Tang, X.; Teng, Y. Low-temperature selective catalytic reduction of NOx with NH3 over cerium and manganese oxides supported on TiO2-graphene. Chem. Eng. J. 2015, 260, 776–784. [Google Scholar] [CrossRef]
- Lu, X.; Song, C.; Chang, C.; Teng, Y.; Tong, Z.; Tang, X. Manganese oxides supported on TiO2-graphene nanocomposite catalysts for selective catalytic reduction of NOx with NH3 at low temperature. Ind. Eng. Chem. Res. 2014, 53, 11601–11610. [Google Scholar] [CrossRef]
- Zheng, W.; Zheng, Y. In-situ fabrication of three-dimensional porous structure Mn-based catalytic filter for low-temperature NO reduction with NH3. Mol. Catal. 2021, 514, 111642. [Google Scholar] [CrossRef]
- Balzarotti, R.; Fratalocchi, L.; Latorrata, S.; Finocchi, E.; Cristiani, C. Effective Ce-based catalysts deposition on ceramic open cell foams. Appl. Catal. A-Gen. 2019, 584, 117089. [Google Scholar] [CrossRef]
- Chen, Z.; Ren, S.; Xing, X.; Li, X.; Chen, L.; Wang, M. Unveiling the inductive strategy of different precipitants on MnFeOx catalyst for low-temperature NH3-SCR reaction. Fuel 2023, 335, 126986. [Google Scholar] [CrossRef]
- Cao, L.; Chen, L.; Wu, X.; Ran, R.; Xu, T.; Chen, Z.; Weng, D. TRA and DRIFTS studies of the fast SCR reaction over CeO2/TiO2 catalyst at low temperatures. Appl. Catal. A-Gen. 2018, 557, 46–54. [Google Scholar] [CrossRef]
- Yang, J.; Ren, S.; Zhou, Y.; Su, Z.; Yao, L.; Cao, J.; Jiang, L.; Hu, G.; Kong, M.; Yang, J.; et al. In situ IR comparative study on N2O formation pathways over different valence states manganese oxides catalysts during NH3–SCR of NO. Chem. Eng. J. 2020, 397, 125446. [Google Scholar] [CrossRef]
- Wang, L.; Huang, B.; Su, Y.; Zhou, G.; Wang, K.; Luo, H.; Ye, D. Manganese oxides supported on multi-walled carbon nanotubes for selective catalytic reduction of NO with NH3: Catalytic activity and characterization. Chem. Eng. J. 2012, 192, 232–241. [Google Scholar] [CrossRef]
- Fang, C.; Zhang, D.; Shi, L.; Gao, R.; Li, H.; Ye, L.; Zhang, J. Highly dispersed CeO2 on carbon nanotubes for selective catalytic reduction of NO with NH3. Catal. Sci. Technol. 2013, 3, 803–811. [Google Scholar] [CrossRef]
- Zhang, D.; Zhang, L.; Fang, C.; Gao, R.; Qian, Y.; Shi, L.; Zhang, J. MnOx–CeOx/CNTs pyridine-thermally prepared via a novel in situ deposition strategy for selective catalytic reduction of NO with NH3. RSC Adv. 2013, 3, 8811–8819. [Google Scholar] [CrossRef]
- Magnusson, M.; Fridell, E.; Ingelsten, H. The influence of sulfur dioxide and water on the performance of a marine SCR catalyst. Appl. Catal. B-Environ. 2012, 111, 20–26. [Google Scholar] [CrossRef]
- Portillo-Vélez, N.; Zanella, R. Comparative study of transition metal (Mn, Fe or Co) catalysts supported on titania: Effect of Au nanoparticles addition towards CO oxidation and soot combustion reactions. Chem. Eng. J. 2020, 385, 123848. [Google Scholar] [CrossRef]
- Gu, J.; Duan, R.; Chen, W.; Chen, Y.; Liu, L.; Wang, X. Promoting effect of Ti species in MnOx–FeOx/Silicalite-1 for the low-temperature NH3-SCR reaction. Catalysts 2020, 10, 566. [Google Scholar] [CrossRef]
- Gholami, F.; Gholami, Z.; Tomas, M.; Vavrunkova, V.; Mirzaei, S.; Vakili, M. Promotional effect of Manganese on selective catalytic reduction of NO by CO in the presence of excess O2 over M@La–Fe/AC (M = Mn, Ce) catalyst. Catalysts 2020, 10, 1322. [Google Scholar] [CrossRef]
- Chen, J.; Zhu, B.; Sun, Y.; Yin, S.; Zhu, Z.; Li, J. Investigation of low-temperature selective catalytic reduction of NOx with ammonia over Mn-modified Fe2O3/AC catalysts. J. Braz. Chem. Soc. 2018, 29, 79–87. [Google Scholar]
- Yin, S.; Zhu, B.; Sun, Y.; Zi, Z.; Fang, Q.; Li, G.; Chen, C.; Xu, T.; Li, J. Effect of Mn addition on the low-temperature NH3-selective catalytic reduction of NOx over Fe2O3/activated coke catalysts: Experiment and mechanism. Asia-Pac. J. Chem. Eng. 2018, 13, 2231. [Google Scholar] [CrossRef]
- Xu, Y.; Wu, X.; Lin, Q.; Hu, J.; Ran, R.; Weng, D. SO2 promoted V2O5-MoO3/TiO2 catalyst for NH3-SCR of NO at low temperatures. Appl. Catal. A-Gen. 2019, 570, 42–50. [Google Scholar] [CrossRef]
- Wang, J.; Yan, Z.; Liu, L.; Chen, Y.; Zhang, Z.; Wang, X. In situ DRIFTS investigation on the SCR of NO with NH3 over V2O5 catalyst supported by activated semi-coke. Appl. Surf. Sci. 2014, 313, 660–669. [Google Scholar] [CrossRef]
- Zhu, Z.; Niu, H.; Liu, Z.; Liu, S. Decomposition and reactivity of NH4HSO4 on V2O5/AC catalysts used for NO reduction with ammonia. J. Catal. 2000, 195, 268–278. [Google Scholar] [CrossRef]
- Fang, Y.; Cao, J.; Zhang, X.; Cao, Y.; Song, N.; Qian, G.; Zhou, X.; Duan, X. Crucial roles of support modification and promoter introduction in Fe/CNT catalyzed syngas conversion to lower olefins. Catal. Today 2021, 368, 126–132. [Google Scholar] [CrossRef]
- Hou, X.; Chen, H.; Liang, Y.; Yang, X.; Wei, Y. Pr-doped modified Fe–Mn/TiO2 catalysts with a high activity and SO2 tolerance for NH3-SCR at low-temperature. Catal. Lett. 2020, 150, 1041–1048. [Google Scholar] [CrossRef]
- Wang, J.; Shan, J.; Tian, Y.; Zhu, T.; Duan, H.; He, X.; Qiao, C.; Liu, G. Catalytic cracking of n-heptane over Fe modified HZSM-5 nanosheet to produce light olefins. Fuel 2021, 306, 121725. [Google Scholar] [CrossRef]
- Li, S.; Wang, X.; Tan, S.; Shi, Y.; Li, W. CrO3 supported on sargassum-based activated carbon as low temperature catalysts for the selective catalytic reduction of NO with NH3. Fuel 2017, 191, 511–517. [Google Scholar] [CrossRef]
- Wang, Y.; Li, X.; Zhan, L.; Li, C.; Qiao, W.; Ling, L. Effect of SO2 on activated carbon honeycomb supported CeO2-MnOx catalyst for NO removal at low temperature. Ind. Eng. Chem. Res. 2015, 54, 2274–2278. [Google Scholar] [CrossRef]
- Zhang, D.; Zhang, L.; Shi, L.; Fang, C.; Li, H.; Gao, R.; Huang, L.; Zhang, J. In situ supported MnOx–CeOx on carbon nanotubes for the low-temperature selective catalytic reduction of NO with NH3. Nanoscale 2013, 5, 1127–1136. [Google Scholar] [CrossRef]
- Zhang, Y.; Xu, Z.; Wang, X.; Lu, X.; Zheng, Y. Fabrication of Mn–FeOx/CNTs catalysts for low-temperature NO reduction with NH3. Nanoscale 2015, 10, 1550050. [Google Scholar] [CrossRef]
- Zhan, S.; Shi, Q.; Zhang, Y.; Li, Y.; Tian, Y. Preparation of novel CeMox hollow microspheres for low-temperature SCR removal of NOx with NH3. RSC Adv. 2016, 6, 59185–59194. [Google Scholar] [CrossRef]
- Yang, W.; Liu, F.; Xie, L.; Lan, Z.; He, H. Effect of V2O5 additive on the SO2 resistance of a Fe2O3/AC catalyst for NH3-SCR of NOx at low temperatures. Ind. Eng. Chem. Res. 2016, 55, 2677–2685. [Google Scholar] [CrossRef]
- Yang, J.; Ren, S.; Zhang, T.; Su, Z.; Long, H.; Kong, M.; Yao, L. Iron doped effects on active sites formation over activated carbon supported Mn–Ce oxide catalysts for low-temperature SCR of NO. Chem. Eng. J. 2020, 379, 122398. [Google Scholar] [CrossRef]
- Jiang, L.; Liang, Y.; Liu, W.; Wu, H.; Aldahri, T.; Carrero, D.S.; Liu, Q. Synergistic effect and mechanism of FeOx and CeOx co-doping on the superior catalytic performance and SO2 tolerance of Mn–Fe–Ce/ACN catalyst in low-temperature NH3-SCR of NOx. J. Environ. Chem. Eng. 2021, 9, 106360. [Google Scholar] [CrossRef]
- Zhang, H.; Zhang, M.; Hao, L.; Wang, J.; Ma, Y.; Zhang, Y.; Jiao, T.; Zhang, W.; Chen, S.; Liang, P. Enhanced SO2 tolerance of FeCeOx/CNTs catalyst for NO and Hg0 removal by coating shell SiO2. Fuel Process. Technol. 2020, 201, 106342. [Google Scholar] [CrossRef]
- Raja, S.; Alphin, M. Systematic effects of Fe doping on the activity of V2O5/TiO2-carbon nanotube catalyst for NH3-SCR of NOx. J. Nanopart. Res. 2020, 22, 190. [Google Scholar] [CrossRef]
- Pan, K.; Young, C.; Pan, G.; Chang, M. Catalytic reduction of NO by CO with Cu-based and Mn-based catalysts. Catal. Today 2020, 348, 15–25. [Google Scholar] [CrossRef]
- Zhao, Z.; Li, E.; Qin, Y.; Liu, X.; Zou, Y.; Wu, H.; Zhu, T. Density functional theory (DFT) studies of vanadium-titanium based selective catalytic reduction (SCR) catalysts. J. Environ. Sci. 2020, 90, 119–137. [Google Scholar] [CrossRef]
- Guan, B.; Jiang, H.; Wei, Y.; Liu, Z.; Wu, X.; Lin, H.; Huang, Z. Density functional theory researches for atomic structure, properties prediction, and rational design of selective catalytic reduction catalysts: Current progresses and future perspectives. Mol. Catal. 2021, 510, 111704. [Google Scholar] [CrossRef]
- Liu, T.; Yang, R.; Zhang, G.; Wu, W.; Yang, Z.; Lin, R.; Wang, X.; Jiang, Y. Mechanism of selective catalytic reduction of NOx with NH3 over CeO2-TiO2: Insight from in-situ DRIFTS and DFT calculations. Appl. Surf. Sci. 2021, 568, 150764. [Google Scholar] [CrossRef]
- Ali, Z.; Wu, Y.; Wu, Y.; Arain, Z.; Xu, M.; Lu, Q.; Ma, H.; Zhao, H. Inhibition effects of Pb species on the V2O5-MoO3/TiO2 catalyst for selective catalytic reduction of NOx with NH3: A DFT supported experimental study. Appl. Surf. Sci. 2020, 525, 146582. [Google Scholar] [CrossRef]
- Xie, C.; Sun, Y.; Zhu, B.; Song, W.; Xu, M. Adsorption mechanism of NH3, NO, and O2 molecules over the FexOy/AC catalyst surface: A DFT-D3 study. New J. Chem. 2021, 45, 3169–3180. [Google Scholar] [CrossRef]
- Zhang, M.; Huang, X.; Chen, Y. DFT insights into the adsorption of NH3-SCR related small gases in Mn–MOF-74. Phys. Chem. Chem. Phys. 2016, 18, 28854–28863. [Google Scholar] [CrossRef] [PubMed]
- Liu, C.; Wang, H.; Zhang, Z.; Liu, Q. The latest research progress of NH3-SCR in the SO2 resistance of the catalyst in low temperatures for selective catalytic reduction of NOx. Catalysts 2020, 10, 1034. [Google Scholar] [CrossRef]
- Lu, W.; Lu, H.; Zhang, Z. TiO2-SiO2 supported MnWOx catalysts by liquid-phase deposition for low-temperature NH3-SCR. R. Soc. Open Sci. 2019, 6, 180669. [Google Scholar] [CrossRef]
- Wan, Y.; Xu, Y.; Peng, B.; Zhao, L.; Gao, Q.; Jiang, D. Two new coordination polymers: Magnetic properties and treatment activity on non-small cell lung cancer by reversing the resistance of the cancer cells. Arab. J. Chem. 2021, 14, 102921. [Google Scholar] [CrossRef]
- Wang, H.; Yang, M.; Jin, S.; Zhang, R.; Li, W.; Wang, Y.; Huo, W.; Wang, X.; Qiao, W.; Ling, L. Promotion of phosphorus on carbon supports for MnOx–CeO2 catalysts in low-temperature NH3-SCR with enhanced SO2 resistance. ChemistrySelect 2021, 6, 3642–3655. [Google Scholar] [CrossRef]
- Qi, G.; Yang, R. A superior catalyst for low-temperature NO reduction with NH3. Chem. Commun. 2003, 7, 848–849. [Google Scholar] [CrossRef]
- Miao, J.; Su, Q.; Li, H.; Chen, J.; Wang, J. The promotional effect of MnO on (NH4)2S2O8-modified activated coke for selective catalytic reduction of NO with NH3 at low temperature. J. Energy Inst. 2020, 93, 2017–2024. [Google Scholar] [CrossRef]























| Catalysts | Active Test Reaction Conditions | NOx Conversion/ Temperature | N2 Selectivity/ Temperature | SO2 Tolerance/ Water-Resistance | Ref. |
|---|---|---|---|---|---|
| Activated carbon/coke | [NH3] = 550 ppm [NO] = 500 ppm [O2] = 5 vol% [SO2] = 50 ppm [H2O] = 10 vol% balance of N2 GHSV = 50,000 h−1 | >40%/ (150 °C) | - | >38%/ >32% | [51] |
| Carbon nanotubes | [NH3] = 500 ppm [NO] = 500 ppm [O2] = 5 vol% [H2O] = 3 vol% balance of N2 GHSV = 60,000 h−1 | >80%/ (200 °C) | >60% | - | [56] |
| Activated carbon fiber | [NH3] = 500 ppm [NO] = 500 ppm [O2] = 5 vol% balance of N2 GHSV = 40,000 h−1 | >75%/ (150 °C) | - | - | [57] |
| Graphene | [NH3] = 500 ppm [NO] = 500 ppm [O2] = 7 vol% [H2O] = 10 vol% balance of N2 GHSV = 67,000 h−1 | >90%/ (150 °C) | >90% | >80%/ >95% | [58] |
Disclaimer/Publisher’s Note: The statements, opinions and data contained in all publications are solely those of the individual author(s) and contributor(s) and not of MDPI and/or the editor(s). MDPI and/or the editor(s) disclaim responsibility for any injury to people or property resulting from any ideas, methods, instructions or products referred to in the content. |
© 2023 by the authors. Licensee MDPI, Basel, Switzerland. This article is an open access article distributed under the terms and conditions of the Creative Commons Attribution (CC BY) license (https://creativecommons.org/licenses/by/4.0/).
Share and Cite
Shen, Z.; Ren, S.; Zhang, B.; Bian, W.; Xing, X.; Zheng, Z. Sulfur and Water Resistance of Carbon-Based Catalysts for Low-Temperature Selective Catalytic Reduction of NOx: A Review. Catalysts 2023, 13, 1434. https://doi.org/10.3390/catal13111434
Shen Z, Ren S, Zhang B, Bian W, Xing X, Zheng Z. Sulfur and Water Resistance of Carbon-Based Catalysts for Low-Temperature Selective Catalytic Reduction of NOx: A Review. Catalysts. 2023; 13(11):1434. https://doi.org/10.3390/catal13111434
Chicago/Turabian StyleShen, Zhenghua, Shan Ren, Baoting Zhang, Weixin Bian, Xiangdong Xing, and Zhaoying Zheng. 2023. "Sulfur and Water Resistance of Carbon-Based Catalysts for Low-Temperature Selective Catalytic Reduction of NOx: A Review" Catalysts 13, no. 11: 1434. https://doi.org/10.3390/catal13111434
APA StyleShen, Z., Ren, S., Zhang, B., Bian, W., Xing, X., & Zheng, Z. (2023). Sulfur and Water Resistance of Carbon-Based Catalysts for Low-Temperature Selective Catalytic Reduction of NOx: A Review. Catalysts, 13(11), 1434. https://doi.org/10.3390/catal13111434
