Effectiveness of Esterification Catalysts in the Synthesis of Poly(Ethylene Vanillate)
Abstract
:1. Introduction
2. Results and Discussion
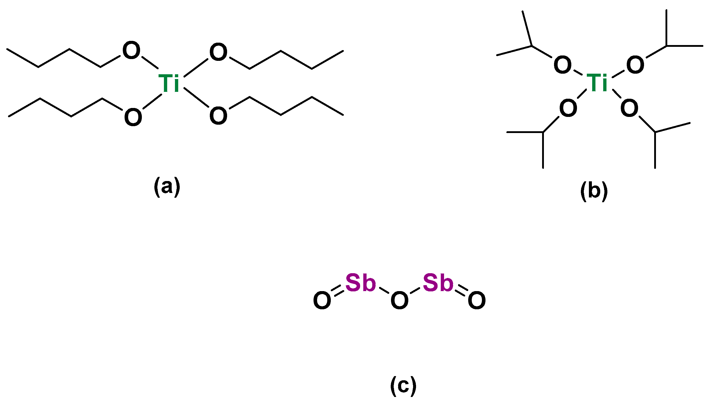
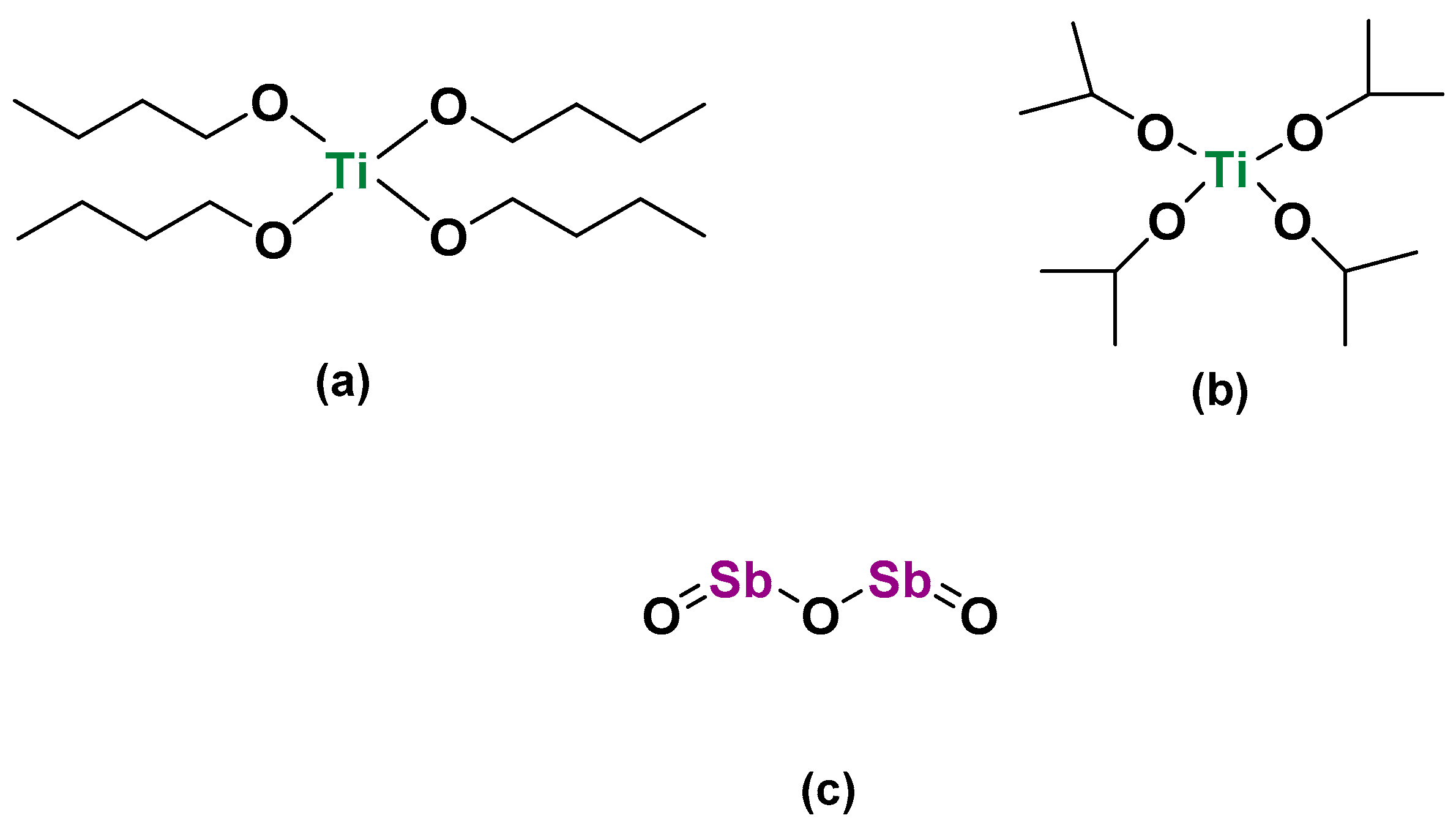
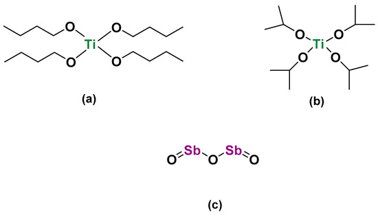
2.1. Effect of Catalysts on the Progress of the Esterification Reaction
2.2. Catalyst Effect on PEV Molecular Weight Increase
2.3. Effect of Catalysts on the Thermal Stability of PEV
2.4. Effect of Used Catalysts on PEV Coloration
2.5. Reaction Kinetic Analysis
3. Materials and Methods
3.1. Materials
3.2. Synthesis of 4(2-Hydroxyethoxy)-3-Methoxybenzoic Acid
3.3. Synthesis of Poly(Ethylene Vanillate) Polyesters
3.4. Polyesters’ Characterization
3.4.1. Acid Value Measurements
3.4.2. Nuclear Magnetic Resonance (NMR)
3.4.3. Intrinsic Viscosity Measurements (IV)
3.4.4. Molecular Weight
3.4.5. Fourier-Transformed Infrared Spectroscopy (FTIR)
3.4.6. Differential Scanning Calorimetry (DSC)
3.4.7. Color Measurements
3.4.8. Evolved Gas Analysis Mass Spectroscopy (EGA/MS)
4. Conclusions
Supplementary Materials
Author Contributions
Funding
Institutional Review Board Statement
Informed Consent Statement
Data Availability Statement
Acknowledgments
Conflicts of Interest
References
- PlasticsEurope (2019) Plastics–the Facts 2019. An Analysis of European Plastics Production, Demand and Waste Data. Available online: https://www.plasticseurope.org/en/resources/publications/1804-plastics-facts-2019 (accessed on 15 May 2021).
- Filho, W.L.; Salvia, A.L.; Bonoli, A.; Saari, U.A.; Voronova, V.; Klõga, M.; Kumbhar, S.S.; Olszewski, K.; De Quevedo, D.M.; Barbir, J. An assessment of attitudes towards plastics and bioplastics in Europe. Sci. Total Environ. 2021, 755, 142732. [Google Scholar] [CrossRef]
- Chen, Y.; Li, T.; Hu, H.; Ao, H.; Xiong, X.; Shi, H.; Wu, C. Transport and fate of microplastics in constructed wetlands: A microcosm study. J. Hazard. Mater. 2021, 415, 125615. [Google Scholar] [CrossRef]
- Geyer, R.; Jambeck, J.R.; Law, K.L. Production, use, and fate of all plastics ever made. Sci. Adv. 2017, 3, 25–29. [Google Scholar] [CrossRef] [Green Version]
- Yang, L.; Zhang, Y.; Kang, S.; Wang, Z.; Wu, C. Science of the Total Environment Microplastics in soil: A review on methods, occurrence, sources, and potential risk. Sci. Total Environ. 2021, 780, 146546. [Google Scholar] [CrossRef]
- European Commission. A Sustainable Bioeconomy for Europe: Strengthening the Connection between Economy, Society and the Environment. COM(2018) 673 Final; European Union: Brussels, Belgium, 2018. [Google Scholar]
- Balla, E.; Daniilidis, V.; Karlioti, G.; Kalamas, T.; Stefanidou, M.; Bikiaris, N.D.; Vlachopoulos, A.; Koumentakou, I.; Bikiaris, D.N. Poly(lactic Acid): A Versatile Biobased Polymer for the Future with Multifunctional Properties—From Monomer Synthesis, Polymerization Techniques and Molecular Weight Increase to PLA Applications. Polymers 2021, 13, 1822. [Google Scholar] [CrossRef] [PubMed]
- Storz, H.; Vorlop, K.D. Bio-based plastics: Status, challenges and trends. Appl. Agric. For. Res. 2013, 63, 321–332. [Google Scholar]
- Neaţu, F.; Culică, G.; Florea, M.; Parvulescu, V.I.; Cavani, F. Synthesis of Terephthalic Acid by p-Cymene Oxidation using Oxygen: Toward a More Sustainable Production of Bio-Polyethylene Terephthalate. ChemSusChem 2016, 9, 3102–3112. [Google Scholar] [CrossRef] [PubMed]
- Poveda-Giraldo, J.A.; Solarte-Toro, J.C.; Cardona Alzate, C.A. The potential use of lignin as a platform product in biorefineries: A review. Renew. Sustain. Energy Rev. 2021, 138, 110688. [Google Scholar] [CrossRef]
- Fache, M.; Boutevin, B.; Caillol, S. Vanillin, a key-intermediate of biobased polymers. Eur. Polym. J. 2015, 68, 488–502. [Google Scholar] [CrossRef]
- Fache, M.; Darroman, E.; Besse, V.; Auvergne, R.; Caillol, S.; Boutevin, B. Vanillin, a promising biobased building-block for monomer synthesis. Green Chem. 2014, 16, 1987–1998. [Google Scholar] [CrossRef]
- Gomes, E.D.; Rodrigues, A.E. Lignin biorefinery: Separation of vanillin, vanillic acid and acetovanillone by adsorption. Sep. Purif. Technol. 2019, 216, 92–101. [Google Scholar] [CrossRef]
- Mota, M.I.F.; Pinto, P.C.R.; Loureiro, J.M.; Rodrigues, A.E. Recovery of Vanillin and Syringaldehyde from Lignin Oxidation: A Review of Separation and Purification Processes. Sep. Purif. Rev. 2016, 45, 227–259. [Google Scholar] [CrossRef]
- Pandey, M.P.; Kim, C.S. Lignin Depolymerization and Conversion: A Review of Thermochemical Methods. Chem. Eng. Technol. 2011, 34, 29–41. [Google Scholar] [CrossRef]
- Priefert, H.; Rabenhorst, J.; Steinbüchel, A. Biotechnological production of vanillin. Appl. Microbiol. Biotechnol. 2001, 56, 296–314. [Google Scholar] [CrossRef] [PubMed]
- Gallage, N.J.; Møller, B.L. Vanillin-bioconversion and bioengineering of the most popular plant flavor and its de novo biosynthesis in the vanilla orchid. Mol. Plant 2015, 8, 40–57. [Google Scholar] [CrossRef] [Green Version]
- Martău, G.A.; Călinoiu, L.F.; Vodnar, D.C. Bio-vanillin: Towards a sustainable industrial production. Trends Food Sci. Technol. 2021, 109, 579–592. [Google Scholar] [CrossRef]
- Banerjee, G.; Chattopadhyay, P. Vanillin biotechnology: The perspectives and future. J. Sci. Food Agric. 2019, 99, 499–506. [Google Scholar] [CrossRef]
- Thiele, U.K. The Current Status of Catalysis and Catalyst Development for the Industrial Process of Poly (ethylene terephthalate) Polycondensation. Int. J. Polym. Mater. Polym. Biomater. 2001, 50, 387–394. [Google Scholar] [CrossRef]
- Banella, M.B.; Bonucci, J.; Vannini, M.; Marchese, P.; Lorenzetti, C.; Celli, A. Insights into the Synthesis of Poly(ethylene 2,5-Furandicarboxylate) from 2,5-Furandicarboxylic Acid: Steps toward Environmental and Food Safety Excellence in Packaging Applications. Ind. Eng. Chem. Res. 2019, 58, 8955–8962. [Google Scholar] [CrossRef]
- Terzopoulou, Z.; Karakatsianopoulou, E.; Kasmi, N.; Tsanaktsis, V.; Nikolaidis, N.; Kostoglou, M.; Papageorgiou, G.Z.; Lambropoulou, D.A.; Bikiaris, D.N. Effect of catalyst type on molecular weight increase and coloration of poly(ethylene furanoate) biobased polyester during melt polycondensation. Polym. Chem. 2017, 8, 6895–6908. [Google Scholar] [CrossRef]
- Papadopoulos, L.; Zamboulis, A.; Kasmi, N.; Wahbi, M.; Nannou, C.; Lambropoulou, D.A.; Kostoglou, M.; Papageorgiou, G.Z.; Bikiaris, D.N. Investigation of the catalytic activity and reaction kinetic modeling of two antimony catalysts in the synthesis of poly(ethylene furanoate). Green Chem. 2021, 23, 2507–2524. [Google Scholar] [CrossRef]
- Ahmadnian, F.; Velasquez, F.; Reichert, K.H. Screening of different titanium(IV) catalysts in the synthesis of poly(ethylene terephthalate). Macromol. React. Eng. 2008, 2, 513–521. [Google Scholar] [CrossRef]
- MacDonald, W.A. New advances in poly(ethylene terephthalate) polymerization and degradation. Polym. Int. 2002, 51, 923–930. [Google Scholar] [CrossRef]
- Shigemoto, I.; Kawakami, T.; Taiko, H.; Okumura, M. A quantum chemical study on the polycondensation reaction of polyesters: The mechanism of catalysis in the polycondensation reaction. Polymer 2011, 52, 3443–3450. [Google Scholar] [CrossRef]
- Gruter, G.-J.; Sipos, L.; Adrianus Dam, M. Accelerating Research into Bio-Based FDCA-Polyesters by Using Small Scale Parallel Film Reactors. Comb. Chem. High Throughput Screen. 2011, 15, 180–188. [Google Scholar] [CrossRef]
- Filella, M.; Hennebert, P.; Okkenhaug, G.; Turner, A. Occurrence and fate of antimony in plastics. J. Hazard. Mater. 2020, 390, 121764. [Google Scholar] [CrossRef]
- Terzopoulou, Z.; Karakatsianopoulou, E.; Kasmi, N.; Majdoub, M.; Papageorgiou, G.Z.; Bikiaris, D.N. Effect of catalyst type on recyclability and decomposition mechanism of poly(ethylene furanoate) biobased polyester. J. Anal. Appl. Pyrolysis 2017, 126, 357–370. [Google Scholar] [CrossRef]
- Sánchez-Martínez, M.; Pérez-Corona, T.; Cámara, C.; Madrid, Y. Migration of antimony from PET containers into regulated EU food simulants. Food Chem. 2013, 141, 816–822. [Google Scholar] [CrossRef]
- Payán, L.; Poyatos, M.T.; Muñoz, L.; La Rubia, M.D.; Pacheco, R.; Ramos, N. Study of the influence of storage conditions on the quality and migration levels of antimony in polyethylene terephthalate-bottled water. Food Sci. Technol. Int. 2017, 23, 318–327. [Google Scholar] [CrossRef]
- Mialon, L.; Vanderhenst, R.; Pemba, A.G.; Miller, S.A. Polyalkylenehydroxybenzoates (PAHBs): Biorenewable aromatic/aliphatic polyesters from lignin. Macromol. Rapid Commun. 2011, 32, 1386–1392. [Google Scholar] [CrossRef]
- Gioia, C.; Banella, M.B.; Marchese, P.; Vannini, M.; Colonna, M.; Celli, A. Advances in the synthesis of bio-based aromatic polyesters: Novel copolymers derived from vanillic acid and ϵ-caprolactone. Polym. Chem. 2016, 7, 5396–5406. [Google Scholar] [CrossRef]
- Zamboulis, A.; Papadopoulos, L.; Terzopoulou, Z.; Bikiaris, D.N.; Patsiaoura, D.; Chrissafis, K.; Gazzano, M.; Lotti, N.; Papageorgiou, G.Z. Synthesis, Thermal Properties and Decomposition Mechanism of Poly (Ethylene Vanillate) Polyester. Polymers 2019, 11, 1672. [Google Scholar] [CrossRef] [Green Version]
- Karayannidis, G.P.; Roupakias, C.P.; Bikiaris, D.N.; Achilias, D.S. Study of various catalysts in the synthesis of poly(propylene terephthalate) and mathematical modeling of the esterification reaction. Polymer 2003, 44, 931–942. [Google Scholar] [CrossRef]
- Belkov, M.V.; Brinkevich, S.D.; Samovich, S.N.; Skornyakov, I.V.; Tolstorozhev, G.B.; Shadyro, O.I. Infrared spectra and structure of molecular complexes of aromatic acids. J. Appl. Spectrosc. 2012, 78, 794–801. [Google Scholar] [CrossRef]
- Finelli, L.; Lorenzetti, C.; Messori, M.; Sisti, L.; Vannini, M. Comparison between titanium tetrabutoxide and a new commercial titanium dioxide based catalyst used for the synthesis of poly(ethylene terephthalate). J. Appl. Polym. Sci. 2004, 92, 1887–1892. [Google Scholar] [CrossRef]
- Wang, S.Q.; Cheng, S.; Lin, P.; Li, X. A phenomenological molecular model for yielding and brittle-ductile transition of polymer glasses. J. Chem. Phys. 2014, 141, 094905. [Google Scholar] [CrossRef]
- Aharoni, S.M. The cause of the grey discoloration of PET prepared by the use of antimony-catalysts. Polym. Eng. Sci. 1998, 38, 1039–1047. [Google Scholar] [CrossRef]
- Kostoglou, M.; Bikiaris, D. Kinetic Analysis of Nanocomposites Prepared in situ Consisting of an Aliphatic Biodegradable Polyester and Fumed Silica Nanoparticles. Macromol. React. Eng. 2011, 5, 178–189. [Google Scholar] [CrossRef]
- Bikiaris, D.N.; Achilias, D.S. Synthesis of poly(alkylene succinate) biodegradable polyesters I. Mathematical modelling of the esterification reaction. Polymer 2006, 47, 4851–4860. [Google Scholar] [CrossRef]
- Xanthopoulou, E.; Terzopoulou, Z.; Zamboulis, A.; Papadopoulos, L.; Tsongas, K.; Tzetzis, D.; Papageorgiou, G.Z.; Bikiaris, D.N. Poly(propylene vanillate): A Sustainable Lignin-Based Semicrystalline Engineering Polyester. ACS Sustain. Chem. Eng. 2021, 9, 1383–1397. [Google Scholar] [CrossRef]
- Kasmi, N.; Papageorgiou, G.Z.; Achilias, D.S.; Bikiaris, D.N. Solid-State polymerization of poly(Ethylene Furanoate) biobased Polyester, II: An efficient and facile method to synthesize high molecular weight polyester appropriate for food packaging applications. Polymers 2018, 10, 471. [Google Scholar] [CrossRef] [PubMed] [Green Version]
- Savvidis, G.; Karanikas, V.; Zarkogianni, M.; Eleftheriadis, I.; Nikolaidis, N.; Tsatsaroni, E. Screen-Printing of Cotton with Natural Pigments: Evaluation of Color and Fastness Properties of the Prints. J. Nat. Fibers 2017, 14, 326–334. [Google Scholar] [CrossRef]














| PEV/TBT | |||
| Time (min) | Melt-Quenched | ||
| Tg (°C) | Tcc (°C) | Tm (°C) | |
| 0 | 66.7 | 101.9 | 248.9 |
| 60 | 72.4 | 105.9 | 258 |
| 120 | 72.6 | 106.1 | 259.7 |
| 180 | 73 | 106.6 | 260.2 |
| 240 | 73.5 | 107.7 | 260.9 |
| PEV/TIS | |||
| Time (min) | Tg (°C) | Tcc (°C) | Tm (°C) |
| 0 | 73.2 | 106.7 | 253.1 |
| 60 | 75.2 | 106.7 | 264.6 |
| 120 | 75.9 | 106.8 | 264.8 |
| 180 | 76.7 | 108.8 | 266.5 |
| 240 | 77.3 | 109.1 | 267.5 |
| PEV/Sb2O3 | |||
| Time (min) | Tg (°C) | Tcc (°C) | Tm (°C) |
| 0 | 61.1 | 98.7 | 238.6 |
| 60 | 69.1 | 104.4 | 253 |
| 120 | 70.2 | 104.5 | 256.4 |
| 180 | 72.3 | 106 | 257.8 |
| 240 | 72.4 | 106.2 | 258.9 |
Publisher’s Note: MDPI stays neutral with regard to jurisdictional claims in published maps and institutional affiliations. |
© 2021 by the authors. Licensee MDPI, Basel, Switzerland. This article is an open access article distributed under the terms and conditions of the Creative Commons Attribution (CC BY) license (https://creativecommons.org/licenses/by/4.0/).
Share and Cite
Xanthopoulou, E.; Zamboulis, A.; Terzopoulou, Z.; Kostoglou, M.; Bikiaris, D.N.; Papageorgiou, G.Z. Effectiveness of Esterification Catalysts in the Synthesis of Poly(Ethylene Vanillate). Catalysts 2021, 11, 822. https://doi.org/10.3390/catal11070822
Xanthopoulou E, Zamboulis A, Terzopoulou Z, Kostoglou M, Bikiaris DN, Papageorgiou GZ. Effectiveness of Esterification Catalysts in the Synthesis of Poly(Ethylene Vanillate). Catalysts. 2021; 11(7):822. https://doi.org/10.3390/catal11070822
Chicago/Turabian StyleXanthopoulou, Eleftheria, Alexandra Zamboulis, Zoi Terzopoulou, Margaritis Kostoglou, Dimitrios N. Bikiaris, and George Z. Papageorgiou. 2021. "Effectiveness of Esterification Catalysts in the Synthesis of Poly(Ethylene Vanillate)" Catalysts 11, no. 7: 822. https://doi.org/10.3390/catal11070822
APA StyleXanthopoulou, E., Zamboulis, A., Terzopoulou, Z., Kostoglou, M., Bikiaris, D. N., & Papageorgiou, G. Z. (2021). Effectiveness of Esterification Catalysts in the Synthesis of Poly(Ethylene Vanillate). Catalysts, 11(7), 822. https://doi.org/10.3390/catal11070822

