Solventless Mechanochemical Fabrication of ZnO–MnCO3/N-Doped Graphene Nanocomposite: Efficacious and Recoverable Catalyst for Selective Aerobic Dehydrogenation of Alcohols under Alkali-Free Conditions
Abstract
:1. Introduction
2. Results and Discussion
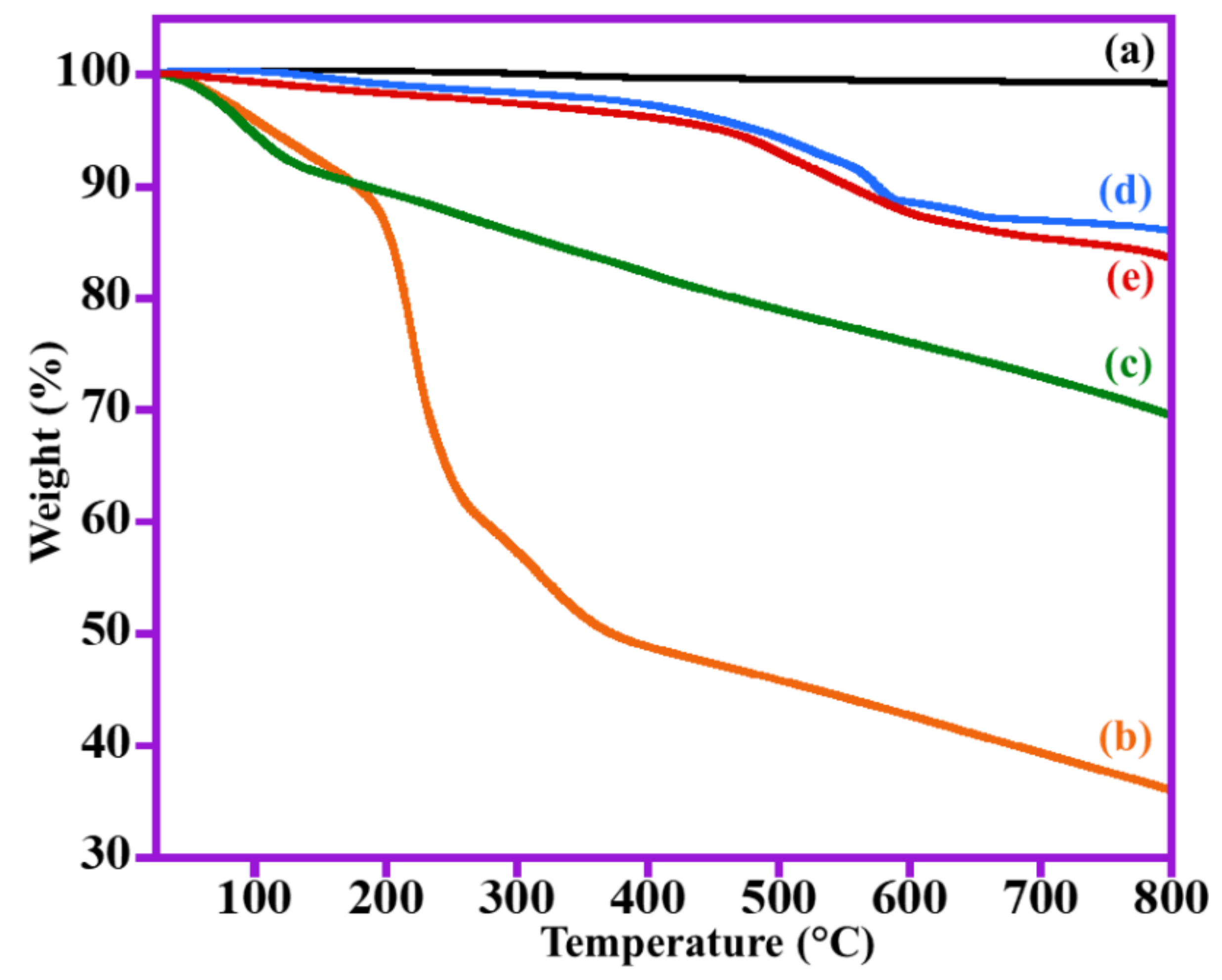
2.1. Characterizations
2.2. Catalytic Evaluation Studies
2.3. Influence of Weight Percentage of NDG
2.4. Comparison of Various Types of Graphene
2.5. Influence of Temperature
2.6. Influence of Catalyst Dosage
2.7. Recycling Tests
2.8. Substrate Scope
3. Experimental Part
3.1. Preparation of GO and NDG
3.2. Preparation of (1%)ZnO–MnCO3/(X%-NDG)
3.3. Characterizations
3.4. Catalytic Evaluation Tests
4. Conclusions
Supplementary Materials
Author Contributions
Funding
Data Availability Statement
Acknowledgments
Conflicts of Interest
References
- Taghavimoghaddam, J.; Knowles, G.P.; Chaffee, A.L. Preparation and Characterization of Mesoporous Silica Supported Cobalt Oxide as a Catalyst for the Oxidation of Cyclohexanol. J. Mol. Catal. A Chem. 2012, 358, 79–88. [Google Scholar]
- Karimi, B.; Rostami, F.B.; Khorasani, M.; Elhamifar, D.; Vali, H. Selective Oxidation of Alcohols with Hydrogen Peroxide Catalyzed by Tungstate Ions (WO4=) Supported on Periodic Mesoporous Organosilica with Imidazolium Frameworks (PMO-IL). Tetrahedron 2014, 70, 6114–6119. [Google Scholar]
- Marella, R.K.; Neeli, C.K.P.; Kamaraju, S.R.R.; Burri, D.R. Highly active Cu/MgO catalysts for selective dehydrogenation of benzyl alcohol into benzaldehyde using neither O2 nor H2 acceptor. Catal. Sci. Technol. 2012, 2, 1833–1838. [Google Scholar]
- Du, Z.; Ma, J.; Ma, H.; Gao, J.; Xu, J. Synergistic effect of vanadium–phosphorus promoted oxidation of benzylic alcohols with molecular oxygen in water. Green Chem. 2010, 12, 590–592. [Google Scholar]
- Kantam, M.L.; Reddy, R.S.; Pal, U.; Sudhakar, M.; Venugopal, A.; Ratnam, K.J.; Figueras, F.; Chintareddy, V.R.; Nishina, Y. Ruthenium/magnesium–lanthanum mixed oxide: An efficient reusable catalyst for oxidation of alcohols by using molecular oxygen. J. Mol. Catal. A Chem. 2012, 359, 1–7. [Google Scholar]
- Tonucci, L.; Nicastro, M.; d’Alessandro, N.; Bressan, M.; D’Ambrosio, P.; Morvillo, A. Catalytic Aerobic Oxidation of Allylic Alcohols to Carbonyl Compounds under Mild Conditions. Green Chem. 2009, 11, 816–820. [Google Scholar]
- Zhan, G.; Hong, Y.; Mbah, V.T.; Huang, J.; Ibrahim, A.-R.; Du, M.; Li, Q. Bimetallic Au–Pd/MgO as efficient catalysts for aerobic oxidation of benzyl alcohol: A green bio-reducing preparation method. Appl. Catal. A 2012, 439, 179–186. [Google Scholar]
- Enache, D.I.; Edwards, J.K.; Landon, P.; Solsona-Espriu, B.; Carley, A.F.; Herzing, A.A.; Watanabe, M.; Kiely, C.J.; Knight, D.W.; Hutchings, G.J. Solvent-Free Oxidation of Primary Alcohols to Aldehydes Using Au-Pd/TiO2 Catalysts. Science 2006, 311, 362–365. [Google Scholar]
- Parmeggiani, C.; Cardona, F. Transition metal based catalysts in the aerobic oxidation of alcohols. Green Chem. 2012, 14, 547–564. [Google Scholar]
- Dell’Anna, M.M.; Mali, M.; Mastrorilli, P.; Cotugno, P.; Monopoli, A. Oxidation of Benzyl Alcohols to Aldehydes and Ketones under Air in Water Using a Polymer Supported Palladium Catalyst. J. Mol. Catal. A Chem. 2014, 386, 114–119. [Google Scholar]
- Adnan, R.H.; Andersson, G.G.; Polson, M.I.; Metha, G.F.; Golovko, V.B. Factors Influencing the Catalytic Oxidation of Benzyl Alcohol Using Supported Phosphine-Capped Gold Nanoparticles. Catal. Sci. Technol. 2015, 5, 1323–1333. [Google Scholar]
- Liu, K.; Yan, X.; Zou, P.; Wang, Y.; Dai, L. Large Size Pd Nps Loaded on TiO2 as Efficient Catalyst for the Aerobic Oxidation of Alcohols to Aldehydes. Catal. Commun. 2015, 58, 132–136. [Google Scholar]
- Csjernyik, G.; Éll, A.H.; Fadini, L.; Pugin, B.; Bäckvall, J.-E. Efficient Ruthenium-Catalyzed Aerobic Oxidation of Alcohols Using a Biomimetic Coupled Catalytic System. J. Org. Chem. 2002, 67, 1657–1662. [Google Scholar]
- Li, Y.; Bian, T.; Du, J.; Xiong, Y.; Zhan, F.; Zhang, H.; Yang, D. Facile Synthesis of High-Quality Pt Nanostructures with a Controlled Aspect Ratio for Methanol Electro-Oxidation. CrystEngComm 2014, 16, 8340–8343. [Google Scholar]
- Tanaka, K.; Shoji, T.; Hirano, M. Cationic Rhodium (I)/Bisphosphane Complex-Catalyzed Isomerization of Secondary Propargylic Alcohols to A, Β-Enones. Eur. J. Org. Chem. 2007, 2007, 2687–2699. [Google Scholar]
- Behera, G.C.; Parida, K. Liquid Phase Catalytic Oxidation of Benzyl Alcohol to Benzaldehyde over Vanadium Phosphate Catalyst. Appl. Catal. A 2012, 413, 245–253. [Google Scholar]
- Noshiranzadeh, N.; Bikas, R.; Ślepokura, K.; Mayeli, M.; Lis, T. Synthesis, characterization and catalytic activity of new Cr (III) complex in oxidation of primary alcohols to aldehydes. Inorg. Chim. Acta 2014, 421, 176–182. [Google Scholar]
- Cang, R.; Lu, B.; Li, X.; Niu, R.; Zhao, J.; Cai, Q. Iron-chloride ionic liquid immobilized on SBA-15 for solvent-free oxidation of benzyl alcohol to benzaldehyde with H2O2. Chem. Eng. Sci. 2015, 137, 268–275. [Google Scholar]
- Cruz, P.; Pérez, Y.; del Hierro, I.; Fajardo, M. Copper, copper oxide nanoparticles and copper complexes supported on mesoporous SBA-15 as catalysts in the selective oxidation of benzyl alcohol in aqueous phase. Microporous Mesoporous Mater. 2016, 220, 136–147. [Google Scholar]
- Goh, T.W.; Xiao, C.; Maligal-Ganesh, R.V.; Li, X.; Huang, W. Utilizing mixed-linker zirconium based metal-organic frameworks to enhance the visible light photocatalytic oxidation of alcohol. Chem. Eng. Sci. 2015, 124, 45–51. [Google Scholar]
- Kawabata, T.; Shinozuka, Y.; Ohishi, Y.; Shishido, T.; Takaki, K.; Takehira, K. Nickel containing Mg-Al hydrotalcite-type anionic clay catalyst for the oxidation of alcohols with molecular oxygen. J. Mol. Catal. A Chem. 2005, 236, 206–215. [Google Scholar]
- Sousa, S.C.; Bernardo, J.R.; Florindo, P.R.; Fernandes, A.C. Efficient and selective oxidation of alcohols catalyzed by oxo-rhenium complexes. Catal. Commun. 2013, 40, 134–138. [Google Scholar]
- Rao, P.S.N.; Rao, K.T.V.; Prasad, P.S.S.; Lingaiah, N. The Role of Vanadia for the Selective Oxidation of Benzyl Alcohol over Heteropolymolybdate Supported on Alumina. Chin. J. Catal. 2011, 32, 1719–1726. [Google Scholar]
- Arena, F.; Gumina, B.; Lombardo, A.F.; Espro, C.; Patti, A.; Spadaro, L.; Spiccia, L. Nanostructured MnOx Catalysts in the Liquid Phase Selective Oxidation of Benzyl Alcohol with Oxygen: Part I. Effects of Ce and Fe Addition on Structure and Reactivity. Appl. Catal. B Environ. 2015, 162, 260–267. [Google Scholar]
- Assal, M.E.; Kuniyil, M.; Khan, M.; Shaik, M.R.; Al-Warthan, A.; Siddiqui, M.R.H.; Labis, J.P.; Adil, S.F. Comparative Catalytic Evaluation of Nano-ZrOx Promoted Manganese Catalysts: Kinetic Study and the Effect of Dopant on the Aerobic Oxidation of Secondary Alcohols. Adv. Mater. Sci. Eng. 2017, 2017, 1–14. [Google Scholar]
- Liu, Y.; Zhang, J.; Guan, H.; Zhao, Y.; Yang, J.-H.; Zhang, B. Preparation of bimetallic Cu-Co nanocatalysts on poly (diallyldimethylammonium chloride) functionalized halloysite nanotubes for hydrolytic dehydrogenation of ammonia borane. Appl. Surf. Sci. 2018, 427, 106–113. [Google Scholar]
- Shinde, V.M.; Skupien, E.; Makkee, M. Synthesis of highly dispersed Pd nanoparticles supported on multi-walled carbon nanotubes and their excellent catalytic performance for oxidation of benzyl alcohol. Catal. Sci. Tech. 2015, 5, 4144–4153. [Google Scholar]
- Khan, M.; Tahir, M.N.; Adil, S.F.; Khan, H.U.; Siddiqui, M.R.H.; Al-warthan, A.A.; Tremel, W. Graphene based metal and metal oxide nanocomposites: Synthesis, properties and their applications. J. Mater. Chem. A 2015, 3, 18753–18808. [Google Scholar]
- Zhu, S.; Wang, J.; Fan, W. Graphene-based catalysis for biomass conversion. Catal. Sci. Technol. 2015, 5, 3845–3858. [Google Scholar]
- Guan, H.; Liu, Y.; Bai, Z.; Zhang, J.; Yuan, S.; Zhang, B. Ag nanoparticles embedded in N-doped carbon nanofibers: A superior electrocatalyst for hydrogen peroxide detection. Mater. Chem. Phys. 2018, 213, 335–342. [Google Scholar]
- Jia, Z.; Huang, F.; Diao, J.; Zhang, J.; Wang, J.; Su, D.S.; Liu, H. Pt NPs immobilized on a N-doped graphene@ Al2O3 hybrid support as robust catalysts for low temperature CO oxidation. Chem. Commun. 2018, 54, 11168–11171. [Google Scholar]
- Wang, X.; Li, X.; Liu, D.; Song, S.; Zhang, H. Green synthesis of Pt/CeO2/graphene hybrid nanomaterials with remarkably enhanced electrocatalytic properties. Chem. Commun. 2012, 48, 2885–2887. [Google Scholar]
- Qiao, X.; Liao, S.; You, C.; Chen, R. Phosphorus and nitrogen dual doped and simultaneously reduced graphene oxide with high surface area as efficient metal-free electrocatalyst for oxygen reduction. Catalysts 2015, 5, 981–991. [Google Scholar]
- Jeon, I.Y.; Zhang, S.; Zhang, L.; Choi, H.J.; Seo, J.M.; Xia, Z.; Dai, L.; Baek, J.B. Edge-selectively sulfurized graphene nanoplatelets as efficient metal-free electrocatalysts for oxygen reduction reaction: The electron spin effect. Adv. Mater. 2013, 25, 6138–6145. [Google Scholar]
- Ji, Z.; Shen, X.; Yang, J.; Zhu, G.; Chen, K. A novel reduced graphene oxide/Ag/CeO2 ternary nanocomposite: Green synthesis and catalytic properties. Appl. Catal. B. 2014, 144, 454–461. [Google Scholar]
- Li, Y.; Gao, W.; Ci, L.; Wang, C.; Ajayan, P.M. Catalytic performance of Pt nanoparticles on reduced graphene oxide for methanol electro-oxidation. Carbon 2010, 48, 1124–1130. [Google Scholar]
- Wu, Z.-S.; Ren, W.; Wen, L.; Gao, L.; Zhao, J.; Chen, Z.; Zhou, G.; Li, F.; Cheng, H.-M. Graphene anchored with Co3O4 nanoparticles as anode of lithium ion batteries with enhanced reversible capacity and cyclic performance. Acs Nano 2010, 4, 3187–3194. [Google Scholar]
- Rao, R.; Sun, H.; Dong, X.; Dong, H.; Fang, W.; Tang, Y.; Fang, S.; Hu, C. A facile and large-scale synthesis of Co3O4/N-doped graphene for CO oxidation: Low-temperature catalytic activity and the role of nitrogen states. Appl. Surf. Sci. 2020, 513, 145800. [Google Scholar]
- Assal, M.E.; Shaik, M.R.; Kuniyil, M.; Khan, M.; Alzahrani, A.Y.; Al-Warthan, A.; Siddiqui, M.R.H.; Adil, S.F. Mixed Zinc/Manganese on Highly Reduced Graphene Oxide: A Highly Active Nanocomposite Catalyst for Aerial Oxidation of Benzylic Alcohols. Catalysts 2017, 7, 391. [Google Scholar]
- Adil, S.F.; Assal, M.E.; Shaik, M.R.; Kuniyil, M.; Hashmi, A.; Khan, M.; Khan, A.; Tahir, M.N.; Al-Warthan, A.; Siddiqui, M.R.H. Efficient aerial oxidation of different types of alcohols using ZnO nanoparticle–MnCO3-graphene oxide composites. Appl. Organomet. Chem. 2020, 34, e5718. [Google Scholar]
- Adil, S.F.; Assal, M.E.; Shaik, M.R.; Kuniyil, M.; AlOtaibi, N.M.; Khan, M.; Sharif, M.; Alam, M.M.; Al-Warthan, A.; Mohammed, J.A.; et al. A Facile Synthesis of ZrOx-MnCO3/Graphene Oxide (GRO) Nanocomposites for the Oxidation of Alcohols using Molecular Oxygen under Base Free Conditions. Catalysts 2019, 9, 759. [Google Scholar]
- Wang, H.; Hu, Y.H. Effect of Oxygen Content on Structures of Graphite Oxides. Ind. Eng. Chem. Res. 2011, 50, 6132–6137. [Google Scholar]
- Yang, S.; Lin, Y.; Song, X.; Zhang, P.; Gao, L. Covalently Coupled Ultrafine H-TiO2 Nanocrystals/Nitrogen-Doped Graphene Hybrid Materials for High-Performance Supercapacitor. ACS Appl. Mater. Interfaces 2015, 7, 17884–17892. [Google Scholar]
- Zhang, S.; Zhu, L.; Song, H.; Chen, X.; Wu, B.; Zhou, J.; Wang, F. How graphene is exfoliated from graphitic materials: Synergistic effect of oxidation and intercalation processes in open, semi-closed, and closed carbon systems. J. Mater. Chem. 2012, 22, 22150–22154. [Google Scholar]
- Hu, Z.; Zhou, G.; Xu, L.; Yang, J.; Zhang, B.; Xiang, X. Preparation of ternary Pd/CeO2-nitrogen doped graphene composites as recyclable catalysts for solvent-free aerobic oxidation of benzyl alcohol. Appl. Surf. Sci. 2019, 471, 852–861. [Google Scholar]
- Adil, S.F.; Assal, M.E.; Kuniyil, M.; Khan, M.; Shaik, M.R.; Alwarthan, A.; Labis, J.P.; Siddiqui, M.R.H. Synthesis and comparative catalytic study of zinc oxide (ZnOx) nanoparticles promoted MnCO3, MnO2 and Mn2O3 for selective oxidation of benzylic alcohols using molecular oxygen. Mater. Express 2017, 7, 79–92. [Google Scholar]
- Wang, Z.-L.; Xu, D.; Huang, Y.; Wu, Z.; Wang, L.-M.; Zhang, X.-B. Facile, mild and fast thermal-decomposition reduction of graphene oxide in air and its application in high-performance lithium batteries. Chem. Commun. 2012, 48, 976–978. [Google Scholar]
- Lerf, A.; He, H.; Forster, M.; Klinowski, J. Structure of graphite oxide revisited. J. Phys. Chem. B 1998, 102, 4477–4482. [Google Scholar]
- Wang, Y.; Zhao, Y.; He, W.; Yin, J.; Su, Y. Palladium nanoparticles supported on reduced graphene oxide: Facile synthesis and highly efficient electrocatalytic performance for methanol oxidation. Thin Solid Film. 2013, 544, 88–92. [Google Scholar]
- Sitko, R.; Turek, E.; Zawisza, B.; Malicka, E.; Talik, E.; Heimann, J.; Gagor, A.; Feist, B.; Wrzalik, R. Adsorption of divalent metal ions from aqueous solutions using graphene oxide. Dalton Trans. 2013, 42, 5682–5689. [Google Scholar]
- Miao, M.; Feng, J.; Jin, Q.; He, Y.; Liu, Y.; Du, Y.; Zhang, N.; Li, D. Hybrid Ni–Al Layered Double Hydroxide/Graphene Composite Supported Gold Nanoparticles for Aerobic Selective Oxidation of Benzyl Alcohol. RSC Adv. 2015, 5, 36066–36074. [Google Scholar]
- Cho, K.M.; Kim, K.H.; Park, K.; Kim, C.; Kim, S.; Al-Saggaf, A.; Gereige, I.; Jung, H.-T. Amine-functionalized graphene/CdS composite for photocatalytic reduction of CO2. ACS Catal. 2017, 7, 7064–7069. [Google Scholar]
- Zhou, X.; Wang, F.; Zhu, Y.; Liu, Z. Graphene modified LiFePO4 cathode materials for high power lithiumion batteries. J. Mater. Chem. 2011, 21, 3353–3358. [Google Scholar]
- Xie, W.; Zhang, F.; Wang, Z.; Yang, M.; Xia, J.; Gui, R.; Xia, Y. Facile preparation of PtPdPt/graphene nanocomposites with ultrahigh electrocatalytic performance for methanol oxidation. J. Electroanal. Chem. 2016, 761, 55–61. [Google Scholar]
- Krishnamoorthy, K.; Veerapandian, M.; Mohan, R.; Kim, S.-J. Investigation of Raman and photoluminescence studies of reduced graphene oxide sheets. Appl. Phys. A 2012, 106, 501–506. [Google Scholar]
- Johra, F.T.; Lee, J.-W.; Jung, W.-G. Facile and safe graphene preparation on solution based platform. J. Ind. Eng. Chem. 2014, 20, 2883–2887. [Google Scholar]
- Kuniyil, M.; Kumar, J.; Adil, S.F.; Shaik, M.R.; Khan, M.; Assal, M.E.; Siddiqui, M.R.H.; Al-Warthan, A. One-pot synthesized Pd@ N-doped graphene: An efficient catalyst for Suzuki–Miyaura couplings. Catalysts 2019, 9, 469. [Google Scholar]
- Parambhath, V.B.; Nagar, R.; Ramaprabhu, S. Effect of Nitrogen Doping on Hydrogen Storage Capacity of Palladium Decorated Graphene. Langmuir 2012, 28, 7826–7833. [Google Scholar] [CrossRef]
- Mahyari, M.; Shaabani, A. Graphene Oxide-Iron Phthalocyanine Catalyzed Aerobic Oxidation of Alcohols. Appl. Catal. A 2014, 469, 524–531. [Google Scholar]
- Xu, C.; Zhang, L.; An, Y.; Wang, X.; Xu, G.; Chen, Y.; Dai, L. Promotional synergistic effect of Sn doping into a novel bimetallic Sn-W oxides/graphene catalyst for selective oxidation of alcohols using aqueous H2O2 without additives. Appl. Catal. A 2018, 558, 26–33. [Google Scholar]
- Ramirez-Barria, C.S.; Isaacs, M.; Parlett, C.; Wilson, K.; Guerrero-Ruiz, A.; Rodríguez-Ramos, I. Ru nanoparticles supported on N-doped reduced graphene oxide as valuable catalyst for the selective aerobic oxidation of benzyl alcohol. Catal. Today 2019, 357, 8–14. [Google Scholar]
- Yu, X.; Huo, Y.; Yang, J.; Chang, S.; Ma, Y.; Huang, W. Reduced Graphene Oxide Supported au Nanoparticles as an Efficient Catalyst for Aerobic Oxidation of Benzyl Alcohol. Appl. Surf. Sci. 2013, 280, 450–455. [Google Scholar]
- Xie, X.; Long, J.; Xu, J.; Chen, L.; Wang, Y.; Zhang, Z.; Wang, X. Nitrogen-doped graphene stabilized gold nanoparticles for aerobic selective oxidation of benzylic alcohols. RSC Adv. 2012, 2, 12438–12446. [Google Scholar]
- Hu, Z.; Zhao, Y.; Liu, J.; Wang, J.; Zhang, B.; Xiang, X. Ultrafine MnO2 nanoparticles decorated on graphene oxide as a highly efficient and recyclable catalyst for aerobic oxidation of benzyl alcohol. J. Colloid Interface Sci. 2016, 483, 26–33. [Google Scholar]
- Cai, M.; Li, J.; Wang, X.; Zhang, M.; Fang, Y.; An, Y.; Chen, Y.; Dai, L. Zn-doped W/aluminium oxide catalyst: Efficient strategy towards sustainable oxidation of alcohols. Mol. Catal. 2020, 494, 111114. [Google Scholar]
- Hosseini-Sarvari, M.; Ataee-Kachouei, T.; Moeini, F. A novel and active catalyst Ag/ZnO for oxidant-free dehydrogenation of alcohols. Mater. Res. Bull. 2015, 72, 98–105. [Google Scholar]
- Wu, Y.; Yu, H.; Wang, H.; Peng, F. Controllable synthesis and catalytic performance of graphene-supported metal oxide nanoparticles. Chin. J. Catal. 2014, 35, 952–959. [Google Scholar]
- Jha, A.; Mhamane, D.; Suryawanshi, A.; Joshi, S.M.; Shaikh, P.; Biradar, N.; Ogale, S.; Rode, C.V. Triple nanocomposites of CoMn2O4, Co3O4 and reduced graphene oxide for oxidation of aromatic alcohols. Catal. Sci. Technol. 2014, 4, 1771–1778. [Google Scholar]
- Wu, S.; He, Q.; Zhou, C.; Qi, X.; Huang, X.; Yin, Z.; Yang, Y.; Zhang, H. Synthesis of Fe3O4 and Pt nanoparticles on reduced graphene oxide and their use as a recyclable catalyst. Nanoscale 2012, 4, 2478–2483. [Google Scholar]
- Yang, X.; Wu, S.; Hu, J.; Fu, X.; Peng, L.; Kan, Q.; Huo, Q.; Guan, J. Highly efficient N-doped magnetic cobalt-graphene composite for selective oxidation of benzyl alcohol. Catal. Commun. 2016, 87, 90–93. [Google Scholar]
- Zheng, W.; Wu, M.; Yang, C.; Chen, Y.; Tan, R.; Yin, D. Alcohols selective oxidation with H2O2 catalyzed by robust heteropolyanions intercalated in ionic liquid-functionalized graphene oxide. Mater. Chem. Phys. 2020, 256, 123681. [Google Scholar]
- Assal, M.E.; Shaik, M.R.; Kuniyil, M.; Khan, M.; Al-Warthan, A.; Alharthi, A.I.; Varala, R.; Siddiqui, M.R.H.; Adil, S.F. Ag2O nanoparticles/MnCO3,–MnO2 or–Mn2O3/highly reduced graphene oxide composites as an efficient and recyclable oxidation catalyst. Arab. J. Chem. 2018, 12, 54–68. [Google Scholar]
- Geng, L.; Wu, S.; Zou, Y.; Jia, M.; Zhang, W.; Yan, W.; Liu, G. Correlation between the microstructures of graphite oxides and their catalytic behaviors in air oxidation of benzyl alcohol. J. Colloid Interface Sci. 2014, 421, 71–77. [Google Scholar]
- Wu, G.; Wang, X.; Guan, N.; Li, L. Palladium on graphene as efficient catalyst for solvent-free aerobic oxidation of aromatic alcohols: Role of graphene support. Appl. Catal. B Environ. 2013, 136, 177–185. [Google Scholar]
- Feng, X.; Lv, P.; Sun, W.; Han, X.; Gao, L.; Zheng, G. Reduced graphene oxide-supported Cu nanoparticles for the selective oxidation of benzyl alcohol to aldehyde with molecular oxygen. Catal. Commun. 2017, 99, 105–109. [Google Scholar]
- Hasannia, S.; Yadollahi, B. Zn–Al LDH nanostructures pillared by Fe substituted Keggin type polyoxometalate: Synthesis, characterization and catalytic effect in green oxidation of alcohols. Polyhedron 2015, 99, 260–265. [Google Scholar]
- Hummers, W.S., Jr.; Offeman, R.E. Preparation of graphitic oxide. J. Am. Chem. Soc. 1958, 80, 1339. [Google Scholar]














| E. | Catalyst | Surface Area (m2/g) | Conv. (%) | Selectivity (%) | Specific-Activity (mmole/h.g) |
|---|---|---|---|---|---|
| 1 | MnCO3 | 70.5 | 38.2 | >99 | 30.6 |
| 2 | (1%) ZnO–MnCO3 | 120.3 | 67.1 | >99 | 53.7 |
| 3 | (1%) ZnO–MnCO3/(1%-NDG) | 261.4 | 100.0 | >99 | 80.0 |
| 4 | (1%) ZnO–MnCO3/(1%-GO) | 244.6 | 97.8 | >99 | 78.2 |
| 5 | (1%) ZnO–MnCO3/(1%-HRG) | 239.1 | 94.9 | >99 | 75.9 |
| E. | Catalyst | Conv. (%) | Select. (%) | Specific-Activity (mmole/h.g) |
|---|---|---|---|---|
| 1 | NDG | 2.4 | >99 | 1.9 |
| 2 | (1%) ZnO–MnCO3 | 67.1 | >99 | 53.7 |
| 3 | (1%) ZnO–MnCO3/(1%-NDG) | 100.0 | >99 | 80.0 |
| 4 | (1%) ZnO–MnCO3/(3%-NDG) | 92.6 | >99 | 74.1 |
| 5 | (1%) ZnO–MnCO3/(5%-NDG) | 75.5 | >99 | 60.4 |
| 6 | (1%) ZnO–MnCO3/(7%-NDG) | 69.3 | >99 | 55.4 |
| Catalyst | Temp. (°C) | Conv. (%) | Select. (%) | Time (h) | Sp. Activity (mmole/h.g) | Ref. |
|---|---|---|---|---|---|---|
| (1%) ZnO–MnCO3/NDG | 100 | 100 | <99 | 0.08 | 80.0 | This study |
| (1%) ZnO–MnCO3/GO | 100 | 97.8 | <99 | 0.08 | 78.2 | [40] |
| (1%) ZnO–MnCO3/HRG | 100 | 94.9 | <99 | 0.08 | 75.9 | [39] |
| AuNPs/NDG | 70 | 67 | 40 | 6 | 0.4 | [63] |
| MnO2/GO | 110 | 96.8 | 100 | 3 | 1.6 | [64] |
| CoOx/RGO-HP | 110 | 96 | <99 | 6 | 14.8 | [67] |
| (1%) RGO–MnCoO | 140 | 78 | 100 | 2 | 12.6 | [68] |
| Fe3O4–Pt/rGO | 80 | 33.6 | 100 | 3 | 42.0 | [69] |
| Co/NDG | 100 | 89.5 | 97.3 | 8 | 4.5 | [70] |
| PW@IL-GO | 100 | 94 | 91 | 5 | 12.5 | [71] |
| MnO2–Ag2O/HRG | 100 | 100 | <99 | 0.6 | 11.4 | [72] |
| GO-100 | 80 | 100 | 100 | 5 | 1.1 | [73] |
| Pd NPs/GO | 110 | 36 | 34.1 | 6 | 1.0 | [74] |
| Cu NPs@rGO | 80 | <99 | 98.6 | 16 | 8.3 | [75] |
| 4%Ru(CO)/NDG | 90 | 46 | <99 | 24 | 6.4 | [61] |
| E. | Alcohols | Carbonyl Compounds | Time (minutes) | Conv. (%)/Select. (%) |
|---|---|---|---|---|
| 1 | ![]() | ![]() | 5 | 100/>99 |
| 2 | ![]() | ![]() | 6 | 100/>99 |
| 3 | ![]() | ![]() | 7 | 100/>99 |
| 4 | ![]() | ![]() | 9 | 100/>99 |
| 5 | ![]() | ![]() | 9 | 100/>99 |
| 6 | ![]() | ![]() | 10 | 100/>99 |
| 7 | ![]() | ![]() | 12 | 100/>99 |
| 8 | ![]() | ![]() | 15 | 100/>99 |
| 9 | ![]() | ![]() | 13 | 100/>99 |
| 10 | ![]() | ![]() | 15 | 100/>99 |
| 11 | ![]() | ![]() | 18 | 100/>99 |
| 12 | ![]() | ![]() | 18 | 100/>99 |
| 13 | ![]() | ![]() | 22 | 100/>99 |
| 14 | ![]() | ![]() | 22 | 100/>99 |
| 15 | ![]() | ![]() | 25 | 100/>99 |
| 16 | ![]() | ![]() | 30 | 100/>99 |
| 17 | ![]() | ![]() | 12 | 100/>99 |
| 18 | ![]() | ![]() | 28 | 100/>99 |
| 19 | ![]() | ![]() | 7 | 100/>99 |
| 20 | ![]() | ![]() | 9 | 100/>99 |
| 21 | ![]() | ![]() | 12 | 100/>99 |
| 22 | ![]() | ![]() | 15 | 100/>99 |
| 23 | ![]() | ![]() | 25 | 100/>99 |
| 24 | ![]() | ![]() | 40 | 100/>99 |
| 25 | ![]() | ![]() | 125 | 100/>99 |
| 26 | ![]() | ![]() | 135 | 100/>99 |
| 27 | ![]() | ![]() | 45 | 100/>99 |
| 28 | ![]() | ![]() | 140 | 100/>99 |
Publisher’s Note: MDPI stays neutral with regard to jurisdictional claims in published maps and institutional affiliations. |
© 2021 by the authors. Licensee MDPI, Basel, Switzerland. This article is an open access article distributed under the terms and conditions of the Creative Commons Attribution (CC BY) license (https://creativecommons.org/licenses/by/4.0/).
Share and Cite
Khan, M.; Adil, S.F.; Assal, M.E.; Alharthi, A.I.; Shaik, M.R.; Kuniyil, M.; Al-Warthan, A.; Khan, A.; Nawaz, Z.; Shaikh, H.; et al. Solventless Mechanochemical Fabrication of ZnO–MnCO3/N-Doped Graphene Nanocomposite: Efficacious and Recoverable Catalyst for Selective Aerobic Dehydrogenation of Alcohols under Alkali-Free Conditions. Catalysts 2021, 11, 760. https://doi.org/10.3390/catal11070760
Khan M, Adil SF, Assal ME, Alharthi AI, Shaik MR, Kuniyil M, Al-Warthan A, Khan A, Nawaz Z, Shaikh H, et al. Solventless Mechanochemical Fabrication of ZnO–MnCO3/N-Doped Graphene Nanocomposite: Efficacious and Recoverable Catalyst for Selective Aerobic Dehydrogenation of Alcohols under Alkali-Free Conditions. Catalysts. 2021; 11(7):760. https://doi.org/10.3390/catal11070760
Chicago/Turabian StyleKhan, Mujeeb, Syed Farooq Adil, Mohamed E. Assal, Abdulrahman I. Alharthi, Mohammed Rafi Shaik, Mufsir Kuniyil, Abdulrahman Al-Warthan, Aslam Khan, Zeeshan Nawaz, Hamid Shaikh, and et al. 2021. "Solventless Mechanochemical Fabrication of ZnO–MnCO3/N-Doped Graphene Nanocomposite: Efficacious and Recoverable Catalyst for Selective Aerobic Dehydrogenation of Alcohols under Alkali-Free Conditions" Catalysts 11, no. 7: 760. https://doi.org/10.3390/catal11070760
APA StyleKhan, M., Adil, S. F., Assal, M. E., Alharthi, A. I., Shaik, M. R., Kuniyil, M., Al-Warthan, A., Khan, A., Nawaz, Z., Shaikh, H., & Siddiqui, M. R. H. (2021). Solventless Mechanochemical Fabrication of ZnO–MnCO3/N-Doped Graphene Nanocomposite: Efficacious and Recoverable Catalyst for Selective Aerobic Dehydrogenation of Alcohols under Alkali-Free Conditions. Catalysts, 11(7), 760. https://doi.org/10.3390/catal11070760

























































