A Three-Component Hybrid Templated by Asymmetric Viologen Exhibiting Visible-Light-Driven Photocatalytic Degradation on Dye Pollutant in Maritime Accident Seawater
Abstract
1. Introduction
2. Results and Discussion
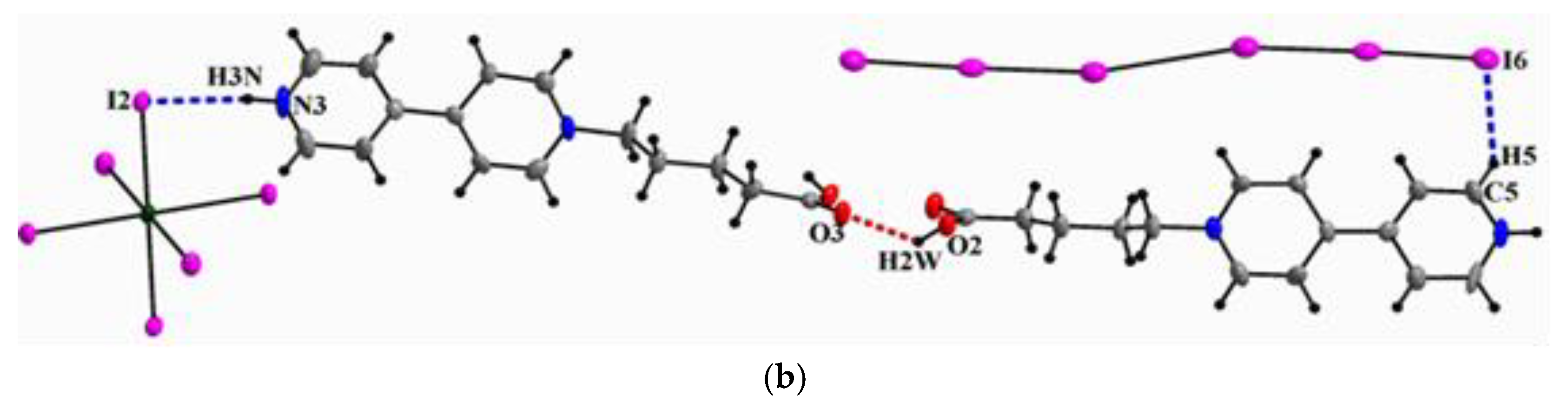
2.1. Structure Description
2.2. Absorption Spectrum and Photocurrent Response Behavior
2.3. Photocatalytic Degradation of RhB in Seawater
3. Experimental
3.1. Materials and Methods
3.2. Synthesis
- Synthesis of BPA·Br
- Synthesis of {[(BiI6)I13]·2I3·(H-BPA)4}n (1)
3.3. Photocurrent Measurements
3.4. Photodegradation of RhB
3.5. X-ray Crystallography
4. Conclusions
Supplementary Materials
Author Contributions
Funding
Data Availability Statement
Conflicts of Interest
References
- Wang, X.P.; Shang, H.Y.; Liu, X.D.; Bai, Y.J. Fuzzy assessment methodology for emergency response capability in hazardous materials transportation. Int. J. Innov. Comput. Inf. Control 2008, 4, 2689–2696. [Google Scholar]
- Sahoo, C.; Gupta, A.K.; Pal, A. Photocatalytic degradation of Crystal Violet (C.I. Basic Violet 3) on silver ion doped TiO2. Dyes Pigment. 2005, 66, 189–196. [Google Scholar] [CrossRef]
- Maryanti, S.A.; Suciati, S.; Wahyuni, E.S.; Santoso, S.; Wiyasa, I.W.A. Rhodamine B triggers ovarian toxicity through oxidative stress, decreases in the number of follicles, 17B-estradiol level, and thickness of endometrium. Cukurova Med. J. 2014, 39, 451–457. [Google Scholar]
- Feng, Y.; Zhang, Z.; Zhao, Y.; Song, L.; Wang, X.; Yang, S.; Long, Y.; Zhao, C.; Qiu, L. Accelerated rhodamine B removal by enlarged anode electric biological (EAEB) with electro-biological particle electrode (EPE) made from steel converter slag (SCS). Bioresour. Technol. 2019, 283, 1–9. [Google Scholar] [CrossRef] [PubMed]
- Ai, X.; Zhang, P.; Dou, Y.; Wu, Y.; Pan, T.; Chu, C.; Cui, P.; Ran, J. Graphene oxide membranes with hierarchical structures used for molecule sieving. Sep. Purif. Technol. 2020, 230, 115879. [Google Scholar] [CrossRef]
- Zhang, X.; Wang, Y.; Liu, B.; Sang, Y.; Liu, H. Heterostructures construction on TiO2 nanobelts: A powerful tool for building high-performance photocatalysts. Appl. Catal. B 2017, 202, 620–641. [Google Scholar] [CrossRef]
- Robi, S.D.; Jian, Z.; Md, M.; Benjamin, J.C.; Yue, Z.B.; Hareem, K.; Nitu, S.; Ali, Z.; Farjana, H.; Torben, D.; et al. Two dimensional PbMoO4: A photocatalytic material derived from a naturally non-layered crystal. Nano Energy 2018, 49, 237–246. [Google Scholar]
- Hadis, D.; Alireza, N. Increased photocatalytic activity of NiO and ZnO in photodegradation of a model drug aqueous solution: Effect of coupling, supporting, particles size and calcination temperature. J. Hazard. Mater. 2017, 321, 629–638. [Google Scholar]
- Chen, X.; Chen, H.; Guan, J.; Zhen, J.; Sun, Z.; Du, P.; Lu, Y.; Yang, S. A facile mechanochemical route to a covalently bonded graphitic carbon nitride (g-C3N4) and fullerene hybrid toward enhanced visible light photocatalytic hydrogen production. Nanoscale 2017, 9, 5615–5623. [Google Scholar] [CrossRef]
- Wang, D.H.; Lin, X.Y.; Wang, Y.K.; Zhang, W.T.; Song, K.Y.; Lin, H.; Li, H.H.; Chen, Z.R. A new iodiplumbate-based hybird constructed from asymmetric viologen and polyiodides: Structure, properties and photocatalytic aactivity for the degradation of organic dye. Chin. J. Struct. Chem. 2017, 36, 2000–2006. [Google Scholar]
- Li, J.W.; Jiang, C.C. Iodoplumbate(II)-based hybrid templated by 1,4-diazabicyclo[2.2.2]octane derivative: Structure, photocurrent response behavior and photocatalytic activity for the degradation of organic dye. Chin. J. Struct. Chem. 2018, 37, 1635–1644. [Google Scholar]
- Li, H.H.; Zeng, X.H.; Wu, H.Y.; Jie, X.; Zheng, S.T.; Chen, Z.R. Incorporating guest molecules into honeycomb structures constructed from uranium(VI)-polycarboxylates: Structural diversities and photocatalytic activities for the degradation of organic dye. Cryst. Growth Des. 2015, 15, 10–13. [Google Scholar] [CrossRef]
- Song, K.Y.; Zhao, L.M.; Zhang, W.T.; Li, Y.; Li, H.H.; Chen, Z.R. Two-dimensional silver-thiocyanate layers drected by viologens: Structural transformations upon low pressure stimuli, piezochromic luminescence, photocurrent responses, and photocatalytic properties. Cryst. Growth Des. 2019, 19, 177–192. [Google Scholar] [CrossRef]
- Zhao, L.M.; Zhang, W.T.; Song, K.Y.; Wu, Q.Q.; Li, Y.; Li, H.H.; Chen, Z.R. Lead-carboxylate/polyiodide hybrids constructing from halogen bonding and asymmetric viologen: Structures, visible-light-driven photocatalytic properties and enchanced photocurrent responses. CrystEngComm 2018, 20, 2245–2252. [Google Scholar] [CrossRef]
- Adonin, S.A.; Gorokh, I.D.; Novikov, A.S.; Samsonenko, D.G.; Yushina, I.V.; Sokolov, M.N.; Fedin, V.P. Halobismuthates with halopyridinium cations: Appearance or non-appearance of unusual colouring. CrystEngComm 2018, 20, 7766–7772. [Google Scholar] [CrossRef]
- Adonin, S.A.; Gorokh, I.D.; Samsonenko, D.G.; Antonova, O.V.; Korolkov, I.V.; Sokolov, M.N.; Fedin, V.P. Bi(iii) polybromides: A new chapter in coordination chemistry of bismuth. Inorg. Chim. Acta 2018, 32, 5061–5063. [Google Scholar] [CrossRef]
- VenkatRamani, S.; Schrock, R.R.; Hoveyda, A.H.; Müller, P.; Tsay, C. Synthesis of high-oxidation-State Mo-CHX complexes, where X = Cl, CF3, phosphonium, CN. Organometallics 2018, 37, 1641–1644. [Google Scholar] [CrossRef]
- Moyet, M.A.; Kanan, S.M.; Varney, H.M.; Abu-Farha, N.; Gold, D.B.; Lain, W.J.; Pike, R.D.; Patterson, H.H. Synthesis and characterization of (RPh3P)3[Bi3I12] (R = Me, Ph) iodobismuthate complexes for photocatalyticdegradation of organic pollutants. Res. Chem. Intermed. 2019, 45, 5919–5933. [Google Scholar] [CrossRef]
- Wang, Q.; Cai, C.; Wang, M.; Guo, Q.; Wang, B.; Luo, W.; Wang, Y.; Zhang, C.; Zhou, L.; Zhang, D.; et al. Efficient photocatalytic degradation of malachite green in seawater by the hybrid of zinc-oxide nanorods grown on three-dimensional (3D) reduced graphene oxide(RGO)/Ni foam. Materials 2018, 11, 1004. [Google Scholar] [CrossRef]
- Chen, P.; Hu, X.; Qi, Y.; Wang, X.; Li, Z.; Zhao, L.; Liu, S.; Cui, C. Rapid degradation of azo dyes by melt-spun Mg-Zn-Ca metallic glass in artificial seawater. Metals 2017, 7, 485. [Google Scholar] [CrossRef]
- Makita, M.; Harata, A. Photocatalytic decolorization of rhodamine B dye as a model of dissolved organic compounds: Influence of dissolved inorganic chloride salts in seawater of the sea of Japan. Chem. Eng. Process. 2008, 47, 859–863. [Google Scholar] [CrossRef]
- Wu, L.M.; Wu, X.T.; Chen, L. Structural overview and structure–property relationships of iodoplumbate and iodobismuthate. Coord. Chem. Rev. 2009, 253, 2787–2804. [Google Scholar] [CrossRef]
- Garcia, M.D.; Marti-Rujas, J.; Metrangolo, P.; Peinador, C.; Pilati, T.; Resnati, G.; Terraneo, G.; Ursini, M. Dimensional caging of polyiodides: Cation-templated synthesis using bipyridinium salts. CrystEngComm 2011, 13, 4411–4416. [Google Scholar] [CrossRef]
- Bondi, A.J. van der Waals volumes and radii. J. Phys. Chem. 1964, 68, 441–451. [Google Scholar] [CrossRef]
- Wang, Y.K.; Wu, Y.L.; Lin, X.Y.; Wang, D.H.; Zhang, W.T.; Song, K.Y.; Li, H.H.; Chen, Z.R. Halobismuthate/diphenyliodonium hybrids stabilized by secondary hypervalent I(III)···X interactions: Structures, optical studies and thermochromisms. J. Mol. Struct. 2018, 1151, 81–87. [Google Scholar] [CrossRef]
- Tong, Z.; Pu, S.; Xiao, Q.; Liu, G.; Cui, S. Synthesis and photochromism of a novel water-soluble diarylethene with glucosyltriazolyl groups. Tetrahedron Lett. 2013, 54, 474–477. [Google Scholar] [CrossRef]
- Patel, E.N.; Arthur, R.B.; Nicholas, A.D.; Reinheimer, E.W.; Omary, M.A.; Brichacek, M.; Patterson, H.H. Synthesis, structure and photophysical properties of a 2D network with gold dicyanide donors coordinated to aza[5]helicene viologen acceptors. Dalton Trans. 2019, 48, 10288–10297. [Google Scholar] [CrossRef] [PubMed]
- Wang, C.; Wang, S.J.; Kong, F.G. Calixarene-protected titanium-oxo clusters and their photocurrent responses and photocatalytic performances. Inorg. Chem. 2021, 60, 5034–5041. [Google Scholar] [CrossRef]
- Li, J.; Yang, F.; Zhou, Q.; Ren, R.; Wu, L.; Lv, Y. A regularly combined magnetic 3D hierarchical Fe3O4/BiOBr heterostructure: Fabrication, visible-light photocatalytic activity and degradation mechanism. J. Colloid Interface Sci. 2019, 546, 139–151. [Google Scholar] [CrossRef]
- Zhou, X.J.; Chen, C.; Ren, C.X.; Sun, J.K.; Zhang, J. Tunable solid-state photoluminescence based on proton-triggered structural transformation of 4,4prime-bipyridinium derivative. J. Mater. Chem. C 2013, 1, 744–750. [Google Scholar] [CrossRef]
- Wendlandt, W.M.; Hecht, H.G. Reflectance Spectroscopy; Interscience: New York, NY, USA, 1966. [Google Scholar]
- Lin, X.Y.; Zhao, L.M.; Wang, D.H.; Wang, Y.K.; Li, M.; Li, H.H.; Chen, Z.R. Structural diversities of squarate-based complexes: Photocurrent responses and thermochromic behaviours enchanced by viologens. Inorg. Chem. Front. 2018, 5, 189–199. [Google Scholar] [CrossRef]
- Bailey, R.A.; Clark, H.M.; Ferris, J.P.; Krause, S.; Strong, R.L. The environmental chemistry of some important elements. Chem. Environ. 2002, 347–416. [Google Scholar] [CrossRef]
- Huang, H.W.; He, Y.; Lin, Z.S.; Kang, L.; Zhang, Y.H. Two novel Bi-Based Borate photocatalysts: Crystal structure, electronic structure, photoelectrochemical properties, and photocatalytic activity under simulated solar light irradiation. J. Phys. Chem. C 2013, 117, 22986–22994. [Google Scholar] [CrossRef]
- Sheldrick, G.M. SHELXS-97: Program for Crystal Structure Solution; Göttingen University: Göttingen, Germany, 1997. [Google Scholar]
- Sheldrick, G.M. SHELXL-97: Program for the Refinement of Crystal Structures; Göttingen University: Göttingen, Germany, 1997. [Google Scholar]









| Bond | Dist. | Bond | Dist. | Dist. | Dist. |
|---|---|---|---|---|---|
| Bi(1)–I(1) | 3.0568(11) | Bi(1)–I(1) a | 3.0568(11) | Bi(1)–I(2) | 3.1094(12) |
| Bi(1)–I(2) a | 3.1094(12) | Bi(1)–I(3) | 3.0761(10) | Bi(1)–I(3) a | 3.0760(10) |
| I(4)–I(5) | 2.970(2) | I(5)–I(6) | 2.888(2) | I(7)–I(8) | 2.9226(17) |
| I(8)–I(9) | 2.9316(19) | I(10)–I(11) | 2.9024(13) | I(9)–I(12) | 3.361(4) |
| I(10)–I(13) | 3.30(3) | I(12)–I(13) | 2.741(2) | I(3)–I(7) | 3.727(3) |
| Angle | (°) | Angle | (°) | Angle | (°) |
| I(1) a–Bi(1)–I(2) a | 87.53(3) | I(1)–Bi(1)–I(2) a | 92.47(3) | I(3) a–Bi(1)–I(2) a | 89.43(3) |
| I(3)–Bi(1)–I(2) a | 90.57(3) | I(1) a–Bi(1)–I(2) | 92.47(3) | I(1)–Bi(1)–I(2) | 87.53(3) |
| I(3) a–Bi(1)–I(2) | 90.57(3) | I(3)–Bi(1)–I(2) | 89.43(3) | I(2) a–Bi(1)–I(2) | 180.0 |
| I(6)–I(5)–I(4) | 176.62(6) | I(7)–I(8)–I(9) | 176.31(6) | I(10)–I(11)–I(10) b | 180.00(4) |
| I(9)–I(12)–I(13) | 164.87(7) | I(11)–I(10)–I(13) | 144.42(5) |
| D–H…A | d(D–H) | d(H…A) | d(D…A) | ∠DHA | Symmetry Codes |
|---|---|---|---|---|---|
| N(1)–H(1N)…I(2) | 0.86 | 2.84 | 3.597(13) | 149 | −1 − x, 2 − y, −z |
| N(3)–H(3N)…I(2) | 0.86 | 2.79 | 3.578(13) | 153 | −1 + x, y, −1 + z |
| C(5)–H(5)…I(6) | 0.93 | 3.04 | 3.84(2) | 146 | −1 − x, 2 − y, −z |
| O(2)–H(2W)…O(3) | 0.82 | 2.10 | 2.640(14) | 123 | −1 − x, 1/2 + y, 1/2 − z |
Publisher’s Note: MDPI stays neutral with regard to jurisdictional claims in published maps and institutional affiliations. |
© 2021 by the authors. Licensee MDPI, Basel, Switzerland. This article is an open access article distributed under the terms and conditions of the Creative Commons Attribution (CC BY) license (https://creativecommons.org/licenses/by/4.0/).
Share and Cite
Zhuang, X.; Wu, Q.; Huang, X.; Li, H.; Lin, T.; Gao, Y. A Three-Component Hybrid Templated by Asymmetric Viologen Exhibiting Visible-Light-Driven Photocatalytic Degradation on Dye Pollutant in Maritime Accident Seawater. Catalysts 2021, 11, 640. https://doi.org/10.3390/catal11050640
Zhuang X, Wu Q, Huang X, Li H, Lin T, Gao Y. A Three-Component Hybrid Templated by Asymmetric Viologen Exhibiting Visible-Light-Driven Photocatalytic Degradation on Dye Pollutant in Maritime Accident Seawater. Catalysts. 2021; 11(5):640. https://doi.org/10.3390/catal11050640
Chicago/Turabian StyleZhuang, Xueqiang, Qiqi Wu, Xihe Huang, Haohong Li, Tianjin Lin, and Yali Gao. 2021. "A Three-Component Hybrid Templated by Asymmetric Viologen Exhibiting Visible-Light-Driven Photocatalytic Degradation on Dye Pollutant in Maritime Accident Seawater" Catalysts 11, no. 5: 640. https://doi.org/10.3390/catal11050640
APA StyleZhuang, X., Wu, Q., Huang, X., Li, H., Lin, T., & Gao, Y. (2021). A Three-Component Hybrid Templated by Asymmetric Viologen Exhibiting Visible-Light-Driven Photocatalytic Degradation on Dye Pollutant in Maritime Accident Seawater. Catalysts, 11(5), 640. https://doi.org/10.3390/catal11050640
