Ionic Liquid-Derived Carbon-Supported Metal Electrocatalysts as Anodes in Direct Borohydride-Peroxide Fuel Cells
Abstract
1. Introduction
2. Results
2.1. Characterization of Ni/c-IL
2.2. Borohydride Oxidation Study
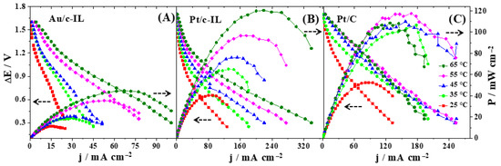
2.3. Fuel Cell Tests
3. Materials and Methods
3.1. Preparation and Characterization of the (IL-c)-Supported Electrocatalysts
3.2. NaBH4 Oxidation Studies
3.3. Fuel Cell Test
4. Conclusions
Supplementary Materials
Author Contributions
Funding
Data Availability Statement
Conflicts of Interest
References
- Zhang, Z.; Song, J.; Han, B. Catalytic Transformation of lignocellulose into chemicals and fuel products in ionic liquids. Chem. Rev. 2017, 117, 6834–6880. [Google Scholar] [CrossRef]
- Singh, S.K.; Savoy, A.W. Ionic liquids synthesis and applications: An overview. J. Mol. Liq. 2020, 297, 112038. [Google Scholar] [CrossRef]
- Welton, T. Room-temperature ionic liquids: Solvents for synthesis and catalysis. Chem. Rev. 1999, 99, 2071–2083. [Google Scholar] [CrossRef] [PubMed]
- Jon, C.S.; Meng, L.Y.; Li, D. Recent review on carbon nanomaterials functionalized with ionic liquids in sample pretreatment application. Trends Anal. Chem. 2019, 120, 115641. [Google Scholar] [CrossRef]
- Mugadza, K.; Ndungu, P.G.; Stark, A.; Nyamori, V.O. Ionic liquids and cellulose: Innovative feedstock for synthesis of carbon nanostructured material. Mater. Chem. Phys. 2019, 234, 201–209. [Google Scholar] [CrossRef]
- Huang, X.; Yamasaki, K.; Kudo, S.; Sperry, J.; Hayashi, J.-i. Influence of ionic liquid type on porous carbon formation during the ionothermal pyrolysis of cellulose. J. Anal. Appl. Pyrolysis 2020, 145, 104728. [Google Scholar] [CrossRef]
- Zhang, S.; Dokko, K.; Watanabe, M. Carbon materialization of ionic liquids: From solvents to materials. Mater. Horiz. 2015, 2, 168–197. [Google Scholar] [CrossRef]
- Zdolšek, N.; Rocha, R.P.; Krstić, J.; Trtić-Petrović, T.; Šljukić, B.; Figueiredo, J.L.; Vujković, M.J. Electrochemical investigation of ionic liquid-derived porous carbon materials for supercapacitors: Pseudocapacitance versus electrical double layer. Electrochim. Acta 2019, 298, 541–551. [Google Scholar] [CrossRef]
- Šljukić, B.; Santos, D.M.F. Direct borohydride fuel cells. In Direct Liquid Fuel Cells: Fundamentals, Advances and Future, 1st ed.; Akay, R.G., Yurtcan, A.B., Eds.; Academic Press: San Diego, CA, USA, 2020; Volume Chapter 10, pp. 203–232. [Google Scholar]
- Olu, P.Y.; Deschamps, F.; Caldarella, G.; Chatenet, M.; Job, N. Investigation of platinum and palladium as potential anodic catalysts for direct borohydride and ammonia borane fuel cells. J. Power Sources 2015, 297, 492–503. [Google Scholar] [CrossRef]
- Nagle, L.C.; Rohan, J.F. Nanoporous gold anode catalyst for direct borohydride fuel cell. Int. J. Hydrogen Energy 2011, 36, 10319–10326. [Google Scholar] [CrossRef][Green Version]
- Milikić, J.; Stamenović, U.; Vodnik, V.; Ahrenkiel, S.P.; Šljukić, B. Gold nanorod-polyaniline composites: Synthesis and evaluation as anode electrocatalysts for direct borohydride fuel cells. Electrochim. Acta 2019, 328, 135115. [Google Scholar] [CrossRef]
- Santos, D.M.F.; Šljukić, B.; Amaral, L.; Milikić, J.; Sequeira, C.A.C.; Macciò, D.; Saccone, A. Nickel-rare earth electrodes for sodium borohydride electrooxidation. Electrochim. Acta 2016, 190, 1050–1056. [Google Scholar] [CrossRef]
- Šljukić, B.; Milikić, J.; Santos, D.M.F.; Sequeira, C.A.C. Carbon-supported Pt0.75M0.25 (M = Ni or Co) electrocatalysts for borohydride oxidation. Electrochim. Acta 2013, 107, 577–583. [Google Scholar] [CrossRef]
- Hosseini, M.G.; Mahmoodi, R. Preparation method of Ni@Pt/C nanocatalyst affects the performance of direct borohydride-hydrogen peroxide fuel cell: Improved power density and increased catalytic oxidation of borohydride. J. Colloid Interface Sci. 2017, 500, 264–275. [Google Scholar] [CrossRef] [PubMed]
- Wei, J.; Wang, X.; Wang, Y.; Guo, J.; He, P.; Yang, S.; Li, N.; Pei, F.; Wang, Y. Carbon-supported Au hollow nanospheres as anode catalysts for direct borohydride-hydrogen peroxide fuel cells. Energy Fuels 2009, 23, 4037–4041. [Google Scholar] [CrossRef]
- Deshmukh, K.; Santhanam, K.S.V. New borohydride fuel cell with multiwalled carbon nanotubes as anode: A step towards increasing the power output. J. Power Sources 2006, 159, 1084–1088. [Google Scholar] [CrossRef]
- Hosseini, M.G.; Mahmoodi, R. Improvement of energy conversion efficiency and power generation in direct borohydride-hydrogen peroxide fuel cell: The effect of Ni-M core-shell nanoparticles (M = Pt, Pd, Ru)/multiwalled carbon nanotubes on the cell performance. J. Power Sources 2017, 370, 87–97. [Google Scholar] [CrossRef]
- Navarro-Flores, E.; Chong, Z.; Omanovic, S. Characterization of Ni, NiMo, NiW and NiFe electroactive coatings as electrocatalysts for hydrogen evolution in an acidic medium. J. Mol. Catal. A Chem. 2005, 226, 179–197. [Google Scholar] [CrossRef]
- Zhou, W.; Wu, X.J.; Cao, X.; Huang, X.; Tan, C.; Tian, J.; Liu, H.; Wang, J.; Zhang, H. Ni3S2 nanorods/Ni foam composite electrode with low overpotential for electrocatalytic oxygen evolution. Energy Environ. Sci. 2013, 6, 2921–2924. [Google Scholar] [CrossRef]
- Martínez, R.; Romero, E.; Guimon, C.; Bilbao, R. CO2 reforming of methane over coprecipitated Ni-Al catalysts modified with lanthanum. Appl. Catal. A Gen. 2004, 274, 139–149. [Google Scholar] [CrossRef]
- Tian, D.; Xu, Z.; Zhang, D.; Zhou, Y.; Sun, Z. Multifaceted roles of FeCl2 on pore formation of polyester fabric wastes-based activated carbon. Colloids Surf. A Physicochem. Eng. Asp. 2020, 598, 124756. [Google Scholar] [CrossRef]
- Yuan, L.; Yan, Z.; Jiang, L.; Wang, E.; Wang, S.; Sun, G. Gold-iridium bifunctional electrocatalyst for oxygen reduction and oxygen evolution reactions. J. Energy Chem. 2016, 25, 805–810. [Google Scholar] [CrossRef]
- Zdolšek, N.; Dimitrijević, A.; Bendová, M.; Krstić, J.; Rocha, R.P.; Figueiredo, J.L.; Bajuk-Bogdanović, D.; Trtić-Petrović, T.; Šljukić, B. Electrocatalytic activity of ionic-liquid-derived porous carbon materials for the oxygen reduction reaction. ChemElectroChem 2018, 5, 1037–1046. [Google Scholar] [CrossRef]
- Claramunt, S.; Varea, A.; López-Díaz, D.; Velázquez, M.M.; Cornet, A.; Cirera, A. The importance of interbands on the interpretation of the Raman spectrum of graphene oxide. J. Phys. Chem. C 2015, 119, 10123–10129. [Google Scholar] [CrossRef]
- Cherevko, S.; Zeradjanin, A.R.; Keeley, G.P.; Mayrhofer, K.J.J. A comparative study on gold and platinum dissolution in acidic and alkaline media. J. Electrochem. Soc. 2014, 161, H822–H830. [Google Scholar] [CrossRef]
- Santos, D.M.F.; Šljukić, B.; Amaral, L.; Macciò, D.; Saccone, A.; Sequeira, C.A.C. Nickel and nickel-cerium alloy anodes for direct borohydride fuel cells. J. Electrochem. Soc. 2014, 161, 594–599. [Google Scholar] [CrossRef]
- Spinner, N.; Mustain, W.E. Effect of nickel oxide synthesis conditions on its physical properties and electrocatalytic oxidation of methanol. Electrochim. Acta 2011, 56, 5656–5666. [Google Scholar] [CrossRef]
- Faro, M.L.; Reis, R.M.; Saglietti, G.G.A.; Zignani, S.C.; Trocino, S.; Frontera, P.; Antonucci, P.L.; Ticianelli, E.A.; Aricò, A.S. Investigation of Ni-based alloy/CGO electro-catalysts as protective layer for a solid oxide fuel cell anode fed with ethanol. J. Appl. Electrochem. 2015, 45, 647–656. [Google Scholar] [CrossRef]
- Oliveira, V.L.; Morais, C.; Servat, K.; Napporn, T.W.; Olivi, P.; Kokoh, K.B.; Tremiliosi-Filho, G. Kinetic investigations of glycerol oxidation reaction on Ni/C. Electrocatalysis 2015, 6, 447–454. [Google Scholar] [CrossRef]
- Hosseini, M.G.; Abdolmaleki, M.; Ashrafpoor, S. Electrocatalytic oxidation of sodium borohydride on a nanoporous Ni/Zn-Ni electrode. Chin. J. Catal. 2012, 33, 1817–1824. [Google Scholar] [CrossRef]
- Duan, D.; Liang, J.; Liu, H.; You, X.; Wei, H.; Wei, G.; Liu, S. The effective carbon supported core-shell structure of Ni@Au catalysts for electro-oxidation of borohydride. Int. J. Hydrogen Energy 2015, 40, 488–500. [Google Scholar] [CrossRef]
- Olu, P.Y.; Bonnefont, A.; Rouhet, M.; Bozdech, S.; Job, N.; Chatenet, M.; Savinova, E. Insights into the potential dependence of the borohydride electrooxidation reaction mechanism on platinum nanoparticles supported on ordered carbon nanomaterials. Electrochim. Acta 2015, 179, 637–646. [Google Scholar] [CrossRef]
- Geng, X.; Zhang, H.; Ye, W.; Ma, Y.; Zhong, H. Ni-Pt/C as anode electrocatalyst for a direct borohydride fuel cell. J. Power Sources 2008, 185, 627–632. [Google Scholar] [CrossRef]
- Oshchepkov, A.G.; Braesch, G.; Ould-Amara, S.; Rostamikia, G.; Maranzana, G.; Bonnefont, A.; Papaefthimiou, V.; Janik, M.J.; Chatenet, M.; Savinova, E.R. Nickel Metal Nanoparticles as Anode Electrocatalysts for Highly Efficient Direct Borohydride Fuel Cells. ACS Catal. 2019, 9, 8520–8528. [Google Scholar] [CrossRef]
- Lee, S.-M.; Kim, J.-H.; Lee, H.-H.; Lee, P.S.; Lee, J.-Y. The characterization of an alkaline fuel cell that uses hydrogen storage alloys. J. Electrochem. Soc. 2002, 149, A603. [Google Scholar] [CrossRef]
- Wang, K.; Juntao Lu, L.Z. A current-decomposition study of the borohydride oxidation reaction at Ni electrodes. J. Phys. Chem. C 2007, 111, 7456–7462. [Google Scholar] [CrossRef]
- Pasqualeti, A.M.; Olu, P.Y.; Chatenet, M.; Lima, F.H.B. Borohydride electrooxidation on carbon-supported noble metal nanoparticles: Insights into hydrogen and hydroxyborane formation. ACS Catal. 2015, 5, 2778–2787. [Google Scholar] [CrossRef]
- Chatenet, M.; Molina-Concha, M.B.; Diard, J.P. First insights into the borohydride oxidation reaction mechanism on gold by electrochemical impedance spectroscopy. Electrochim. Acta 2009, 54, 1687–1693. [Google Scholar] [CrossRef]
- Hosseini, M.G.; Mahmoodi, R.; Sadeghi Amjadi, M. Carbon supported Ni1Pt1 nanocatalyst as superior electrocatalyst with increased power density in direct borohydride-hydrogen peroxide and investigation of cell impedance at different temperatures and discharging currents. Energy 2017, 131, 137–148. [Google Scholar] [CrossRef]
- Oliveira, R.C.P.; Milikić, J.; Daş, E.; Yurtcan, A.B.; Santos, D.M.F.; Šljukić, B. Platinum/polypyrrole-carbon electrocatalysts for direct borohydride-peroxide fuel cells. Appl. Catal. B Environ. 2018, 238, 454–464. [Google Scholar] [CrossRef]
- Simoes, M.; Baranton, S.; Coutanceau, C. Electrooxidation of sodium borohydride at Pd, Au, and PdxAu1−x carbon-supported nanocatalysts. J. Phys. Chem. C 2009, 113, 13369–13376. [Google Scholar] [CrossRef]
- Santos, D.M.F.; Sequeira, C.A.C. Cyclic voltammetry investigation of borohydride oxidation at a gold electrode. Electrochim. Acta 2010, 55, 6775–6781. [Google Scholar] [CrossRef]
- Oliveira, R.C.P.; Sevim, M.; Šljukić, B.; Sequeira, C.A.C.; Metin, Ö.; Santos, D.M.F. Mesoporous graphitic carbon nitride-supported binary MPt (M: Co, Ni, Cu) nanoalloys as electrocatalysts for borohydride oxidation and hydrogen evolution reaction. Catal. Today 2019, 357, 291–301. [Google Scholar] [CrossRef]
- Dong, H.; Feng, R.; Ai, X.; Cao, Y.; Yang, H.; Cha, C. Electrooxidation mechanisms and discharge characteristics of borohydride on different catalytic metal surfaces. J. Phys. Chem. B 2005, 109, 10896–10901. [Google Scholar] [CrossRef] [PubMed]
- Backović, G.; Milikić, J.; De Negri, S.; Saccone, A.; Šljukić, B.; Santos, D.M.F. Enhanced borohydride oxidation kinetics at gold-rare earth alloys. J. Alloys Compd. 2020, 857, 158273. [Google Scholar] [CrossRef]
- Liu, X.; Yi, L.; Wang, X.; Su, J.; Song, Y.; Liu, J. Graphene supported platinum nanoparticles as anode electrocatalyst for direct borohydride fuel cell. Int. J. Hydrogen Energy 2012, 37, 17984–17991. [Google Scholar] [CrossRef]
- Liu, J.; Wang, H.; Wu, C.; Zhao, Q.; Wang, X.; Yi, L. Preparation and characterization of nanoporous carbon-supported platinum as anode electrocatalyst for direct borohydride fuel cell. Int. J. Hydrogen Energy 2014, 39, 6729–6736. [Google Scholar] [CrossRef]
- Sombatmankhong, K. Improved performance and stability of direct borohydride fuel cells (DBFCs) with porous polypyrrole support. J. Porous Mater. 2015, 22, 675–687. [Google Scholar] [CrossRef]
- He, P.; Wang, X.; Fu, P.; Wang, H.; Yi, L. The studies of performance of the Au electrode modified by Zn as the anode electrocatalyst of direct borohydride fuel cell. Int. J. Hydrogen Energy 2011, 36, 8857–8863. [Google Scholar] [CrossRef]
- Geng, X.; Zhang, H.; Ma, Y.; Zhong, H. Borohydride electrochemical oxidation on carbon-supported Pt-modified Au nanoparticles. J. Power Sources 2010, 195, 1583–1588. [Google Scholar] [CrossRef]








| Catalyst | β | Eaapp/kJ mol−1 | Ref. |
|---|---|---|---|
| Pt/c-IL | 0.88 | 10.6 | This work |
| Ni/c-IL | 0.74 | - | This work |
| Au/c-IL | 0.82 | 13.8 | This work |
| Pt/C | 0.96 | 34 | [14] |
| Pt/C | - | 16.3 | [40] |
| Pt/PPy-C5% | 1.03 | 18 | [41] |
| Pt/PPy-C12% | 1.09 | 13 | [41] |
| Pt/PPy-C20% | 1.17 | 15 | [41] |
| Pt/PPy-C35% | 0.85 | 10 | [41] |
| Pt/mpg-C3N4 | 0.65 | 26 | [44] |
| Au (bulk) | [0.82–1.25] | 44 | [43] |
| Au/C | [0.8–1.00] | - | [42] |
| Electrode | T/°C | Pp/mW cm−2 | jp/mA cm−2 | OCV/V | Ref |
|---|---|---|---|---|---|
| Au/c-IL | 25 35 45 55 65 | 11.1 18.4 20.2 34.2 43.5 | 15.5 28.5 30.1 52.6 66.9 | 1.60 1.50 1.60 1.60 1.60 | This work This work This work This work This work |
| Pt/c-IL | 25 35 45 55 65 | 40.6 65.2 76.2 96.6 120 | 83.8 131 145 177 219 | 1.50 1.60 1.60 1.60 1.60 | This work This work This work This work This work |
| Pt/C * | 25 35 45 55 65 | 52.4 100.2 110.0 117.2 108.1 | 87.4 143.2 157.2 167.9 144.2 | 1.70 1.70 1.70 1.70 1.70 | This work This work This work This work This work |
| Pt/C | 25 | 34.1 | 50.0 | 1.74 | [47] |
| Pt/G ** | 25 | 41.8 | 60.0 | 1.76 | [47] |
| Pt/XC-72R | 25 | 34.1 | 78.0 | 1.70 | [48] |
| Pt/PPy | 25 | 27.0 | 42.0 | 2.07 | [49] |
| Au/C | 20 | 28.2 | 60.0 | 1.90 | [50] |
| Au/C | 40 | 65.0 | 180.0 | 1.00 | [51] |
Publisher’s Note: MDPI stays neutral with regard to jurisdictional claims in published maps and institutional affiliations. |
© 2021 by the authors. Licensee MDPI, Basel, Switzerland. This article is an open access article distributed under the terms and conditions of the Creative Commons Attribution (CC BY) license (https://creativecommons.org/licenses/by/4.0/).
Share and Cite
Milikić, J.; Oliveira, R.C.P.; Tapia, A.; Santos, D.M.F.; Zdolšek, N.; Trtić-Petrović, T.; Vraneš, M.; Šljukić, B. Ionic Liquid-Derived Carbon-Supported Metal Electrocatalysts as Anodes in Direct Borohydride-Peroxide Fuel Cells. Catalysts 2021, 11, 632. https://doi.org/10.3390/catal11050632
Milikić J, Oliveira RCP, Tapia A, Santos DMF, Zdolšek N, Trtić-Petrović T, Vraneš M, Šljukić B. Ionic Liquid-Derived Carbon-Supported Metal Electrocatalysts as Anodes in Direct Borohydride-Peroxide Fuel Cells. Catalysts. 2021; 11(5):632. https://doi.org/10.3390/catal11050632
Chicago/Turabian StyleMilikić, Jadranka, Raisa C. P. Oliveira, Andres Tapia, Diogo M. F. Santos, Nikola Zdolšek, Tatjana Trtić-Petrović, Milan Vraneš, and Biljana Šljukić. 2021. "Ionic Liquid-Derived Carbon-Supported Metal Electrocatalysts as Anodes in Direct Borohydride-Peroxide Fuel Cells" Catalysts 11, no. 5: 632. https://doi.org/10.3390/catal11050632
APA StyleMilikić, J., Oliveira, R. C. P., Tapia, A., Santos, D. M. F., Zdolšek, N., Trtić-Petrović, T., Vraneš, M., & Šljukić, B. (2021). Ionic Liquid-Derived Carbon-Supported Metal Electrocatalysts as Anodes in Direct Borohydride-Peroxide Fuel Cells. Catalysts, 11(5), 632. https://doi.org/10.3390/catal11050632

