Silver-Modified Nano Mordenite for Carbonylation of Dimethyl Ether
Abstract
1. Introduction
2. Results and Discussion
2.1. Catalyst Structure
2.2. Catalyst Composition
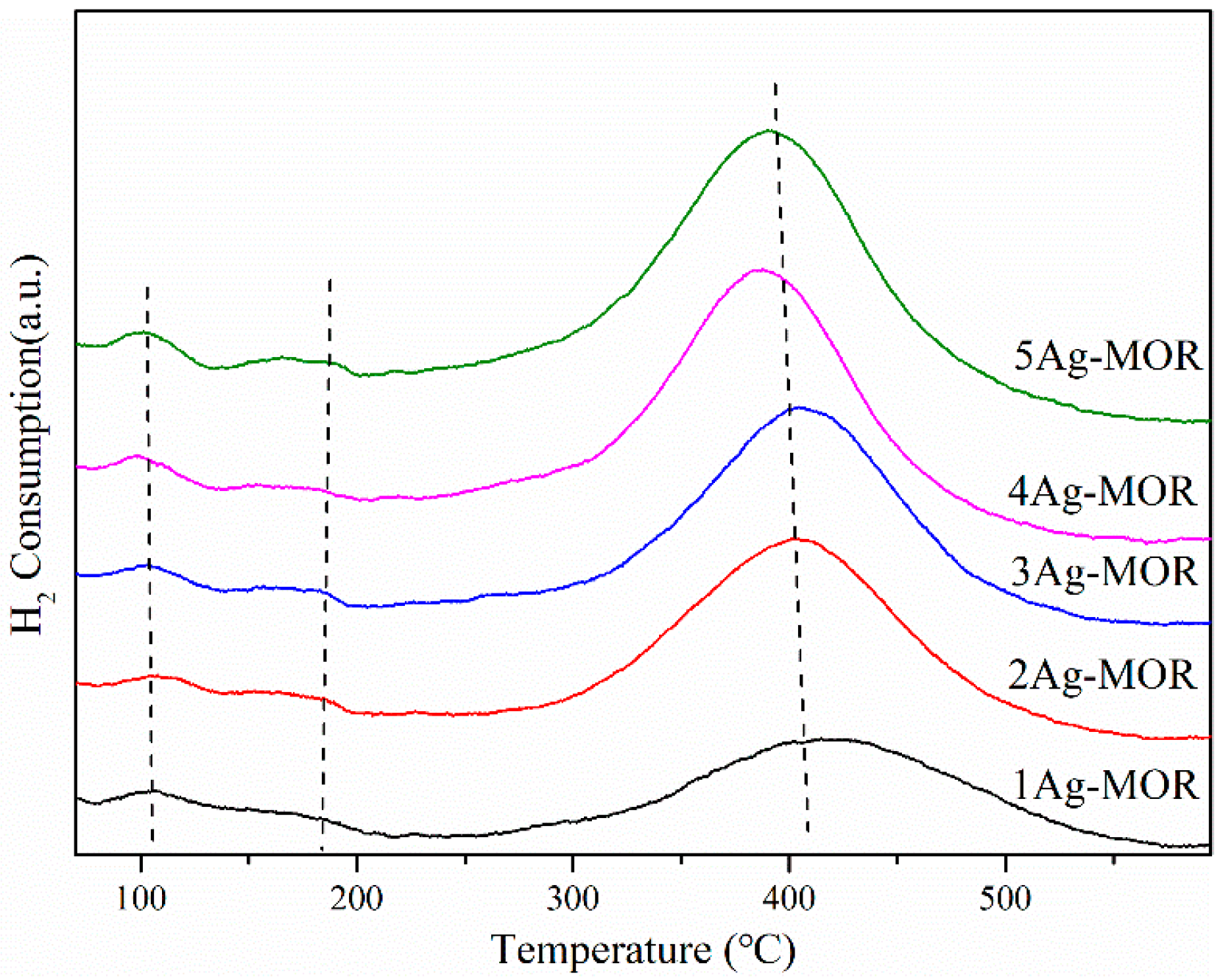
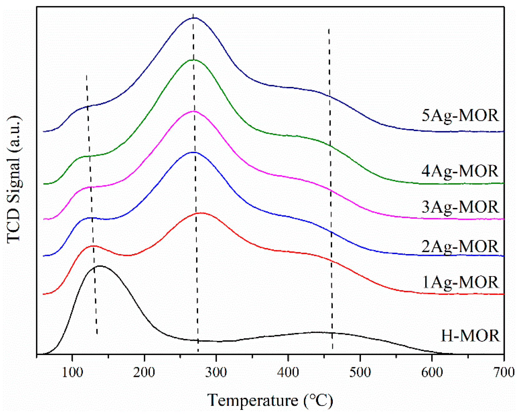
2.3. Acid Site Distribution
2.4. Activity Test for Carbonylation of DME
3. Experimental Section
3.1. Catalyst Preparation
3.1.1. Na-MOR Preparation
3.1.2. NH4-MOR Preparation
3.1.3. H-MOR/Ag-MOR Preparation
3.2. DME Carbonylation
3.3. Catalyst Characterization
4. Conclusions
Author Contributions
Funding
Data Availability Statement
Conflicts of Interest
References
- Subramani, V.; Gangwal, S.K. A Review of Recent Literature to Search for an Efficient CatalyticProcess for the Conversion of Syngas to Ethanol. Energy Fuels 2008, 22, 814–839. [Google Scholar] [CrossRef]
- Kumar, S.; Singh, N.; Prasad, R. Anhydrous ethanol: A renewable source of energy. Renew. Sustain. Energy Rev. 2010, 14, 1830–1844. [Google Scholar] [CrossRef]
- Nakagawa, Y.; Tajima, N.; Hirao, K. A Theoretical Study of Catalytic Hydration Reactions of Ethylene. J. Comput. Chem. 2000, 21, 1292–1304. [Google Scholar] [CrossRef]
- Yue, H.; Ma, X.; Gong, J. An alternative synthetic approach for efficient catalytic conversion of syngas to ethanol. Acc. Chem. Res. 2014, 47, 1483–1492. [Google Scholar] [CrossRef] [PubMed]
- Sheng, H.; Qian, W.; Zhang, H.; Zhao, P.; Ma, H.; Ying, W. Synthesis of hierarchical porous H-mordenite zeolite for carbonylation of dimethyl ether. Microporous Mesoporous Mater. 2020, 295, 109950. [Google Scholar] [CrossRef]
- Wei, Q.; Yang, G.; Gao, X.; Tan, L.; Ai, P.; Zhang, P.; Lu, P.; Yoneyama, Y.; Tsubaki, N. A facile ethanol fuel synthesis from dimethyl ether and syngas over tandem combination of Cu-doped HZSM35 with Cu-Zn-Al catalyst. Chem. Eng. J. 2017, 316, 832–841. [Google Scholar] [CrossRef]
- Liu, G.; Zhang, Q.; Han, Y.; Tan, Y. Direct oxidation of dimethyl ether to ethanol over WO3/HZSM-5 catalysts. Catal. Commun. 2012, 26, 173–177. [Google Scholar] [CrossRef]
- Ham, H.; Jung, H.S.; Kim, H.S.; Kim, J.; Cho, S.J.; Lee, W.B.; Park, M.-J.; Bae, J.W. Gas-Phase Carbonylation of Dimethyl Ether on the Stable Seed-Derived Ferrierite. ACS Catal. 2020, 10, 5135–5146. [Google Scholar] [CrossRef]
- Jung, H.S.; Ham, H.; Bae, J.W. Highly stable seed-derived ferrierite for carbonylation of dimethyl ether to methyl acetate: Effects of seed content to catalytic stability. Catal. Today 2020, 339, 79–85. [Google Scholar] [CrossRef]
- Luzgin, M.V.; Kazantsev, M.S.; Volkova, G.G.; Stepanov, A.G. Solid-state NMR study of the kinetics and mechanism of dimethyl ether carbonylation on cesium salt of 12-tungstophosphoric acid modified with Ag, Pt, and Rh. J. Catal. 2013, 308, 250–257. [Google Scholar] [CrossRef]
- Shen, H.; Li, Y.; Huang, S.; Cai, K.; Cheng, Z.; Lv, J.; Ma, X. The carbonylation of dimethyl ether catalyzed by supported heteropoly acids: The role of Brønsted acid properties. Catal. Today 2019, 330, 117–123. [Google Scholar] [CrossRef]
- Feng, X.B.; Yao, J.; Li, H.J.; Fang, Y.; Yoneyama, Y.; Yang, G.H.; Tsubaki, N. A brand new zeolite catalyst for carbonylation reaction. Chem. Commun. 2019, 55, 1048–1051. [Google Scholar] [CrossRef] [PubMed]
- Lusardi, M.; Chen, T.T.; Kale, M.; Kang, J.H.; Neurock, M.; Davis, M.E. Carbonylation of Dimethyl Ether to Methyl Acetate over SSZ-13. ACS Catal. 2020, 10, 842–851. [Google Scholar] [CrossRef]
- Xiong, Z.; Zhan, E.; Li, M.; Shen, W. DME carbonylation over a HSUZ-4 zeolite. Chem. Commun. 2020, 56, 3401–3404. [Google Scholar] [CrossRef]
- Shaikh, A.A.; Joshi, P.N.; Jacob, N.E.; Shiralkar, V.P. Direct hydrothermal crystallization of high-silica large-port mordenite. Zeolites 1993, 13, 511–517. [Google Scholar] [CrossRef]
- Liu, Z.Q.; Yi, X.F.; Wang, G.R.; Tang, X.M.; Li, G.C.; Huang, L.; Zheng, A.M. Roles of 8-ring and 12-ring channels in mordenite for carbonylation reaction: From the perspective of molecular adsorption and diffusion. J. Catal. 2019, 369, 335–344. [Google Scholar] [CrossRef]
- Chu, Y.; Lo, A.-Y.; Wang, C.; Deng, F. Origin of High Selectivity of Dimethyl Ether Carbonylation in the 8-Membered Ring Channel of Mordenite Zeolite. J. Phys. Chem. C 2019, 123, 15503–15512. [Google Scholar] [CrossRef]
- Zhou, H.; Zhu, W.; Shi, L.; Liu, H.; Liu, S.; Ni, Y.; Liu, Y.; He, Y.; Xu, S.; Li, L.; et al. In situ DRIFT study of dimethyl ether carbonylation to methyl acetate on H-mordenite. J. Mol. Catal. A Chem. 2016, 417, 1–9. [Google Scholar] [CrossRef]
- Chaouati, N.; Soualah, A.; Chater, M.; Tarighi, M.; Pinard, L. Mechanisms of coke growth on mordenite zeolite. J. Catal. 2016, 344, 354–364. [Google Scholar] [CrossRef]
- Wang, M.; Huang, S.; Lü, J.; Cheng, Z.; Li, Y.; Wang, S.; Ma, X. Modifying the acidity of H-MOR and its catalytic carbonylation of dimethyl ether. Chin. J. Catal. 2016, 37, 1530–1537. [Google Scholar] [CrossRef]
- Xue, H.; Huang, X.; Zhan, E.; Ma, M.; Shen, W. Selective dealumination of mordenite for enhancing its stability in dimethyl ether carbonylation. Catal. Commun. 2013, 37, 75–79. [Google Scholar] [CrossRef]
- Zhao, N.; Cheng, Q.; Lyu, S.; Guo, L.; Tian, Y.; Ding, T.; Xu, J.; Ma, X.; Li, X. Promoting dimethyl ether carbonylation over hot-water pretreated H-mordenite. Catal. Today 2020, 339, 86–92. [Google Scholar] [CrossRef]
- Han, H.B.; Wang, Y.H.; Li, K.; Lei, J.; Liu, D.H.; Yan, Z.F. Acetic Acid Leaching on the Structure, Acidity and Performance of HMOR Catalyst. J. Inorg. Mater. 2019, 34, 179–185. [Google Scholar] [CrossRef]
- Wang, X.; Li, R.; Yu, C.; Liu, Y.; Zhang, L.; Xu, C.; Zhou, H. Enhancing the dimethyl ether carbonylation performance over mordenite catalysts by simple alkaline treatment. Fuel 2019, 239, 794–803. [Google Scholar] [CrossRef]
- Cao, K.; Fan, D.; Li, L.; Fan, B.; Wang, L.; Zhu, D.; Wang, Q.; Tian, P.; Liu, Z. Insights into the Pyridine-Modified MOR Zeolite Catalysts for DME Carbonylation. ACS Catal. 2020, 10, 3372–3380. [Google Scholar] [CrossRef]
- Zhao, N.; Tian, Y.; Zhang, L.F.; Cheng, Q.P.; Lyu, S.S.; Ding, T.; Hu, Z.P.; Ma, X.B.; Li, X.G. Spacial hindrance induced recovery of over-poisoned active acid sites in pyridine-modified H-mordenite for dimethyl ether carbonylation. Chin. J. Catal. 2019, 40, 895–904. [Google Scholar] [CrossRef]
- Liu, J.; Xue, H.; Huang, X.; Wu, P.; Huang, S.; Liu, S.; Shen, W. Stability Enhancement of H-Mordenite in Dimethyl Ether Carbonylation to Methyl Acetate by Pre-adsorption of Pyridine. Chin. J. Catal. 2010, 31, 729–738. [Google Scholar] [CrossRef]
- Cheng, Z.; Huang, S.; Li, Y.; Cai, K.; Yao, D.; Lv, J.; Wang, S.; Ma, X. Carbonylation of dimethyl ether over MOR and Cu/H-MOR catalysts: Comparative investigation of deactivation behavior. Appl. Catal. A Gen. 2019, 576, 1–10. [Google Scholar] [CrossRef]
- Zhan, H.; Huang, S.; Li, Y.; Lv, J.; Wang, S.; Ma, X. Elucidating the nature and role of Cu species in enhanced catalytic carbonylation of dimethyl ether over Cu/H-MOR. Catal. Sci. Technol. 2015, 5, 4378–4389. [Google Scholar] [CrossRef]
- Zhang, Z.; Zhao, N.; Ma, K.; Cheng, Q.; Zhang, J.; Zheng, L.; Tian, Y.; Li, X. Isolated zinc in mordenite stabilizing carbonylation of dimethyl ether to methyl acetate. Chin. Chem. Lett. 2019, 30, 513–516. [Google Scholar] [CrossRef]
- Aponte, Y.; de Lasa, H. The Effect of Zn on Offretite Zeolite Properties. Acidic Characterizations and NH3-TPD Desorption Models. Ind. Eng. Chem. Res. 2017, 56, 1948–1960. [Google Scholar] [CrossRef]
- Li, Y.; Huang, S.; Cheng, Z.; Cai, K.; Li, L.; Milan, E.; Lv, J.; Wang, Y.; Sun, Q.; Ma, X. Promoting the activity of Ce-incorporated MOR in dimethyl ether carbonylation through tailoring the distribution of Brønsted acids. Appl. Catal. B Environ. 2019, 256, 117777. [Google Scholar] [CrossRef]
- Ma, M.; Zhan, E.; Huang, X.; Ta, N.; Xiong, Z.; Bai, L.; Shen, W. Carbonylation of dimethyl ether over Co-HMOR. Catal. Sci. Technol. 2018, 8, 2124–2130. [Google Scholar] [CrossRef]
- Zhou, H.; Zhu, W.; Shi, L.; Liu, H.; Liu, S.; Xu, S.; Ni, Y.; Liu, Y.; Li, L.; Liu, Z. Promotion effect of Fe in mordenite zeolite on carbonylation of dimethyl ether to methyl acetate. Catal. Sci. Technol. 2015, 5, 1961–1968. [Google Scholar] [CrossRef]
- Wang, S.; Guo, W.; Zhu, L.; Wang, H.; Qiu, K.; Cen, K. Methyl Acetate Synthesis from Dimethyl Ether Carbonylation over Mordenite Modified by Cation Exchange. J. Phys. Chem. C 2014, 119, 524–533. [Google Scholar] [CrossRef]
- Reule, A.A.C.; Semagina, N. Zinc Hinders Deactivation of Copper-Mordenite: Dimethyl Ether Carbonylation. ACS Catal. 2016, 6, 4972–4975. [Google Scholar] [CrossRef]
- Reule, A.A.C.; Shen, J.; Semagina, N. Copper Affects the Location of Zinc in Bimetallic Ion-Exchanged Mordenite. ChemPhysChem 2018, 19, 1500–1506. [Google Scholar] [CrossRef]
- Sheng, H.; Ma, H.; Qian, W.; Fei, N.; Zhang, H.; Ying, W. Platinum–Copper Bimetallic-Modified Nanoprism Mordenite for Carbonylation of Dimethyl Ether. Energy Fuels 2019, 33, 10159–10166. [Google Scholar] [CrossRef]
- Conte, M.; Lopez-Sanchez, J.A.; He, Q.; Morgan, D.J.; Ryabenkova, Y.; Bartley, J.K.; Carley, A.F.; Taylor, S.H.; Kiely, C.J.; Khalid, K.; et al. Modified zeolite ZSM-5 for the methanol to aromatics reaction. Catal. Sci. Technol. 2012, 2, 105–112. [Google Scholar] [CrossRef]
- Sánchez-López, P.; Antúnez-García, J.; Fuentes-Moyado, S.; Galván, D.H.; Petranovskii, V.; Chávez-Rivas, F. Analysis of theoretical and experimental X-ray diffraction patterns for distinct mordenite frameworks. J. Mater. Sci. 2019, 54, 7745–7757. [Google Scholar] [CrossRef]
- Aspromonte, S.G.; Romero, A.; Boix, A.V.; Alonso, E. Hydrolysis of cellulose to glucose by supercritical water and silver mesoporous zeolite catalysts. Cellulose 2019, 26, 2471–2485. [Google Scholar] [CrossRef]
- Reule, A.A.C.; Sawada, J.A.; Semagina, N. Effect of selective 4-membered ring dealumination on mordenite-catalyzed dimethyl ether carbonylation. J. Catal. 2017, 349, 98–109. [Google Scholar] [CrossRef]
- Abdelrasoul, A.; Zhang, H.; Cheng, C.-H.; Doan, H. Applications of molecular simulations for separation and adsorption in zeolites. Microporous Mesoporous Mater. 2017, 242, 294–348. [Google Scholar] [CrossRef]
- Van laak, A.N.C.; Gosselink, R.W.; Sagala, S.L.; Meeldijk, J.D.; de Jongh, P.E.; de Jong, K.P. Alkaline treatment on commercially available aluminum rich mordenite. Appl. Catal. A Gen. 2010, 382, 65–72. [Google Scholar] [CrossRef]
- Li, S.; Cai, K.; Li, Y.; Liu, S.; Yu, M.; Wang, Y.; Ma, X.; Huang, S. Identifying the Active Silver Species in Carbonylation of Dimethyl Ether over Ag−HMOR. ChemCatChem 2020, 12, 3290–3297. [Google Scholar] [CrossRef]
- Kaucký, D.; Vondrová, A.; Dědeček, J.; Wichterlová, B. Activity of Co Ion Sites in ZSM-5, Ferrierite, and Mordenite in Selective Catalytic Reduction of NO with Methane. J. Catal. 2000, 194, 318–329. [Google Scholar] [CrossRef]
- Chiericatti, C.; Basílico, J.C.; Basílico, M.L.Z.; Zamaro, J.M. Antifungal activity of silver ions exchanged in mordenite. Microporous Mesoporous Mater. 2014, 188, 118–125. [Google Scholar] [CrossRef]
- Aspromonte, S.G.; Serra, R.M.; Miró, E.E.; Boix, A.V. AgNaMordenite catalysts for hydrocarbon adsorption and deNOx processes. Appl. Catal. A Gen. 2011, 407, 134–144. [Google Scholar] [CrossRef]
- He, T.; Liu, X.; Xu, S.; Han, X.; Pan, X.; Hou, G.; Bao, X. Role of 12-Ring Channels of Mordenite in DME Carbonylation Investigated by Solid-State NMR. J. Phys. Chem. C 2016, 120, 22526–22531. [Google Scholar] [CrossRef]
- Huang, S.; Wang, Y.; Wang, Z.; Yan, B.; Wang, S.; Gong, J.; Ma, X. Cu-doped zeolites for catalytic oxidative carbonylation: The role of Brønsted acids. Appl. Catal. A Gen. 2012, 417, 236–242. [Google Scholar] [CrossRef]
- Rimsza, J.M.; Chapman, K.W.; Nenoff, T.M. Energetics and Structure of Ag–Water Clusters Formed in Mordenite. J. Phys. Chem. C 2020, 124, 4517–4524. [Google Scholar] [CrossRef]
- Zhao, P.; Qian, W.; Ma, H.; Sheng, H.; Zhang, H.; Ying, W. Effect of Zr Incorporation on Mordenite Catalyzed Dimethyl Ether Carbonylation. Catal. Lett. 2020, 1–15. [Google Scholar] [CrossRef]










| Sample | Surface Area (m2/g) | Pore Volume (cm3/g) | Crystallite Size e (nm) | ||||
|---|---|---|---|---|---|---|---|
| SBETa | Smicrob | Sextc | Vtotalb | Vmicrob | Vmesod | ||
| H-MOR | 385 | 310 | 75 | 0.35 | 0.15 | 0.20 | 204 | 
| 1Ag-MOR | 334 | 276 | 58 | 0.31 | 0.13 | 0.18 | 54 | 
| 2Ag-MOR | 331 | 273 | 58 | 0.32 | 0.12 | 0.20 | 33 | 
| 3Ag-MOR | 327 | 270 | 57 | 0.32 | 0.13 | 0.19 | 30 | 
| 4Ag-MOR | 320 | 265 | 55 | 0.31 | 0.13 | 0.18 | 40 | 
| 5Ag-MOR | 316 | 261 | 55 | 0.30 | 0.12 | 0.18 | 32 | 
| Sample | Element Content a (wt%) | Si/Al (Molar Ratio) | Alf b (%) | Alef b (%) | ||
|---|---|---|---|---|---|---|
| Al | Si | Ag | ||||
| H-MOR | 3.3 | 34 | - | 9.9 | 72.1 | 27.9 | 
| 1Ag-MOR | 3.1 | 32 | 4.9 | 10.0 | 93.0 | 7.0 | 
| 2Ag-MOR | 3.1 | 32 | 6.9 | 10.0 | 97.6 | 2.4 | 
| 3Ag-MOR | 3.0 | 32 | 7.8 | 10.3 | 97.7 | 2.3 | 
| 4Ag-MOR | 3.0 | 31 | 8.3 | 10.0 | 98.0 | 2.0 | 
| 5Ag-MOR | 3.0 | 31 | 8.3 | 10.0 | 97.3 | 2.7 | 
| Catalyst | Amount of Acid Sites (μmol/g) a | |||
|---|---|---|---|---|
| Weak | Moderate | Strong | Total | |
| H-MOR | 933 | - | 301 | 1234 | 
| 1Ag-MOR | 264 | 1084 | 405 | 1753 | 
| 2Ag-MOR | 194 | 1198 | 446 | 1838 | 
| 3Ag-MOR | 178 | 1277 | 457 | 1912 | 
| 4Ag-MOR | 168 | 1435 | 569 | 2172 | 
| 5Ag-MOR | 178 | 1265 | 561 | 2004 | 
| Catalyst | Amount of Acid Sites (μmol/g) | |||
|---|---|---|---|---|
| Btotal a | B12-MR b | L12-MR b | B8-MR c | |
| H-MOR | 301 | 59 | 461 | 242 | 
| 1Ag-MOR | 405 | 19 | 431 | 386 | 
| 2Ag-MOR | 447 | 12 | 195 | 435 | 
| 3Ag-MOR | 457 | 8 | 208 | 449 | 
| 4Ag-MOR | 569 | 6 | 131 | 563 | 
| 5Ag-MOR | 560 | 11 | 101 | 549 | 
| Publisher’s Note: MDPI stays neutral with regard to jurisdictional claims in published maps and institutional affiliations. | 
© 2021 by the authors. Licensee MDPI, Basel, Switzerland. This article is an open access article distributed under the terms and conditions of the Creative Commons Attribution (CC BY) license (http://creativecommons.org/licenses/by/4.0/).
Share and Cite
Lu, Q.; Qian, W.; Ma, H.; Zhang, H.; Ying, W. Silver-Modified Nano Mordenite for Carbonylation of Dimethyl Ether. Catalysts 2021, 11, 197. https://doi.org/10.3390/catal11020197
Lu Q, Qian W, Ma H, Zhang H, Ying W. Silver-Modified Nano Mordenite for Carbonylation of Dimethyl Ether. Catalysts. 2021; 11(2):197. https://doi.org/10.3390/catal11020197
Chicago/Turabian StyleLu, Qijia, Weixin Qian, Hongfang Ma, Haitao Zhang, and Weiyong Ying. 2021. "Silver-Modified Nano Mordenite for Carbonylation of Dimethyl Ether" Catalysts 11, no. 2: 197. https://doi.org/10.3390/catal11020197
APA StyleLu, Q., Qian, W., Ma, H., Zhang, H., & Ying, W. (2021). Silver-Modified Nano Mordenite for Carbonylation of Dimethyl Ether. Catalysts, 11(2), 197. https://doi.org/10.3390/catal11020197
 
         
                                                

 
       