Abstract
The present work reports the effects of γ-, θ-phase of alumina on the hydrothermal stability and the properties of non- and strongly-interacting Rh species of the Rh/Al2O3 catalysts. Comparing to γ-Al2O3, θ-Al2O3 can not only reduce the amount of occluded Rh but also better stabilize Rh during hydrothermal aging treatment. When the aging time was prolonged to 70 h, all the non-interacting Rh was transformed into strongly-interacting Rh and occluded Rh. The XPS results indicated that non- and strongly-interacting Rh might exist in the form of Rh/Rh3+ and Rh4+, respectively. CO-NO reaction was chosen as a probe reaction to research more information about non- and strongly-interacting Rh. The two Rh species had similar apparent activation energy (Eapp) of 170 kJ/mol, which indicated that non- and strongly-interacting Rh follow the same reaction path. The non-interacting Rh was removed from aged samples by the acid-treated method, and obtained results showed that only 2.5% and 4.0% non-interacting Rh was maintained in aged Rh/γ-Al2O3 and Rh/θ-Al2O3.
1. Introduction
Three-way catalysts (TWCs) are widely used for the exhaust treatment in gasoline-engine powered vehicles since 1979 [1,2]. The modern commercial TWCs contain Pt, Pd, and Rh for removing carbon monoxide (CO), hydrocarbons (HCs), and nitrogen oxides (NOx). Rh is a crucial ingredient, aimed at eliminating NOx pollution [1,3]. The global consumption of Rh has increased rapidly in past decades and about 81% of Rh usages are in auto catalyst manufacturing in 2012 [4]. Based on the current knowledge, no material has been found to substitute for Rh component [1,5,6]; thus, the utilization efficiency of Rh should be improved greatly.
γ-Al2O3, with high surface area, is usually used as Rh-based catalyst support. However, Rh/γ-Al2O3 becomes deactivated after hydrothermal treatment at high temperature in an oxidizing atmosphere [6,7], while α-Al2O3 still shows a better ability to stabilize Rh until oxidizing treatment temperature over 900 °C [8,9,10]. The low surface area of α-Al2O3 limits the usage as catalyst supports, but some researchers [11,12] synthesized α-Al2O3 with a high surface area (>140 m2/g), which will allow α-Al2O3 to play a more important role in catalyst supports in the future. Ceria-zirconia solid solutions are a kind of material with excellent oxygen storage capacity (OSC), used in the exhaust gas treatment of gasoline vehicles, and also used as the support of Rh-based TWCs according to published information [13]. However, recent researches showed that increasing cerium content may induce a possible negative influence on Rh/CexZr1-xO2 [14]. Several researches also indicated that metal phosphate supports (such as ZrP2O7, AlPO4) show good performance in stabilizing Rh species [15,16,17,18].
Many researches about the mechanism of the deactivation of Rh/Al2O3 catalysts revealed that the strong interaction between Rh and γ-Al2O3 support should respond for the deactivation of Rh/γ-Al2O3 catalyst under an oxidizing environment at high temperature [1,7,8,9,10]. Ford researchers [19] deposited a layer of ZrO2 or TiO2 on the surface of γ-Al2O3 support to decrease the interaction between Rh and γ-Al2O3 support, and obtained results showed that T90 of NO conversion had decreased by at least 100 °C compared to aged Rh/γ-Al2O3. As we know, γ- and δ-Al2O3 showed strong interaction with Rh [7], and α-Al2O3 showed weak interaction with Rh [10]. θ-Al2O3 is a transition alumina phase between γ- and α-phase. The interaction between Rh and θ-Al2O3 should be weaker than that between Rh and γ-Al2O3. The specific surface area of θ-Al2O3 is much larger than that of α-Al2O3. Few researches about Rh supported on θ-Al2O3 have been carried out [8,20]. There is little information about strongly-interacting Rh reported in publications. Strongly-interacting Rh forms in an oxidizing atmosphere at high temperature, showing low activity in TWC reactions, and cannot be reduced by H2 under 500 °C. A deep grasp of the properties of strongly-interacting Rh may help in understanding the deactivation of Rh/Al2O3 catalyst and developing Rh-based catalyst with high activity.
Here, γ, θ-Al2O3 were chosen as Rh-based catalyst supports and the fresh catalysts were hydrothermal aging at 1050 °C in flowing air with 10% H2O for 10 h. The effects of γ, θ-Al2O3 phase on the hydrothermal stability of Rh/Al2O3 catalyst were investigated. Then, the non-interacting Rh was transformed into strongly-interacting Rh and occluded Rh by prolonging the aging time to 70 h, and the properties of non- and strongly-interacting Rh in fresh and deactivated catalysts were explored. The amount of non-interacting Rh in aged samples was also determined.
2. Results and Discussions
2.1. The Effect of γ, θ-Phase Alumina on the Hydrothermal Stability of Rh/γ, θ-Al2O3 Catalysts
The catalytic performance of the Rh/γ, θ-Al2O3 samples were tested, as shown in Figure 1. For fresh catalysts, it can be observed that Rh/γ-Al2O3 shows a better activity for CO, C3H6, and NO conversions over 250 °C. It is worth noting that the fresh samples show superior deNOx performance [21].
Figure 1.
The profiles of (a) CO, (b) C3H6, (c) NO conversion, and (d) N2O formation over fresh and aged Rh/γ, θ-Al2O3 catalysts during three-way catalyst (TWC) reactions. Feed stream: 1% CO, 1000 ppm HCs (C3H6:C3H8 = 2:1), 1000 ppm NO, 0.917% O2, 12% CO2, 3% H2O, and N2 balance. Space velocity: 6,000,000 cm3·gcat−1·h−1 for Rh/γ-Al2O3.
Apparent catalyst deactivation was observed over Rh/γ, θ-Al2O3 catalysts upon hydrothermal aging at 1050 °C for 10 h. In Figure 1, the light-off curves of CO, C3H6, and NO shift to higher temperatures. Noteworthy, compared to aged Rh/γ-Al2O3, aged Rh/θ-Al2O3 still shows superior CO and C3H6 oxidation activity. In addition, aged Rh/θ-Al2O3 also shows a better NO conversion at low temperature, which may be due to more non-interacting Rh maintained in aged Rh/θ-Al2O3 catalyst. The NO conversion of aged samples shows different trends with that of fresh samples. After hydrothermal aging at 1050 °C for 10 h, the Rh dispersion of Rh/γ, θ-Al2O3 dramatically decreased. Only few active Rh sites were maintained to adsorb and dissociate NO. Many reductants were oxidized before reacting with NO; therefore, the NO conversion of aged samples decreased at high temperatures.
The phase structures of all samples were characterized by XRD. In Figure 2, the XRD patterns of fresh catalysts show a good γ- and θ-phase, respectively. After hydrothermal aging, γ-Al2O3 was transformed to θ-Al2O3 (majority) and α-Al2O3 (minority). θ-Al2O3 was still mainly kept θ-phase with several weak peaks of α-Al2O3 arising at 2θ = 25.7°, 43.4°, and 57.5° [22]. No diffraction peaks of Rh species were observed in all catalysts, maybe due to the low Rh loading or high Rh dispersion on the surface of supports [15]. The collapse of pores appeared in the aging process as shown in Figure S1. The most probable pore size increases from 16 nm to 28 nm for Rh/γ-Al2O3, and from 28 nm to 37 nm for Rh/θ-Al2O3, respectively, but the smaller pore size is still preserved. The specific surface area of Rh/γ-Al2O3 shows a large decrease, but the BET surface area of Rh/θ-Al2O3 only decreases from 83 to 72 m2/g (Table S1). Overall, θ-Al2O3 shows better hydrothermal stability.
Figure 2.
XRD patterns over fresh and aged Rh/γ, θ-Al2O3 catalysts.
The collapse of alumina pores also caused a large amount of Rh to be occluded. The amount of occluded Rh was determined by H2 temperature-programmed reduction method according to the research of McCabe and Hwang [8,23]. Samples were treated with H2 at 850 °C to reverse the strong interaction between Rh and support, followed by another oxidizing pretreatment and TPR experiment. Other samples hydrothermally aged at different temperatures (750 °C, 850 °C, and 950 °C) were prepared for comparing the changes of the amount of occluded Rh during the aging process in Rh/γ, θ-Al2O3 catalysts. The occluded Rh covered with alumina layer cannot contact with H2 [24], and it will not consume H2. Compared to fresh sample, the reduced H2 consumption results from the occluded Rh species.
In Figure 3a, the H/Rh ratios of fresh samples are nearly three, which shows that no Rh species was occluded, assuming the reduction of Rh3+ to Rh. Raising hydrothermal aging temperature, the amount of occluded Rh increased for both Rh/γ, θ-Al2O3 samples. In addition, the amount of occluded Rh in aged Rh/θ-Al2O3 was always lower than that of aged Rh/γ-Al2O3. Specifically, 62.5% Rh was occluded by alumina layer in Rh/γ-Al2O3, but it was just 45.9% for Rh/θ-Al2O3 after hydrothermal aging at 1050 °C. The pre-sintering treatment of support would reduce the amount of occluded Rh during hydrothermal aging, as reported by McCabe [8]. The lower amount of occluded Rh is beneficial to maintain a higher catalytic activity for aged Rh/θ-Al2O3.
Figure 3.
(a) The H2 consumption of Rh/γ, θ-Al2O3 catalysts after H2 treated at 850 °C for 60 min, next oxidizing at 500 °C, and then H2 reduced by temperature-program reduction, and (b) the Rh dispersion of different Rh/γ, θ-Al2O3 catalysts. Aged-x: x represents the hydrothermal aging temperature. For example, aged-750 represents the fresh sample that was hydrothermally aged at 750 °C for 10 h.
The Rh dispersions of all samples were obtained by CO-chemisorption, as shown in Figure 3b. The fresh samples show a similar Rh dispersion. After hydrothermal aging at 750 °C, the Rh dispersions experienced a rapid decline. The Rh dispersion of Rh/γ-Al2O3 which decreased from 46.3% to 6.7% may be caused by the strong interaction between Rh and γ-Al2O3. Yao et al. [10] reported the dispersed Rh oxide can enter the bulk of γ-Al2O3 support when temperature is over 600 °C, which leads to small surface area of non-interacting Rh maintained in support surface. At that time, only ~20% Rh was occluded. Most of Rh had already become strongly-interacting before occluded by the collapsed alumina layers. Thus, the occluded Rh has little contribution on the poor activity of aged catalysts. Interestingly, θ-Al2O3 showed a better ability to stabilize Rh during hydrothermal aging process. The Rh dispersion of Rh/θ-Al2O3 is nearly two times that of Rh/γ-Al2O3 after hydrothermal aging at 1050 °C, which is consistent with the activity test results (Figure 1).
As we know, Rh and γ-Al2O3 can form strong interaction upon heat treatment temperature above 600 °C in air but the temperature increased to ~900 °C for α-Al2O3 [9,10]. Thus, the interaction between Rh and Al2O3 is getting weaker as alumina phase changes from γ- to θ-phase, and then to α-phase. In a word, the superior TWCs activity of Rh/θ-Al2O3 is mainly decided by the weaker interaction between Rh and θ-Al2O3.
2.2. The Researches of Non- and Strongly-Interacting Rh
To obtain more information about strongly-interacting Rh, fresh samples were hydrothermally aged at 1050 °C for 70 h to eliminate all non-interacting Rh, called deactivated samples. The activity test results of deactivated samples are shown in Figure 4. Both deactivated samples show a similar activity with each other. Except for strongly-interacting Rh, no non-interacting Rh can be maintained on the surface of supports after a long period of severe hydrothermal aging. Strongly-interacting Rh still has the capacity to catalyze CO and C3H6 oxidation and NO reduction, but the activity of strongly-interacting Rh is much lower than that of non-interacting Rh.
Figure 4.
The profiles of (a) CO, (b) C3H6, (c) NO conversion, and (d) N2O formation over deactivated Rh/γ, θ-Al2O3 catalysts during TWC reactions. Feed stream: 1% CO, 1000 ppm HCs (C3H6:C3H8 = 2:1), 1000 ppm NO, 0.917% O2, 12% CO2, 3% H2O, and N2 balance. Space velocity: 6,000,000 cm3·gcat−1·h−1 for Rh/γ-Al2O3.
The fresh and deactivated samples contain a large amount of non- and strongly-interacting Rh on the surface of supports, respectively. The XPS analysis was performed to determine the chemical state of Rh in fresh and deactivated samples. As shown in Figure 5, the XPS spectra were fitted according to the work of Zimowska [25]. Three Rh species are detected on the surface of fresh samples.
Figure 5.
XPS spectra (Rh 3d) of fresh and deactivated Rh/γ, θ-Al2O3.
The Rh 3d5/2 peaks at 307.4 eV, 309.3–309.4, and 310.4–310.5 eV are assigned to nonionic Rh0, Rh3+, and Rh4+, respectively [18,25,26]. Additional Rh 3d XPS peak information is summarized in Table S2. Rh3+ is the main Rh species in fresh samples, which accounts for 56.3% and 50.0% for fresh Rh/γ-Al2O3 and Rh/θ-Al2O3, respectively. As for deactivated samples, Rh4+ is the only detected Rh species at 310.3–310.4 eV. Weng-Sieh et al. [27] suggested that some Rh4+ may exist in the form of RhO2. However, RhO2 cannot be present in the deactivated samples because of the decomposition of RhO2 at 680 °C under ordinary atmospheric condition [28]. Burch et al. [29] observed that Rh can incorporate into alumina structure at ~500 °C. In addition, Zimowska et al. [25] thought that the Rh4+ species was formed by the thermal evolution of Rh-O-Al xerogel; thus, we believed that Rh4+ was formed when Rh3+ inserted into the structure of Al2O3.
According to the XPS spectra, Rh4+ is the only detected Rh species in deactivated samples. Thus, the strongly-interacting Rh may exist in the form of Rh4+. The surface of fresh samples contains Rh0 (minority), Rh3+ (majority), and Rh4+ species, and fresh samples contained a large amount of non-interacting Rh. Further, Rh0 and Rh3+ are easier redox reagents compared with the Rh4+ species [30]. Therefore, the non-interacting Rh may exist in the form of Rh/Rh3+.
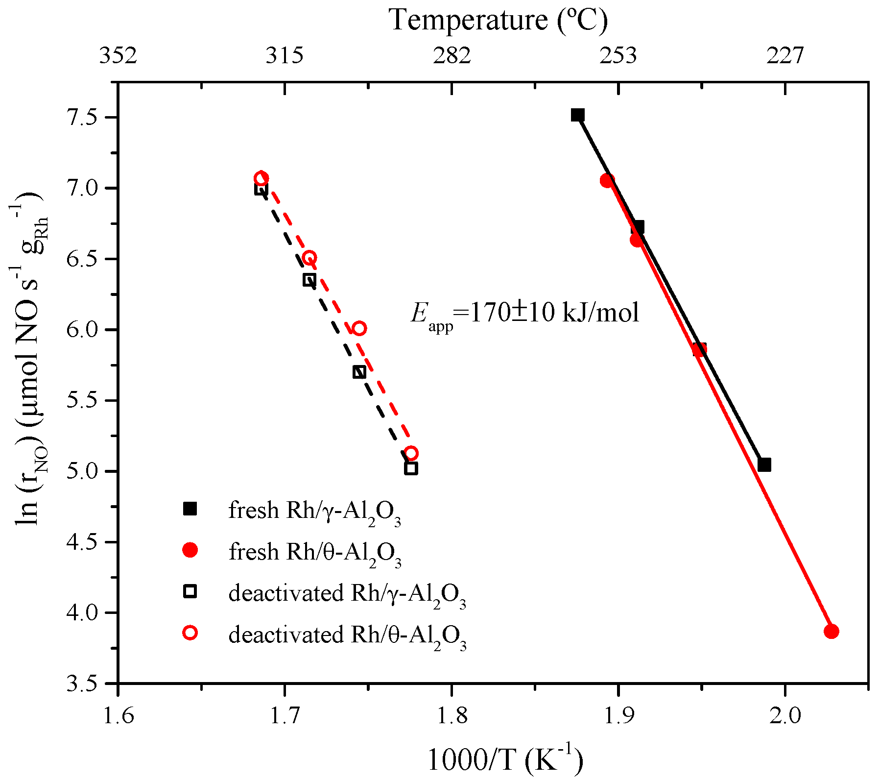
CO-NO reaction was selected as a probe reaction to research more information about non- and strongly-interacting Rh species. Kinetics experiments were conducted to research the true active Rh sites for CO-NO reaction, as shown in Figure 6. Interestingly, similar apparent activation energy (Eapp) of 170 kJ/mol was observed in all the investigated catalysts, which is consistent with a previous report [31]. The similar Eapp indicated that the non- and strongly-interacting Rh have the same reaction path.
Figure 6.
Arrhenius plots of CO-NO reaction over fresh and deactivated Rh/γ, θ-Al2O3 catalysts. Feed stream: 1000 ppm CO, 1000 ppm NO, 3% H2O, and N2 balance. Space velocity: 7,800,000 cm3·gcat−1·h−1 for Rh/γ-Al2O3.
To further research the properties of active Rh sites, reaction order tests were conducted, as shown in Figure 7. The rate of NO reduction was determined under various partial concentrations of CO (Figure 7a) and NO (Figure 7b), keeping those of NO and CO concentration constant, respectively. The reaction temperature was set to 240 °C for fresh samples and 290 °C for deactivated samples. The fresh and deactivated catalysts show the same reaction orders: 0.35 for CO and −0.60 for NO, respectively. The reaction could proceed through adsorbed CO and NO with the Langmuir–Hinshelwood mechanism. Moreover, the orders for NO are negative on all catalysts; an increase in NO concentration inhibits the adsorption of CO onto Rh active site. Therefore, we can conclude that the non- and strongly-interacting Rh in Rh/γ, θ-Al2O3 catalysts have the same reaction path.
Figure 7.
The (a) CO and (b) NO reaction orders of fresh and deactivated Rh/γ, θ-Al2O3 catalysts.
2.3. The Amount of Non-Interacting Rh in Aged Samples
Determining the amount of non-interacting Rh contained in aged samples is an interesting and challenging work. McCabe et al. [8] ascertained the amount of non-interacting Rh by H2-TPR method in Rh/δ, α-Al2O3 after different treatment, but the obtained figure has a large measurement error. As we know, the amount of non-interacting Rh is small for aged samples and then the H2 consumption peak is extremely weak. Leaching is a good method to remove nanoparticles from catalyst supports [32,33,34]. Luo et al. [35] removed the finely dispersed CuO species from the CuO-CeO2 catalysts by nitric acid and found the activity declined dramatically after being acid-treated. The non-interacting Rh has little interaction with the alumina support, which may be removed easily from the catalyst support.
Here, we treated aged samples with HCl-KBr solution to remove non-interacting Rh from the supports; 2.5% and 4.0% Rh were removed by inductively coupled plasma (ICP) test from aged Rh/γ-Al2O3 and aged Rh/θ-Al2O3, respectively. In addition, the catalytic activity for CO, C3H6, and NO conversions of aged samples after being acid-treated had a significant decline, especially at low temperature, as shown in Figure 8. Compared to strongly-interacting Rh, non-interacting Rh has higher catalytic activity of NO reduction. The activity of acid-treated catalysts is close to that of deactivated catalysts (Figure S2). Thus, non-interacting Rh was indeed removed from catalyst support, and only 2.5% and 4.0% non-interacting Rh were maintained in aged Rh/γ-Al2O3 and Rh/θ-Al2O3 catalysts.
Figure 8.
The profiles of (a) CO, (b) C3H6, (c) NO conversion, and (d) N2O formation over aged Rh/γ, θ-Al2O3 acid-treated catalysts during TWC reactions. The activity of aged Rh/γ, θ-Al2O3 is also drawn as a reference. Feed stream: 1% CO, 1000 ppm HCs (C3H6:C3H8 = 2:1), 1000 ppm NO, 0.917% O2, 12% CO2, 3% H2O, and N2 balance. Space velocity: 6,000,000 cm3·gcat−1·h−1 for Rh/γ-Al2O3.
In Figure 1c and Figure 8c, only fresh samples reached ~20% NO conversion at 250 °C, while the NO conversion of other samples were neglected. The non-interacting Rh should be responsible for the activity of NO reduction at low temperatures. The hydrothermal aging treatment turns most of the non-interacting Rh into strongly-interacting Rh and occluded Rh. However, at high temperatures, an interesting phenomenon occurs in which the fresh and aged Rh/γ, θ-Al2O3 samples show a close NO conversion at 325–400 °C as the latter samples contain trace non-interacting Rh. When 2.5% Rh was removed from the aged Rh/γ-Al2O3, the NO conversion decreased from 88.2% to 48.7%. According to the activity of these samples, the non-interacting Rh in aged samples must get a higher turnover frequency (TOF) of NO reduction. The reaction rates of fresh samples and aged samples hydrothermally aged at different temperatures were measured at 350 °C, as shown in Figure 9. The TOF is 3.48 s−1 at 350 °C for fresh Rh/γ-Al2O3 catalyst. After hydrothermal aging treatment, the TOF indeed increased significantly. In total, the TOF of NO reduction of different aged samples was four times larger than that of fresh sample at least for Rh/γ-Al2O3. The phenomenon of TOF increasing after hydrothermal aging treatment also appeared in Rh/θ-Al2O3 catalysts, as shown in Figure 9b. Thus, the state of non-interacting Rh must have a change during hydrothermal aging treatment.
Figure 9.
The NO conversion rate of fresh and aged catalysts hydrothermally aged at different temperatures under TWC reaction condition at 350 °C: (a) Rh/γ-Al2O3, and (b) Rh/θ-Al2O3. The TOF was calculated on the amount of surface Rh atoms. Feed stream: 1% CO, 1000 ppm HCs (C3H6:C3H8 = 2:1), 1000 ppm NO, 0.917% O2, 12% CO2, 3% H2O, and N2 balance. The flow rate is 3500 mL/min, and the mass of catalysts vary from 3 mg to 18 mg. The NO conversion was controlled under 20%. Aged-x: x represents the hydrothermal aging temperature. For example, aged-750 represents the fresh sample was hydrothermally aged at 750 °C for 10 h.
Rh dispersed well in fresh catalysts according to the results of CO-chemisorption. The TOF of NO reduction of fresh Rh/θ-Al2O3 is nearly two times larger than that of fresh Rh/γ-Al2O3 at 350 °C, and the two fresh samples have closed Rh dispersion. Therefore, the TOF of NO reduction at high temperature is related to catalyst supports which could lead to the different surrounding of non-interacting Rh. Fernández et al. [36] reported that subnanometric Pt clusters exhibit better catalytic performance than single Pt atoms for CO-NO reaction. The subnanometric Rh cluster may generate during the aggregation of Rh atoms at high temperature, and is possibly responsible for the higher TOF of NO reduction at high reaction temperature.
3. Materials and Methods
3.1. Catalyst Preparation
The γ-, θ-Al2O3 were obtained by calcining commercial Al2O3 (Sasol) at 400 °C and 1100 °C for 4 h in air, respectively. X-ray diffraction examination of these samples showed a good γ-, θ-Al2O3 phase (Figure S3). Rh loading was 0.6 μmol Rh atoms/m2 (BET). The surface areas of γ, θ-Al2O3 supports were 142 m2/g and 83 m2/g, respectively. The nominal Rh loading of Rh/γ-Al2O3 and Rh/θ-Al2O3 was 0.87 wt. % and 0.51 wt. %, respectively. Supported Rh/γ, θ-Al2O3 catalysts were prepared by the incipient wetness impregnation method, followed by air-drying at 100 °C and calcination at 550 °C for 2 h. The obtained samples were called fresh samples. The fresh catalysts were hydrothermally aged at 1050 °C in flowing air with 10% H2O for 10 h and 70 h, called aged and deactivated samples, respectively. During the hydrothermal aging process, the amount of Rh could be occluded by Al2O3 layers. In order to compare changes in the amount of occluded Rh, the fresh samples were hydrothermally aged at 750 °C, 850 °C, and 950 °C for 10 h, and the obtained samples denoted as “aged-x.” The x represents the hydrothermal aging temperature. For example, aged-750 represents the fresh sample that was hydrothermally aged at 750 °C for 10 h.
To remove the non-interacting Rh from aged samples, 0.5 g aged catalyst and 0.48 g KBr were immersed in 25 mL 12 M HCl solution at 100 °C for 2 h and then mixed with 100 mL deionized water before filtering. The first filtrate was collected for ICP test, and the residue was washed with 80 °C H2O to remove Cl− until there was no white precipitate formation when the filtrate was mixed with AgNO3 solution. The residue was dried at 100 °C overnight and calcined at 250 °C for 2 h. Only 2.5% and 4.0% Rh were removed from aged Rh/γ-Al2O3 and Rh/θ-Al2O3, respectively, and the dissolved amounts of Al2O3 support were both less than 6.6 wt. %.
3.2. Catalytic Activity Tests
The steady-state catalytic performance tests and kinetics measurements were performed in a packed-bed flow microreactor. The steady-state reaction feed contained 1% CO, 1000 ppm HCs (C3H6:C3H8 = 2:1), 1000 ppm NO, 0.917% O2, 12% CO2, 3% H2O, and N2 balance. The space velocity was 6,000,000 cm3·gcat−1·h−1 for Rh/γ-Al2O3. Typically, each test sample contained 0.087 mg Rh, and the weight of the mixture of catalyst and diluted SiO2 was 250 mg. Prior to the activity test, the catalyst was treated with 5% H2/N2 at 350 °C for 30 min. The inlet and outlet gas compositions were analyzed with an MKS MultiGas 2030 FT-IR. CO-NO reaction kinetics measurements reaction feed contained 1000 ppm CO, 1000 ppm NO, 3% H2O, and N2 balance. The space velocity was 7,800,000 cm3·gcat−1·h−1 for Rh/γ-Al2O3. Prior to the kinetics measurements test, the catalyst was treated with reaction feed at 500 °C for 1 h. The reaction orders were measured at 240 °C for fresh samples and 290 °C for deactivated samples to keep the conversions of NO below 20%. The CO concentration was varied between 1000 and 4000 ppm, and the NO concentration was varied between 1000 and 4000, respectively. The NO reaction rate of Rh/γ, θ-Al2O3 catalysts were determined at 350 °C in TWC reaction feed stream. The flow rate was 3500 mL/min, and the mass of catalysts varied from 3 mg to 18 mg. The NO conversion was controlled under 20%. The TOF of NO reduction was calculated on the amount of surface Rh atoms.
3.3. Characterizations
The specific surface area and pore structure of fresh aged samples were calculated from N2 adsorption and desorption isotherms at liquid nitrogen temperature with a Micromeritics ASAP 2460 instrument. Prior to measurement, the catalysts were degassed at 300 °C for 5 h under vacuum. X-ray diffraction (XRD) patterns of catalysts were collected on a Bruker D8 Focus. The samples were scanned between 15° and 75° with a step size of 0.02° and a scan speed of 8°/min. The amount of dissolved Al and removed Rh was measured by inductively coupled plasma atomic emission spectroscopy (ICP-AES).
The Rh dispersions of Rh/γ, θ-Al2O3 catalysts were measured by CO-chemisorption in a Micromeritics AutoChem II 2920. Catalysts (50 mg for Rh/γ-Al2O3 and 85 mg for Rh/θ-Al2O3) were pretreated at 350 °C for 60 min in 5% H2/Ar stream. Then the catalyst was cooled down to 45 °C in pure He, and stabilized under that condition until the baseline was stable. Next, the 5% CO/He pulses were sequentially injected into the sample tube until the peak area became constant. The Rh dispersion of fresh and aged samples was obtained by assuming one metal Rh atom adsorbed two CO molecules [14]. H2 treatment at high temperature can weaken the interaction between Rh and Al2O3 in aged samples. Nearly all strongly-interacting Rh species could be restored to the surface of alumina after H2 treatment at high temperature according to Wong’s work [7]. Thus, the amount of occluded Rh was determined by H2-TPR method on the same equipment. Catalysts (50 mg for Rh/γ-Al2O3 and 85 mg for Rh/θ-Al2O3) were first treated with H2 at 850 °C for 60 min, and next oxidized at 500 °C for 60 min. After cooling to 30 °C, the catalysts were heated to 700 °C with a heating rate of 10 °C/min in 10% H2/Ar at a flow of 30 mL/min.
The X-ray photoelectron spectroscopy (XPS) experiments were performed with an ESCALAB Xi+ spectroscopy equipped with an Al Kα radiation. The calibrate C 1s line at 284.8 eV was used as the reference to calibrate the binding energies determined.
4. Conclusions
In this work, the effects of γ, θ-alumina phase on the stability of Rh/Al2O3 catalysts were investigated. The aged Rh/θ-Al2O3 catalyst showed higher NO reduction activity at low temperature owing to the weaker interaction of θ-phase with Rh. The pre-sintering treatment reduces the amount of occluded Rh in aged samples. Most of Rh had become strongly-interacting before being occluded by Al2O3 layer after hydrothermally aging at 750 °C, so the occluded Rh have little contribution on the decreased activity. The properties of non- and strongly-interacting Rh were also researched by XPS and CO-NO probe reaction. The non- and strongly-interacting Rh may exist in the form of Rh/Rh3+ and Rh4+, respectively. Kinetics measurements results showed that the non- and strongly-interacting Rh follow the same reaction path. The acid-treated method was used to remove non-interacting Rh from aged Rh/γ, θ-Al2O3. Obtained results showed that only 2.5% and 4.0% non-interacting Rh were maintained in aged Rh/γ-Al2O3 and Rh/θ-Al2O3, respectively. The hydrothermal aging treatment enhances the NO TOF at 350 °C probably due to the different surroundings of non-interacting Rh and the formation of the Rh clusters.
Supplementary Materials
The following are available online at https://www.mdpi.com/2073-4344/11/1/99/s1, Figure S1: The N2 physical adsorption and desorption analysis results for fresh and aged catalysts, Table S1: The physical properties of fresh and aged catalysts, Table S2: Quantification of Rh(3d5/2) signals of Rh/γ, θ-Al2O3 catalysts, Figure S2: The profiles of (a) CO, (b) C3H6, (c) NO conversion, and (d) N2O formation over deactivated and aged Rh/γ, θ-Al2O3 after acid-treated (HCl-KBr) under TWC reaction condition, Figure S3: XRD patterns of catalyst supports.
Author Contributions
Conceptualization, G.C.; methodology, M.S., J.W. (Jun Wang), and J.W. (Jianqiang Wang); investigation, G.C., and M.S.; resources, G.C.; writing—original draft preparation, G.C.; writing—review and editing, G.C., J.W. (Jianqiang Wang), G.S., Y.W., and W.Z.; visualization, G.C.; supervision, M.S.; resources, M.S.; project administration, M.S.; funding acquisition, M.S. All authors have read and agreed to the published version of the manuscript.
Funding
This research was funded by the National Key R&D Program (2017YFC0211003), the Foundation for Innovative Research Groups of the National Natural Science Foundation of China (51921004), and the Major Science and Technology Programs of Yunnan (202002AB080001-1).
Institutional Review Board Statement
Not applicable.
Informed Consent Statement
Not applicable.
Data Availability Statement
The data presented in this study are available on request from the corresponding author.
Acknowledgments
The authors are grateful to the Wuxi Weifu Lida Catalytic Converter Co for determining the concentration of Rh and Al in filtered solution by ICP analysis (USA Agilent 5100 ICP-OES, Santa Clara, CA, USA). The authors sincerely appreciate Wei Li and Ming Yang from General Motors Research and Development for the systematic guidance. The authors would also like to thank the assistance of Tianming Huang.
Conflicts of Interest
The authors declare no conflict of interest.
References
- Shelef, M.; Graham, G.W. Why rhodium in automotive three-way catalysts? Catal. Rev. 1994, 36, 433–457. [Google Scholar] [CrossRef]
- Samed, A.J.; Yamamoto, Y.; Hidaka, M.; Hinokuma, S.; Machida, M. An attempt to stabilize supported Ru catalysts against oxidative volatilization. Catal. Commun. 2017, 91, 6–9. [Google Scholar] [CrossRef]
- Asokan, C.; Yang, Y.; Dang, A.; Getsoian, A.B.; Christopher, P. Low-temperature ammonia production during NO reduction by CO is due to atomically dispersed rhodium active sites. ACS Catal. 2020, 10, 5217–5222. [Google Scholar] [CrossRef]
- Loferski, P.J. Minerals Yearbook: Platinum-Group Metals. US Geological Survey 2012. Available online: https://s3-us-west-2.amazonaws.com/prd-wret/assets/palladium/production/mineral-pubs/platinum/myb1-2012-plati.pdf (accessed on 12 January 2021).
- Farrauto, R.J.; Deeba, M.; Alerasool, S. Gasoline automobile catalysis and historical journal to cleaner air. Nat. Catal. 2019, 2, 603–613. [Google Scholar] [CrossRef]
- Burch, R.; Loader, P.K. An investigation of the use of zirconia as a support for rhodium catalysts. Appl. Catal. A Gen. 1996, 143, 317–335. [Google Scholar] [CrossRef]
- Wong, C.; McCabe, R.W. Effects of high-temperature oxidation and reduction on the structure and activity of Rh/Al2O3 and Rh/SiO2 catalysts. J. Catal. 1989, 119, 47–64. [Google Scholar] [CrossRef]
- McCabe, R.W.; Usmen, R.K.; Ober, K.; Gandhi, H.S. The effect of alumina phase structure on the dispersion of rhodium/alumina catalysts. J. Catal. 1995, 151, 385–393. [Google Scholar] [CrossRef]
- Yao, H.C.; Japar, S.; Shelef, M. Surface interactions in the system Rh/Al2O3. J. Catal. 1977, 50, 407–418. [Google Scholar] [CrossRef]
- Yao, H.C.; Stepien, H.K.; Gandhi, H.S. Metal-support interaction in automotive exhaust catalysts: Rh-washcoat interaction. J. Catal. 1980, 61, 547–550. [Google Scholar] [CrossRef]
- Pu, S.; Li, L.; Ma, J.; Lu, F.; Li, J. Disperse fine equiaxed alpha alumina nanoparticles with narrow size distribution synthesised by selective corrosion and coagulation separation. Sci. Rep. 2015, 5, 11575. [Google Scholar] [CrossRef]
- Amrute, A.P.; Łodziana, Z.; Schreyer, H.; Weidenthaler, C.; Schüth, F. High-surface-area corundum by mechanochemically induced phase transformation of boehmite. Science 2019, 366, 485–489. [Google Scholar] [CrossRef]
- Daturi, M.; Binet, C.; Lavalley, J.C.; Galtayries, A.; Sporken, R. Surface investigation on CexZr1-xO2 compounds. Phys. Chem. Chem. Phys. 1999, 1, 5717–5724. [Google Scholar] [CrossRef]
- Huang, T.; Shen, M.; Cheng, G.; Wang, Y.; Wang, J.; Li, W.; Oh, S.H.; Qi, G.; Yang, M.; Wang, J. Possible negative influences of increasing content of cerium on activity and hydrothermal stability of Rh/ceria-zirconia three-way-catalysts. J. Rare Earths 2020. [Google Scholar] [CrossRef]
- Li, M.; Wu, X.; Gao, Y.; Liu, S.; Weng, D.; Ran, R. NO reduction by CO over Rh/Al2O3 and Rh/AlPO4 catalysts: Metal-support interaction and thermal aging. J. Colloid. Interface. Sci. 2013, 408, 157–163. [Google Scholar] [CrossRef] [PubMed]
- Nagao, Y.; Nakahara, Y.; Sato, T.; Iwakura, H.; Takeshita, S.; Minami, S.; Yoshida, H.; Machida, M. Rh/ZrP2O4 as an efficient automotive catalyst for NOx reduction under slightly lean conditions. ACS Catal. 2015, 5, 1986–1994. [Google Scholar] [CrossRef]
- Buwono, H.P.; Yamamoto, M.; Kakei, R.; Hinokuma, S.; Yoshida, H.; Machida, M. Redox dynamics of Rh supported on ZrP2O4 and ZrO2 analyzed by time-resolved in situ optical spectroscopy. J. Phys. Chem. C 2017, 121, 17982–17989. [Google Scholar] [CrossRef]
- Machida, M.; Murakami, K.; Hinokuma, S.; Uemura, K.; Ikeue, K.; Matsuda, M.; Chai, M.; Nakahara, Y.; Sato, T. AlPO4 as a support capable of minimizing threshold loading of Rh in automotive catalysts. Chem. Mater. 2009, 21, 1796–1798. [Google Scholar] [CrossRef]
- Getsoian, A.B.; Theis, J.R.; Paxton, W.A.; Lance, M.J.; Lambert, C.K. Remarkable improvement in low temperature performance of model three-way catalysts through solution atomic layer deposition. Nat. Catal. 2019, 2, 614–622. [Google Scholar] [CrossRef]
- Rogozhnikov, V.N.; Snytnikov, P.V.; Salanov, A.N.; Kulikov, A.V.; Ruban, N.V.; Potemkin, D.I.; Sobyanin, V.A.; Kharton, V.V. Rh/θ-Al2O3/FeCrAlloy wire mesh composite catalyst for partial oxidation of natural gas. Mater. Lett. 2019, 236, 316–319. [Google Scholar] [CrossRef]
- Heo, I.; Yoon, D.Y.; Cho, B.K.; Nam, I.S.; Choung, J.W.; Yoo, S. Activity and thermal stability of Rh-based catalytic system for an advanced modern TWC. Appl. Catal. B Environ. 2012, 121, 75–87. [Google Scholar] [CrossRef]
- Su, X.; Chen, S.; Zhou, Z. Synthesis and characterization of monodisperse porous α-Al2O3 nanoparticles. Appl. Surf. Sci. 2012, 258, 5712–5715. [Google Scholar] [CrossRef]
- Hwang, C.P.; Yeh, C.T.; Zhu, Q. Rhodium-oxide species formed on progressive oxidation of rhodium clusters dispersed on alumina. Catal. Today 1999, 51, 93–101. [Google Scholar] [CrossRef]
- Chen, J.G.; Colaianmi, M.L.; Chen, P.J.; Yates, J.T.; Fisher, G.B. Thermal behavior of a Rh/Al2O3 model catalyst: Disappearance of surface Rh upon heating. J. Phys. Chem. 1990, 94, 5059–5062. [Google Scholar] [CrossRef]
- Zimowska, M.; Wagner, J.B.; Dziedic, J.; Camra, J.; Borzęcka-Prokop, B.; Najbar, M. Some aspects of metal-support strong interactions in Rh/Al2O3 catalyst under oxidising and reducing conditions. Chem. Phys. Lett. 2006, 417, 137–142. [Google Scholar] [CrossRef]
- Zhao, B.; Ran, R.; Cao, Y.; Wu, X.; Weng, D.; Fan, J.; Wu, X. Insight into the effects of different ageing protocols on Rh/Al2O3 catalyst. Appl. Surf. Sci. 2014, 308, 230–236. [Google Scholar] [CrossRef]
- Weng-Sieh, Z.; Gronsky, R.; Bell, A.T. Microstructural evolution of γ-alumina-supported Rh upon aging in air. J. Catal. 1997, 170, 62–74. [Google Scholar] [CrossRef]
- Muller, O.; Roy, R. Formation and stability of the platinum and rhodium oxides at high oxygen pressures and the structures of Pt3O4, β-PtO2 and RhO2. J. Less-Common Met. 1968, 16, 129–146. [Google Scholar] [CrossRef]
- Burch, R.; Loader, P.K.; Cruise, N.A. An investigation of the deactivation of Rh/alumina catalysts under strong oxidising conditions. Appl. Catal. A Gen. 1996, 147, 375–394. [Google Scholar] [CrossRef]
- Cao, Y.; Ran, R.; Wu, X.; Zhao, B.; Weng, D. Improved activity and durability of Rh-based three-way catalyst under diverse aging atmospheres by ZrO2 support. J. Environ. Sci. 2017, 52, 197–203. [Google Scholar] [CrossRef]
- Granger, P.; Lecomte, J.J.; Dathy, C.; Leclercq, L.; Leclercq, G. Kinetics of CO+NO reaction over rhodium and platinum-rhodium on alumina. J. Catal. 1998, 175, 194–203. [Google Scholar] [CrossRef]
- Matsubu, J.C.; Yang, V.N.; Christopher, P. Isolated metal active site concentration and stability control catalytic CO2 reduction selectivity. J. Am. Chem. Soc. 2015, 137, 3076–3084. [Google Scholar] [CrossRef] [PubMed]
- Fu, Q.; Saltsburg, H.; Flytzani-Stephanopoulos, M. Active nonmetallic Au and Pt species on ceria-based water-gas shift catalysts. Science 2003, 301, 935–938. [Google Scholar] [CrossRef] [PubMed]
- Yang, M.; Li, S.; Wang, Y.; Herron, J.A.; Xu, Y.; Allard, L.F.; Lee, S.; Huang, J.; Mavrikakis, M.; Flytzani-Stephanopoulos, M. Catalytically active Au-O(OH)x-species stabilized by alkali ions on zeolites and mesoporous oxides. Science 2014, 346, 1498–1501. [Google Scholar] [CrossRef]
- Luo, M.F.; Song, Y.P.; Lu, J.Q.; Wang, X.Y.; Pu, Z.Y. Identification of CuO species in high surface area CuO-CeO2 catalysts and their catalytic activities for CO oxidation. J. Phys. Chem. C 2007, 111, 12686–12692. [Google Scholar] [CrossRef]
- Fernández, E.; Liu, L.; Boronat, M.; Arenal, R.; Concepcion, P.; Corma, A. Low-temperature catalytic NO reduction with CO by subnanometric Pt clusters. ACS Catal. 2019, 9, 11530–11541. [Google Scholar] [CrossRef] [PubMed]
Publisher’s Note: MDPI stays neutral with regard to jurisdictional claims in published maps and institutional affiliations. |
© 2021 by the authors. Licensee MDPI, Basel, Switzerland. This article is an open access article distributed under the terms and conditions of the Creative Commons Attribution (CC BY) license (http://creativecommons.org/licenses/by/4.0/).








