Enhancement of Photocatalytic Oxidation of Glucose to Value-Added Chemicals on TiO2 Photocatalysts by A Zeolite (Type Y) Support and Metal Loading
Abstract
1. Introduction
2. Results and Discussion
2.1. Effect of Ratio of TiO2 to ZeY
2.1.1. Characterizations
2.1.2. Photocatalytic Glucose Conversions
2.2. Effect of Ratio of SiO2:Al2O3 in ZeY
2.3. Effect of Metal (Ag, Cu, and Bimetallic Ag-Cu) Loading on TiO2 (40%)/ZeY
2.3.1. Characterizations
2.3.2. Photocatalytic Conversion of Glucose
3. Materials and Methods
3.1. Photocatalyst Preparation
3.1.1. TiO2/ZeY Photocatalyst
3.1.2. Metal-TiO2/ZeY Photocatalyst
3.2. Photocatalyst Characterizations
3.3. Photocatalytic Conversion
4. Conclusions
Supplementary Materials
Author Contributions
Funding
Acknowledgments
Conflicts of Interest
References
- Fisk, C.A.; Morgan, T.; Ji, Y.; Crocker, M.; Crofcheck, C.; Lewis, S.A. Bio-oil upgrading over platinum catalysts using in situ generated hydrogen. Appl. Catal. A 2009, 358, 150–156. [Google Scholar] [CrossRef]
- Colmenares, J.C.; Magdziarz, A.; Bielejewska, A. High-value chemicals obtained from selective photo-oxidation of glucose in the presence of nanostructured titanium photocatalysts. Bioresour. Technol. 2011, 102, 11254–11257. [Google Scholar] [CrossRef] [PubMed]
- Ghosh, D.; Dasgupta, D.; Agrawal, D.; Kaul, S.; Adhikari, D.K.; Kurmi, A.K.; Negi, M.S. Fuels and chemicals from lignocellulosic biomass: An integrated biorefinery approach. Energy Fuels 2015, 29, 3149–3157. [Google Scholar] [CrossRef]
- Luque, R.; de la Osa, A.R.; Campelo, J.M.; Romero, A.A.; Valverde, J.L.; Sanchez, P. Design and development of catalysts for Biomass-To-Liquid-Fischer–Tropsch (BTL-FT) processes for biofuels production. Energy Environ. Sci. 2012, 5, 5186–5202. [Google Scholar] [CrossRef]
- Nakata, K.; Fujishima, A. TiO2 photocatalysis: Design and applications. J. Photochem. Photobiol. C 2012, 13, 169–189. [Google Scholar] [CrossRef]
- Chong, M.N.; Jin, B.; Chow, C.W.; Saint, C. Recent developments in photocatalytic water treatment technology: A review. Water Res. 2010, 44, 2997–3027. [Google Scholar] [CrossRef] [PubMed]
- Gomathisankar, P.; Noda, T.; Katsumata, H.; Suzuki, T.; Kaneco, S. Enhanced hydrogen production from aqueous methanol solution using TiO2/Cu as photocatalysts. Front. Chem. Sci. Eng. 2014, 8, 197–202. [Google Scholar] [CrossRef]
- Cheng, G.; Akhtar, M.S.; Yang, O.B.; Stadler, F.J. Structure modification of anatase TiO2 nanomaterials-based photoanodes for efficient dye-sensitized solar cells. Electrochim. Acta 2013, 113, 527–535. [Google Scholar] [CrossRef]
- Schneider, J.; Matsuoka, M.; Takeuchi, M.; Zhang, J.; Horiuchi, Y.; Anpo, M.; Bahnemann, D.W. Understanding TiO2 photocatalysis: Mechanisms and materials. Chem. Rev. 2014, 114, 9919–9986. [Google Scholar] [CrossRef]
- Lafjah, M.; Djafri, F.; Bengueddach, A.; Keller, N.; Keller, V. Beta zeolite supported sol–gel TiO2 materials for gas phase photocatalytic applications. J. Hazard. Mater. 2011, 186, 1218–1225. [Google Scholar] [CrossRef]
- Resende, S.F.; Nunes, E.H.M.; Houmard, M.; Vasconcelos, W.L. Simple sol–gel process to obtain silica-coated anatase particles with enhanced TiO2-SiO2 interfacial area. J. Colloid Interface Sci. 2014, 433, 211–217. [Google Scholar] [CrossRef] [PubMed]
- Zhang, G.; Song, A.; Duan, Y.; Zheng, S. Enhanced photocatalytic activity of TiO2/zeolite composite for abatement of pollutants. Microporous Mesoporous Mater. 2018, 255, 61–68. [Google Scholar] [CrossRef]
- Kovalevskiy, N.S.; Lyulyukin, M.N.; Selishchev, D.S.; Kozlov, D.V. Analysis of air photocatalytic purification using a total hazard index: Effect of the composite TiO2/zeolite photocatalyst. J. Hazard. Mater. 2018, 358, 302–309. [Google Scholar] [CrossRef] [PubMed]
- Colmenares, J.C.; Magdziarz, A. Room temperature versatile conversion of biomass-derived compounds by means of supported TiO2 photocatalysts. J. Mol. Catal. A Chem. 2013, 366, 156–162. [Google Scholar] [CrossRef]
- Rengaraj, S.; Li, X.Z. Enhanced photocatalytic activity of TiO2 by doping with Ag for degradation of 2,4,6-trichlorophenol in aqueous suspension. J. Mol. Catal. A Chem. 2006, 243, 60–67. [Google Scholar] [CrossRef]
- Payormhorm, J.; Chuangchote, S.; Laosiripojana, N. CTAB-assisted sol-microwave method for fast synthesis of mesoporous TiO2 photocatalysts for photocatalytic conversion of glucose to value-added sugars. Mater. Res. Bull. 2017, 95, 546–555. [Google Scholar] [CrossRef]
- Wang, C.C.; Lee, C.K.; Lyu, M.D.; Juang, L.C. Photocatalytic degradation of CI Basic Violet 10 using TiO2 catalysts supported by Y zeolite: An investigation of the effects of operational parameters. Dyes Pigm. 2008, 76, 817–824. [Google Scholar] [CrossRef]
- Al-Harbi, L.M.; Kosa, S.A.; Maksod, I.H.; Hegazy, E.Z. The photocatalytic activity of TiO2-Zeolite composite for degradation of dye using synthetic UV and Jeddah sunlight. J. Nanomater. 2015, 16, 46. [Google Scholar] [CrossRef]
- Peter, A.; Mihaly-Cozmuta, L.; Mihaly-Cozmuta, A.; Nicula, C.; Barbu Tudoran, L.; Vulpoi, A.; Baia, L. Photocatalytic efficiency of zeolite-based TiO2 composites for reduction of Cu (II): Kinetic models. Int. J. Appl. Ceram. Technol. 2014, 11, 568–581. [Google Scholar] [CrossRef]
- Tawari, A.; Einicke, W.D.; Gläser, R. Photocatalytic oxidation of NO over composites of titanium dioxide and zeolite ZSM-5. Catalysts 2016, 6, 31. [Google Scholar] [CrossRef]
- Colmenares, J.C.; Magdziarz, A.; Kurzydlowski, K.; Grzonka, J.; Chernyayeva, O.; Lisovytskiy, D. Low-temperature ultrasound-promoted synthesis of Cr–TiO2-supported photocatalysts for valorization of glucose and phenol degradation from liquid phase. Appl. Catal. B-Environ. 2013, 134, 136–144. [Google Scholar] [CrossRef]
- Chong, R.; Li, J.; Ma, Y.; Zhang, B.; Han, H.; Li, C. Selective conversion of aqueous glucose to value-added sugar aldose on TiO2-based photocatalysts. J. Catal. 2014, 314, 101–108. [Google Scholar] [CrossRef]
- Payormhorm, J.; Chuangchote, S.; Kiatkittipong, K.; Chiarakorn, S.; Laosiripojana, N. Xylitol and gluconic acid productions via photocatalytic-glucose conversion using TiO2 fabricated by surfactant-assisted techniques: Effects of structural and textural properties. Mater. Chem. Phys. 2017, 196, 29–36. [Google Scholar] [CrossRef]
- Al-Dughaither, A.S.; de Lasa, H. HZSM-5 zeolites with different SiO2/Al2O3 ratios. Characterization and NH3 desorption kinetics. Ind. Eng. Chem. Res. 2014, 53, 15303–15316. [Google Scholar] [CrossRef]
- Akel, S.; Dillert, R.; Balayeva, N.O.; Boughaled, R.; Koch, J.; El Azzouzi, M.; Bahnemann, D.W. Ag/Ag2O as a Co-catalyst in TiO2 photocatalysis: Effect of the Co-catalyst/photocatalyst mass ratio. Catalysts 2018, 8, 647. [Google Scholar] [CrossRef]
- Handoko, C.T.; Moustakas, N.G.; Peppel, T.; Springer, A.; Oropeza, F.E.; Huda, A.; Strunk, J. Characterization and effect of Ag (0) vs. Ag (I) species and their localized plasmon resonance on photochemically inactive TiO2. Catalysts 2019, 9, 323. [Google Scholar] [CrossRef]
- Sanitnon, P.; Chiarakorn, S.; Chawengkijwanich, C.; Chuangchote, S.; Pongprayoon, T. Synergistic effects of zirconium and silver co-dopants in TiO2 nanoparticles for photocatalytic degradation of an organic dye and antibacterial activity. J. Aust. Ceram. Soc. 2003. [Google Scholar] [CrossRef]
- Hlekelele, L.; Franklyn, P.J.; Dziike, F.; Durbach, S.H. Novel synthesis of Ag decorated TiO2 anchored on zeolites derived from coal fly ash for the photodegradation of bisphenol-A. New J. Chem. 2018, 42, 1902–1912. [Google Scholar] [CrossRef]
- Castro, C.A.; Jurado, A.; Sissa, D.; Giraldo, S.A. Performance of Ag-TiO2 photocatalysts towards the photocatalytic disinfection of water under interior-lighting and solar-simulated light irradiations. Int. J. Photoenergy. 2012, 2012, 261045. [Google Scholar] [CrossRef]
- Jaafar, N.F.; Jalil, A.A.; Triwahyono, S.; Efendi, J.; Mukti, R.R.; Jusoh, R.; Suendo, V. Direct in situ activation of Ag0 nanoparticles in synthesis of Ag/TiO2 and its photoactivity. Appl. Surf. Sci. 2015, 338, 75–84. [Google Scholar] [CrossRef]
- Francisco, M.S.P.; Mastelaro, V.R. Inhibition of the Anatase-Rutile Phase Transformation with Addition of CeO2 to CuO-TiO2 System: Raman Spectroscopy, X-ray Diffraction, and Textural Studies. Chem. Mater. 2002, 14, 2514–2518. [Google Scholar] [CrossRef]
- Christoforidis, K.C.; Fernández-García, M. Photoactivity and charge trapping sites in copper and vanadium doped anatase TiO2 nano-materials. Catal. Sci. Technol. 2016, 6, 1094–1105. [Google Scholar] [CrossRef]
- Duan, Y.; Zhang, M.; Wang, L.; Wang, F.; Yang, L.; Li, X.; Wang, C. Plasmonic Ag-TiO2−x nanocomposites for the photocatalytic removal of NO under visible light with high selectivity: The role of oxygen vacancies. Appl. Catal. B 2017, 204, 67–77. [Google Scholar] [CrossRef]
- Sun, A.; Li, Z.; Li, M.; Xu, G.; Li, Y.; Cui, P. Room temperature synthesis of spherical mesoporous titania. Powder Technol. 2010, 201, 130–137. [Google Scholar] [CrossRef]
- Lv, Y.; Liu, Y.; Zhu, Y.; Zhu, Y. Surface oxygen vacancy induced photocatalytic performance enhancement of a BiPO4 nanorod. J. Mater. Chem. A 2014, 2, 1174–1182. [Google Scholar] [CrossRef]
- Jin, X.; Zhao, M.; Vora, M.; Shen, J.; Zeng, C.; Yan, W.; Chaudhari, R.V. Synergistic effects of bimetallic PtPd/TiO2 nanocatalysts in oxidation of glucose to glucaric acid: Structure dependent activity and selectivity. Ind. Eng. Chem. Res. 2016, 55, 2932–2945. [Google Scholar] [CrossRef]
- Su, C.; Hong, B.Y.; Tseng, C.M. Sol–gel preparation and photocatalysis of titanium dioxide. Catal. Today 2004, 96, 119–126. [Google Scholar] [CrossRef]
- Srisasiwimon, N.; Chuangchote, S.; Laosiripojana, N.; Sagawa, T. TiO2/lignin-based carbon composited photocatalysts for enhanced photocatalytic conversion of lignin to high value chemicals. ACS Sustain. Chem. Eng. 2018, 6, 13968. [Google Scholar] [CrossRef]
- Fischer, K.; Gawel, A.; Rosen, D.; Krause, M.; Abdul Latif, A.; Griebel, J.; Schulze, A. Low-temperature synthesis of anatase/rutile/brookite TiO2 nanoparticles on a polymer membrane for photocatalysis. Catalysts 2017, 7, 209. [Google Scholar] [CrossRef]
- Köferstein, R.; Ebbinghaus, S.G. Investigations of BaFe0. 5Nb0. 5O3 nano powders prepared by a low temperature aqueous synthesis and resulting ceramics. J. Eur. Ceram. Soc. 2017, 37, 1509–1516. [Google Scholar] [CrossRef]
- Valeeva, A.A.; Kozlova, E.A.; Vokhmintsev, A.S.; Kamalov, R.V.; Dorosheva, I.B.; Saraev, A.A.; Rempel, A.A. Nonstoichiometric titanium dioxide nanotubes with enhanced catalytical activity under visible light. Sci. Rep. 2018, 8, 9607. [Google Scholar] [CrossRef] [PubMed]


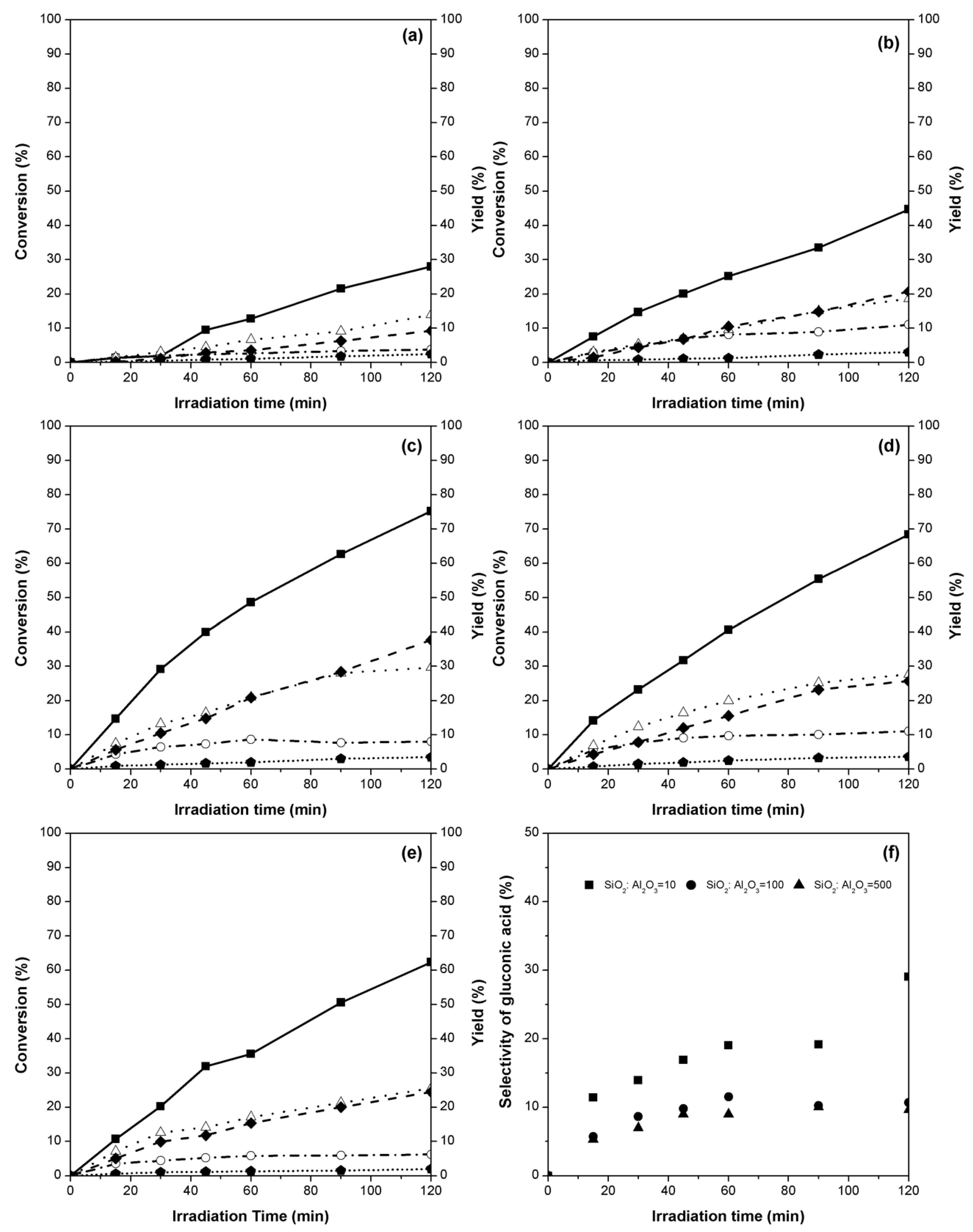
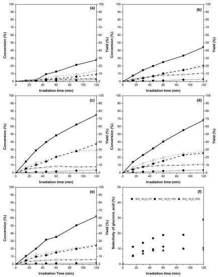
), formic acid (◆), arabinose (△), and xylitol (
) over (a) TiO2, (b) 10%TiO2/ZeY, (c) 20%TiO2/ZeY, (d) 40%TiO2/ZeY, and (e) 50%TiO2/ZeY, and (f) selectivity of gluconic acid at different ratios of SiO2:Al2O3.
), formic acid (◆), arabinose (△), and xylitol (
) over (a) TiO2, (b) 10%TiO2/ZeY, (c) 20%TiO2/ZeY, (d) 40%TiO2/ZeY, and (e) 50%TiO2/ZeY, and (f) selectivity of gluconic acid at different ratios of SiO2:Al2O3.




| Photocatalyst | Crystal Phase (%) | Crystallite Size (nm) | Particle Size (μm) | SBET (m2g−1) | Pore Diameter (nm) |
|---|---|---|---|---|---|
| TiO2 | A(95)/R(5) | A(30.3) | 0.56 ± 0.10 | 34.38 | 10.40 |
| 50%TiO2/ZeY | A(67)/R(33) | A(23.57) | 1.65 ± 0.22 | 419.44 | 3.68 |
| 40%TiO2/ZeY | A(38)/R(62) | A(15.14) | 1.18 ± 0.27 | 494.57 | 3.68 |
| 20%TiO2/ZeY | A(19)/R(81) | A(13.27) | 1.07 ± 0.20 | 524.41 | 3.69 |
| 10%TiO2/ZeY | A(0)/R(0) | A(0) | 0.99 ± 0.23 | 588.36 | 3.70 |
| ZeY | A(0)/R(0) | A(0) | 1.01 ± 0.18 | 590.76 | 3.90 |
| Photocatalyst | Nominal Metal Loading (wt. %) | EDS Analysis (wt. %) | |||||
|---|---|---|---|---|---|---|---|
| Ag | Cu | Ti | Al | Si | O | ||
| 0.5 wt. % Ag-TiO2/ZeY | 0.5 | 0.75 | - | 4.02 | 2.15 | 31.67 | 61.41 |
| 1 wt. % Ag-TiO2/ZeY | 1 | 0.81 | - | 10.99 | 0.58 | 29.05 | 58.57 |
| 3 wt. % Ag-TiO2/ZeY | 3 | 1.76 | - | 9.21 | 0.54 | 26.74 | 61.75 |
| 1 wt. % Cu-TiO2/ZeY | 1 | - | 0.87 | 10.06 | 0.46 | 30.68 | 57.93 |
| 1 wt. % Ag-Cu-TiO2/ZeY | 1 | 0.28 | 0.08 | 10.55 | 0.36 | 27.62 | 61.12 |
| Photocatalyst | Wavelength (nm) | Eg (eV) |
|---|---|---|
| Unloaded | 386 | 3.00 |
| 0.5 wt. % Ag | 389 | 2.89 |
| 1 wt. % Ag | 392 | 2.82 |
| 3 wt. % Ag | 394 | 2.74 |
| 5 wt. % Ag | 395 | 2.68 |
| 1 wt. % Cu | 389 | 2.78 |
| 1 wt. % Ag-Cu | 390 | 2.91 |
© 2020 by the authors. Licensee MDPI, Basel, Switzerland. This article is an open access article distributed under the terms and conditions of the Creative Commons Attribution (CC BY) license (http://creativecommons.org/licenses/by/4.0/).
Share and Cite
Roongraung, K.; Chuangchote, S.; Laosiripojana, N. Enhancement of Photocatalytic Oxidation of Glucose to Value-Added Chemicals on TiO2 Photocatalysts by A Zeolite (Type Y) Support and Metal Loading. Catalysts 2020, 10, 423. https://doi.org/10.3390/catal10040423
Roongraung K, Chuangchote S, Laosiripojana N. Enhancement of Photocatalytic Oxidation of Glucose to Value-Added Chemicals on TiO2 Photocatalysts by A Zeolite (Type Y) Support and Metal Loading. Catalysts. 2020; 10(4):423. https://doi.org/10.3390/catal10040423
Chicago/Turabian StyleRoongraung, Kamonchanok, Surawut Chuangchote, and Navadol Laosiripojana. 2020. "Enhancement of Photocatalytic Oxidation of Glucose to Value-Added Chemicals on TiO2 Photocatalysts by A Zeolite (Type Y) Support and Metal Loading" Catalysts 10, no. 4: 423. https://doi.org/10.3390/catal10040423
APA StyleRoongraung, K., Chuangchote, S., & Laosiripojana, N. (2020). Enhancement of Photocatalytic Oxidation of Glucose to Value-Added Chemicals on TiO2 Photocatalysts by A Zeolite (Type Y) Support and Metal Loading. Catalysts, 10(4), 423. https://doi.org/10.3390/catal10040423

