Abstract
We investigate whether revealing the identities in a public good game that includes a donation incentive leads to higher contributions to the public good. Previous evidence suggests that contributions to a public good increase significantly when these take place in public. Also, the amount of money given in charitable donations seems to be sensitive to the revealing of identities. Using a laboratory experiment, we implement a 20% donation share that is dependent on participants’ contributions to a public good. The donation is either costless (because it is financed by the experimenter) or deducted from a team’s contributions. In both settings, we explore whether informing participants that group members’ identities will be disclosed at the end of the experiment leads to higher contributions to the public good. Non-parametric statistics indicate that when donations are costly for the participants, the announcement of subsequent identity disclosure results in significantly higher contributions in the second half of the repeated public good game. In contrast, revealing identities in settings with costless donations reduces contributions to the public good significantly. The regression results indicate that conditional cooperators might be one subgroup driving these results.
1. Introduction
Imagine a camera in the shared kitchen in your workplace that allows your colleagues to observe you not cleaning up the dishwasher after using it. Imagine everybody seeing how much you have just put into the collection box at church. Just imagine your colleagues and boss observing exactly how much effort you are putting into a shared project and how much time you are spending on reading news or social media content during work time. Would it change anything for you? It seems that for many people, acting non-anonymously or even being fully observed changes their behavior in certain situations. Especially when people are supposed to contribute to a public good, e.g., when sharing a kitchen or working on a team project, they might feel under social pressure or might fear negative consequences while being observed and not contributing. These negative feelings could also occur in observed situations when prosocial behavior, such as giving donations to charity, is expected. Particularly people who give donations are ascribed social preferences and character traits such as altruism. Therefore, when being observed while they are donating, these people may perceive that their social image is receiving some extra polishing.
What intuition tells us is confirmed by research, which indicates that disclosing people’s identities or observing their behavior changes the way that they act in social dilemmas and during charitable giving. Laboratory experiments and field experiments in the context of dictator games, public games, and donation experiments have analyzed the effects of making people’s behavior public through the reduction of anonymity. Typical techniques for disclosing identities are showing photos of individuals, implementing a meet-and-greet, or disclosing participants’ names. A wide range of dictator games indicate that contributions rise, the less anonymously that participants play [1,2,3,4,5].
The following research was undertaken to analyze the effect of reducing anonymity in a setting that combines both a social dilemma situation and donation payments. We opted for an experimental analysis of the implementation of a standard public good game. We introduced donations that were proportionally linked to the amount of public good contributions and were either subsidized by the experimenter (externally financed) or paid by the team members’ contributions (internally financed). The results of a first experiment based on this setting reveal that contributions rise significantly when donations are tied to the public good [6]. Building upon this design, we examine the effect of announcing the team members’ identities on contribution levels, which is implemented by calling each group’s participants into one room after the experiment finished. Participants were told at the beginning of the experiment that they would meet their other group members at the end of the experiment.
We introduced a Base treatment, including a repeated public good game. Further, two treatments, including a repeated public good game with either an externally financed donation incentive (ExtDon) or an internally financed donation incentive (IntDon), were implemented. For each treatment variation, an additional Identity treatment was conducted involving the disclosure of the participants’ identities.
Some research conducted on identity disclosure within public good games shows mixed results, as some studies indicate positive effects on contribution levels when identity is going to be disclosed [7,8,9,10], while others cannot report any effects [7,11,12]. Other research shows that less anonymity leads to a rise in contributions at the beginning, while it diminishes over time and may even change to a negative effect due to negative reciprocity [10].
Additionally, findings from donation experiments exist. These results indicate that making charitable donations in public, i.e., being observed while donating and donation amounts being observed, leads to a rise in the amount of money donated [11,12,13,14,15,16]. There is also evidence that this effect might diminish over time [13].
Within the related literature, peer pressure and image concerns are mostly discussed as an explanation of the positive results of identity disclosure within social dilemmas or charitable giving. Thereby, peer pressure is defined as conforming to acknowledged behavior because of the fear of social sanctions from others, while image concerns motivate conformance with acknowledged behavior under the assumption of receiving prestige from others [7,17]. In the present context, however, “acknowledged behavior” might be cooperating with others or donating to people in need, as these are behavioral patterns that are evaluated as “good” within the social norms.
In our setting, we predict a rise in contribution levels due to peer pressure and image concerns for treatments that disclose the participants’ identities compared to the anonymous settings for all treatment variations. Further, we expect the internally financed setting to be more effective, as donations are costly for the participants, which might lead to a more positive self-image and might boost image motivations even more. Our results indicate that the knowledge of forthcoming identity disclosure leads to a small but insignificant rise in contributions in the Base treatment, which did not include any donation payment. The announcement of identity disclosure when donations are financed internally—and are therefore costly for the participants—increases contributions significantly in the second half of the repeated public good game. Interestingly, we find indicators of a weak negative effect of identity disclosure when donations are subsidized by the experimenter, and, thus, costless for the subjects, which may indicate that the intrinsic motivation to contribute is crowded out by revealing identities in this setting. This is in line with Cassar and Meier (2020) who show in a recent paper that prosocial incentives may have a negative effect on participants’ performance in a field experiment. They explain this important finding with incentives being set by an organization that are perceived to be instrumental and with participants who do not care about donations to charity [18].
In the regression analysis, it is revealed that the subgroup of conditional cooperators highly influences contribution levels. Typically, conditional cooperators contribute significantly more in public good games compared to other types of players [19]. Within the costless setting, this effect diminishes when identities are going to be disclosed, and conditional cooperators contribute the same amounts as the other players. Possible explanations are that conditional cooperators might be particularly sensitive to the crowding-out of intrinsic motivation by an external incentive [20] and that, particularly for this subgroup, donations need to be costly in order to generate a positive self-image, which might lead to a higher degree of prestige when conditional cooperators meet their team members [21].
Our investigation also contributes to the literature on using social incentives to increase an individual’s performance. For example, Tonin and Vlassopoulos (2014b), as well as Reggiani and Rilke (2020), indicate in recent studies that social incentives in the form of donation payments may significantly increase an individual’s effort levels [22,23]. In contrast to the existing literature, we are focusing on the individuals’ performances in teams.
Further, our investigations might provide some practical implications in the context of using a donation incentive as one component of a company’s CSR (corporate social responsibility) practices. Although it is often unclear whether CSR positively impacts a firm’s performance [24,25,26], many companies still opt for various activities that are perceived as socially responsible. The reasons may be manifold. Our results indicate that implementing a costly donation incentive within teamwork might add value to a firm’s performance by enhancing cooperation within work groups while simultaneously generating costless donation payments. Nevertheless, future research needs to be conducted to further strengthen our findings for practical implications.
2. Related Literature
It is important to outline two strands of literature in particular. On the one hand, the literature on revealing one’s identity in social dilemma games is relevant; on the other hand, the literature on donating to charity in public. In the following, we focus on research regarding the effect of revealing identities on behavior in social dilemmas and donation behavior Note that to the best of our knowledge, this is an overview of the relevant literature. However, we cannot guarantee its completeness.
2.1. Identity Disclosure in Social Dilemmas
A person’s identity can be disclosed in several ways. In the following we summarize the literature on disclosing identities within dictator games, prisoner’s dilemmas, and public good games.
Within a dictator game, Hoffman et al. (1996) varied the intensity of disclosing a participant’s identity by varying the information that the experimenter received about contributions. The results show that contributions drop, the more anonymously a sender can decide about her contribution [2]. Bohnet and Frey (1999) disclose the team members’ identities in a prisoner’s dilemma and a dictator game by letting team members look at each other or communicate freely without supervision before they make their decisions. They find a significantly positive effect in both games [3]. These findings are in line with earlier results by, e.g., Fox and Guyer (1978) [1]. Further, Burnham (2003) conducted a dictator game using photos to disclose the identities. The results show that disclosing the identity of either the sender or the receiver leads to a significant rise in contributions [4] (see also Charness and Gneezy 2008 [5]). In contrast, Dufwenberg and Muren (2006) played a dictator game in which the sender either picked up the money privately in the researcher’s office or on the stage of a lecture hall in front of many other students. Their findings indicate a significantly negative effect on contributions when the payment was given publicly during the lecture. The authors discuss different factors like, for instance, stage fright or an audience effect that may lead to the negative effects [27].
Other studies concentrate on identity revelation in public good games. For example, Gächter and Fehr (1999) played a ten-round public good game with information about the whole group’s contributions between each round. Four different conditions were implemented. In the first condition, participants played anonymously. In the second condition, participants sat together after the game and had the opportunity to show their appreciation of each other. In the third condition, a short meet-and-greet of the team members took place before the game started. Here, participants shook hands and stated their academic field of study and their hobbies. The fourth condition was a combination of conditions three and four. The results show that there is no statistical difference between the control treatment and conditions one and two (see, for similar results, Laury et al. 1995) [7,28]. Only the combination of both conditions gives a significant rise in contributions. Brosig et al. (2003) revealed that identifying other group members by simply seeing them before playing a public good game does not lead to a significant rise in contributions [29]. Further, Andreoni and Petrie (2004) studied the effect of identity disclosure using photos of the participants. The results show that showing photos raises contributions significantly [8]. Rege and Telle (2004) varied the disclosure of participants’ identities combined with their contribution levels in a one-shot public good game. The results reveal that meeting the other participants, and additionally each of them announcing their own contribution level, leads to a significant rise in contributions [9]. Finally, Noussair and Tucker (2016) showed that in a repeated game, positive effects diminish over time and that, overall, the contributions are significantly lower in the non-anonymous setting. The authors indicate that, in public, preferences of negative reciprocity might be stronger, which results in lower contributions over time [10].
In the studies mentioned above, the types of identity disclosure and the form in which the respective information is provided vary considerably. The described studies indicate the positive effects of identity disclosure on cooperation levels. Positive effects especially occur when a participant’s identity is disclosed in combination with her or his contribution levels. Furthermore, the results indicate that the amount of information provided and the type of personal interaction between group members both impact contribution levels. Thus, the likelihood of raising cooperation is higher the more information that is revealed.
2.2. Identity Disclosure during Charitable Giving
Another strand of research analyzes how anonymity and the disclosure of anonymity affect charitable giving. We summarize the following studies in chronological order. For example, Harbaugh considered that people care about how they are seen by others when donating. They show that people tend to match their donations in such a way that they fit into the next higher donation category [11,12]. Soetevent (2005) conducted a field experiment in churches in the Netherlands. He varied how the collection was performed, either using collection bags, where nobody could see how much was donated, or using an open basket, where the immediate neighbors could observe how much a person was giving and how much had already been given by others. The results reveal that an open basket significantly raises donations by 10% for external causes. However, this effect fades out over time [13]. Alpizar et al. (2008) examine how donation levels change if they are done anonymously or publicly in a national park in Costa Rica. The results show that the donations are 25% higher when they are directly made publicly to the solicitor [14]. Ariely et al. (2009) conducted a laboratory experiment using a real-effort task to determine how much is being donated. The results reveal that participants put significantly more effort into the task when a charitable donation was made public. They also show that an additional monetary incentive might crowd out this positive effect [15]. Reyniers and Bhalla (2013) tested whether giving donations in pairs (where they are revealed to the partner) affects donation levels and the perceived satisfaction with each person’s own donation. The results show that giving donations in pairs leads to significantly higher donations but less satisfaction with each person’s personal donation. Peer pressure seems to be one explanation of this [16].
In these studies, the disclosure of identities is done by publicizing lists of donations made, or by telling others how much one has donated, or by being observed by others when donating. The results reveal identity disclosure’s positive effect on charitable giving. Harbaugh (1998b, 1998a) suggests that image concerns and prestige are important drivers for increased charitable giving in these settings [11,12].
2.3. Explanatory Approaches
Within the reviewed literature, two motives, in particular, are discussed that might drive the positive effects of identity disclosure in social dilemmas and charitable giving: peer pressure and image concerns. While on the one hand, peer pressure motivates people through the desire to not be regarded by others as a “bad” person, image concerns motivate people through the desire to be seen by others as a “good” person.
Peer pressure is the feeling of fear of being regarded as a “bad” person through not adhering to the acknowledged social norms within a society. It induces people to behave in a socially acceptable manner that might include acting prosocially towards others. Further, the feeling of peer pressure might be much stronger when people’s identities are known, as the social distance is lower and others can observe individual behavior. Thereby, negative consequences, such as social disapproval, can be directed towards that person. Empirical evidence shows that peer pressure might lead to higher charitable donation payments [7,18,19] and stronger reciprocity in economic games [30]. For example, Reyniers and Bhalla (2013) show that peer pressure, achieved through letting participants make donations in pairs, leads to a significant rise in the donation payment amounts. Furthermore, they point out the negative effects of peer pressure, as the participants who made donations in pairs felt less comfortable about their own individual decision [16].
However, a positive image evolves through the acknowledgment of social norms within a society. These norms might categorize people as “good” when being nice, helpful, and sharing with others. Therefore, cooperating and giving donations are mainly stated as positive and socially approved behaviors, from which people can receive prestige. Further, the described studies indicate that people care about what others think about their behavior; people want to be seen as good citizens; and therefore, they might donate higher amounts when being directly observed or when donation payments are made public [11,12,13,14,15,31]. For example, Harbaugh (1998) shows that significantly higher donations are made when donation payments are reported based on intervals of the amount given. People tend to choose an amount right at the lower bound of the higher interval in order to receive a higher status [11]. Furthermore, evidence from public good games indicates image concerns as one motivator for higher contribution levels when identities are disclosed [7,8,9]. For example, Gächter and Fehr (1999) used a questionnaire to capture participants’ social approval or disapproval towards cooperators and free-riders [7].
2.4. Combining a Social Dilemma and Charitable Giving
The following study was undertaken in order to concentrate on the effects of identity disclosure in a combined setting of a social dilemma and donations used as an incentive. To our knowledge, there is no research so far on how identity disclosure affects contributions in such a setting. The following research is based on the experimental design of Butz and Harbring (2020). In this previous study, a laboratory experiment was conducted to find out whether a social incentive can lead to higher cooperation in a repeated public good game. The results show that a donation to a charitable organization that is subsidized by the experimenter leads to a significant rise in contributions compared to the baseline treatment. Additionally, donations that are financed by the public good itself can compensate for a lower efficiency level [6]. Building upon these findings, we conducted a laboratory experiment in order to analyze the effect of identity disclosure in a repeated public good game with charitable donations tied to the public good. Therefore, the study at hand is based on the baseline as well as the two socially incentivized treatments from this previous experiment. For each of these settings, we added a treatment in which participants were told at the beginning of the experiment that they would meet their team members at the end of the experiment, meaning that all identities would be disclosed. Our major motivation for these additional treatments is that the disclosure of identities makes the settings more realistic as the identities of contributors in organizations should rarely be completely unknown.
3. Materials and Methods (Experimental Setup)
We implemented a repeated public good game over ten rounds with groups of four, which were maintained over the whole experiment [32,33,34]. We used an endowment of 20 tokens and set the marginal per capita return to 0.5 [35,36]. Additionally, a donation incentive of 20% was implemented [37] in two different ways: (i) In one setting, the donation is financed externally by the experimenter, which might represent a donation payment from a company in reality. (ii) In the other setting, donations are financed internally by the public good itself, and any donations are subtracted from the participants’ payoffs.
A between-subject design was used, and a total of six treatments were conducted. In all, 336 participants joined the experiment, of which 92% were students with an average age of 24 years. There were 55% male and 45% female participants. Participants earned on average 14.8 euros. Within all donation-related sessions, we donated 810.60 euros to charitable organizations. In total, 325.2 euros from these donations were given voluntarily by the participants at the end of the experiment (an overview of the general characteristics by treatments can be found in Appendix A).
3.1. Treatments
Table 1 provides an overview of all six treatments. In the Base treatment, the described public good game is implemented. In the ExtDon treatment, the same payoff function as in the Base is used. Additionally, a 20% donation of the doubled amount of all contributions is paid by the experimenter to charitable organizations. A pretest was conducted to make sure participants trusted the supported charities. Participants were told that the experimenter would fund these donations. In the IntDon treatment, donations are paid through the public good contributions. Therefore, participants only receive 80% back from their initial public good earnings. The instructions stated that 80% of their doubled team contributions would be equally spread among them. Note that the comparison of Base, IntDon, and ExtDon were the focus of Butz and Harbring 2020 [6]—the results are described in Section 2.4.
Table 1.
Treatments.
The focus of our research lies in the analysis of the effect of announced identity disclosure. Therefore, we implemented three Identity treatments. In the Identity treatments, participants were told at the beginning of the experiment that they would meet their group members at the end of the experiment. The instructions additionally indicated the following: “At the end of the experiment, you will be called into the anteroom with the three other group members. The payment will then be carried out individually in the payment room. As soon as you and your group members have received payment, you will leave the laboratory together.” Participants did not receive any information about the other group members’ contributions or payoffs (see Appendix B exemplified instructions).
3.2. Procedure
The experiment took place in a laboratory of a German university. Six sessions of the anonymous treatments took place in May 2017 and the other six sessions of the Identity treatments took place in May 2018. The experiment was implemented with z-Tree [38] and participants were recruited with ORSEE (Online Recruitment System for Economic Experiments) [39]. On average, each session took 90 min.
The procedure of the experiment is shown in Figure 1. The instructions informed the participants that all rounds of the public good game would be relevant for their payoffs and that one token was worth five euro cents. In all treatments, we indicated that there was a chance that donation payments might be created in the experiment. We stated that the donation payments would be carried out via bank transfer directly after the session, and we picked two volunteers (additional payment of € 2) to observe these transfers (for a similar procedure, see Koppel and Regner 2014 [40]). Additionally, to make sure that transparency was assured for all of the participants, everybody had the chance to watch the money-transfer transaction. Subsequently, the public good game of the current treatment was described. At the end of the introduction, participants had to respond to some control questions, so that we could be certain that everybody had understood the task.
Figure 1.
Procedure of the experiment.
In z-Tree, participants had to rank the five chosen charitable organizations on a scale from one to five (for the charities used for our experiment see references [41,42,43,44,45]). For each charity, we showed short information stemming from the organizations’ websites (for a similar procedure, see Tonin and Vlassopoulos 2014a, Regner and Koppel 2019 [46,47]). The decision of who received the donation was an individual one. Later, the selected charity (the highest-ranked) received 20% of one-quarter of the total donations generated by their team in each round of the public good game. Participants did not receive any information about the selected charities of the other team members.
Before the repeated public good game started, we used Fischbacher et al.’s method (2001) to measure the general willingness to contribute to the public good as well as the strengths of making contributions conditional to the other team members’ contributions [19]. First, we played a one-shot public good game as stated in the instructions. Second, participants had to state how much they would contribute if all of the other three members made an average contribution of between zero and 20 tokens. One randomly chosen participant in each team received the payoff of the one-shot decision while the others received their payoff regarding the conditional contribution. At that stage, participants were not aware that a repeated game would follow. No information was given about any contribution levels.
In the next stage, participants received the information that a ten-round public good game would be played. After the first round, we asked for the beliefs about the average contribution of all team members [48]. The beliefs were incentivized with five tokens minus the absolute value of the difference between the correct average contribution and their stated belief. Between each round, participants received information about their own individual contributions, the average of all team members’ contributions, and their own payoff. Only the donation treatments received additional information about how much their group had donated in the round that had just been played.
At the end of the experiment, we showed the participants how much they had earned in the whole experiment in euros. To explore spillover effects, we asked participants after that whether they wanted to make a voluntary donation to one of the five charities [41,42,43,44,45]. Participants were able to choose one organization independently of their earlier decision. The donation amount could range from zero (not donating) to the total payoff earned.
Then, participants had to fill out a questionnaire in which they were asked for general and personality characteristics. Further, we had some additional control questions, e.g., how often they had participated in a laboratory experiment before (see Appendix B) [49]. Additionally, we asked for feedback on how participants had chosen their contribution levels and, for the donation treatments, on how the donation share had influenced their decision-making. Within the Identity treatments, one additional feedback question was given. Participants were asked whether knowing that they would meet the other group members at the end of the experiment had influenced their decision during the public good game. A summary of the questionnaire and all variables, including operationalization, can be found in Appendix C and Appendix D.
To conclude, for the payment procedure, participants in the anonymous treatment were individually called into the payment room to receive their payment. After that, they left the laboratory individually. In contrast, in the Identity treatments, participants were called into the anteroom in groups (see Figure 2). From the anteroom, each participant was called into the payment room, one after the other, to receive their payment. There was no possibility to observe the payment taking place from the anteroom. Group members had to wait until all group members had received their payments. Finally, each group had to leave the anteroom together.
Figure 2.
Layout of the laboratory.
3.3. Predictions
As outlined in the literature review, peer pressure and image concerns seem to influence behavior positively when anonymity is reduced within social dilemmas and charitable giving.
The combination of public good contributions that are tied to donation payments in our experiment might address motives based on peer pressure and image concerns, and they might even positively interact in the settings where anonymity was disclosed. On the one hand, participants can simultaneously polish their image by being prosocial towards their team members and giving charitable donations. This combination should enable them to receive an even higher degree of social approval and prestige within the group. Even though individual contributions are not revealed in our experiment, the participants were free to talk to each other when meeting up in the anteroom. Therefore, they were able to communicate high contributions and potentially receive social approval from the other team members. On the other hand, the feeling of peer pressure might be even stronger when donation payments are tied to cooperation levels. The negative consequences of social disapproval when not sticking to the social norm of contributing and donating might be even higher in this combined setting. Therefore, participants might contribute more in order to avoid negative consequences, such as social disapproval or bad feelings, e.g., guilt, when facing the other team members. As mentioned above, participants were able to talk to each other and direct any disapproval towards the other team members.
Another factor of interest might be the cost of the donation incentive, which varies in our design depending on how donations are implemented. The external setting represents a costless donation incentive, as participants do not need to pay for it. In contrast, the internal setting illustrates a costly donation incentive, as the 20% donation is subtracted from the team’s output. The self-perception theory suggests that it is relevant that prosocial behavior comes at a cost in order to generate a positive self-image from it [50,51]. Therefore, the internal setting might be even more effective for raising cooperation levels. Being prosocial when it comes at personal cost is especially informative for an individual and increases a positive self-image [21,52]. Creating such a positive self-image in the internal setting of being aware of meeting the other group members afterwards might also raise the expectation that the other group members will particularly value high contributions. In the external setting, the self-image might not be as positively influenced by contributing, as donation payments come at no personal cost. Therefore, a possibly positive recognition from others might be smaller in comparison to the internal setting.
Considering the different motivators and the existing empirical evidence, we expect a rise in contributions when participants know that their identities will be disclosed at the end of the experiment. For the Base treatment, this effect might be the smallest, as no donation incentive could increase image concerns or feelings of peer pressure. In comparison to the donation settings, the participants are only able to act prosocially towards their team members and not towards the donation payment. Additionally, the rise in contributions will probably be smaller compared to other empirical evidence, as individual contribution levels are not disclosed. Further, the ExtDon treatment might experience a smaller rise in contributions through identity disclosure in comparison to the IntDon treatment. One argument for this assumption is that donations are not free of cost in the IntDon treatment; therefore, contributions may serve as a stronger signal of a person’s social self.
4. Results
To analyze our data, we use descriptive and nonparametric statistics as well as regression analysis. Our analysis focuses on the comparison of the identity and non-identity treatments while considering the different efficiency levels of the treatments. Therefore, we focus on comparing the Base vs. BaseIdent, ExtDon vs. ExtDonIdent, and IntDon vs. IntDonIdent treatments.
4.1. Descriptive and Nonparametric Statistics
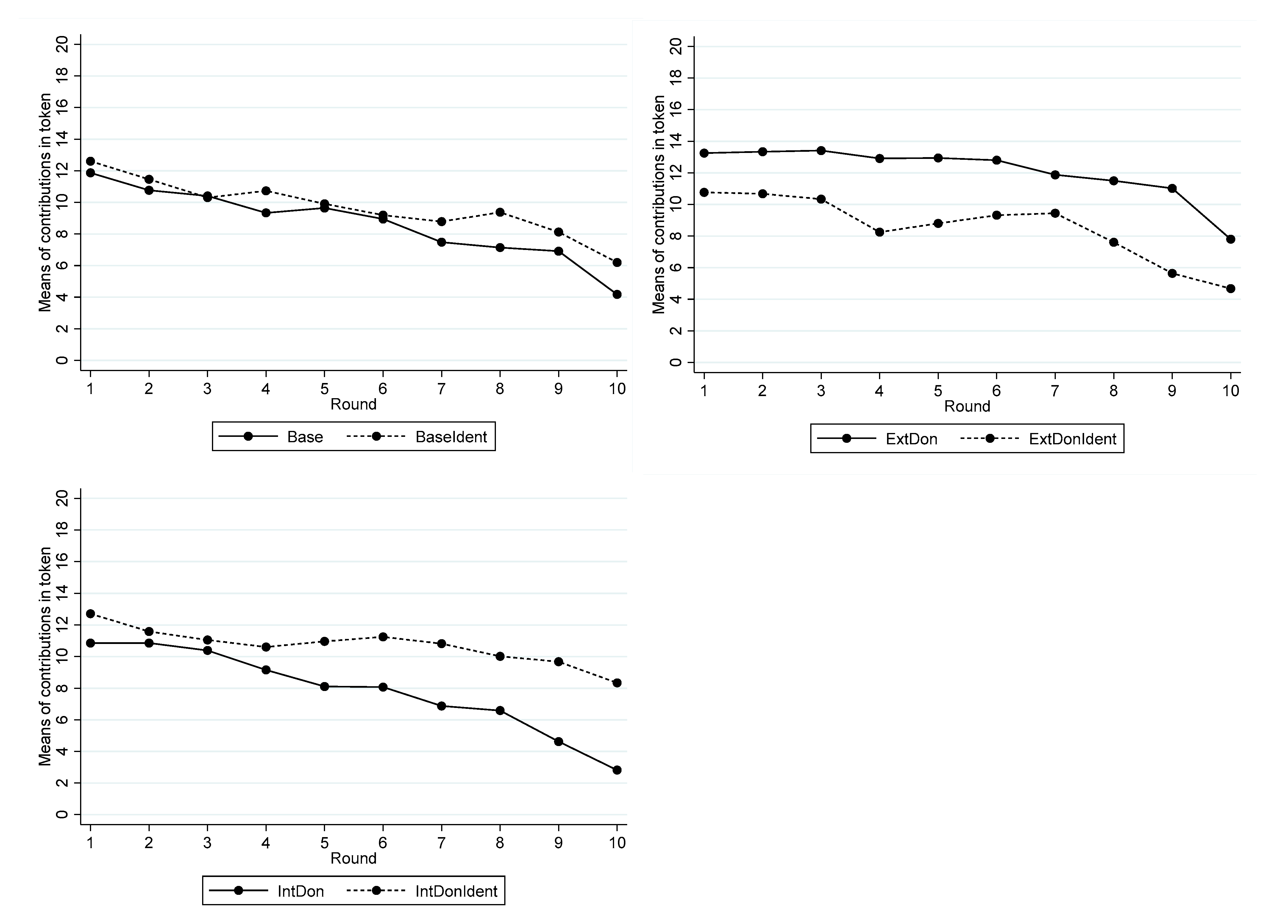
Table 2 provides an overview of the means of the main variables for each treatment, and Figure 3 illustrates the direct comparison between the anonymous and non-anonymous treatments. Comparing the average contributions in the repeated public good game, we find a small tendency towards higher contributions in BaseIdent compared to Base. In this case, participants contributed on average one token more to the public good when they knew that their identity would be disclosed at the end of the experiment. However, this effect is not significant (p = 0.6132, MWU). All non-parametric tests are conducted two-tailed. Note that the belief, the one-shot con-tribution, and the first-round contribution were tested on an individual level, as participants had not received any information about the other group members’ contributions up to this point and, therefore, observations are independent. All other average contributions were tested on a group level. As we opted for a very mild approach to identity disclosure, one might assume that participants failed to notice the respective announcement in the instructions. To check for this possibility, we included the following question in the post-experimental questionnaire: “Knowing that I would meet the other group members at the end of the experiment influenced my decisions during the public good game. Please give reasons.” Most participants stated how they felt influenced by the identity disclosure during the experiment. Only 4 out of 168 participants did not appear to remember that they would be meeting other group members. Therefore, we assume that the instructions were clear for almost all participants, and almost all of them were aware of the condition that they would meet their team members at the end of the experiment.
Table 2.
Means of one-shot contribution, beliefs, and contribution in tokens.
Figure 3.
Means of contributions over rounds by treatment.
The highest contributions were given in the ExtDon treatment. Interestingly, the ExtDon settings reveal a significant (p = 0.0482, MWU) reduction when the identity is disclosed. Participants in the ExtDonIdent treatment contribute on average 3.54 tokens less than participants in the ExtDon treatment. Additionally, beliefs, which were asked for after the first round of the main public good game, are significantly lower in the ExtDonIdent treatment compared to the ExtDon treatment (p = 0.0357, MWU). This also holds for the first-round contributions (p = 0.0703, MWU) and the first-five-rounds contributions (p = 0.0808, MWU). Note that the results from the first-round contributions are particularly interesting as they are not influenced by any experience or interactions with the other group members. Further, we find weakly significantly lower contributions in the last round of ExtDonIdent compared to the last round of ExtDon (p = 0.0931, MWU).
Furthermore, contributions differ between the IntDon and the IntDonIdent treatments. In this setting, the knowledge that identity disclosure will take place at the end of the experiment leads to an average rise in contributions of 2.86 tokens. This difference is not significant, though (p = 0.2413, MWU). However, contributions in the last five rounds are weakly significantly higher in IntDonIdent compared to IntDon (p = 0.0891, MWU). Further, significantly higher contributions are revealed in the last round of the IntDonIdent treatment compared to the last round of the IntDon treatment (p = 0.0155, MWU). (Further significant results: Repeated Game: Base vs. ExtDon (p = 0.0387, MWU), ExtDon vs. IntDon (p = 0.0409, MWU); Round 1: ExtDon vs. IntDon (p = 0.0620, MWU); Rounds 1–5: Base vs. ExtDon (p = 0.0890, MWU); Rounds 6-10: Base vs. ExtDon (p = 0.0731, MWU), ExtDon vs. IntDon (p = 0.0346, MWU); Round 10: Base vs. IntDonIdent (p = 0.0428, MWU), ExtDon vs. IntDon (p = 0.0112, MWU), IntDon vs. BaseIdent (p = 0.0428, MWU)).
For further analysis of the stability of contributions, we compare the number of endgamers in each treatment. Endgamers are defined as subjects who contributed zero tokens in the last or a series of the last rounds and who contributed more than zero in at least half of the previous rounds [53]. The highest density of endgamers, comprising half of the participants, is revealed in the BaseIdent and IntDon treatments. The ExtDon (26.79%) and IntDonIdent treatments (28.57%) show the lowest numbers of endgamers, while the Base treatments have 42.86%, and the ExtDonIdent treatment has 39.29% endgamers. Within the different settings, only the number of endgamers in the IntDon treatment is significantly higher compared to the IntDonIdent treatment (p = 0.0208, MWU). (Further significant results: BaseIdent vs. IntDonIdent (p = 0.0208, MWU); ExtDon vs. Base (p = 0.0756, MWU); ExtDon vs. IntDon (p = 0.0119, MWU); ExtDon vs. BaseIdent (p = 0.0119, MWU)).
Figure 4 illustrates the percentage of full and zero contributors for each treatment over rounds. The ExtDon graph stands out, as the number of full contributors starts very high and the number of zero contributors starts very low, and only in the last round are more zero contributors than full contributors reported.
Figure 4.
Percentage of full/zero contributors.
We use the conditional cooperation measure [19] to analyze how the degree of reciprocal personality traits influences contribution levels within the different treatments. Within repeated public good games, the conditional cooperators adapt the contribution levels of their group members [21,43,53]. Conditional cooperators have strong social preferences and might therefore be especially sensitive to the disclosure of identities. Also, Butz and Harbring (2020), as well as Kajackaite and Sliwka (2017), indicate that reciprocal altruists might be one subgroup that supports positive effects when donations are used as an incentive. Reciprocal altruists are individuals that reciprocate towards the altruistic preferences of other individuals [6,54].
Comparing average contributions of conditional cooperators (participants with a significant Spearman correlation higher than the median of 0.9375 (see Appendix C and Fischbacher et al. (2001) [19])) and non-conditional cooperators (participants with a significant Spearman correlation below the median) indicates increased contribution levels for conditional cooperators for all treatments except the ExtDonIdent treatment. Further, conditional cooperators seem to increase contributions on average when identities are disclosed in the Base setting and the IntDon setting. In contrast, conditional cooperators tend to decrease contribution levels in the ExtDon setting on average when identities are disclosed (see Appendix E for an overview of average contributions of conditional and non-conditional cooperators by treatment). For testing on the group level, we undertook a median split with the average of the four group members’ conditional cooperation variable. The results show a significant difference in contribution levels between conditional and non-conditional groups within the IntDonIdent treatment (p = 0.0845, MWU). More detailed analysis of conditional cooperation is conducted within the regression analysis.
4.2. Regression Analysis
Table 3 displays the results of the Tobit regression analysis on contribution levels separately for each treatment. Main effects are robust for ordinary least squares regressions. Model I includes the main variation of identity disclosure, as well as the effect over rounds. Model II additionally integrates the average of all group members’ contributions in total from the previous round. Model III includes the median dummy for the conditional willingness to cooperate, i.e., the degree to which participants base their own contributions on the contribution levels of the other team members. In Model (IV), an interaction variable for identity disclosure and conditional cooperation is included. Further, Model V integrates the beliefs about other group members’ contributions from the first round and all control variables (see Appendix F Table A5, Table A6 and Table A7 for full regressions).
Table 3.
Tobit regression on individual contribution.
For the Base treatments, we do not find a significant effect of identity disclosure on contribution levels. This also holds for the average of all group members’ contributions from the previous round. In Models III and IV, a significantly positive effect for conditional cooperators is revealed, which diminishes when further variables are included. Further, with regard to all of the models, a significantly positive effect is revealed for the stated beliefs and a significantly negative effect for the number of rounds.
In the ExtDon treatments, identity disclosure reveals no effect on contribution levels. The average of all group members’ contributions in the previous round is significantly associated with contribution levels in all models. The dummy “conditional cooperator” reveals a positive and significant effect on contributions. Model V indicates that conditional cooperators give 6.156 tokens more compared to non-conditional cooperators. This effect reverses when the dummy variable for conditional cooperators is interacted with disclosing identities, meaning that in the ExtDonIdent treatment, conditional cooperators give significantly less. Model V shows that conditional cooperators in the disclosed identity setting reduce contributions by 6.373 tokens compared to others. The stated beliefs reveal a significantly positive effect, while the number of rounds affects contribution levels significantly negatively.
For the IntDon settings, we find no significant effect for identity disclosure (within the OLS regression, we additionally find a significantly positive effect for identity disclosure in Models III and IV). The average of all group members’ contributions in the previous round is significantly positively related to contributions in all models. Further, we find significantly higher contributions for conditional cooperators in all models, while the interaction with the treatment variable does not reveal any significant effects. The stated beliefs affect contribution levels positively, and the number of rounds reveals a significantly negative effect.
To take a closer look at the stability of the contributions over rounds, we conducted a Tobit regression on the individual contributions separately for each treatment. All controls were included. Additionally, the last round of the repeated game was excluded in order to rule out the impact of any endgame effects. In Table 4, a section of the regression is shown, which concentrates on the effects over rounds. We found significant negative effects for the Base, the ExtDon, ExtDonIdent, and IntDon treatments (within the OLS regression, we find no significant effect for rounds in the ExtDon treatment). All other treatments reveal a negative but not significant tendency for the contribution levels over rounds (see Appendix F Table A8 for full regression).
Table 4.
Section of Tobit regression on individual contribution by treatment.
5. Discussion
Our results indicate that the mild approach we opted for, in order to disclose identities after the experiment, does not influence contribution levels within the Base treatment. However, we do find that identity disclosure in our socially incentivized settings affects contribution levels in opposite directions, dependent on how the donation is financed. First, disclosing identities in a public good game with participants paying for the donations (IntDonIdent) leads to a significant increase of contributions in later rounds. Second, in contrast to this finding and particularly surprising, is the negative impact of identity disclosure in the public good game with costless donation incentives (ExtDonIdent), i.e., when the donation is subsidized by the experimenter. Interestingly, these effects seem to be driven by the group of conditional cooperators—who make up about half of the participants—as shown by our regression analysis.
Starting with the Base treatments, our experiment shows that the revealing of identities on the group level after the experiment results in a small, although insignificant, rise in average contribution levels. Further, in the BaseIdent, there is no significant negative effect over rounds, which indicates that contributions are more stabilized over rounds compared to Base. One explanation for only a small increase in contribution levels might be the conservative way that identities were disclosed. In our experiment, we used a gentle reduction of anonymity. Contributions could not be traced back on an individual level; therefore, it was impossible to identify free-riders or high contributors. Nevertheless, participants were confronted personally by the other team members and could still articulate their own contributions and their feelings about the game.
At first sight, descriptive and non-parametric statistics of the ExtDon settings indicate that expecting identity disclosure leads to a significant reduction in contribution levels. Participants contribute on average 30% less in the ExtDonIdent treatment compared to the ExtDon treatment. Although the external setting has an increased efficiency, since an additional 20% of donations is generated, there is no difference in contribution levels between the ExtDonIdent and both baseline settings.
Interestingly, the regression analysis shows no effect of announced identity disclosure from Model II onwards. Instead, the results seem to be strongly influenced by the subgroup of conditional cooperators. While conditional cooperators contribute significantly more than others to the public good, the interaction with identity disclosure reveals a significantly negative effect. Thus, increased contributions in the ExtDon treatment compared to the ExtDonIdent treatment are highly driven by the conditional cooperators. Our results indicate that in all treatments except the ExtDonIdent treatment, conditional cooperators account for a higher level of contribution payments compared to other types of player, i.e., free-riders (see also Fischbacher et al., 2001 [19]). Within the external settings, these social preferences seem to crowd out contributions when identities are disclosed. Thus, the costless external donation incentive does not reveal any positive effects for conditional cooperators when identities are going to be disclosed.
Non-parametric results of the IntDon settings reveal a rise in contributions in the later rounds of the repeated public good game when identities are disclosed. Participants contributed on average 36% more tokens in the IntDonIdent treatment overall compared to the IntDon treatment, where this difference is not significant. Nevertheless, the results indicate that contributions are particularly stabilized over rounds. As in the last five rounds, contribution payments are significantly higher in the IntDonIdent compared to the IntDon treatment, which also holds for the last round. Additionally, it can be seen that the IntDonIdent treatment has significantly fewer endgamers in comparison to the IntDon treatment. The stabilization of contributions is also displayed by the analysis over rounds, as there is no significant reduction of contributions in the IntDonIdent treatment in contrast to the IntDon treatment, where contributions decrease significantly over rounds.
In the internal setting, the participants’ self-image might be positively influenced by the costliness of the donation incentive. Therefore, participants might also expect to receive a much higher degree of prestige from others since the donation payments are costly. Further, the expectation of social disapproval when not contributing might have been even stronger.
For the donation treatments, it can be summarized that the conditional cooperators add positively to contribution levels as long as the game is played anonymously, regardless of whether the donation is costly or costless. However, when the identity disclosure is announced, conditional cooperators do not contribute more than others when donations are costless. In this setting, increased contributions for this subgroup can only be observed when donations are costly.
Possibly, the external incentive crowds out the intrinsic motivation when disclosure of identities takes place, especially for conditional cooperators. Conditional cooperators might have particularly strong social preferences and might also be strongly intrinsically motivated. Therefore, potential social approval from the other team members—in the form of image concerns—for being prosocial might be reduced or even diminished by the costliness of the donation, as participants do not have to sacrifice parts of their payoffs for this type of giving. Further, prestige might be one factor influencing the internal motivation of a social act, and therefore the crowding-out might particularly take place in a non-anonymous setting. Additionally, Gneezy et al. (2012) indicate that a costless donation leads to a significantly lower positive self-image compared to costly donations, which results in fewer prosocial actions [21]. Particularly the subgroup of conditional cooperators seems to be particularly prone to these effects.
Future research might concentrate especially on fostering motives of prestige by, for example, including rankings or competition between teams. Further, research on the social preferences of conditional cooperators might be essential, as conditional cooperators seem to react particularly sensitively to how a donation incentive is implemented. Additionally, it might be interesting to vary the amount of the donation incentives to analyze whether at some point employees in the internal setting might not be willing to give up their own money as a donation payment, or in the external setting whether positive effects in a non-anonymous setting can be fostered with higher donation amounts.
Author Contributions
Conceptualization, B.B. and C.H.; Investigation, B.B.; Data curation, B.B.; Writing—Original Draft Preparation, B.B. and C.H.; Writing—Review and Editing, B.B. and C.H. All authors have read and agreed to the published version of the manuscript.
Funding
This research received no external funding.
Informed Consent Statement
Informed consent was obtained from all subjects involved in the study.
Conflicts of Interest
The authors declare no conflict of interest.
Appendix A. General Characteristics by Treatment
Table A1.
General characteristics by treatment.
Table A1.
General characteristics by treatment.
| Baseline | BaseIdent | ExtDon | ExtDon Ident | IntDon | IntDon Ident | All | |
|---|---|---|---|---|---|---|---|
| Age | 24.38 (6.793) | 23.79 (3.258) | 24.39 (4.287) | 24.23 (3.199) | 24.41 (2.323) | 24.84 (4.781) | 24.33 (4.359) |
| Participation | 5.29 (5.000) | 7.70 (6.903) | 8.48 (6.517) | 7.125 (6.958) | 7.84 (7.318) | 6.38 (6.845) | 7.13 (6.710) |
| Gender (1 = male) | 0.50 | 0.52 | 0.55 | 0.54 | 0.54 | 0.68 | 0.55 |
| Income 1 | 2.55 (1.334) 51 obs. | 2.64 (1.261) 56 obs. | 2.94 (1.561) 53 obs. | 2.38 (1.318) 56 obs. | 2.16 (2.272) 50 obs. | 2.48 (1.390) 56 obs. | 2.53 (1.379) 322 obs. |
| School of Business and Economics (1 = yes) | 0.27 | 0.20 | 0.25 | 0.14 | 0.27 | 0.16 | 0.21 |
| Acquaintance (1 = yes) | 0.23 | 0.21 | 0.11 | 0.27 | 0.14 | 0.18 | 0.19 |
| Friends (1 = yes) | 0.13 | 0.21 | 0.05 | 0.20 | 0.09 | 0.18 | 0.14 |
| Reciprocity | 22.25 (4.437) | 22.48 (4.460) | 22.20 (3.924) | 21.96 (4.997) | 21.93 (4.686) | 20.54 (4.259) | 21.89 (4.515) |
| PosReciprocity | 16.20 (2.193) | 15.89 (2.564) | 15.89 (3.163) | 16.45 (2.473) | 15.93 (2.105) | 15.71 (2.935) | 16.01 (2.609) |
| NegReciprocity | 6.05 (4.466) | 6.59 (4.317) | 6.30 (3.927) | 5.52 (4.313) | 6 (4.052) | 4.82 (3.909) | 5.88 (4.206) |
| Altruism | 55.91 (11.456) | 61.07 (11.343) | 56.38 (9.502) | 57.93 (11.655) | 58.80 (11.852) | 59.32 (12.690) | 58.24 (11.58) |
| GSS (1 = trustworthy) | 0.44 | 0.43 | 0.46 | 0.45 | 0.42 | 0.40 | 0.44 |
| Trust (1 = distrustful) | 0.58 | 0.56 | 0.60 | 0.66 | 0.61 | 0.55 | 0.59 |
| Risk | 6.14 (1.738) | 5.64 (1.886) | 5.96 (1.593) | 6.66 (2.074) | 6.09 (1.846) | 5.84 (2.269) | 6.06 (1.8938) |
| Total Payoff (euro) | 14.68 (3.614) | 15.72 (3.350) | 16.35 (3.655) | 15.05 (3.094) | 13.14 (2.442) | 14.11 (3.008) | 14.46 (0.393) |
| Number of Participants | 56 | 56 | 56 | 56 | 56 | 56 | 336 |
Standard deviations are depicted in parentheses underneath the means. 1 Observations are reduced by the participants who did not state their monthly income.
Appendix B. Experimental Instructions (Exemplified on ExtDon Identity)
(English translation, the original instructions were given in German. Part 1 and part 2 were distributed among subjects consecutively after the preceding part of the experiment was finished.)
- Part 1
_________________________________________________________________
Welcome to our experiment! You can earn money by taking part in it. Exactly how much money you will earn is dependent on your own decision-making and the decision-making of other participants.
Please switch off your cell phones and refrain from communicating with other participants as of now.
In our experiment, we will be using the “Token” currency. When the experiment is over, the total of all payoff-relevant Token amounts will be converted into euros. The following exchange rate will be used:
1 Token = 5 euro cents
All decisions made in the experiment and the payoff amounts will remain anonymous. Any amounts shown have been rounded to one decimal place. Please feel free to use the calculator and rough paper provided.
In this experiment, you will be randomly assigned to a group of four members. At the end of the experiment, you will be called into the anteroom with the three other group members. The payment will then be carried out individually in the payment room. As soon as you and your group members have received payment, you will leave the laboratory together.
In the following experiment, donations might be generated. In the case that donation payments are to be made, this will take place directly at the end of the experiment. At the end of the experiment, two voluntary participants will be randomly chosen to act as witnesses that the donation payments are carried out correctly. These two participants will each receive an additional 2 €. All the other participants are welcome to be present when the donation payments are being made.
- The Decision Situation
You will be randomly assigned to a group of four members. Therefore, you will be playing with three other players in a group. Each of the players must decide about how to allocate 20 Tokens. You can either transfer these 20 Tokens to your private account or invest all of them or part of them in a joint project. You can always only invest full amounts of between 0 and 20 Tokens.
- Your Income from the Private Account
Each Token that you do not invest in the joint project will be automatically transferred to your private account. Nobody except yourself can receive money from your private account.
- Your Income from the Joint Project
The group result consists of the total of the Tokens contributed by all of the group members. The group result will be multiplied by 2, and 80% of it will be allocated evenly among all four group members.
- Donation
20% of the doubled group result will be donated. Donations will be proportionately paid out to you and your group members’ preferred charities.
- Your Total Income
Your total income is composed of the total of the income from your private account and the income from the joint project.
If you have any questions about the experiment, please put your hand up. We will come to your desk to answer your questions.
Please respond to the following control questions now:
- Decision Making
_________________________________________________________________
In this part of the experiment, each participant has to make two types of decisions. In the following, we will refer to the two decisions as “Unconditional contribution” and “Contribution table”.
- “Unconditional contribution”
Regarding the unconditional contribution, you are required to decide how many of your 20 Tokens you want to invest in the project.
- “Contribution table”
Your second decision concerns the contribution table. In the “contribution table,” you have to state for each of the possible mean contributions of your group members (rounded to whole numbers) how many Tokens you would contribute to the project.
For example, you have to state how much you would contribute to the project if the others in your group had a mean contribution of 0 Tokens, 1 Token, 2 Tokens etc.
- Payoff
A member of each group will be randomly chosen. For this randomly chosen participant, her or his decision from the “contribution table” will be relevant for her or his payoff. For the other three participants, their respective “unconditional contribution” will be payoff-relevant for them.
- Part 2
_________________________________________________________________
In this part, you will again be required to make a decision as described above. You will again have 20 Tokens, and you have to think about how many of the 20 tokens you want to contribute to the joint project.
The following experiment will be played over 10 rounds. Group allocation corresponds to Part 1 of the experiment and remains unchanged over all rounds of the game. All rounds are payoff-relevant.
After the first round, we will ask you to estimate the mean investment of the other three team members in the previous round. If your estimate of the mean investment of your group was accurate, you will receive a payoff. This payoff will be as follows:
Payoff = 20 Tokens−|deviation*5|
In each round, you will decide again how many Tokens you want to invest in the project. After each round, you will receive information about your investment, the group result, the amount of your payoff from your private account and from the project, your estimate, and your total profit in the respective round. Additionally, you will receive information about the size of your donation.
Appendix C. Questionnaire
General characteristics

- * Mandatory field
- Please state your gender *
- ○
- Male
- ○
- Female
- 2.
- Please state your year of birth. * _____
- 3.
- Which university school or department are you currently studying with? *
- ○
- Faculty 1—Mathematics, Computer Science and Natural Sciences
- ○
- Faculty 2—Architecture
- ○
- Faculty 3—Civil Engineering
- ○
- Faculty 4—Mechanical Engineering
- ○
- Faculty 5—Georesources and Materials Engineering
- ○
- Faculty 6—Electrical Engineering and Information Technology
- ○
- Faculty 7—Arts and Humanities
- ○
- Faculty 8—School of Business and Economics
- ○
- Faculty 10—Medicine
- ○
- I don’t know/Not specified
- 4.
- What is your monthly net income? *
- ○
- €0–250
- ○
- €251–500
- ○
- €501–750
- ○
- €751–1000
- ○
- €1001–1250
- ○
- €1251–1500
- ○
- €1500 and more
- 5.
- How often have you participated in a laboratory experiment? * __________
- 6.
- Do you know anyone who is participating in this experiment? *
- ○
- Yes
- ○
- No
- 7.
- Are any friends of yours participating in this experiment? *
- ○
- Yes
- ○
- No
- Reciprocity [54]

Please mark only one correct answer for each question.
(0–7; does not apply to me at all to applies to me perfectly)
P1: If someone does me a favor, I am prepared to return it.
P2: I go out of my way to help somebody who has been kind to me before.
P3: I am ready to undergo personal costs to help somebody who helped me before.
N1: If I suffer a serious wrong, I will take revenge as soon as possible, no matter what the cost.
N2: If somebody puts me in a difficult position, I will do the same to him/her.
N3: If somebody offends me, I will offend him/her back.
- Altruism [55]

Please mark only one correct answer for each question.
(1–5; never, once, more than once, often, very often)
- I have helped push a stranger’s car that was broken down or out of gas.
- I have given directions to a stranger.
- I have made change for a stranger.
- I have given money to a charity.
- I have given money to a stranger who needed it (or asked me for it).
- I have donated goods or clothes to a charity.
- I have done volunteer work for a charity.
- I have donated blood.
- I have helped carry a stranger’s belongings (book, parcels, etc.)
- I have delayed an elevator and held the door open for a stranger.
- I have allowed someone to go ahead of me in a lineup (in the supermarket, at a copy machine, at a fast-food restaurant)
- I have given a stranger a lift in my car.
- I have pointed out a clerk’s error (in a bank, at the supermarket) in undercharging me for an item.
- I have let a neighbor whom I didn’t know too well borrow an item of some value to me (e.g, a dish, tools, etc.).
- I have bought ‘charity’ holiday cards deliberately because I knew it was a good cause.
- I have helped a classmate who I did not know that well with an assignment when my knowledge was greater than his or hers.
- I have, before being asked, voluntarily looked after a neighbor’s pets or children without being paid for it.
- I have offered to help a handicapped or elderly stranger across a street.
- I have offered my seat on a bus or a train to a stranger who was standing.
- I have helped an acquaintance to move households.
- GSS Trust [56]

Please mark only one correct answer for each question.
- Generally speaking, would you say that most people can be trusted or that you can’t be too careful in dealing with people?
- ○
- most people can be trusted
- ○
- can’t be too careful
- ○
- depends
- Do you think most people would try to take advantage of you if they got a chance, or would they try to be fair?
- ○
- would take advantage
- ○
- would try to be fair
- ○
- depends
- Would you say that most of the time people try to be helpful, or that they are mostly just looking out for themselves?
- ○
- try to be helpful
- ○
- just look out for themselves
- ○
- depends
- Trust [56,57]

Please mark only one correct answer for each question.
How often do your leave your door unlocked?
- ○
- very often
- ○
- often
- ○
- sometimes
- ○
- rarely
- ○
- never
How often do you lend money to your friends?
- ○
- more than once a week
- ○
- about once a week
- ○
- about once a month
- ○
- once a year or less
How often do you lend personal possessions to your friends (e.g., CD’s, clothes, bicycle, etc.?
- ○
- more than once a week
- ○
- about once a week
- ○
- about once a month
- ○
- once a year or less
- Risk [58]

In the following, you will see ten lottery scenarios, each of them with two alternatives. For each lottery, please check the alternative (I or II) that you would choose. You are not allowed to switch more than once from the left column to the right column, or vice versa.
For example, you need to decide in the first lottery whether to choose Alternative I (you’ll have a 10% chance of winning 40 euro and a 90% chance of winning 32 euro) or Alternative II (you’ll have a 10% chance of winning 77 euro and a 90% chance of winning 2 euro).
Table A2.
Risk Table.
Table A2.
Risk Table.
| Option A | Option B | |||||||
|---|---|---|---|---|---|---|---|---|
| Prob. (p) | Payoff | Prob. (1-p) | Payoff | Prob. (p) | Payoff | Prob. (1-p) | Payoff | |
| 1 | 10% | 40 € | 90% | 32 € | 10% | 77 € | 90% | 2 € |
| 2 | 20% | 40 € | 80% | 32 € | 20% | 77 € | 80% | 2 € |
| 3 | 30% | 40 € | 70% | 32 € | 30% | 77 € | 70% | 2 € |
| 4 | 40% | 40 € | 60% | 32 € | 40% | 77 € | 60% | 2 € |
| 5 | 50% | 40 € | 50% | 32 € | 50% | 77 € | 50% | 2 € |
| 6 | 60% | 40 € | 40% | 32 € | 60% | 77 € | 40% | 2 € |
| 7 | 70% | 40 € | 30% | 32 € | 70% | 77 € | 30% | 2 € |
| 8 | 80% | 40 € | 20% | 32 € | 80% | 77 € | 20% | 2 € |
| 9 | 90% | 40 € | 10% | 32 € | 90% | 77 € | 10% | 2 € |
| 10 | 100% | 40 € | 0% | 32 € | 100% | 77 € | 0% | 2 € |
- Feedback

- * Mandatory field
- How did you make your decision about your contribution to the project (in part 2)?
Please describe your approach.
- 2.
- Did the donation influence your decision about how much to contribute? *
- ○
- Yes
- ○
- No
Please give your reasons.
- 3.
- What influenced the voluntary donation which you could make from your total payoff at the end of the experiment?
- 4.
- Knowing that I would meet the other group members at the end of the experiment influenced my decisions during the public good game. *
- ○
- Yes
- ○
- No
Please give your reasons.
- 5.
- Do you have any further comments to make about the experiment?
- 6.
- At the end of the experiment, we will really make the payments to the charitable organizations. Were you confident during the experiment that we would actually do so? *
- ○
- Yes
- ○
- No
Appendix D. Overview of Variables
Table A3.
Overview of variables.
Table A3.
Overview of variables.
| Variable | Description |
|---|---|
| Main Experiment | |
| Individual contribution | Amount equals the amount of contribution in the main experiment in tokens |
| Average contribution | Amount equals the amount of average contributions (from 10 rounds) in the main experiment in tokens |
| Baseline Identity (BaseIdent) | Baseline treatment including identity disclosure. |
| External Donation Identity (ExtDonIdent) | External Donation treatment including identity disclosure. |
| Internal Donation Identity (IntDonIdent) | Internal Donation treatment including identity disclosure. |
| Identity disclosure | Amount equals 1 if the identity of the group members was disclosed at the end of the experiment |
| Conditional cooperator | Spearman rank correlations for each subject between the own contribution and the average given contributions of others; range value from −1 to 1; absolute negative correlation: −1; high correlation: 1; no correlation:0; insignificant correlations are recoded to zero [59] |
| Dummy Conditional Cooperator | Amount equals 1 if the individual is categorized as a conditional cooperator, otherwise 0. Individuals are categorized as conditional cooperators when the Spearman correlation of the individual conditional cooperation measure lies above the median of the conditional cooperator measure of all participants. |
| One-shot contribution | Amount equals the amount of contribution in the one-shot public good game in tokens |
| Belief | Amount equals the belief about the average amount of the group members’ contributions in first round in tokens |
| Average group members’ contributions previous round | Amount equals the average amount of group members’ contributions in preceding round in tokens |
| Round | Number equals the number of rounds |
| General Characteristics | |
| Age | Number equals the age of the subjects in years |
| Gender | Number equals 1 if the subject is male, otherwise 0 |
| Faculty | Amount equals 1 if subject is studying with the School of Business and Economics, otherwise 0 |
| Participation | Amount equals the number of experiments previously participated in |
| Income | Monthly income of subjects coded in the following way: 1: <250 €; 2: 251–500 €; 3: 501–750 €; 4: 751−1000 €; 5: 1001−1250 €; 6: 1251−1500 €; 7: ≥1500 €; 8: not specified |
| Acquaintance | Amount equals 1 if subject is acquainted with another subject participating, otherwise 0 |
| Friend | Amount equals 1 if subjects are friends with another subject participating, otherwise 0 |
| Personality Traits | |
| Reciprocity | The reciprocity variable is composed of six items, “If someone does me a favor, I am prepared to return it,” “I go out of my way to help somebody who has been kind to me before.”, “I am ready to undergo personal costs to help somebody who helped me before.”, “If I suffer a serious wrong, I will take revenge as soon as possible, no matter what the cost.”, “If somebody puts me in a difficult position, I will do the same to him/her.”, “If somebody offends me, I will offend him/her back.”. We use a one-to-seven-point Likert scale ranging from 0 (“strongly disagree”) to 6 (“strongly agree”). By adding up the underlying variables, the overall reciprocity score ranges from 0 to 36. A higher score shows stronger reciprocity [54]. |
| PosReciprocity | The positive reciprocity variable is composed of three statements, “If someone does me a favor, I am prepared to return it.”, “I go out of my way to help somebody who has been kind to me before.”, “I am ready to undergo personal costs to help somebody who helped me before.” Respondents choose a one-to-seven-point Likert scale ranging from 0 (“strongly disagree”) to 6 (“strongly agree”). By adding up the underlying variables, the overall score for positive reciprocity ranges from 0 to 18. A higher score shows stronger positive reciprocity [54]. |
| NegReciprocity | The negative reciprocity variable is composed of three statements, “If I suffer a serious wrong, I will take revenge as soon as possible, no matter what the cost.”, “If somebody puts me in a difficult position, I will do the same to him/her.”, “If somebody offends me, I will offend him/her back.” Respondents choose a one-to-seven-point Likert scale ranging from 0 (“strongly disagree”) to 6 (“strongly agree”). By adding up the underlying variables, the overall score for negative reciprocity ranges from 0 to 18. A higher score shows stronger negative reciprocity [54]. |
| Altruism | The altruism variable is composed of twenty statements, “I have helped push a stranger’s car that was broken down or out of gas.”, “I have given directions to a stranger.”, “I have made change for a stranger,” “I have given money to a charity.”, “I have given money to a stranger who needed it (or asked me for it).”, “I have donated goods or clothes to a charity.”, “I have done volunteer work for a charity.”, “I have donated blood.”, “I have helped carry a stranger’s belongings (book, parcels, etc.).”, “I have delayed an elevator and held the door open for a stranger.”, “I have allowed someone to go ahead of me in a lineup (in the supermarket, at a copy machine, at a fast-food restaurant).”, “I have given a stranger a lift in my car.”, “I have pointed out a clerk’s error (in a bank, at the supermarket) in undercharging me for an item.”, “I have let a neighbor whom I didn’t know too well borrow an item of some value to me (e.g., a dish, tools, etc.).”, “I have bought ‘charity‘ holiday cards deliberately because I knew it was a good cause.”, “I have helped a classmate who I did not know that well with an assignment when my knowledge was greater than his or hers.”, “I have, before being asked, voluntarily looked after a neighbor’s pets or children without being paid for it.”, “I have offered to help a handicapped or elderly stranger across a street.”, “I have offered my seat on a bus or a train to a stranger who was standing.”, “I have helped an acquaintance to move households.”. Respondents are instructed to rate the frequency with which they have engaged in the altruistic behavior using the categories 1: ‘Never,’ 2: ‘Once,’ 3: ‘More Than Once,’ 4: ‘Often,’ and 5: ‘Very Often.’ By adding up the underlying variables, the overall score of altruism ranges from 20 to 100. A higher score shows a stronger altruistic behavior [55]. |
| Reciprocal Altruist | The reciprocal altruism variable consists of an altruism variable and the positive reciprocity variable Both variables were split at the median level to classify participants as altruists and positive reciprocators. Then, both variables were multiplied by each other to create the reciprocal altruist dummy variable. Participants who are classified as reciprocal altruists are above the median regarding the altruistic as well as the reciprocity variable. Dummy equals 1 if participants are classified as reciprocal altruists, otherwise 0. |
| GSS | The variable for trust behavior consists of questions from the General Social Survey (GSS). It is composed of the following items: “Would you say that most people can be trusted or that you can’t be too careful in dealing with people?” ranging from 1 (“most people can be trusted”), 2 (“can’t be too careful”) and 1.5 (“depends”), “Do you think most people would try to take advantage of you if they got a chance, or would they try to be fair?”, ranging from 1 (“Would take advantage”), 2 (“Would try to be fair”), and 1.5 (“depends”), “Would you say that most of the time people try to be helpful, or that they are mostly just looking out for themselves?” ranging from 1 (“try to be helpful”), 2 (“just look out for themselves”) and 1.5 (“depends”). The sum of underlying variables is calculated by the normalized average of all three items ranging from 0 to 1. A higher score shows stronger trust [56]. |
| Trust | The variable for trustful behavior is composed of the following three statements: “How often do you leave your door unlocked?” ranging from 1 (“very often”), 2 (“often”), 3 (“sometimes”), 4 (“rarely”), and 5 (“never”), “How often do you lend money to your friends?”, “How often do you lend personal possessions to your friends (e.g., CDs, clothes, bicycle, etc.?)” ranging from 1 (“more than once a week”), 2 (“once a week”), 3 (“once a month”), 4 (“once a year or less”). The sum of underlying variables is calculated by the normalized average of all three items ranging from 0 to 1. A higher score shows stronger trustful behavior [57]. |
| Risk | The variable for risk preferences is composed of ten lottery choices: 1. A choice between Option A with a payoff of 10%, 40 € or 90%, 32 € or Option B with a payoff of 10%, 77 € or 90%, 2 €, 2. A choice between Option A with a payoff of 20%, 40 € or 80%, 32 € or Option B with a payoff of 20%, 77 € or 80%, 2 €, 3. A choice between Option A with a payoff of 30%, 40 € or 70%, 32 € or Option B with a payoff of 30%, 77 € or 70%, 2 €, 4. A choice between Option A with a payoff of 40%, 40 € or 60%, 32 € or Option B with a payoff of 40%, 77 € or 60%, 2 €, 5. A choice between Option A with a payoff of 50%, 40 € or 50%, 32 € or Option B with a payoff of 50%, 77 € or 50%, 2 €, 6. A choice between Option A with a payoff of 60%, 40 € or 40%, 32 € or Option B with a payoff of 60%, 77 € or 40%, 2 €, 7. A choice between Option A with a payoff of 70%, 40 € or 30%, 32 € or Option B with a payoff of 70%, 77 € or 30%, 2 €, 8. A choice between Option A with a payoff of 80%, 40 € or 20%, 32 € or Option B with a payoff of 80%, 77 € or 20%, 2 €, 9. A choice between Option A with a payoff of 90%, 40 € or 10%, 32 € or Option B with a payoff of 90%, 77 € or 10%, 2 €, 10. A choice between Option A with a payoff of 100%, 40 € or 0%, 32 € or Option B with a payoff of 100%, 77 € or 0%, 2 €. Subjects were asked to choose between lotteries in the order stated, and subjects were only able to switch their preference once from Option A to Option B, or vice versa. Option A represents the more risk-averse option. The variable is composed of the number of chosen options, ranging from 0 to 10. A higher score shows a stronger risk aversion [58]. |
Appendix E. Median Split of Conditional Cooperators
Table A4.
Median split of conditional cooperators.
Table A4.
Median split of conditional cooperators.
| Base | BaseIdent | ExtDon | ExtDonIdent | IntDon | IntDonIdent | |||||||
|---|---|---|---|---|---|---|---|---|---|---|---|---|
| Conditional Cooperator | No | Yes | No | Yes | No | Yes | No | Yes | No | Yes | No | Yes |
| N | 29 | 27 | 27 | 29 | 27 | 29 | 29 | 27 | 25 | 31 | 31 | 25 |
| Average contribution | 7.99 | 9.40 | 7.89 | 11.32 | 9.64 | 14.37 | 8.70 | 8.42 | 5.42 | 9.79 | 8.64 | 13.27 |
Appendix F. Regression Analysis
Table A5.
Base setting: Tobit regression on individual contribution showing controls.
Table A5.
Base setting: Tobit regression on individual contribution showing controls.
| Variables | Model I | Model II | Model III | Model IV | Model V |
|---|---|---|---|---|---|
| Identity disclosed (1 = yes) | 1.152 | 1.095 | 0.964 | −0.0683 | 0.408 |
| (1.916) | (1.902) | (1.805) | (2.467) | (2.061) | |
| Average of all group members’ contributions (previous round) | 0.0504 (0.0391) | 0.0489 (0.0379) | 0.0468 (0.0379) | 0.0341 (0.0301) | |
| Dummy Conditional Cooperator (1 = yes) | 3.938 *** (1.166) | 2.927 * (1.649) | 2.513 (1.649) | ||
| Identity disclosed × Conditional Cooperator | 2.008 (2.298) | 2.033 (1.813) | |||
| Belief | 0.654 *** | ||||
| (0.119) | |||||
| Age | −0.108 | ||||
| (0.0883) | |||||
| Gender (1 = male) | 0.280 | ||||
| (1.447) | |||||
| Faculty | −1.181 | ||||
| (1.592) | |||||
| Participation | −0.121 | ||||
| (0.105) | |||||
| Income | 0.642 | ||||
| (0.460) | |||||
| Acquaintance (1 = yes) | 0.154 | ||||
| (2.681) | |||||
| Friend (1 = yes) | −2.351 | ||||
| (2.888) | |||||
| PosReciprocity | −0.0639 | ||||
| (0.229) | |||||
| NegReciprocity | −0.295 *** | ||||
| (0.110) | |||||
| Altruism | −0.124 * | ||||
| (0.0635) | |||||
| GSS (1 = trustworthy) | −2.931 | ||||
| (2.965) | |||||
| Trust (1 = distrustful) | −1.496 | ||||
| (3.470) | |||||
| Risk | −0.451 | ||||
| (0.405) | |||||
| Round | −0.842 *** | −0.792 *** | −0.789 *** | −0.790 *** | −0.721 *** |
| (0.145) | (0.176) | (0.173) | (0.172) | (0.151) | |
| Constant | 11.84 *** | 9.924 *** | 8.037 *** | 8.617 *** | 18.07 *** |
| (1.339) | (1.976) | (1.897) | (2.118) | (6.991) | |
| Observations | 1120 | 1008 | 1008 | 1008 | 963 |
| Pseudo R-squared | 0.0109 | 0.0100 | 0.0172 | 0.0176 | 0.0519 |
*** p < 0.01, ** p < 0.05, * p < 0.1; Robust and clustered standard errors of groups in parentheses. Models II-V: First-round observations are omitted, as the averages of the group members’ contributions in the previous round are not available. Model V: Some observations are missing due to participants who did not state their monthly income.
Table A6.
ExtDon setting: Tobit regression on individual contribution showing controls.
Table A6.
ExtDon setting: Tobit regression on individual contribution showing controls.
| VARIABLES | Model I | Model II | Model III | Model IV | Model V |
|---|---|---|---|---|---|
| Identity disclosed (1 = yes) | −4.191 * | −3.319 | −3.272 | −0.700 | 0.0589 |
| (2.317) | (2.272) | (2.249) | (2.897) | (1.580) | |
| Average of all group members’ contributions (previous round) | 0.109 ** (0.0426) | 0.0988 ** (0.0396) | 0.0889 ** (0.0367) | 0.0439 ** (0.0186) | |
| Dummy Conditional Cooperator (1 = yes) | 2.986 ** (1.416) | 5.574 *** (2.160) | 6.156 *** (1.354) | ||
| Identity disclosed × Conditional Cooperator | −5.202 * (2.692) | −6.373 *** (1.962) | |||
| Belief | 0.675 *** | ||||
| (0.110) | |||||
| Age | 0.561 *** | ||||
| (0.135) | |||||
| Gender (1 = male) | 1.025 | ||||
| (1.302) | |||||
| Faculty | −1.423 | ||||
| (1.436) | |||||
| Participation | −0.266 *** | ||||
| (0.0639) | |||||
| Income | −1.123 *** | ||||
| (0.434) | |||||
| Acquaintance (1 = yes) | −2.245 | ||||
| (1.987) | |||||
| Friend (1 = yes) | 2.623 | ||||
| (1.966) | |||||
| PosReciprocity | −0.117 | ||||
| (0.225) | |||||
| NegReciprocity | −0.283 * | ||||
| (0.159) | |||||
| Altruism | −0.0595 | ||||
| (0.0436) | |||||
| GSS (1 = trustworthy) | −4.511 ** | ||||
| (1.890) | |||||
| Trust (1 = distrustful) | −2.298 | ||||
| (2.192) | |||||
| Risk | −0.317 | ||||
| (0.437) | |||||
| Round | −0.705 *** | −0.736 *** | −0.741 *** | −0.745 *** | −0.767 *** |
| (0.127) | (0.139) | (0.138) | (0.138) | (0.136) | |
| Constant | 15.16 *** | 11.22 *** | 10.09 *** | 9.129 *** | 6.314 |
| (1.730) | (2.871) | (3.057) | (3.198) | (6.786) | |
| Observations | 1120 | 1008 | 1008 | 1008 | 981 |
| Pseudo R-squared | 0.0145 | 0.0211 | 0.0252 | 0.0283 | 0.0769 |
*** p < 0.01, ** p < 0.05, * p < 0.1; Robust and clustered standard errors of groups in parentheses. Models II-V: First-round observations are omitted, as the averages of the group members’ contributions in the previous round are not available. Model V: Some observations are missing due to participants who did not state their monthly income.
Table A7.
IntDon setting: Tobit regression on individual contribution showing controls.
Table A7.
IntDon setting: Tobit regression on individual contribution showing controls.
| Variables | Model I | Model II | Model III | Model IV | Model V |
|---|---|---|---|---|---|
| Identity disclosed (1 = yes) | 3.051 (2.647) | 2.715 (2.556) | 3.432 (2.307) | 3.855 (2.722) | −0.00773 (2.409) |
| Average of all group members’ contributions (previous round) | 0.122 *** (0.0319) | 0.122 *** (0.0259) | 0.123 *** (0.0254) | 0.120 *** (0.0217) | |
| Dummy Conditional Cooperator (1 = yes) | 6.346 *** (1.087) | 6.762 *** (1.346) | 3.200 ** (1.305) | ||
| Identity disclosed × Conditional Cooperator | −0.816 (2.135) | 2.276 (2.099) | |||
| Belief | 0.430 *** | ||||
| (0.125) | |||||
| Age | 0.264 | ||||
| (0.176) | |||||
| Gender (1 = male) | 0.856 | ||||
| (1.837) | |||||
| Faculty | −1.086 | ||||
| (1.777) | |||||
| Participation | −0.188 ** | ||||
| (0.0940) | |||||
| Income | −0.912 | ||||
| (0.668) | |||||
| Acquaintance (1 = yes) | 1.017 | ||||
| (2.307) | |||||
| Friend (1 = yes) | −0.274 | ||||
| (2.921) | |||||
| PosReciprocity | −0.0104 | ||||
| (0.206) | |||||
| NegReciprocity | −0.107 | ||||
| (0.209) | |||||
| Altruism | 0.0315 | ||||
| (0.0540) | |||||
| GSS (1 = trustworthy) | −6.517 ** | ||||
| (3.100) | |||||
| Trust (1 = distrustful) | −3.127 | ||||
| (3.695) | |||||
| Risk | −0.308 | ||||
| (0.341) | |||||
| Round | −0.874 *** | −0.809 *** | −0.800 *** | −0.799 *** | −0.796 *** |
| (0.149) | (0.158) | (0.157) | (0.157) | (0.158) | |
| Constant | 10.82 *** | 6.702 *** | 3.120 | 2.842 | 3.098 |
| (1.683) | (2.235) | (2.184) | (2.296) | (6.321) | |
| Observations | 1120 | 1008 | 1008 | 1008 | 954 |
| Pseudo R-squared | 0.0125 | 0.0184 | 0.0347 | 0.0348 | 0.0654 |
*** p < 0.01, ** p < 0.05, * p < 0.1; Robust and clustered standard errors of groups in parentheses. Models II-V: First-round observations are omitted, as the averages of the group members’ contributions in the previous round are not available. Model V: Some observations are missing due to participants who did not state their monthly income.
Table A8.
Tobit regression on individual contribution by treatment showing controls.
Table A8.
Tobit regression on individual contribution by treatment showing controls.
| Variables | Base | BaseIdent | ExtDon | ExtDon Ident | IntDon | IntDon Ident |
|---|---|---|---|---|---|---|
| Average of all group members’ contributions (previous round) | −0.0218 (0.0332) | 0.0502 (0.0377) | 0.0527 *** (0.0185) | 0.0327 (0.0281) | 0.0497 * (0.0275) | 0.140 *** (0.0367) |
| Dummy Conditional Cooperator (1 = yes) | 2.593 * (1.533) | 4.884 *** (1.485) | 5.466 *** (1.364) | −0.0301 (1.387) | 3.662 *** (1.069) | 6.581 *** (1.869) |
| Belief | 0.894 *** | 0.395 * | 0.490 *** | 0.870 *** | 0.532 *** | 0.498 *** |
| (0.121) | (0.221) | (0.150) | (0.157) | (0.125) | (0.186) | |
| Age | −0.133 | −0.198 | 0.237 | 0.667 *** | 0.323 | 0.343 * |
| (0.0869) | (0.371) | (0.164) | (0.254) | (0.326) | (0.184) | |
| Gender (1 = male) | 1.437 | 0.0141 | 3.426 ** | 1.327 | 1.028 | −0.841 |
| (1.741) | (1.473) | (1.482) | (1.574) | (1.690) | (2.572) | |
| Faculty | 1.284 | −1.684 | −3.102 * | −2.242 | −2.454 | −2.022 |
| (2.231) | (2.768) | (1.784) | (1.852) | (2.018) | (2.847) | |
| Participation | −0.159 | 0.0308 | −0.242 *** | −0.338 *** | −0.167 | 0.00855 |
| (0.123) | (0.158) | (0.0667) | (0.0793) | (0.126) | (0.179) | |
| Income | 0.999 ** | 0.166 | −0.0288 | −2.075 *** | −0.996 | −1.799 |
| (0.478) | (0.563) | (0.542) | (0.547) | (0.721) | (1.097) | |
| Acquaintance (1 = yes) | 2.938 | −3.060 | 0.485 | −3.003 | −4.029 | −0.895 |
| (2.796) | (2.241) | (4.231) | (2.503) | (2.452) | (3.084) | |
| Friend (1 = yes) | −1.713 | 0.551 | 3.506 | 8.331 ** | 1.555 | |
| (3.748) | (4.576) | (2.758) | (3.438) | (3.596) | ||
| PosReciprocity | −0.0692 | 0.336 | 0.00187 | −0.725 * | 0.0338 | −0.0557 |
| (0.266) | (0.396) | (0.176) | (0.436) | (0.327) | (0.315) | |
| NegReciprocity | −0.308 * | −0.0541 | −0.690 *** | 0.0510 | 0.360 ** | −0.555 |
| (0.172) | (0.250) | (0.258) | (0.173) | (0.168) | (0.411) | |
| Altruism | −0.0639 | −0.0199 | −0.0616 | −0.0350 | −0.000464 | 0.0149 |
| (0.117) | (0.0804) | (0.0763) | (0.0526) | (0.0942) | (0.0877) | |
| GSS (1 = trustworthy) | −4.444 | −4.464 | −2.783 | −10.05 *** | −3.786 | −6.381 |
| (3.122) | (4.182) | (2.643) | (2.238) | (4.131) | (4.811) | |
| Trust (1 = distrustful) | −5.000 | 6.406 | −0.252 | −5.092 | 0.340 | −6.121 |
| (5.117) | (3.895) | (2.253) | (3.167) | (4.012) | (5.604) | |
| Risk | 0.368 | −1.320 ** | 0.193 | −0.493 | 0.603 | −0.943 ** |
| (0.381) | (0.584) | (0.765) | (0.320) | (0.668) | (0.387) | |
| Round | −0.654 *** | −0.409 | −0.453 * | −0.681 *** | −1.067 *** | −0.218 |
| (0.233) | (0.271) | (0.272) | (0.144) | (0.246) | (0.137) | |
| Constant | 9.544 | 8.910 | 6.413 | 16.80 ** | −5.550 | 7.225 |
| (9.562) | (10.17) | (8.142) | (8.302) | (11.23) | (10.29) | |
| Observations | 408 | 448 | 424 | 448 | 400 | 448 |
| Pseudo R-squared | 0.0834 | 0.0554 | 0.0756 | 0.0942 | 0.0735 | 0.0845 |
*** p < 0.01, ** p < 0.05, * p < 0.1; Robust and clustered standard errors of groups in parentheses.
References
- Fox, J.; Guyer, M. “Public” choice and cooperation in n-person prisoner’s dilemma. J. Confl. Resolut. 1978, 22, 469–481. [Google Scholar] [CrossRef]
- Hoffman, E.; McCabe, K.L.; Smith, V. Social distance and other-regarding behavior in dictator games. Am. Econ. Rev. 1996, 86, 653–660. [Google Scholar]
- Bohnet, I.; Frey, B.S. The sound of silence in prisoner’s dilemma and dictator games. In Economics as a Science of Human Behaviour; Frey, B.S., Ed.; Springer: Boston, MA, USA, 1999; pp. 177–194. [Google Scholar] [CrossRef]
- Burnham, T.C. Engineering altruism: A theoretical and experimental investigation of anonymity and gift giving. J. Econ. Behav. Organ. 2003, 50, 133–144. [Google Scholar] [CrossRef]
- Charness, G.; Gneezy, U. What’s in a name?: Anonymity and social distance in dictator and ultimatum games. J. Econ. Behav. Organ. 2008, 68, 29–35. [Google Scholar] [CrossRef]
- Butz, B.; Harbring, C. Donations as an incentive for cooperation in public good games. J. Behav. Exp. Econ. 2020, 85, 101510. [Google Scholar] [CrossRef]
- Gächter, S.; Fehr, E. Collective action as a social exchange. J. Econ. Behav. Organ. 1999, 39, 341–369. [Google Scholar] [CrossRef]
- Andreoni, J.; Petrie, R. Public goods experiments without confidentiality. A glimpse into fund-raising. J. Public Econ. 2004, 88, 1605–1623. [Google Scholar] [CrossRef]
- Rege, M.; Telle, K. The impact of social approval and framing on cooperation in public good situations. J. Public Econ. 2004, 88, 1625–1644. [Google Scholar] [CrossRef]
- Noussair, C.; Tucker, S. Public observability of decisions and voluntary contributions in a multiperiod context. Public Financ. Rev. 2016, 35, 176–198. [Google Scholar] [CrossRef]
- Harbaugh, W.T. The prestige motive for making charitable transfers. Am. Econ. Rev. 1998, 88, 277–282. [Google Scholar]
- Harbaugh, W.T. What do donations buy? A model of philanthropy based on prestige and warm glow. J. Public Econ. 1998, 67, 269–284. [Google Scholar] [CrossRef]
- Soetevent, A.R. Anonymity in giving in a natural context—A field experiment in 30 churches. J. Public Econ. 2005, 89, 2301–2323. [Google Scholar] [CrossRef]
- Alpizar, F.; Carlsson, F.; Johansson-Stenman, O. Anonymity, reciprocity, and conformity: Evidence from voluntary contributions to a national park in Costa Rica. J. Public Econ. 2008, 92, 1047–1060. [Google Scholar] [CrossRef]
- Ariely, D.; Bracha, A.; Meier, S. Doing good or doing well?. Image motivation and monetary incentives in behaving prosocially. Am. Econ. Rev. 2009, 99, 544–555. [Google Scholar] [CrossRef]
- Reyniers, D.; Bhalla, R. Reluctant altruism and peer pressure in charitable giving. Judgm. Decis. Mak. 2013, 8, 7–15. [Google Scholar]
- Smith, S.; Windmeijer, F.; Wright, E. Peer effects in charitable giving: Evidence from the (running) field. Econ. J. 2015, 125, 1053–1071. [Google Scholar] [CrossRef]
- Cassar, L.; Meier, S. Intentions for Doing Good Matter for Doing Well: The Negative Effects of Prosocial Incentives. Econ. J. 2020. [Google Scholar] [CrossRef]
- Fischbacher, U.; Gächter, S.; Fehr, E. Are people conditionally cooperative?: Evidence from a public goods experiment. Econ. Lett. 2001, 71, 397–404. [Google Scholar] [CrossRef]
- Gneezy, U.; Rustichini, A. Pay enough or don’t pay at all. Q. J. Econ. 2000, 115, 791–810. [Google Scholar] [CrossRef]
- Gneezy, A.; Imas, A.; Brown, A.; Nelson, L.D.; Norton, M.I. Paying to be nice: Consistency and costly prosocial behavior. Manag. Sci. 2012, 58, 179–187. [Google Scholar] [CrossRef]
- Tonin, M.; Vlassopoulos, M. Corporate philanthropy and productivity: Evidence from an online real effort experiment. Manag. Sci. 2014, 61, 1795–1811. [Google Scholar] [CrossRef]
- Reggiani, T.G.; Rilke, R.M. When Too Good Is Too Much: Social Incentives and Job Selection. Working Paper: IZA n. 12095. 2020. Available online: https://ssrn.com/abstract=3525233 (accessed on 7 April 2021).
- Margolis, J.D.; Elfenbein, H.A.; Walsh, J.P. Does it pay to be good? A meta-analysis and redirection of research on the relationship between corporate social and financial performance. Ann Arbor 2009, 1001. [Google Scholar]
- Charness, G.; Cobo-Reyes, R.; Sánchez, Á. The effect of charitable giving on workers’ performance: Experimental evidence. J. Econ. Behav. Organ. 2016, 131, 61–74. [Google Scholar] [CrossRef]
- Vishwanathan, P.; van Oosterhout, H.; Heugens, P.P.; Duran, P.; Van Essen, M. Strategic CSR: A concept building meta-analysis. J. Manag. Stud. 2019, 57, 314–350. [Google Scholar] [CrossRef]
- Dufwenberg, M.; Muren, A. Generosity, anonymity, gender. J. Econ. Behav. Organ. 2006, 61, 42–49. [Google Scholar] [CrossRef]
- Laury, S.K.; Walker, J.M.; Williams, A.W. Anonymity and the voluntary provision of public goods. J. Econ. Behav. Organ. 1995, 27, 365–380. [Google Scholar] [CrossRef]
- Brosig, J.; Weimann, J.; Ockenfels, A. The effect of communication media on cooperation. Ger. Econ. Rev. 2003, 4, 217–241. [Google Scholar] [CrossRef]
- Mittone, L.; Ploner, M. Peer pressure, social spillovers, and reciprocity: An experimental analysis. Exp. Econ. 2011, 14, 203–222. [Google Scholar] [CrossRef]
- Vesterlund, L. Why do people give? In The Nonprofit Sector: A Research Handbook, 2nd ed.; Yale University Press: London, UK, 2006; pp. 168–190. [Google Scholar]
- Olson, M. The logic of collective action: Public goods and the theory of groups. In Harvard Economic Studies; Harvard University Press: Cambridge, MA, USA, 1968. [Google Scholar] [CrossRef]
- Gächter, S.; Fehr, E.; Kment, C. Does social exchange increase voluntary cooperation? Kyklos 1996, 49, 541–554. [Google Scholar] [CrossRef]
- Isaac, R.M.; Walker, J.M. Nash as an organizing principle in the voluntary provision of public goods: Experimental evidence. Exp. Econ. 1998, 1, 191–206. [Google Scholar] [CrossRef]
- Andreoni, J. Privately provided public goods in a large economy: The limits of altruism. J. Public Econ. 1988, 35, 57–73. [Google Scholar] [CrossRef]
- Andreoni, J. Warm-glow versus cold-prickle. The effects of positive and negative framing on cooperation in experiments. Q. J. Econ. 1995, 110, 1–21. [Google Scholar] [CrossRef]
- Crumpler, H.; Grossman, P.J. An experimental test of warm glow giving. J. Public Econ. 2008, 92, 1011–1021. [Google Scholar] [CrossRef]
- Fischbacher, U. z-Tree: Zurich toolbox for ready-made economic experiments. Exp. Econ. 2007, 10, 171–178. [Google Scholar] [CrossRef]
- Greiner, B. Subject pool recruitment procedures: Organizing experiments with ORSEE. J. Econ. Sci. Assoc. 2015, 1, 114–125. [Google Scholar] [CrossRef]
- Koppel, H.; Regner, T. Corporate social responsibility in the work place. Exp. Econ. 2014, 17, 347–370. [Google Scholar] [CrossRef]
- Unicef. Unicef: Kinderhilfswerk der Vereinten Nationen. Available online: https://www.unicef.de/informieren/ueber-uns/unicef-international (accessed on 2 March 2020).
- Kinderschutzbund, D. Unser Verband: Groß und Stark. Available online: https://www.dksb.de/de/unsere-arbeit/schwerpunkte/ (accessed on 2 March 2020).
- Deutschland, T. Die Tafel: Lebensmittel Retten. Menschen Helfen. Available online: https://www.tafel.de/ (accessed on 2 March 2020).
- WWF. WWF Pressebilder Organisation. Available online: http://www.wwf.de/pressebilder/wwf-pressebilder-organisation/ (accessed on 2 March 2020).
- UNO-Flüchtlingshilfe. Leben Retten—Rechte Schützen. Available online: https://www.uno-fluechtlingshilfe.de/ueber-uns/verein.html (accessed on 2 March 2020).
- Tonin, M.; Vlassopoulos, M. An experimental investigation of intrinsic motivations for giving. Theory Decis. 2014, 76, 47–67. [Google Scholar] [CrossRef]
- Regner, T.; Koppel, H. What drives motivated agents? The ‘right’ mission or sharing it with the principal. J. Behav. Exp. Econ. 2019, 83, 101463. [Google Scholar]
- Gächter, S.; Renner, E. The effects of (incentivized) belief elicitation in public goods experiments. Exp. Econ. 2010, 13, 364–377. [Google Scholar] [CrossRef]
- Medda, T.; Pelligra, V.; Reggiani, T. Lab-Sophistication: Does Repeated Participation in Laboratory Experiments Affect Pro-Social Behaviour? Games 2021, 12, 18. [Google Scholar] [CrossRef]
- Bem, D.J. Self-perception theory. Adv. Exp. Soc. Psychol. 1972, 6, 1–62. [Google Scholar] [CrossRef]
- Goethals, G.R.; Reckman, R.F. The perception of consistency in attitudes. J. Exp. Soc. Psychol. 1973, 9, 491–501. [Google Scholar] [CrossRef]
- Bénabou, R.; Tirole, J. Willpower and personal rules. J. Polit. Econ. 2004, 112, 848–886. [Google Scholar] [CrossRef]
- Keser, C.; van Winden, F. Conditional cooperation and voluntary contributions to public goods. Scand. J. Econ. 2000, 102, 23–39. [Google Scholar] [CrossRef]
- Cornelissen, T.; Heywood, J.S.; Jirjahn, U. Profit sharing and reciprocity. Theory and survey evidence. SSRN Electron. J. 2010, 1–32. [Google Scholar] [CrossRef]
- Rushton, P.J.; Chrisjohn, R.D.; Fekken, C.G. The altruistic personality and the self-report altruism scale. Personal. Individ. Differ. 1981, 2, 293–302. [Google Scholar] [CrossRef]
- Gächter, S.; Herrmann, B.; Thöni, C. Trust, voluntary cooperation, and socio-economic background. Survey and experimental evidence. J. Econ. Behav. Organ. 2004, 55, 505–531. [Google Scholar] [CrossRef]
- Glaeser, E.L.; Laibson, D.I.; Scheinkman, J.A.; Soutter, C.L. Measuring trust. Q. J. Econ. 2000, 115, 811–846. [Google Scholar] [CrossRef]
- Masclet, D.; Colombier, N.; Denant-Boemont, L.; Lohéac, Y. Group and individual risk preferences. A lottery-choice experiment with self-employed and salaried workers. J. Econ. Behav. Organ. 2009, 70, 470–484. [Google Scholar] [CrossRef]
- Grund, C.; Harbring, C.; Thommes, K. Public good provision in blended groups of partners and strangers. Econ. Lett. 2015, 134, 41–44. [Google Scholar] [CrossRef]
Publisher’s Note: MDPI stays neutral with regard to jurisdictional claims in published maps and institutional affiliations. |
© 2021 by the authors. Licensee MDPI, Basel, Switzerland. This article is an open access article distributed under the terms and conditions of the Creative Commons Attribution (CC BY) license (https://creativecommons.org/licenses/by/4.0/).



