Independent Relevance of Estrogen Receptor and Progesterone Receptor Statuses in DCIS on Risk of Subsequent Ipsilateral and Contralateral Invasive Breast Events in Absence of Endocrine Therapy
Simple Summary
Abstract
1. Introduction
2. Methods
2.1. Ethical Considerations
2.2. Patient Selection
2.3. Analysis
3. Results
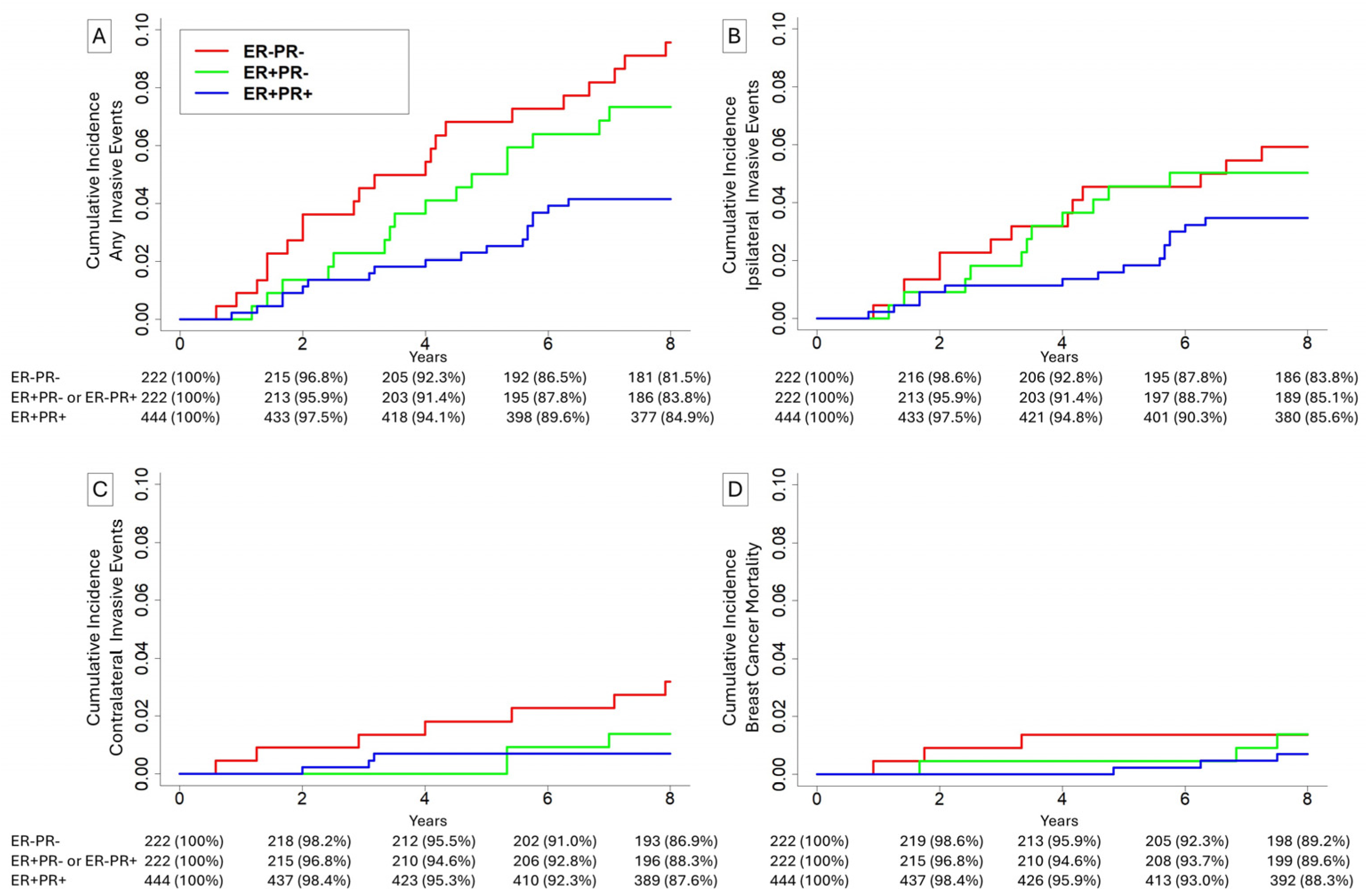
3.1. Unmatched Breast-Conserving Surgery Without Radiation Therapy Cohort
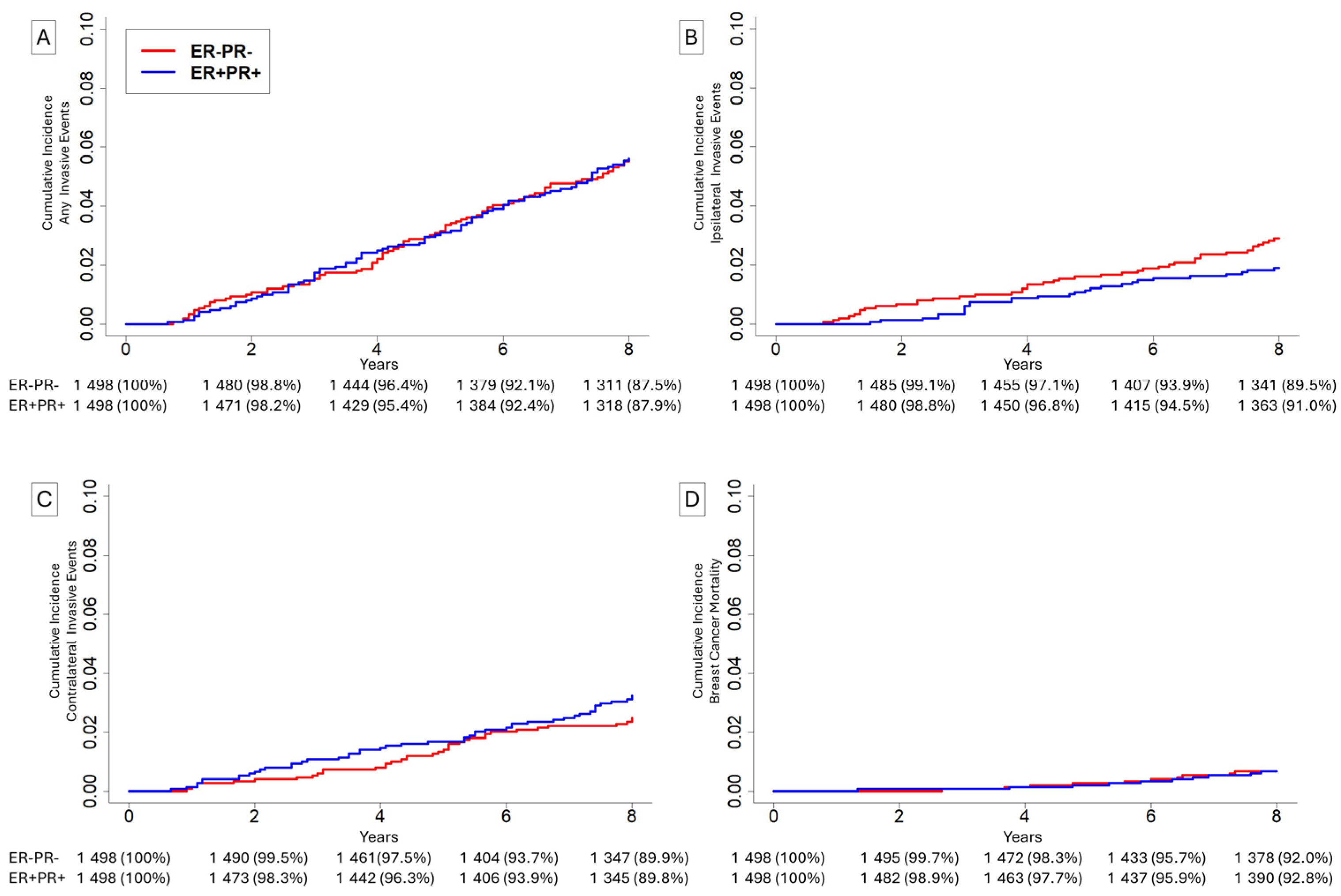
3.2. Matched Breast-Conserving Surgery Without Radiation Therapy Cohort
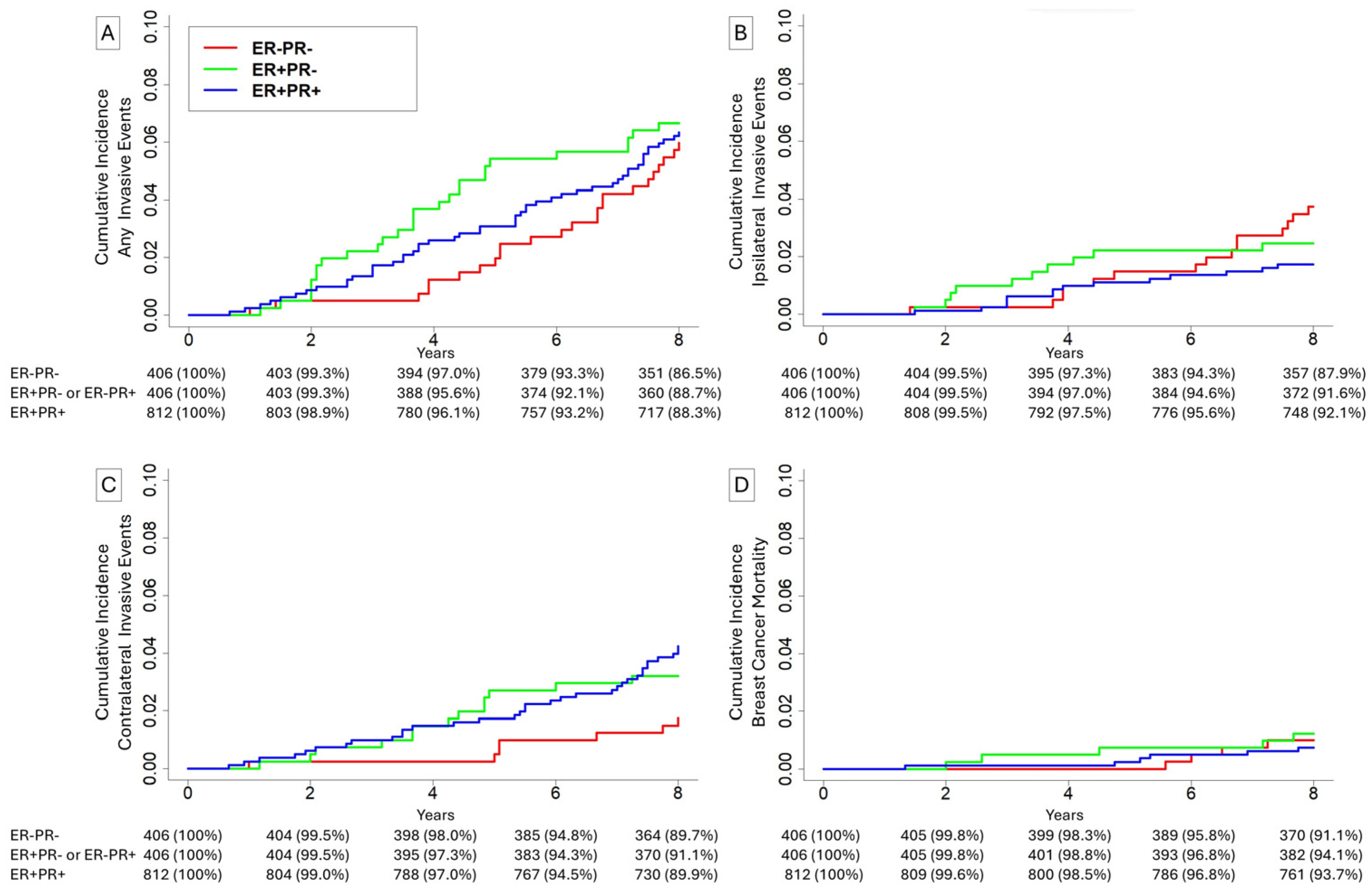
3.3. Unmatched Breast-Conserving Surgery with Radiation Therapy Cohort
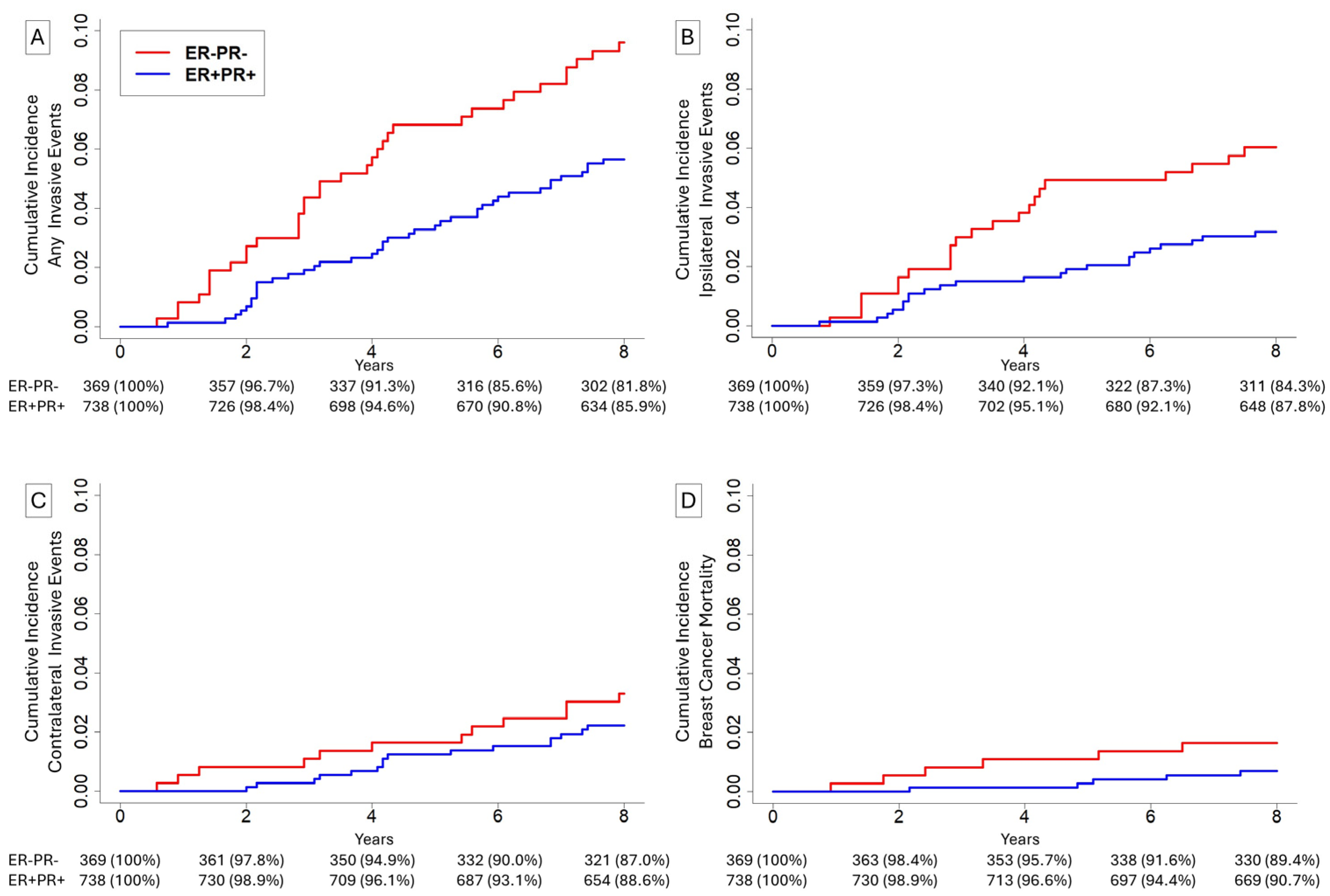
3.4. Matched Breast-Conserving Surgery with Radiation Therapy Cohort
3.5. Matched ER+PR- Breast-Conserving Surgery Without Radiation Therapy Cohort
3.6. Matched ER+PR- Breast-Conserving Surgery with Radiation Therapy Cohort
4. Discussion
5. Conclusions
Author Contributions
Funding
Institutional Review Board Statement
Informed Consent Statement
Data Availability Statement
Conflicts of Interest
References
- Lagios, M.D.; Westdahl, P.R.; Margolin, F.R.; Rose, M.R. Duct carcinoma in situ. Relationship of extent of noninvasive disease to the frequency of occult invasion, multicentricity, lymph node metastases, and short-term treatment failures. Cancer 1982, 50, 1309–1314. [Google Scholar] [CrossRef]
- Rosen, P.P.; Braun, D.W., Jr.; Kinne, D.E. The clinical significance of pre-invasive breast carcinoma. Cancer 1980, 46, 919–925. [Google Scholar] [CrossRef]
- Ernster, V.L.; Barclay, J. Increases in Ductal Carcinoma In Situ (DCIS) of the Breast in Relation to Mammography: A Dilemma. JNCI Monogr. 1997, 1997, 151–156. [Google Scholar] [CrossRef] [PubMed]
- Correa, C.; McGale, P.; Taylor, C.; Wang, Y.; Clarke, M.; Davies, C.; Peto, R.; Bijker, N.; Solin, L.; Darby, S. Overview of the randomized trials of radiotherapy in ductal carcinoma in situ of the breast. J. Natl. Cancer Inst. Monogr. 2010, 2010, 162–177. [Google Scholar] [CrossRef] [PubMed]
- Wärnberg, F.; Garmo, H.; Emdin, S.; Hedberg, V.; Adwall, L.; Sandelin, K.; Ringberg, A.; Karlsson, P.; Arnesson, L.-G.; Anderson, H.; et al. Effect of radiotherapy after breast-conserving surgery for ductal carcinoma in situ: 20 years follow-up in the randomized SweDCIS Trial. J. Clin. Oncol. Off. J. Am. Soc. Clin. Oncol. 2014, 32, 3613–3618. [Google Scholar] [CrossRef]
- Donker, M.; Litière, S.; Werutsky, G.; Julien, J.-P.; Fentiman, I.S.; Agresti, R.; Rouanet, P.; de Lara, C.T.; Bartelink, H.; Duez, N.; et al. Breast-conserving treatment with or without radiotherapy in ductal carcinoma In Situ: 15-year recurrence rates and outcome after a recurrence, from the EORTC 10853 randomized phase III trial. J. Clin. Oncol. Off. J. Am. Soc. Clin. Oncol. 2013, 31, 4054–4059. [Google Scholar] [CrossRef]
- Fisher, B.; Dignam, J.; Wolmark, N.; Mamounas, E.; Costantino, J.; Poller, W.; Fisher, E.R.; Wickerham, D.L.; Deutsch, M.; Margolese, R.; et al. Lumpectomy and radiation therapy for the treatment of intraductal breast cancer: Findings from National Surgical Adjuvant Breast and Bowel Project B-17. J. Clin. Oncol. Off. J. Am. Soc. Clin. Oncol. 1998, 16, 441–452. [Google Scholar] [CrossRef]
- Cuzick, J.; Sestak, I.; Pinder, S.E.; Ellis, I.O.; Forsyth, S.; Bundred, N.J.; Forbes, J.F.; Bishop, H.; Fentiman, I.S.; George, W.D. Effect of tamoxifen and radiotherapy in women with locally excised ductal carcinoma in situ: Long-term results from the UK/ANZ DCIS trial. Lancet Oncol. 2011, 12, 21–29. [Google Scholar] [CrossRef]
- Wapnir, I.L.; Dignam, J.J.; Fisher, B.; Mamounas, E.P.; Anderson, S.J.; Julian, T.B.; Land, S.R.; Margolese, R.G.; Swain, S.M.; Costantino, J.P.; et al. Long-term outcomes of invasive ipsilateral breast tumor recurrences after lumpectomy in NSABP B-17 and B-24 randomized clinical trials for DCIS. J. Natl. Cancer Inst. 2011, 103, 478–488. [Google Scholar] [CrossRef] [PubMed]
- Allred, D.C.; Anderson, S.J.; Paik, S.; Wickerham, D.L.; Nagtegaal, I.D.; Swain, S.M.; Mamounas, E.P.; Julian, T.B.; Geyer, C.E.; Costantino, J.P.; et al. Adjuvant Tamoxifen Reduces Subsequent Breast Cancer in Women with Estrogen Receptor–Positive Ductal Carcinoma in Situ: A Study Based on NSABP Protocol B-24. J. Clin. Oncol. 2012, 30, 1268–1273. [Google Scholar] [CrossRef]
- Thorat, M.A.; Levey, P.M.; Jones, J.L.; Pinder, S.E.; Bundred, N.J.; Fentiman, I.S.; Cuzick, J. Prognostic Value of ER and PgR Expression and the Impact of Multi-clonal Expression for Recurrence in Ductal Carcinoma in situ: Results from the UK/ANZ DCIS Trial. Clin. Cancer Res. 2021, 27, 2861–2867. [Google Scholar] [CrossRef] [PubMed]
- McCormick, B.; Winter, K.A.; Woodward, W.; Kuerer, H.M.; Sneige, N.; Rakovitch, E.; Smith, B.L.; Germain, I.; Hartford, A.C.; O’Rourke, M.A.; et al. Randomized Phase III Trial Evaluating Radiation Following Surgical Excision for Good-Risk Ductal Carcinoma In Situ: Long-Term Report From NRG Oncology/RTOG 9804. J. Clin. Oncol. Off. J. Am. Soc. Clin. Oncol. 2021, 39, 3574–3582. [Google Scholar] [CrossRef] [PubMed]
- National Comprehensive Cancer Network. NCCN Clinical Practice Guidelines in Oncology: Breast Cancer; Version 6.2024; NCCN: Plymouth Meeting, PA, USA, 2024. [Google Scholar]
- Solin, L.J.; Gray, R.; Hughes, L.L.; Wood, W.C.; Lowen, M.A.; Badve, S.S.; Baehner, F.L.; Ingle, J.N.; Perez, E.A.; Recht, A.; et al. Surgical Excision Without Radiation for Ductal Carcinoma in Situ of the Breast: 12-Year Results from the ECOG-ACRIN E5194 Study. J. Clin. Oncol. Off. J. Am. Soc. Clin. Oncol. 2015, 33, 3938–3944. [Google Scholar] [CrossRef]
- Hashiba, K.A.; Bahl, M. Ipsilateral tumor recurrence risk in women with ductal carcinoma in situ: Application of the Van Nuys Prognostic Index and the Memorial Sloan Kettering Cancer Center nomogram. Breast Cancer Res. Treat. 2023, 202, 185–190. [Google Scholar] [CrossRef]
- Kunkiel, M.; Niwińska, A. Assessment of the usefulness of prognostic Van Nuys Prognostic Index in the treatment in ductal carcinoma in situ in 15-year observation. Sci. Rep. 2021, 11, 22645. [Google Scholar] [CrossRef]
- Solin, L.J.; Gray, R.; Baehner, F.L.; Butler, S.M.; Hughes, L.L.; Yoshizawa, C.; Cherbavaz, D.B.; Shak, S.; Page, D.L.; Sledge, G.W.J.; et al. A multigene expression assay to predict local recurrence risk for ductal carcinoma in situ of the breast. J. Natl. Cancer Inst. 2013, 105, 701–710. [Google Scholar] [CrossRef]
- Weinmann, S.; Leo, M.C.; Francisco, M.; Jenkins, C.L.; Barry, T.; Leesman, G.; Linke, S.P.; Whitworth, P.W.; Patel, R.; Pellicane, J.; et al. Validation of a Ductal Carcinoma In Situ Biomarker Profile for Risk of Recurrence after Breast-Conserving Surgery with and without Radiotherapy. Clin. Cancer Res. 2020, 26, 4054–4063. [Google Scholar] [CrossRef]
- Rakovitch, E.; Nofech-Mozes, S.; Hanna, W.; Baehner, F.L.; Saskin, R.; Butler, S.M.; Tuck, A.; Sengupta, S.; Elavathil, L.; Jani, P.A.; et al. A population-based validation study of the DCIS Score predicting recurrence risk in individuals treated by breast-conserving surgery alone. Breast Cancer Res. Treat. 2015, 152, 389–398. [Google Scholar] [CrossRef]
- Van Zee, K.J.; Zabor, E.C.; Di Donato, R.; Harmon, B.; Fox, J.; Morrow, M.; Cody, H.S., 3rd; Fineberg, S.A. Comparison of Local Recurrence Risk Estimates After Breast-Conserving Surgery for DCIS: DCIS Nomogram Versus Refined Oncotype DX Breast DCIS Score. Ann. Surg. Oncol. 2019, 26, 3282–3288. [Google Scholar] [CrossRef]
- Vicini, F.; Shah, C.; Mittal, K.; Weinmann, S.; Leo, M.; Mann, G.B.; Warnberg, F.; Rabinovitch, R.; Czerniecki, B.; Meattini, I.; et al. Limitations in the Application of Clinicopathologic Factors Alone in Predicting Radiation Benefit for Women with Low-Risk Ductal Carcinoma In Situ After Breast Conserving Surgery: The Impact of a 7-Gene Biosignature Based on 10-Year Ipsilateral Breast Recurrence Rates. Int. J. Radiat. Oncol. Biol. Phys. 2025, 123, 1090–1101. [Google Scholar] [CrossRef] [PubMed]
- Wärnberg, F.; Karlsson, P.; Holmberg, E.; Sandelin, K.; Whitworth, P.W.; Savala, J.; Barry, T.; Leesman, G.; Linke, S.P.; Shivers, S.C.; et al. Prognostic Risk Assessment and Prediction of Radiotherapy Benefit for Women with Ductal Carcinoma In Situ (DCIS) of the Breast, in a Randomized Clinical Trial (SweDCIS). Cancers 2021, 13, 6103. [Google Scholar] [CrossRef]
- O’Keefe, T.J.; Wallace, A.M. Surveillance, Epidemiology, and End Results program underestimates breast cancer-specific mortality after ductal carcinoma in situ diagnosis. Breast Cancer Res. Treat. 2020, 182, 761–762. [Google Scholar] [CrossRef]
- Williams, K.E.; Barnes, N.L.P.; Cramer, A.; Johnson, R.; Cheema, K.; Morris, J.; Howe, M.; Bundred, N.J. Molecular phenotypes of DCIS predict overall and invasive recurrence. Ann. Oncol. Off. J. Eur. Soc. Med. Oncol. 2015, 26, 1019–1025. [Google Scholar] [CrossRef] [PubMed]
- O’Keefe, T.J.; Blair, S.L.; Hosseini, A.; Harismendy, O.; Wallace, A.M. HER2-Overexpressing Ductal Carcinoma In Situ Associated with Increased Risk of Ipsilateral Invasive Recurrence, Receptor Discordance with Recurrence. Cancer Prev. Res. 2020, 13, 761–772. [Google Scholar] [CrossRef]
- Silverstein, M.J.; Savalia, N.; Khan, S.; Ryan, J. Extreme oncoplasty: Breast conservation for patients who need mastectomy. Breast J. 2015, 21, 52–59. [Google Scholar] [CrossRef] [PubMed]
- da Costa Vieira, R.A.; Paulinelli, R.R.; de Oliveira-Junior, I. Extreme oncoplasty: Past, present and future. Front. Oncol. 2023, 13, 1215284. [Google Scholar] [CrossRef]
- O’Keefe, T.J.; Harismendy, O.; Wallace, A.M. Large and diffuse ductal carcinoma in situ: Potentially lethal subtypes of “preinvasive” disease. Int. J. Clin. Oncol. 2022, 27, 121–130. [Google Scholar] [CrossRef] [PubMed]
- Fauveau, L.R.; Dao, T.N.; Wallace, L.B.; Mamawala, M.K.; Obaid, A.; Waddimba, A.C.; Grant, M.D. Positive surgical margins after breast-conserving surgery for ductal carcinoma in-situ: Does histologic grade or estrogen receptor status matter? Breast Cancer Res. Treat. 2023, 199, 215–220. [Google Scholar] [CrossRef]
- O’Keefe, T.J.; Yau, C.; Iaconetti, E.; Jeong, E.; Brabham, C.; Kim, P.; McGuire, J.; Griffin, A.; Wallace, A.M.; Esserman, L.J.; et al. Insights from a multi-institutional registry show duration of endocrine treatment for DCIS impacts second events. npj Breast Cancer 2025, 11, 63. [Google Scholar] [CrossRef]
- Gray, R.J. A class of K-sample tests for comparing the cumulative incidence of a competing risk. Ann. Stat. 1988, 16, 1141–1154. [Google Scholar] [CrossRef]
- Therneau, T.; Crowson, C.; Clinic, M. Using Time Dependent Covariates and Time Dependent Coefficients in the Cox Model. 2014. Available online: https://stat.ethz.ch/R-manual/R-patched/library/survival/doc/timedep.pdf (accessed on 23 February 2026).
- Therneau, T.M.; Grambsch, P.M. Modeling Survival Data: Extending the Cox Model; Springer: New York, NY, USA, 2013. [Google Scholar]
- Wickham, H.; Averick, M.; Bryan, J.; Chang, W.; McGowan, L.; François, R.; Grolemund, G.; Hayes, A.; Henry, L.; Hester, J.; et al. Welcome to the Tidyverse. J. Open Source Softw. 2019, 4, 1686. [Google Scholar] [CrossRef]
- Hansen, B.; Klopfer, S. Optimal Full Matching and Related Designs Via Network Flows. J. Comput. Graph. Stat. 2012, 15, 609–627. [Google Scholar] [CrossRef]
- Rudloff, U.; Jacks, L.M.; Goldberg, J.I.; Wynveen, C.A.; Brogi, E.; Patil, S.; Van Zee, K.J. Nomogram for predicting the risk of local recurrence after breast-conserving surgery for ductal carcinoma in situ. J. Clin. Oncol. Off. J. Am. Soc. Clin. Oncol. 2010, 28, 3762–3769. [Google Scholar] [CrossRef]
- Bremer, T.; Whitworth, P.W.; Patel, R.; Savala, J.; Barry, T.; Lyle, S.; Leesman, G.; Linke, S.P.; Jirström, K.; Zhou, W.; et al. A Biological Signature for Breast Ductal Carcinoma In Situ to Predict Radiotherapy Benefit and Assess Recurrence Risk. Clin. Cancer Res. 2018, 24, 5895–5901. [Google Scholar] [CrossRef]
- Raldow, A.C.; Sher, D.; Chen, A.B.; Punglia, R.S. Cost Effectiveness of DCISionRT for Guiding Treatment of Ductal Carcinoma in Situ. JNCI Cancer Spectr. 2020, 4, pkaa004. [Google Scholar] [CrossRef]
- Emdin, S.O.; Granstrand, B.; Ringberg, A.; Sandelin, K.; Arnesson, L.-G.; Nordgren, H.; Anderson, H.; Garmo, H.; Holmberg, L.; Wallgren, A. SweDCIS: Radiotherapy after sector resection for ductal carcinoma in situ of the breast. Results of a randomised trial in a population offered mammography screening. Acta Oncol. 2006, 45, 536–543. [Google Scholar] [CrossRef] [PubMed]
- Julien, J.P.; Bijker, N.; Fentiman, I.S.; Peterse, J.L.; Delledonne, V.; Rouanet, P.; Avril, A.; Sylvester, R.; Mignolet, F.; Bartelink, H.; et al. Radiotherapy in breast-conserving treatment for ductal carcinoma in situ: First results of the EORTC randomised phase III trial 10853. EORTC Breast Cancer Cooperative Group and EORTC Radiotherapy Group. Lancet 2000, 355, 528–533. [Google Scholar] [CrossRef] [PubMed]
- O’Keefe, T.J.; Prionas, N.D.; Wallace, A.M. Relative Effects of Brachytherapy and Beam Radiation for DCIS on Subsequent Invasive Events. Biomedicines 2025, 13, 2823. [Google Scholar] [CrossRef] [PubMed]
- O’Keefe, T.J.; Harismendy, O.; Wallace, A.M. Histopathological growth distribution of ductal carcinoma in situ: Tumor size is not “one size fits all”. Gland Surg. 2022, 11, 307–318. [Google Scholar] [CrossRef]




| ER+PR+ DCIS (n = 738) | ER-PR- DCIS (n = 369) | All Patients (n = 1107) | |
|---|---|---|---|
| Age | |||
| Median (IQR) | 59 (52–66) | 60 (52–67) | 59 (52–67) |
| Race | |||
| White | 580 (78.6%) | 289 (78.3%) | 869 (78.5%) |
| Black | 60 (8.1%) | 37 (10%) | 97 (8.8%) |
| Other | 98 (13.3%) | 43 (11.7%) | 141 (12.7%) |
| Grade | |||
| Low | 14 (1.9%) | 7 (1.9%) | 21 (1.9%) |
| Intermediate | 138 (18.7%) | 69 (18.7%) | 207 (18.7%) |
| High | 457 (61.9%) | 227 (61.5%) | 684 (61.8%) |
| Undifferentiated | 129 (17.5%) | 66 (17.9%) | 195 (17.6%) |
| Size | |||
| Median (IQR) | 10 (5–16) | 10 (5–18) | 10 (5–17) |
| Year Diagnosis | |||
| 2007–2009 | 400 (54.2%) | 218 (59.1%) | 618 (55.8%) |
| 2010–2011 | 338 (45.8%) | 151 (40.9%) | 489 (44.2%) |
| Adjuvant Radiation | |||
| Received | 0 (0%) | 0 (0%) | 0 (0%) |
| Not received | 738 (100%) | 369 (100%) | 1107 (100%) |
| Adjuvant Endocrine | |||
| Received | 0 (0%) | 0 (0%) | 0 (0%) |
| Not received | 738 (100%) | 369 (100%) | 1107 (100%) |
| Any Invasive Event | Ipsilateral Invasive Event | Contralateral Invasive Event | ||||
|---|---|---|---|---|---|---|
| sHR (95% CI) | p | sHR (95% CI) | p | sHR (95% CI) | p | |
| Age | ||||||
| ≥55 years | Ref | - | Ref | - | Ref | - |
| <55 years | 1.61 (1.03–2.53) | 0.038 | 2.28 (1.27–4.09) | 0.006 | 0.93 (0.42–2.06) | 0.85 |
| Race | ||||||
| Non-Black | Ref | - | Ref | - | Ref | - |
| Black | 1.16 (0.56–2.38) | 0.69 | 1.50 (0.64–3.52) | 0.35 | 0.37 (0.05–2.76) | 0.34 |
| Grade | ||||||
| Low or Intermediate | Ref | - | Ref | - | Ref | - |
| High or Undifferentiated | 1.15 (0.65–2.04) | 0.62 | 1.20 (0.57–2.51) | 0.64 | 1.19 (0.45–3.14) | 0.73 |
| Size | ||||||
| <15 mm | Ref | - | Ref | - | Ref | - |
| 10–30 mm | 0.73 (0.45–1.18) | 0.19 | 0.82 (0.45–1.51) | 0.53 | 0.47 (0.19–1.16) | 0.10 |
| ERPR Status | ||||||
| ER+PR+ | Ref | - | Ref | - | Ref | - |
| ER-PR- 0–4 years | 2.47 (1.29–4.72) | 0.007 | 2.64 (1.19–5.86) | 0.017 | 2.10 (0.61–7.29) | 0.24 |
| ER-PR- 4–8 years | 1.33 (0.70–2.53) | 0.39 | 1.41 (0.57–3.47) | 0.46 | 1.33 (0.52–3.40) | 0.55 |
| ER+PR+ DCIS (n = 1498) | ER-PR- DCIS (n = 1498) | All Patients (n = 2996) | |
|---|---|---|---|
| Age | |||
| Median (IQR) | 59 (53–66) | 60 (53–66) | 59 (53–66) |
| Race | |||
| White | 1200 (80.1%) | 1161 (77.5%) | 2361 (78.8%) |
| Black | 138 (9.2%) | 135 (9%) | 273 (9.1%) |
| Other | 160 (10.7%) | 202 (13.5%) | 362 (12.1%) |
| Grade | |||
| Low | 21 (1.4%) | 21 (1.4%) | 42 (1.4%) |
| Intermediate | 225 (15%) | 225 (15%) | 450 (15%) |
| High | 973 (65%) | 960 (64.1%) | 1933 (64.5%) |
| Undifferentiated | 279 (18.6%) | 292 (19.5%) | 571 (19.1%) |
| Size | |||
| Median (IQR) | 11 (6–17) | 12 (6–18) | 12 (6–17) |
| Year Diagnosis | |||
| 2007–2010 | 845 (56.4%) | 872 (58.2%) | 1717 (57.3%) |
| 2011–2013 | 653 (43.6%) | 626 (41.8%) | 1279 (42.7%) |
| Adjuvant Radiation | |||
| Received | 1498 (100%) | 1498 (100%) | 2996 (100%) |
| Not received | 0 (0%) | 0 (0%) | 0 (0%) |
| Adjuvant Endocrine | |||
| Received | 0 (0%) | 0 (0%) | 0 (0%) |
| Not received | 1498 (100%) | 1498 (100%) | 2996 (100%) |
| Any Invasive Event | Ipsilateral Invasive Event | Contralateral Invasive Event | ||||
|---|---|---|---|---|---|---|
| sHR (95% CI) | p | sHR (95% CI) | p | sHR (95% CI) | p | |
| Age | ||||||
| ≥55 years | Ref | - | Ref | - | Ref | - |
| <55 years | 1.18 (0.86–1.63) | 0.31 | 2.12 (1.33–3.38) | 0.0016 | 0.73 (0.45–1.20) | 0.21 |
| Race | ||||||
| Non-Black | Ref | - | Ref | - | Ref | - |
| Black | 1.48 (0.93–2.34) | 0.096 | 1.65 (0.84–3.24) | 0.14 | 1.05 (0.51–2.19) | 0.89 |
| Grade | ||||||
| Low or Intermediate | Ref | - | Ref | - | Ref | - |
| High or Undifferentiated | 1.17 (0.76–1.81) | 0.47 | 1.39 (0.69–2.81) | 0.35 | 0.98 (0.55–1.74) | 0.95 |
| Size | ||||||
| <15 mm | Ref | - | Ref | - | Ref | - |
| 10–30 mm | 1.27 (0.93–1.73) | 0.13 | 1.25 (0.78–2.00) | 0.36 | 1.24 (0.81–1.90) | 0.33 |
| ERPR Status | ||||||
| ER+PR+ | Ref | - | Ref | - | Ref | - |
| ER-PR- 0–4 years | 0.86 (0.53–1.39) | 0.53 | 1.41 (0.69–2.89) | 0.34 | 0.56 (0.28–1.14) | 0.11 |
| ER-PR- 4–8 years | 1.10 (0.74–1.63) | 0.63 | 1.70 (0.89–3.22) | 0.11 | 0.91 (0.53–1.56) | 0.73 |
Disclaimer/Publisher’s Note: The statements, opinions and data contained in all publications are solely those of the individual author(s) and contributor(s) and not of MDPI and/or the editor(s). MDPI and/or the editor(s) disclaim responsibility for any injury to people or property resulting from any ideas, methods, instructions or products referred to in the content. |
© 2026 by the authors. Licensee MDPI, Basel, Switzerland. This article is an open access article distributed under the terms and conditions of the Creative Commons Attribution (CC BY) license.
Share and Cite
O’Keefe, T.J.; Guo, A.; Vera, D.R.; Wallace, A.M. Independent Relevance of Estrogen Receptor and Progesterone Receptor Statuses in DCIS on Risk of Subsequent Ipsilateral and Contralateral Invasive Breast Events in Absence of Endocrine Therapy. Cancers 2026, 18, 1109. https://doi.org/10.3390/cancers18071109
O’Keefe TJ, Guo A, Vera DR, Wallace AM. Independent Relevance of Estrogen Receptor and Progesterone Receptor Statuses in DCIS on Risk of Subsequent Ipsilateral and Contralateral Invasive Breast Events in Absence of Endocrine Therapy. Cancers. 2026; 18(7):1109. https://doi.org/10.3390/cancers18071109
Chicago/Turabian StyleO’Keefe, Thomas J., Audrey Guo, David R. Vera, and Anne M. Wallace. 2026. "Independent Relevance of Estrogen Receptor and Progesterone Receptor Statuses in DCIS on Risk of Subsequent Ipsilateral and Contralateral Invasive Breast Events in Absence of Endocrine Therapy" Cancers 18, no. 7: 1109. https://doi.org/10.3390/cancers18071109
APA StyleO’Keefe, T. J., Guo, A., Vera, D. R., & Wallace, A. M. (2026). Independent Relevance of Estrogen Receptor and Progesterone Receptor Statuses in DCIS on Risk of Subsequent Ipsilateral and Contralateral Invasive Breast Events in Absence of Endocrine Therapy. Cancers, 18(7), 1109. https://doi.org/10.3390/cancers18071109

